Abstract
This article presents an evaluation of the ERDAS IMAGINE Spatial Model Editor from the perspective of effective cognition. Workflow models designed in Spatial Model Editor are used for the automatic processing of remote sensing data. The process steps are designed as a chain of operations in the workflow model. The functionalities of the Spatial Model Editor and the visual vocabulary are both important for users. The cognitive quality of the visual vocabulary increases the comprehension of workflows during creation and utilization. The visual vocabulary influences the user’s exploitation of workflow models. The complex Physics of Notations theory was applied to the visual vocabulary on ERDAS IMAGINE Spatial Model Editor. The results were supplemented and verified using the eye-tracking method. The evaluation of user gaze and the movement of the eyes above workflow models brought real insight into the user’s cognition of the model. The main findings are that ERDAS Spatial Model Editor mostly fulfils the requirements for effective cognition of visual vocabulary. Namely, the semantic transparency and dual coding of symbols are very high, according to the Physics of Notations theory. The semantic transparency and perceptual discriminability of the symbols are verified through eye-tracking. The eye-tracking results show that the curved connector lines adversely affect the velocity of reading and produce errors. The application of the Physics of Notations theory and the eye-tracking method provides a useful evaluation of graphical notation as well as recommendations for the user design of workflow models in their practice.
1. Introduction
Software products in the branch of geographic information systems (GIS) and remote sensing software (RS) include the technics of software engineering as workflow models. Workflow models are sometimes called diagrams, process charts, graphs, data flow diagrams, or process models. Overviews of graphical editors in GIS and RS software are described in some articles, and ArcGIS, IDRISI, AutoCAD Map 3D, QGIS, GRASS GIS and ERDAS IMAGINE are mentioned [1,2]. Moreover, graphical editors exist in ENVI and Rhino3D Grasshopper 3D. The software FME also expresses the steps of spatial format conversions in the graphical form [3]. The purpose of workflows is the same. In all cases, they automate the steps of a process as a chain of functions, and the advantage is that they can be used for repetitive tasks. Graphical presentations in the form of diagrams, models or graphs help in the first stage of the design process. The graphical representation used in software engineering is valuable for user communication with programmers.
Visual programming languages (VPsL) are used for the design of the workflow. The opposite term for a classical programming language is a textual programming language. There are several important facts to support visual programming languages:
- The graphical form of the design translates information more efficiently and faster for non-technical users than descriptive text [4].
- Textual programming languages encode information as a sequence of characters, while visual languages encode information using the spatial layout of graphic (or text) elements. Text information is linear one-dimensional. Visual representation is two-dimensional (spatial).
- Visual representation is treated differently to textual information, according to the dual channel theory [5], which states that the human brain has a separate part for processing image information and another part for processing verbal information. The visual representation is processed in parallel in one part, while the text is processed serially in another part of the brain [6].
- Image information is better remembered as the so-called picture superiority effect, which states that an image is more easily symbolically encoded in the brain and can be searched for faster than text [7]. This effect was based on the work of psychologist Paivio, the author of the dual coding theory [8].
1.1. History of Model Maker and Spatial Model Editor in ERDAS IMAGINE
The software ERDAS IMAGINE was one of the first commercial software packages to offer the graphical geospatial data modelling tool Model Maker for workflow modelling. Model Maker was introduced as a graphic flowchart model building editor in 1993 [9,10]. The next-generation of spatial modeller was released in ERDAS IMAGINE 2013 in December 2012. Spatial Model Editor had a modern interface and new modern graphic elements. The editor provided a real-time preview of results, incorporating GeoMedia vector and grid operators. The new Python scripting also allowed users to extend the utility of the modeller [11]. The older Model Maker and newer Spatial Model Editor were available simultaneously in versions of ERDAS IMAGINE 2013 with the option to convert older models to the new version. Example models are shown in Figure 1 and Figure 2. The Spatial Model Editor version from 2016 uses a partial remake of basic symbols (Figure 3). The outline of symbols changes colour from black to colour according to symbol colour fill. The connecting ports changed the shapes and colours.
Figure 1.
An example model in the older graphical editor Model Maker [12].
Figure 2.
An example model in the newer editor Spatial Model Editor 2013.
Figure 3.
An example model in Spatial Model Editor 2016.
1.2. The Utilization of Models in Practice
The creation and automation of workflows through the use of models in ERDAS IMAGINE gives several advantages. According to Holms and Obusek, the advantages are [13]:
- Experts create the process once, and other users can utilize it repetitively;
- The models could be distributed to non-experts;
- Prepared models save time, money and resources;
- Processing data using the same models introduce standardization and consistency.
The utilization of models is mentioned in various forms of research and projects. Connell et al. [14] used the Spatial Model Editor to create a change detection model, using pixel-to-pixel-based subtraction with a Standard Deviation threshold for detecting vegetation disturbance in Irish peatlands. Ma et al. [15] present a set of models for remote sensing image enhancement based on the fundamental principles of image processing. The authors confirmed that models were easy to use and made the image processing faster. Laosuwan et al. [16] designed a novel module of software tools using ERDAS Macro Language Spatial Modelling Language for cloud detection and classification based on satellite imagery from the Multi-functional Transport Satellite-2. Chen, X. et al. [17] used a pixel-based model to calculate the average concentration of suspended sediment (over a period of time) for the Pearl River. Park et al. [18] used a modeller to evaluate surface heat fluxes, based on satellite remote sensing data, near Cheongju, South Korea. Pechanec et al. [19] used a model for calculating moisture parameters and for calculating vegetation cover biomass in Southeast Moravia. Mirijovky mentioned the analysis of variations in the fluvial dynamics of a mid-mountain stream [20]. Chen et al. [21] used the ERDAS Modeler tool to invert the index based on building sites. They studied remote sensing images covering the Beijing plain in order to quantitatively analyze the relationship between load changes in construction and land subsidence. Liu et al. [22] used the Spatial Modeler Tool for snow cover information extraction. A normalized difference snow index (NDSI) and a threshold segmentation method were introduced to extract the snow distribution information. They evaluated the modelling method as an economical and efficient way to extract snow cover information, which is an important component of the climatic system and the main indicator factor of global change. This list of examples provides an overview of the wide range of applications for models in automatic processing remote sensing data.
Besides the processing advantages mentioned by researchers, it is also beneficial to evaluate the cognition level of visual vocabulary. This type of evaluation has not yet been processed. Therefore the presented research is focused on the evaluation of cognitively effective notation. The research question was “What is the level of effective cognition in the ERDAR IMAGINE Spatial Model Editor.” This research aimed to evaluate and improve cognition of visual notation in Spatial Model Editor. The level of effective cognition in ERDAS IMAGINE Spatial Model Editor is high compared to other GIS and RS software. This article presents the supporting facts.
These tasks come under investigation in the Human-Computer Interaction (HCI) research. The international standard on the ergonomics of human-system interaction, ISO 9241-210: 2019, defines a user’s experience (UX) as “a person’s perceptions and responses that result from the use or anticipated use of a product, system or service”. A common aim of HCI research and UX design is to innovate novel computing user interfaces to improve the usefulness, ergonomics, and efficiency of using digital systems [23,24]. The comprehension is often tested in connection GIS, cartography and map outputs [25]. The improvement is based on theories and on the empirical testing of users in laboratories [26], e.g., the eye-tracking measurements presented in this article.
The paper is organized as follows. Section 2 briefly describes two methods for assessing effective cognition of workflows, the Physics of Notations theory and eye-tracking measurement. Section 3 presents the detailed results of applying the Physics of Notations theory and the empirical results of an eye-tracking experiment. Section 4 presents the discussion. Finally, this section also presents the results in tabular form and gives recommendations for future improvements as well as practical suggestions for users related to the creation of comprehensible workflows.
2. Materials and Methods
This chapter describes terminology and two methods, the first of which is the Physics of Notations method, and the second is the eye-tracking method. First, the Physics of Notations method is depicted. The design of the eye-tracking experiment follows with a description of the tested workflow models. The list of tested models is in Appendix A.
2.1. Terminology of Visual Programming Languages
To introduce visual programming language, an overview of the terminology follows. VPL uses a set of graphical symbols (visual vocabulary) and a set of compositional rules (visual grammar). In addition, the definition of the meaning of each graphical symbol is visual semantics. All three together consist of a visual notation (or the equivalent terms; visual language, graphical notation, diagramming notation). A valid expression in a visual notation is called a visual sentence or diagram (or workflow diagram, process model). Diagrams are composed of symbol instances arranged according to the rules of visual grammar [27]. Graphical editors (such as software extensions, software components) are used for the design of workflow diagrams.
The functionalities of the visual component and the cognitive aspects of visual vocabulary are both important. The cognitive aspects of vocabulary influence the effective utilization of workflow diagrams by users. The aesthetic properties of workflow diagrams have importance from the point of view of the perception and cognition of the user.
The ERDAS Spatial Modeler simply uses the term model for workflow diagram. This term will be used in this article in the description of evaluation.
2.2. Physics of Notations Theory
The Physics of Notations is a frequently used theory for the evaluation of cognitive aspects [27]. This theory helps to achieve a higher level of cognitive effectiveness of workflow diagrams. Cognitive effectiveness is defined as the speed, ease and accuracy with which a representation can be processed by the human mind [28]. Software documentation mainly states what a particular symbol means without giving any reasons for the choice of symbol. Researchers and notation designers have ignored or undervalued issues of visual representation [27,29]. The Physics of Notations theory can be used to evaluate existing notation and to improve graphical notation and the design of new notation. It means that the visual notation in Spatial Model Editor can be assessed and improved upon if any drawbacks are identified.
Daniel Moody is the author of the Physics of Notations theory [27]. Nowadays, it is the method that is mostly used and cited in the area of visual programming languages (SCOPUS 806 citations, ISI WoS 488 citations, 14 June 2021).
The Physics of Notations theory defines nine base principles for the evaluation and design of cognitively effective visual notations [27]. The principles are:
- Principle of Semiotic Clarity,
- Principle of Perceptual Discriminability,
- Principle of Visual Expressiveness,
- Principle of Dual Coding,
- Principle of Semantic Transparency,
- Principle of Graphic Economy,
- Principle of Complexity Management,
- Principle of Cognitive Integration,
- Principle of Cognitive Fit.
The Physics of Notations theory is arranged as a system of principles that define the requirements to achieve cognitively effective notation. The principles are constructed so that Semiotic Clarity is the basic starting principle for the further assessment by neighbouring principles (Figure 4). The principles are related to the hexagon mesh. The more distant principle from Semiotic Clarity is, the more advanced it is. The system of principles is not closed, and a honeycomb arrangement can further extend it. The principles are a synthesis of empirical knowledge from a range of disciplines, such as communication, semiotics, graphic design, visual perception, psychophysics, cognitive psychology, education, linguistics, information systems, cartography, diagrammatic reasoning and human-computer interaction [27].
Figure 4.
Relationships and arrangement of principles [27].
● Principle of Semiotic Clarity
The principle of semiotic clarity expresses a one-to-one correspondence between a syntactic model and semantic features. According to this principle, symbol redundancy, symbol overload, symbol deficit and symbol excess are not permissible. The principle reflects the ontological analysis.
● Principle of Perceptual Discriminability
This principle states that different symbols should be clearly distinguishable from each other through visual variables.
● Principle of Visual Expressiveness
The principle of visual expressiveness states that the full range of visual variables and their full capacity should be used to represent notational elements. Colour is one of the most effective visual variables. The human visual system is very sensitive to differences in colour and can quickly and accurately distinguish them. Differences in colour are found three times faster than differences in shape and they are easy to remember [30]. The level of expressiveness is measured from levels 1 (lowest) to 8 (highest).
● Principle of Graphic Economy
The principle states that the number of symbols in a visual vocabulary must be manageable for the working human memory. The choice of symbols affects the ease by which visual diagrams can be memorized and recalled. The magic number seven expresses a suitable number of symbols. The range of 7 ± 2 symbols is suitable. Any more than nine different symbols in basic graphical vocabulary is too demanding for comprehension.
● Principle of Dual Coding
The principle involves using text to support the meaning of symbols as well as clarity. Two methods (graphics and text) provide the user with information and improve comprehension. This principle is based on the duality of mental representation [8].
● Principle of Semantic Transparency
This principle evaluates how symbols associate the real meaning of an element. Here, associations are sought between the shape or other variable visual symbols and their real properties; and the form of symbol implies the real object (data, function, variable etc.).
● Principle of Complexity Management
This principle requires the creation of hierarchical structures and this is done by dividing the diagram into separate modules. It is suitable for large models comprehension exceeds the capacity of the human working memory. Modularity means scaling information into separate chunks. Modularisation is the division of large systems into smaller parts or separate subsystems. Practice has shown that one subsystem should only be large enough to fit on one sheet of paper or one screen. This subsystem is then represented at a higher level by one symbol. Hierarchical structuring allows systems to be represented at different levels of detail (leveled diagram), with the ability to control complexity at each level. This promotes understanding of the diagram from the highest level to the lowest, which improves the overall understanding of the diagram. Both mechanisms can be combined into the principle of recursive decomposition.
● Principle of Cognitive Interaction
The principle requires an increase in the options for navigating through the model. The reader must be able to follow the chain of operations easily. The connector lines affect navigation.
● Principle of Cognitive Fit
The principle requires the use of different sets of visual vocabularies for the same type of semantics, where information is represented for different tasks and different groups of users in different ways. It recommends using multiple visual dialects, each of which is suitable for a range of tasks and different user spectrums (according to experience).
2.3. Eye-Tracking Testing
The eye-tracking experiment was used to evaluate the cognitive effectiveness of workflows. The tasks were mainly designed to verify the comprehensibility and discriminability of visual symbols. The eye-tracking method was used as cross-validation and an extension of the Physics of Notations results through an experimental method in the presented research.
The Department of Geoinformatics at Palacky University in Olomouc (Czech Republic) carries out measurements of eye-tracking. The special laboratory is equipped with the eye tracker measurement SMI RED 250 produced by the SensoMotoric Instrument firm (SMI) from Berlin (Germany). The SMI Experiment Center Suite 360° v3.5 program was used to design the experiment, and SMI BeGaze software was used to visualise the results. For further analysis software OGAMA v5.0 (Open Gaze and Mouse Analyser) was used. Data conversion from SMI software to OGAMA was done using the smi2ogama v. 1.0 web tool [31]. The resolution of the monitor used to record eye movement was 1920 × 1200 pixels. The sampling frequency was 250 Hz. For statistical evaluation, the STATISTICA software was used.
Eye-tracker records the movement of eyes. Recorded eye movement data is then preprocessed into the form of eye fixations (stops of eye movement) and saccades, which are fixation connectors. The numbered fixations and the saccades are plotted as a gaze plot. Recorded eye movement data of multiple respondents can be further processed into attention maps (heat maps) and flow maps. Statistical evaluations of the time of click could be calculated. The term stimulus is applied in the process of eye-tracking testing [32]. The stimuli, in this case, were the models designed in Spatial Model Editor 2013.
The experiment consists of two parts (Figure 5). The first part only displayed 18 models without any tasks. This part was called Free viewing. The second part contained 21 models that were introduced with comprehension tasks. The second part was called Part with tasks. Eighteen models were tested in both parts. Tree models were used twice with different tasks. The last models were not included in evaluation related to the Physics of Notations theory. Models of different sizes and functions were tested. A fixation cross was displayed before each stimulus to be sure of the same starting position for each respondent’s gaze. Appendix A contains a list of all models used in the eye-tracking testing. Models from our own design and the Sterling GEO model library [33] were used in the eye-tracking experiment.
Figure 5.
The structure of the eye-tracking experiment.
The respondents were first-year students at the end of their first semester in a master’s program of geoinformatics. Before their master-level studies, all students have finished the three-year bachelor degree in geoinformatics at Palacký University. As part of the study bachelor study, they attend several compulsory courses concerning GIS and remote sensing software with practical processing satellite and aerial data. All students had attended lectures in which the design of models in ERDAS IMAGINE Spatial Model Editor was practiced at the master study. They had created various models with different functionalities and sizes. The group of respondents was assumed to be advanced users. A total of 16 respondents participated in the eye-tracking testing, aged 23–25. The students were already familiar with eye-tracking testing and experiments.
Other previous experiments have also been organized in the area of GIS workflow diagrams. The first experiment was with an older notation for ERDAS Modeler Maker in 2014. Over the following years, the authors’ experiences and construction of comprehension tasks were utilized in further experiments. Several eye-tracking experiments were organized and QGIS Processing Modeler, ArcGIS ModelBuilder, ArcGIS Diagrammer and GRASS GIS Graphical Modeler [34,35,36] were used.
The main aim was to respond to basic research hypotheses through eye-tracking experiments. These hypotheses relate to two basic characteristics: the accuracy of the answers (the number of correct and incorrect answers) and the effectiveness of understanding. Effectivness is measurable by the response time, the length of the scanpath and the number of fixations. Two hypotheses were proposed before the eye-tracking testing began:
Hypothesis 1 (H1).
Insufficiencies in Semiotic Clarity, Perceptual Discriminability, Visual Expressiveness, and Semantic Transparency adversely affect the accuracy of user answers.
Hypothesis 2 (H2).
Insufficiencies in Semiotic Clarity, Perceptual Discriminability, Visual Expressiveness, and Semantic Transparency adversely affect the effectiveness of comprehension.
To evaluate these two hypotheses, the number of correct answers (for H1), the time required to answer, and eye-tracking metrics were measured (for H2). Eye-tracking metrics such as the time of the first click, total time of solution, and the number of fixations were calculated. As the quantitative method for evaluation of H1 was taken the number of correct and incorrect answers. The quantitative method for evaluation H2 was taken mainly “the time of the first click” and “total time of solution”. The number of fixation and scanpath length were also calculated, but the results did not bring any interpretable results or useful indices.
Moreover, attention heat maps and flow maps of the respondents’ gazes were calculated using OGAMA software. Heat maps and flow maps are qualitative evaluations and clarify the behavior and reading habits of respondents.
3. Results of Evaluation of Spatial Model Editor
Two methods were applied in the assessment of effective cognition of graphical notation of Spatial Model Editor. The first method used the Physics of Notations theory. The second method was an eye-tracking method. The detailed results are presented in the next sections.
3.1. Evaluation Based on the Physics of Notations Theory
The followed evaluation systematically describes correspondence with each principle of the Physics of Notations theory.
3.1.1. Principle of Semiotic Clarity
The first and main principle is the principle of semiotic clarity. Figure 6 shows several examples of symbols for data, operation and sub-model. Different data types (raster, vector, scalar, matrix, and table) have different symbols. The symbol for data has a background orange colour fill (Figure 6a). Also, each type of operation has a specific symbol. The background fill colour of the operation is green (Figure 6b). The one symbol for the sub-model has a brown background fill colour. The symbols contain big colour icons that are distinguishable from each other. There is only partial overloading of symbols (Figure 8a) when the same icon is used for a group of operations (Surface group with operation Degree Slope and Aspect). The visual vocabulary nearly fulfils the principle of semiotic clarity.
Figure 6.
Examples of the symbols: (a) data, (b) operations, (c) sub-model in Spatial Model Editor 2013.
3.1.2. Principle of Perceptual Discriminability
The way, how to check the second principle is a pairwise comparison of symbols. Comparison is given in Table 1. In the Spatial Model Editor the symbols differ in colour, and the rectangular shape with rounded corners is the same for all symbols. Also, the inner colour icons help to discriminate symbols. The principle of perceptual discriminability is satisfied when colours and icons are used.
Table 1.
Parvise comparison of symbols.
3.1.3. Principle of Visual Expressiveness
Colour is one of the most effective visual variables. The human visual system is very sensitive to differences in colour and can quickly and accurately distinguish them. Colour differences are found three times faster than those of shape and are also easy to remember [30]. Other visual variables are shape, size, texture, orientation and position [6]. Only the visual variable of colour is used in the notation. Therefore, the visual distance is one for all pairs (Table 1). The shape is the same for all symbols—a rectangle. The size of symbols is changeable. When the inner text label is longer (two or more words), the width is automatically increased. When connector ports are added to a symbol, the height of symbols is also automatically increased (Figure 7a). These changes in size do not carry any meaning related to a symbol. It cannot be assumed that a visual variable is being used.
Figure 7.
Examples of the symbols (a) extended width according to the text and extended height according to the number of ports, (b) long labels with the names of the input data.
3.1.4. Principle of Graphic Economy
The orange symbol is for data, the green one is for operation and the brown one is for the sub-model. The number of base graphical elements is three, which meets the requirement for cognitive management and the requirement for a range of 7 ± 2 symbols. If we consider all variants of inner icons, dozens of symbols are produced. But the transparency of the symbols is high (see next principle). In the 2016 version the violet rectangle was added as the fourth symbol.
3.1.5. Principle of Dual Coding
This principle suggests the addition of descriptive text to the symbols. Text can be used as an over-coding of information in order to reinforce that information. Symbols are hybrid symbols in Spatial Model Editor. The text completes the data symbol with the data name at the bottom of the rectangle. The operation symbol is labelled with the operation name automatically, e.g., Band selection at operation symbol in Table 1. The labels can be changed by the user (Band Selection -> Band Selection red and blue in Figure 7b). The ports are also labelled. Long labels of ports could consume space, so short names are recommended for the data. Problems can also occur when a port label overlaps connecting lines. E.g., the label Attribute Table of an output port crosses a line in Figure 7b. These cases make reading the model more difficult.
The use of icons and text together fulfils the principle of dual coding. Moreover, the user could improve the comprehensibility of a model by using correct and accurate labelling. Nevertheless, long labels could extend the width of symbols excessively, and the arrangement of symbols on the grid is difficult in this case. The big symbols overload the model and the level of aesthetics is reduced.
3.1.6. Principle of Semantic Transparency
Concerning the association, the shape and colour of the symbols do not carry any association with real meaning of symbols; they are semantically general (neutral). Nevertheless, the inner icon carries a high expression of meaning. The size of the inner icon is large (32 × 32 pixels) and it nearly fills the whole rectangle. The labels placed at the bottom of the rectangle are much smaller. Some operations have the same icon as for a group of similar operations (Figure 8a—group Surface). Some icons are unique for each operation, such as mathematical operations (Figure 8b). The inner icons are very well designed and provide high semantic transparency of the visual vocabulary of Spatial Model Editor. In comparison with other visual vocabularies in GIS software, the icons are the biggest of all. E.g., QGIS uses only a small inner icon in the left side of the rectangle symbol [34].
Figure 8.
Examples of icon transparency (a) the same icon for operation from group Surface, (b) group of mathematical and trigonometric operations and the icons for mathematical operations, (c) functional icons in the lower right corner of symbols.
This editor also uses functional icons. It is possible to run the model and verify its functionality in design mode. Upon successful operation, a green checkmark will appear in the lower right corner of the symbols. In the case of a failure, a red cross will appear (Figure 8c). Basic traffic light colours are used; red is for stop and green is for go. The transparency of functional icons is again semantically immediate.
3.1.7. Principle of Complexity Management
This principle requires the production of hierarchical levels of the model. In Spatial Model Editor, it is possible to design sub-models that can be designed and managed separately. The brown icon (Figure 6c) representing the sub-model allows direct opening and editing of the sub-model by clicking on the mouse. Both cognition and functionality are good in the design sub-model. The design of the sub-model fulfils the recommendation of modularity. The next part of the principle recommends hierarchical structuring. It is not available in Spatial Model Editor. Implementing a pooling graphics of models into hierarchical sections with the option to collapse or expand would improve people’s cognition of large models. The opportunity to design sub-models and insert them into other models partially fulfils the principle of complexity management.
3.1.8. Principle of Cognitive Interaction
The connector lines affect navigation through the model. The round lines connect the small yellow ports at the edges of the rectangles. The rendering of curves is automatic, based on the placement of symbols. Curved lines unnecessarily take up too much space in the model and rather prolong the “visual path” between subsequent symbols. The intersecting, concurrence and merging of lines often cannot be avoided. It is often a problem to trace the course of lines that are in close contact with each other (Figure 9). In these cases, it is hard for readers to follow long lines. The manual editing of the shape of the curved line is possible only by shifting the rectangle symbols. The curved shape is very specific in that modeller. Straight lines are much more frequently used in other GIS workflows. The recommendation for improving the editor is to replace curved lines with straight ones, with the option of presenting them at an obtuse angle.
Figure 9.
An example model with crossing, concurrence, and a covering of curved lines.
Aligning the symbols to the grid makes reading the model quicker and easier. The automatic function for aligning the model is implemented. The auto layout button aligns the graphical elements with the background grid. The visibility of the grid also helps the creator with the alignment of symbols.
3.1.9. Principle of Cognitive Fit
The last principle recommends using multiple visual dialects, each suitable for different tasks and user spectrums. This principle is the most demanding. The Spatial Model Editor uses only one dialect for all users and all tasks. This principle is not fulfilled.
3.2. Eye-Tracking Testing of Models
The eye-tracking experiment was designed in a complex way in order to evaluate hypotheses H1 and H2. The design of the test contains several tasks to find maximum information. Some models are used repetitively for a range of purposes, e.g., to find a symbol of data or to find a symbol of operation. The models were shown to the respondents in random order to prevent a learning effect [37]. Shuffling ensured that each respondent saw the models in a different order. The models and tasks are presented in this article in a systematic order in the description of the results.
3.2.1. Testing of Symbols
The first evaluation concerned the discriminability of symbols. Part 1. Symbols for data tests the findings of the Raster Input, Raster Output, Preview, Matrix, Parameter and Scalar (tasks A1–A6). Example task A1 was: “Mark the symbol for Raster Input.” One or more correct answers were located somewhere in the models (see red dots in the models in the Appendix A). Respondents clicked on the correct symbols in a different order. So the time of the first click was taken into account in the statistical evaluation. Descriptive statistics are provided in Appendix B.
All answers were correct in the searches for the Raster Input, Raster Output and Preview symbols. The Matrix and Scalar had two wrong answers from a total of 16 respondents. The Parametric input data had 13 wrong answers. That is the worst score. Besides the number of correct/wrong answers, the time of the first click was also evaluated. Figure 10 shows the box plots of the time of the first click. Finding the Matrix and Scalar symbols took much longer than the input, output and preview symbols. The Parameter symbol proved to be the worst. The explanation can be found in the semantic transparency of the symbols, and respectively the semantic immediacy of the icons. In addition, this has also been affected by the frequency of the symbols in the common models. Because ERDAS IMAGINE is focused on raster data processing, Raster Input, Raster Output and Preview symbols are present in nearly all models. In addition, their location in the model (far left or far right) can be assumed.
Figure 10.
Box plots of the first clicks on data symbols in the models.
In contrast, the Parameter symbols were rarely present in the models, and respondents had trouble finding them (a high number of wrong answers and it took them a long time to select the answers). The symbol Scalar has the second worse times (task A6). The likely reason is that the task was formulated using the term Scalar. The symbol has no label for the word Scalar, but only the π icon is used.
Part 2. Symbols for operation tested the ease of finding symbols for operations such as Band, Convolve and Slope. These models also included testing the mathematical operators Multiply and Subtraction, and the symbol of the Sub-model. The sub-model differs in background colour from the green operations. The answers were correct for all operation symbols, and there was only one wrong answer for the Subtraction operation.
Figure 11 shows box plots of the time of the first click for all respondents. The distribution of times was not normal (tested by Shapiro-Wilk test). The non-parametrical test, Kruskal-Wallis, was used to test whether the medians of the “first click time” from all tasks (A7–A12) were equal. The Kruskal-Wallis test was used to find whether the time samples originated from the same distribution [38]. Difference between the mean ranks of time for some symbols is big enough to be statistically significant. The symbols for operations and Sub-models could be distinguished in the models without any problems. Finding the mathematical operation multiplication only resulted in longer times.
Figure 11.
Box plots of the first click on the symbol of operations in models.
Both presented parts fulfilled the required criteria for the principle of perceptual discriminability and the semantic transparency of symbols. Eye-tracking confirmed that the symbols were semantically immediate. In addition, the principle of dual coding was applied in the tests. When the symbol names are shown in full (Raster Input, Preview, Sub-model), there are fewer wrong answers and times are shorter. Conversely, a parameter symbol containing a label Image does not duplicate the symbol’s meaning, according to the dual coding principle. The importance of the correct application of dual coding is proved.
In addition, the number of incorrect answers for parameter symbols, Scalar, and long response time in the Multiply operation confirms that the notation contains a large number of symbols and that principle of graphic economy is not fulfilled. Respondents do not remember the less frequent symbols and rather estimate their meaning.
3.2.2. Testing Functional Icons
The next two models in the test are A13 and A14. The functional icons of the green checkmark and the red cross in the lower right corner of the symbols were tested. These icons are used when the model is running in the design mode stage. Icons express correctly or incorrectly processed operations and reading/writing data.
All respondents answered correctly and they quickly marked both icons in both models of the eye-tracking experiment. Figure 12 shows a flow map above the model. The flow map is created by OGAMA software as the aggregation of all the scan paths of the respondents. The task was “Mark operation that finished with error.” Respondents found the functional red cross icon in the corner of the Band Selection 2 green symbol. The maximum of the gaze transitions was in the upper part of the model around the correct answer. There are far fewer transitions to the bottom of the model. The aggregated scan paths are, of course, affected by the fixation cross in the middle, which is displayed before the stimulus.
Figure 12.
Flow map of transitions showing a model A17 with an unsuccessful operation Band Selection 2 (red cross).
The results from these two stimuli fulfil the required criteria for the principle of semantic transparency of functional icons. Functional icons fulfil the principle of semantic transparency.
3.2.3. Testing of the Connecting Lines—Crossing and Orientation
The Part 4. Crossing of connector lines includes models where the effect of connecting lines was tested. Two pairs of functionally identical models were prepared. In the first model the connecting lines did not cross, and in the second model some connecting lines crossed (models A15 and A16, A17 and A18 in Appendix A). The same tasks were set for both models in order for the results to be comparable. Respondent had to find two related elements using a connecting line.
The task was “Mark all symbols of input data for Range List 1.” for A15 and A16 models. The respondent first had to find the Range List 1 symbol and then search for and mark all three inputs. In the case of model A15, the inputs are located directly to the left of the default symbol without crossing the lines. Conversely, in model A16, which did have crossing lines, it is necessary to carefully follow the lines and again look for and click on the three input data symbols. The lines are also longer in the A16 model. The arrangement of input data symbols is not logically grouped near the relevant operations.
The number of wrong answers was one in both cases. Surprisingly, in model A16 (with crossing lines) some other symbols were marked, in addition to the correct answers, and this is an indicator of the difficulty of tracking connecting lines. The total completion time was evaluated for both pairs of models using the Wilcoxon test. It was found that there was a statistically significant difference in medians at the significance level of p = 0.05 for the first pair of models. For the model without connecting lines crossing, the respondents achieved shorter completion times (Figure 13). A statistically significant difference was also found in the number of fixations. The median was 47 fixations for model A15 without crossing. Model A14 with crossing lines had a considerably higher median of 84 fixations.
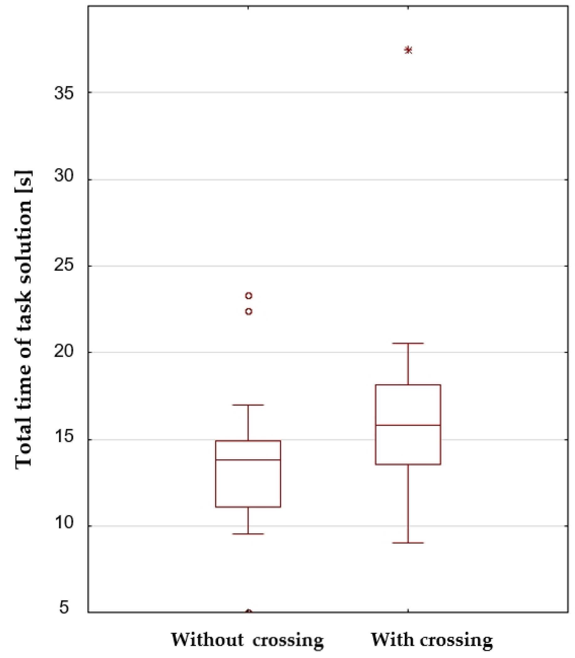
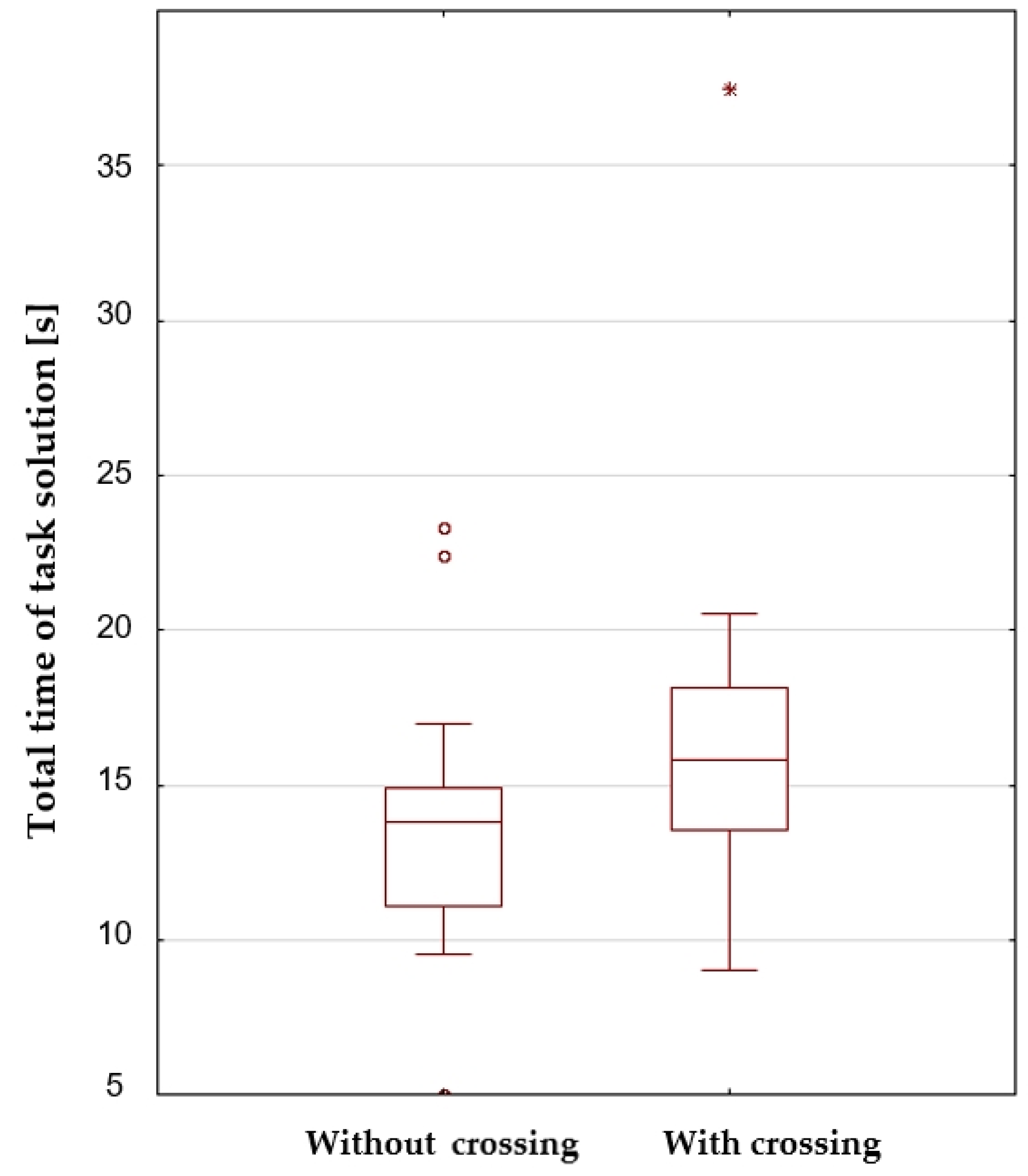
Figure 13.
Box plots of task solution in the same model with/without lines crossing.
The second pair is models A17 and A18. Crossing lines existed in model A17, but this was not directly related to the task. In addition to the intersection, part of the connecting line was covered by another symbol. The task was “Mark input raster Before Image and corresponding Preview (Before Image).”.
In the case of models A17 and A18, where the crossing connecting lines were not used directly in the search for related symbols, no statistically significant difference was found using the Wilcoxon test, either in the total time or in the number of fixations. The only model that had crossing had 500 milliseconds longer total completion time than the model without crossing, which had a median of 12.3 s. The influence of crossing lines was not observed.
This part of testing corresponds to the principle of cognitive interaction. The navigation by crossing lines, their longer length and the pure arrangement of symbols considerably degrade the person’s cognition of the model.
The influence of connecting lines can be investigated using a scan path and a flow map from OGAMA software. Figure 14a shows the record for the gaze of one selected respondent. The black circles are fixations of their gaze. The number in the circle is the order of fixation. Black lines connect fixations. Figure 14b shows the aggregation of the scan paths for all respondents. Aggregated transitions with a small number of partial transitions were filtered out (less than 5) to emphasize the strong lines of the most numerous transitions. The record is from the Free viewing part. There is no influence of reading by the fulfilment of a task.
Figure 14.
Record of reading direction by (a) scanpath of one respondent, (b) flow map of gaze for all respondents.
Based on Figure 14b, it is evident that the two horizontal branches of workflow in the left part determine the direction of eye movement, which converges in the common branch on the right. There are more transitions at the top branch than at the bottom one. The majority of transitions are in the left-to-right direction, as with the natural reading direction. There are far fewer returning lines from right to left. One interesting phenomenon can be observed. Some respondents read fluently from left to right along the upper branch to the end of the model and then returned to the lower branch. Other respondents read the model in a different way (Figure 14a). First, they observed the left part of the upper branch and suddenly, in the middle of the upper branch, they skipped to the lower branch of the model, and then they continued to the end of the model. The top-down movement between branches is also visible in Figure 14b. A gray ellipse emphasises this transition. Some respondents skipped some symbols and looked straight at the end. Otherwise, not all respondents will look at the model all the way to the right. There is a smaller number of transitions. The bottom part of the model is also rarely viewed. These partial findings can be easily determined from the display of each individual respondent’s scan path.
The reading habits of the participants strongly influence the reading, especially in the case of the horizontal arrangement of a model. Jošt demonstrates the readers’ habit of unreading the end of a line in a printed text [39]. The same effect is visible in the case of unreading the right part of models, as was done by some of the eye-tracking respondents.
3.2.4. Comparison of Reading in Free Viewing and the Part with Tasks
It is also interesting to compare the same models from the Free viewing part and the Part with the tasks from the eye-tracking experiment. Figure 15 below shows an attention heat map. OGAMA software calculates attention heat maps as aggregations of the gaze fixations of all respondents. Figure 14 shows the same model from a free viewing; (a) and two attention maps of the same model in the completion of two different tasks; (b, c). In the free viewing, a high number of fixations on individual symbols in the model are evident, with more in the upper part than in the lower part. Browsing is not affected by the task.
Figure 15.
Attention heat maps of the same model: (a) Free viewing, (b) task “Mark all symbols for Sub-model”, (c) task “Mark all symbols for Subtract operation”.
The second attention heat map, 14b is for the task “Mark all symbols for Sub-model.” There are two maxima of attention on the symbols of the sub-models, where the correct answers are located. The third map (c) is for the task “Mark all symbols for Subtract operation.” There are three maxima of attention where the Subtract symbols are located. The maximum in the first workflow line has a higher value than the others. This means that solution and comprehension take longer (longer fixation) on the first symbol and the subsequent two answers follow quickly.
This example demonstrates that the way respondents read the model is significantly affected by the task. In addition, two different ways of answering were identified for solving both tasks (b) and (c). In the first case, two symbols of the sub-models were searched for, and in the second task, even three symbols of Subtraction operation were searched. According to the time of the clicks, it is possible to observe that some respondents answered in the direction of the models’ orientation (from left to right). Some, on the other hand, answered in “reverse” order. In the case of sub-model marking, where the symbols were below each other, some respondents indicated the lower symbol first and then the symbol above it. These two different ways, “direct order” and “reverse order”, in marking symbols, could also be found in other tested models with multiple correct answers.
4. Discussion
Research using the ERDAS IMAGINE Spatial Model Editor brought useful results and suggestions. The combination of Physics of Notations theory and empirical eye-tracking measurements determined that perceptual discriminability, dual coding and semantic transparency are very good. The big inner icons significantly help in the comprehensibility of models. Some overloading of symbols partially violates semiotic clarity when the same icon is used for several operations from the same group. Nevertheless, increasing the number of icons negatively affects the graphic economy. The vocabulary contains more than the theoretical maximum of nine basic symbols which is recommended in the principle of graphic economy. From that point, the overload of symbols is excusable. Some problems were found in the evaluation of cognitive interaction. Curved lines could be problematic when crossing and when concurrent connector lines occur in the model. The next recommendation is for the producer HEXAGON. It would be useful if you offered the option of changing curved lines into a straight line with the possibility of angling them at an obtuse angle. The negative influence of crossing lines was verified through eye-tracking.
The effective cognition of ERDAS IMAGINE visual vocabulary is high in comparison with other GIS visual programming languages. The final statement is based on several previous research works of Dobesova in the space of GIS visual programming languages [34,35,36]. The visual vocabulary of ERDAS IMAGINE and the presented evaluation could inspire designers of visual programming languages in GIS software.
The results of the research could be applicable as a set of recommendations for users in practice. The users would receive space for improvements in their model by the application of advice. Their models would have better comprehensibility when used by other users. The recommendations are:
- Use the automatic alignment function of the symbols on the grid.
- Prevent crossing connector lines
- Do not extend symbol with long labels
- Rename symbol in some cases to be accurate as possible
- Choose a short name for the data for labelling the ports
- Frequently use Sub-models to increase modularity.
Table 2 reports all the findings of the research in summarised form. Also, some recommendations for improvements and future user practices are given. The knowledge acquired in the presented research is also lectured to students of the Geoinformatics study branch every academic year. It is valuable to share teachers’ good experiences like it is presented in the article about database design [40].
Table 2.
Principles of the Physics of Notations, their satisfaction, eye-tracking findings, and recommendations for using ERDAS IMAGINE Spatial Model Editor.
The presented evaluation was made for ERDAS IMAGINE version 2013 that was accessible as commercial software for Palacký University. Another financial expense was the limitation for testing of a newer version. However, the newer version 2016 contains a small number of changes; a new pink symbol for input, the symbol for the Sub-model has changed from brown to grey, and new icons have appeared for new operations. The shape of the lines is unchanged. Based on several years in education and author’s research in the visual programming languages area, the presented recommendations for users in practice are also valid for the newer version of visual vocabulary.
The research limitation is the relatively small group of respondents (16 students) and their level of experience. Valuable could be testing of professional users from practice who used Spatial Model Editor regularly in their practice. Nevertheless, organizing of that type of experiment and record of the level of experience is a complicated task.
Some influence on results is also the size of the model, number of symbols, and position of symbols in models. Also, using different operations in models in combination with various user experiences and specialization could influence. To fix all those factors to the same level is a question for the next investigation in eye-tracking. It would be interesting to try to test another set of models and in future research.
Funding
This paper was created within the project of Erasmus+ Programme of the European Union, Jean Monnet Module (Project No. 620791-EPP-1-2020-1-CZ-EPPJMO-MODULE, UrbanDM).
Acknowledgments
Thanks for the support and consultation provided by Stanislav Popelka, head of the eye-tracking laboratory. Thanks to students of Geoinformatics for taking part in eye-tracking testing.
Conflicts of Interest
The authors declare no conflict of interest.
Appendix A. Eye-Tracking Experiment: List of Tasks and Models from ERDAS IMAGINE Spatial Model Editor
The appendix presents the list of models and assigned tasks that were used in the eye-tracking experiment. The order of models was random in testing. The presented list is organized according to the aim of testing and corresponds with the type of evaluation (symbols, connector crossing etc.).
Note 1: Correct answers are marked with a red dot on the pictures for reader information.
Note 2: All models were also used in the first part of testing–Free viewing part.
Part 1. Symbols for Data
Task A1: Mark the symbol for Raster Input.

Task A2: Mark the symbol for Raster Output.

Task A3. Mark the symbols for Preview data.

Task A4. Mark the symbols for Input Matrix.

Task A5. Mark the symbols for the parametric input data.

Task A6. Mark the symbols for the scalar input value.

Part 2. Symbols for Operation
Task A7. Mark the symbols for Slope and Aspect operations.

Task A8. Mark all symbols for the Convolve operation.

Task A9. Mark all symbols for the Band selection operation.

Task A10. Mark all symbols for the Sub-model.

Task A11. Mark all symbols for the Multiply operation.

Task A12. Mark all symbols for the Subtract operation.

Part 3. Functional Icons
Task A13. Mark operation that finished with error.

Task A14. Mark the successfully created output raster.

Part 4. Crossing of Connector Lines
Task A15. Mark all symbols of input data for Range List 1.

Task A16. Mark all symbols of input data for Range List 1.

Task A17. Mark input raster Before Image and corresponding Preview (Before Image).

Task A18. Mark input raster Before Image and corresponding Preview (Before Image).

Part 5. Other Tested Models and Tasks (Not Used in the Final Evaluation of Eye-Tracking)
Task A19. Mark the symbols of the scalar input value.

Task A20. Mark the symbol for Raster Input.

Task A21. Is the type of input and output data the same? (Correct answer No)

Appendix B. Descriptive Statistics and Tests of Eye-Tracking Measurement
Part 1. Symbols for Data
Table A1.
Time of the first click (seconds) to the symbols in eye-tracking testing.
Table A1.
Time of the first click (seconds) to the symbols in eye-tracking testing.
| Statistics | Raster Input | Raster Output | Preview | Matrix | Parameter | Scalar |
|---|---|---|---|---|---|---|
| Number of correct answers | 16 | 15 | 16 | 14 | 4 | 14 |
| Mean | 3.1318 | 3.801 | 4.0584 | 6.4166 | 14.5652 | 9.4279 |
| Median | 2.7976 | 3.6409 | 3.4024 | 6.2623 | 14.7526 | 8.586 |
| Std. Deviation | 1.5018 | 1.5742 | 2.0472 | 2.2053 | 6.7681 | 4.6763 |
Table A2.
Kruskal-Wallis test for symbols of data.
Table A2.
Kruskal-Wallis test for symbols of data.
| Statistics | Value |
|---|---|
| H Chi-Square | 39.4804 |
| df (degrees of freedom) | 5 |
| p-value | 1.901e-7 |
Result: Some of the groups’ mean ranks consider to be not equal. The difference between the mean ranks of some groups is big enough to be statistically significant. The observed effect size η2 is large. 0.47. This indicates that the magnitude of the difference between the averages is large.
Part 2. Symbols for Operation
Table A3.
Time of the first click (in seconds) to the symbols in eye-tracking testing.
Table A3.
Time of the first click (in seconds) to the symbols in eye-tracking testing.
| Statistics | Slope | Convolve | Band | Sub-Model | Multiplay | Subtract |
|---|---|---|---|---|---|---|
| Number of correct answers | 16 | 16 | 16 | 16 | 16 | 15 |
| Mean | 2.4983 | 4.0359 | 5.0733 | 5.5453 | 3.7873 | |
| Median | 2.3987 | 3.7736 | 4.3135 | 3.3326 | 4.9461 | 3.4942 |
| Std. Deviation | 0.9356 | 1.9825 | 2.7733 | 1.3042 | 3.7396 | 1.5152 |
Table A4.
Kruskal-Wallis test for symbols of operations.
Table A4.
Kruskal-Wallis test for symbols of operations.
| Statistics | Value |
|---|---|
| H Chi-Square | 18.7128 |
| df (degrees of freedom) | 5 |
| p-value | 0.002174 |
Result: Some of the groups’ mean ranks consider to be not equal. The difference between the mean ranks of some groups is big enough to be statistically significant. The observed effect size η2 is large. 0.15. This indicates that the magnitude of the difference between the averages is large.
Part 4. Crossing of Connector Lines
Table A5.
Time of the total time of solution (in seconds) to the symbol in eye-tracking testing.
Table A5.
Time of the total time of solution (in seconds) to the symbol in eye-tracking testing.
| Statistics | Task A15 without Crossing Lines | Task A16 with Crossing Lines |
|---|---|---|
| Number | 16 | 16 |
| Mean | 14.4449 | 18.1678 |
| Median | 13.0630 | 15.9491 |
| Std. Deviation | 5.3479 | 4.2089 |
Table A6.
Wilcoxon test for tasks A15 and A16.
Table A6.
Wilcoxon test for tasks A15 and A16.
| Statistics | Value |
|---|---|
| Z | −4.169569 |
| p-value | 0.00003052 |
Result: The value of the total time solution of tasks A15 and A16 is considered to be not equal to the expected difference (μ0).
The difference between the values of the total time is big enough to be statistically significant.
References
- Dobesova, Z. Strengths and weaknesses in data flow diagrams in GIS. In Proceedings of the Computer Sciences and Applications (CSA), 2013 International Conference, Wuhan, China, 14–15 December 2013; pp. 803–807. [Google Scholar]
- Dobesova, Z. Data flow diagrams in geographic information systems: A survey. In Proceedings of the 14th SGEM GeoConference on Informatics, Geoinformatics and Remote Sensing, Albena, Bulgaria, 17–26 2014; STEF92 Technology Ltd.: Sofia, Bulgaria, 2014; Volume 1, pp. 705–712. [Google Scholar]
- Dobesova, Z. Visual Programming for GIS Applications. Geogr. Inf. Sci. Technol. Body Knowl. 2020, 2020. [Google Scholar] [CrossRef]
- Avison, D.E.; Fitzgerald, G. Information Systems Development: Methodologies, Techniques and Tools, 4th ed.; McGraw-Hill: New York, NY, USA, 2006. [Google Scholar]
- Mayer, R.E.; Moreno, R. Nine ways to reduce cognitive load in multimedia learning. Educ. Psychol. 2003, 38, 43–52. [Google Scholar] [CrossRef] [Green Version]
- Bertin, J. Semiology of Graphics; University of Wisconsin Press: Madison, WI, USA, 1983; ISBN 0299090604. [Google Scholar]
- Goolkasian, P. Pictures, words, and sounds: From which format are we best able to reason? J. Gen. Psychol. 2000, 127, 439–459. [Google Scholar] [CrossRef] [PubMed]
- Paivio, A. Mental Representations: A Dual Coding Approach; Oxford University Press: London, UK, 2008; ISBN 9780199894086. [Google Scholar]
- Beaty, P. A Brief History of ERDAS IMAGINE. Available online: http://field-guide.blogspot.com/2009/04/brief-history-of-erdas-imagine.html (accessed on 19 May 2021).
- ERDAS IMAGINE® 2015, Product Features and Comparisons, Product Description; Hexagon Geospatial: Madison, AL, USA, 2015.
- Intergraph ERDAS IMAGINE® 2013 Features Next-Generation Spatial Modeler. Available online: www.intergraph.com/assets/pressreleases/2012/10-23-2012b.aspx (accessed on 8 August 2020).
- Hexagon ERDAS Imagine Help, Introduction to Model Maker. Available online: https://hexagongeospatial.fluidtopics.net/r/Yld0EVQ2C9WQmlvERK2BHg/SaZ4fP63NvEw5Tjs2uBP_w (accessed on 18 May 2021).
- Holms, D.; Obusek, F. Automating Remote Sensing Workflows with Spatial Modeler. Available online: https://p.widencdn.net/im6mzj (accessed on 12 January 2020).
- Connell, J.O.; Connolly, J.; Holden, N.M. A multispectral multiplatform based change detection tool for vegetation disturbance on Irish peatlands. In Proceedings of the SPIE—The International Society for Optical Engineering, Prague, Czech Republic, 6 October 2011; Volume 8174. [Google Scholar]
- Ma, J.; Wu, T.Y.; Zhu, L.J.; Bi, Q.; Cheng, C.Q.; Zhou, H.M. Processing practice of remote sensing image based on spatial modeler. In Proceedings of the 2012 2nd International Conference on Remote Sensing, Environment and Transportation Engineering, RSETE 2012, Nanjing, China, 1–3 June 2012. [Google Scholar]
- Laosuwan, T.; Pattanasethanon, S.; Sa-Ngiamvibool, W. Automated cloud detection of satellite imagery using spatial modeler language and ERDAS macro language. IETE Tech. Rev. (Inst. Electron. Telecommun. Eng. India) 2013, 30, 183–190. [Google Scholar] [CrossRef]
- Chen, X.; Yuan, Z.; Li, Y.; Wai, O. Spatial and temporal dynamics of suspended sediment concentration in the pearl river estuary based on remote sensing. Geomatics Inf. Sci. Wuhan Univ. 2005, 30, 677–681. [Google Scholar]
- Park, J.K.; Na, S.I.; Park, J.H. Evaluation of surface heat flux based on satellite remote sensing and field measurement data. In Proceedings of the International Geoscience and Remote Sensing Symposium (IGARSS), Munich, Germany, 22–27 July 2012; pp. 1108–1111. [Google Scholar]
- Pechanec, V.; Vavra, A.; Hovorkova, M.; Brus, J.; Kilianova, H. Analyses of moisture parameters and biomass of vegetation cover in southeast Moravia. Int. J. Remote Sens. 2014, 35, 967–987. [Google Scholar] [CrossRef]
- Miřijovský, J.; Langhammer, J. Multitemporal Monitoring of the Morphodynamics of a Mid-Mountain Stream Using UAS Photogrammetry. Remote Sens. 2015, 7, 8586–8609. [Google Scholar] [CrossRef] [Green Version]
- Chen, B.B.; Gong, H.L.; Li, X.J.; Lei, K.C.; Zhu, L.; Wang, Y.B. The Impact of Load Density Differences on Land Subsidence Based on Build-Up Index and PS-InSAR Technology. Spectrosc. Spectr. Anal. 2013, 33, 2198–2202. [Google Scholar] [CrossRef]
- Liu, Z.; Zhan, C.; Sun, J.; Wei, Y. The extraction of snow cover information based on MODIS data and spatial modeler tool. In Proceedings of the 2008 International Workshop on Education Technology and Training and 2008 International Workshop on Geoscience and Remote Sensing, ETT and GRS 2008, Shanghai, China, 21–22 December 2008; Volume 1, pp. 836–839. [Google Scholar]
- Komarkova, J.; Machova, R.; Bednarcikova, I. Users requirements on quality of Web pages of municipal authority. E M Ekon. A Manag. 2008, 11, 116–126. [Google Scholar]
- Reeves, B.S. What Is the Relationship Between HCI Research and UX Practice? UX Matters 2014. Available online: https://www.uxmatters.com/mt/archives/2014/08/what-is-the-relationship-between-hci-research-and-ux-practice.php (accessed on 10 January 2021).
- Sedlák, P.; Komárková, J.; Hub, M.; Struška, S.; Pásler, M. Usability evaluation methods for spatial information visualisation case study: Evaluation of tourist maps. In Proceedings of the ICSOFT-EA 2015—10th International Conference on Software Engineering and Applications, Proceedings; Part of 10th International Joint Conference on Software Technologies, ICSOFT, Colmar, France, 20–22 July 2015; pp. 419–425. [Google Scholar]
- Komárková, J. Quality of Web Geographical Information Systems; University of Pardubice: Pardubice, Czech Republic, 2008; ISBN 978-80-7395-056-9. [Google Scholar]
- Moody, D. The physics of notations: Toward a scientific basis for constructing visual notations in software engineering. IEEE Trans. Softw. Eng. 2009, 35, 756–779. [Google Scholar] [CrossRef]
- Moody, D. Theory development in visual language research: Beyond the cognitive dimensions of notations. In Proceedings of the 2009 IEEE Symposium on Visual Languages and Human-Centric Computing, VL/HCC 2009, Corvallis, OR, USA, 20–24 September 2009; pp. 151–154. [Google Scholar]
- Moody, D.L. The “physics” of notations: A scientific approach to designing visual notations in software engineering. In Proceedings of the International Conference on Software Engineering, Cape Town, South Africa, 2–8 May 2010; ACM: Cape Town, South Africa, 2010; Volume 2, pp. 485–486. [Google Scholar]
- Mackinlay, J. Automating the Design of Graphical Presentations of Relational Information. ACM Trans. Graph. 1986, 5, 110–141. [Google Scholar] [CrossRef]
- Popelka, S.; Štrubl, O.; Brychtová, A. Smi2ogama. Available online: http://eyetracking.upol.cz/smi2ogama/ (accessed on 10 January 2021).
- Holmqvist, K.; Nyström, M.; Andersson, R.; Dewhurst, R.; Jarodzka, H.; Van de Weijer, J. Eye Tracking: A Comprehensive Guide to Methods and Measures; Oxford University Press: Oxford, UK, 2011; ISBN 9780199697083. [Google Scholar]
- Sterling Sterling Geo’s Spatial Modeler Library. Available online: http://www.sterlinggeo.com/spatial-modeler-library-index/ (accessed on 15 August 2016).
- Dobesova, Z. Evaluation of effective cognition for the QGIS processing modeler. Appl. Sci. 2020, 10, 1446. [Google Scholar] [CrossRef] [Green Version]
- Dobesova, Z. Testing of Perceptual Discriminability in Workflow Diagrams by Eye-Tracking Method. Adv. Intell. Syst. Comput. 2018, 661, 328–335. [Google Scholar]
- Dobesova, Z. Empirical testing of bends in workflow diagrams by eye-tracking method. Adv. Intell. Syst. Comput. 2017, 575, 158–167. [Google Scholar]
- Martin, D.W. Doing Psychology Experiments; Wadsworth Cengage Learning: Belmont, CA, USA, 2008; ISBN 0495115770. [Google Scholar]
- Jan, H. Overview of Statistical Methods: Data Analysis and Meta Analysis; Portal: Prague, Czech Republic, 2009. [Google Scholar]
- Jošt, J. Eye Movements, Reading and Dyslexia; Fortuna: Praha, Czech Republic, 2009; ISBN 978-80-7373-055-0. [Google Scholar]
- Dobesova, Z. Teaching database systems using a practical example. Earth Sci. Inform. 2016, 9. [Google Scholar] [CrossRef]
Publisher’s Note: MDPI stays neutral with regard to jurisdictional claims in published maps and institutional affiliations. |
© 2021 by the author. Licensee MDPI, Basel, Switzerland. This article is an open access article distributed under the terms and conditions of the Creative Commons Attribution (CC BY) license (https://creativecommons.org/licenses/by/4.0/).





