Abstract
The question of whether each building of housing estate has equal access to nearby social service resources (e.g., public transportation service, catering, entertainment, etc.) is a major concern of citizens. This paper takes Wuhan as a case to explore the equality in social service resource sharing of the housing estate at a microscopic level by analyzing the accessibility of each building under different travel patterns. To estimate the accessibility of each building, we developed a novel model with multi-travel modes and residential suitability evaluation of residents. The specific values of the parameters involved in the proposed model were extracted from the multi-source spatial data such as social media data, census data, point of interest, and road network data. These data were acquired from multiple platforms, e.g., Gaode map, OSM (OpenStreetMap), and GeoQ. We chose three types of districts in the city of Wuhan, including the old central district, new central district, and suburban district. We applied the proposed model to assess the accessibility of communities in these districts. Based on the results, we further analyzed whether and to what extent the distribution of each building in urban communities is equitable for social service resource sharing in China.
1. Introduction
With the rapid development of urban economy, the demand for livability of the housing estate has reached a higher level. Advanced residential planning and public resource allocation have facilitated city dwellers’ daily travel and the utilization of social resources [1]. Accessibility of housing estate as an index has been used to measure the extent to which residents are able to reach grocery stores, public services, recreation centers, and places of interest [2,3,4]. As an indicator for residential suitability, accessibility plays an important role in decision-making for planners and potential residential groups. During the last few decades, many studies have examined accessibility modeling and application from the aspects of residential locations, transportation patterns, individual activities, and economic benefits [4,5,6,7,8]. Geurs et al. [9] categorized the accessibility measurement into four types: infrastructure-based measures, location-based measures, person-based measures, and utility-based measures. Ben-Elia et al. [4] also indicated that the present accessibility assessment approaches mainly included four aspects: (1) simply measure the proximity between locations in time, distance, or both [10]; (2) using a gravity-type model to count the cumulative number of reachable activities, opportunities, or locations within a certain distance, time, or cost threshold from a given origin [11]; (3) applying utility-based approaches (e.g., net benefits) to measure the accessibility from an econometrics perspective [12]; (4) evaluate the accessibility based on the factors of capability, coupling and authority space-time constraints [13].
Based on the study by Geurs et al. [9], accessibility of housing estate is a typical instance of location-based measures. The present studies on housing estate accessibility mainly answered two research questions: (1) how to evaluate the accessibility of housing estate; and (2) what are the relations between accessibility and social factors (e.g., housing prices and public service facilities)? Research related to the first question has been addressed by constructing the accessibility measurement model from the aspects of distance, time, the number of residents, etc., as stated by Ben-Elia et al. [4]. To discuss the second issue, researchers investigated the potential social problems of housing price and resource configuration [8,14,15,16,17]. Although lots of articles have discussed housing accessibility on the above two questions, two additional problems still need to be addressed: (1) how to model the accessibility considering multi-mode traffic to complete the travel; and (2) how to model the community accessibility at small scales, e.g., building scale. The present studies for addressing these two issues are still rare. To analyze the accessibility of housing estate at a building level, Ben-Elia et al. [4] proposed to consider travel times by car and public transit [18]. Although they further estimated the equity of commercial and industrial buildings based on the accessibility measurement from the aspect of travel time, they ignored other elements of buildings such as nearby amenities.
In this study, we proposed a novel method to evaluate the accessibility of housing estate at a building scale accounting for multi-mode transport and amenity elements (e.g., the numbers and types of amenities). Meanwhile, we also integrated the feasible evaluation from residents into the accessibility measurement model. The community accessibility at the building scale can be computed using multi-source spatial data, which can be acquired from multiple platforms, such as social median data from the Weibo platform, census data of the GeoQ platform, and point of interest and transportation information from map platforms (e.g., Gaode and OSM). In the case study, we selected nine communities from four districts of Wuhan city, including the new central district: Wuchang, old central district: Jiangan, Hanyang, and newly developed district: Caidian. The accessibility of communities in these districts was calculated and visualized at the building level. Based on the accessibility measurement results, we analyzed the distribution of activity resources within the reachable area by taking three travel patterns (i.e., walking, walking and taking public transportation, and walking and driving a private car). Meanwhile, we discussed the uneven distribution of social service resources at the building level by evaluating the association between housing prices and building accessibility.
The remainder of this article is organized as follows. Section 2 reviewed the related literatures. Section 3 described the methodology of building-level accessibility measurement. Section 4 provided the implementation of accessibility measuring of the study area and discussed the results. Section 5 summarized conclusions and future research directions.
2. Literature Review
2.1. Accessibility Measurement for Communities
The measurement for community accessibility [9] mainly includes two categories: distance model [19] and potential measure [20]. Distance measures are usually applied to estimate the maximum travel time or distance from an origin to a destination. For more than two possible destinations, contour measure, also known as an isochoric measure, is applied to count the number of opportunities that can be reached within a given travel time, distance, cost, or measure of the time or cost required. For example, Shen [21] analyzed the fairness of local zoning practices through the housing accessibility to facilities. The accessibility defined in this research was quantified through a distance-oriented model, which includes the shortest distances, aggregated mean distances, and descriptive statistics of distances from homes to community amenities. Liang et al. [22] applied distance-based measures to estimate the accessibility of housing estate to various surrounding public services through the shortest path, the fastest path, the second shortest path, and the second-fastest path.
Potential measure is another approach to quantifying the accessibility of locations (e.g., parks, universities, and shops.) based on the features of simplicity and generalizability [8,23,24,25,26,27]. As Geurs and Wee [9] mentioned in their article, potential measure is an advanced approach in both theory and practice. It considers the combined effect of land-use and transport factors and integrates the perceptions of transportation using a distance decay function. In addition, the access scores can be computed due to the availability of the land-use and transport data. Ben-Elia et al. [18] estimated the accessibility of commercial and industrial buildings by calculating the door-to-door travel time of the shortest paths by car and by public transit. However, they mainly considered the factors of travel time and ignored the other elements of buildings such as the number of residents, jobs, and other amenities.
2.2. Social Impact Related to Housing Estate Accessibility
Exploring social equity based on the analysis of housing prices and accessibility is another research topic. For such cases, accessibility of communities has been incorporated in the model, and the computation process is straightforward. For instance, Chin and Foong [14] used a hedonic housing price model to explore the relationship between accessibility and housing values in Singapore. They used the number of employments and the number of prestigious primary and secondary schools in a zone as the accessibility of housing estate. Li et al. [16] investigated the accessibility to key amenities and its impact on housing values in Salt Lake County. In their article, the accessibility of communities was measured based on the percentage of regional employments within 10 min drive and the number of light-rail stations and bus stations within 0.5 miles. In addition, they further discussed the degree to which the real estate market is associated with structural attributes, accessibility, public, and private services in Shanghai [17]. The accessibility of communities in this article was calculated using the number of metro stations and bus stops within 0.5 miles and the number of sharing bikes within 300 m [17]. Although these studies have explored community or housing estate accessibility from the aspects of housing prices, transportation, and amenity distribution, some additional questions remain to be addressed [8]. First, accessibility was computed using fixed distance or time cost, without accounting for the dynamics of an individual’s daily life. In metropolitan areas, with a large population and complex road networks, residents have various travel patterns. Therefore, it is important to set multiple travel times and distances in the model. Secondly, most research on community accessibility was conducted at a district scale but rarely discussed at a microscopic scale, such as community or single-building scale. As a result, the difference in resource using among residential buildings cannot be captured. With the growing trend of smart urban planning, understanding the heterogeneity of resource allocation at microscopic scale has become crucial for policymakers.
3. Methodology
3.1. Modelling Accessibility of Housing Estate
To improve living quality, most people tend to rent or buy real estate located within convenient access to work, schools, parks, or other amenities. There are two elements for measuring housing accessibility, transport cost, and opportunity. Transport cost is characterized by the travel time of the shortest path using the existing transport models from an origin in (single building) to a destination jm (attraction) (Figure 1). Opportunity is used to express absolute values such as the number of residents, capacity, and attractiveness of surrounding amenities. Accessibility of housing estate with a combination of these two elements is used to quantitatively describe the possibility of reaching desired goods, services, activities, and destinations from residential locations [3].
Figure 1.
Relation between an origin (single building in) and a destination (amenity jm).
As an instance of location-based measure, the model of housing accessibility follows the concept of the potential model. Meanwhile, in terms of spatial interaction, the concept of a potential model is related to the gravity model [8,26]. Thus, inspired by the gravity model, the spatial interaction between two points: an origin i and a destination j is quantified as follows:
where Tij represents spatial interaction between the origin i and destination j; Oi is the number of residents in a building i; Dj is the population capacity of surrounding amenities; cij is the travel time of the shortest path from an origin (single-building in a residential area) i to a destination j (amenity around the residential area); k is a parameter that reflects increasing rate in friction of the time, and its value usually set as 1 or 2 [8]. Tij is proportional to the Oi (number of residents) and Dj (population capacity) and inversely proportional to the travel time cij. For single building i, its accessibility is a cumulative value of the spatial interactions between origin i and all surrounding amenities. Thus, the accessibility measurement model in this paper is written as Equation (2).
where Ai is an attractiveness index that is used to reflect the main characteristics of a residential area; Ti is the accessibility of building i; Nd is the total number of destinations.
The accessibility in Equation (2) quantifies the inverse of the average cost of travel time from the given building: high values of Ti correspond to the low values of cij. The parameter Ai indicates the main characteristics of a community that attracts residents. In general, the attractiveness of a community depends on a few factors, including housing prices, surrounding environment, services available, etc. In this study, we are going to start from three aspects to evaluate the attractiveness of communities, including (1) the number of amenities; (2) the number of amenity types; (3) residents’ evaluation of their living environment. The first two factors reflect the potential of surrounding amenities of communities, and the last one embodies the real experience of residents. In this study, we assume that these three factors have the same impact on a residential attractiveness score. To quantify the effects from these three factors, the calculation of A is defined in Equation (3), where parameters p1, p2, and p3 represent the quantitative results of the above three factors, respectively. In addition, considering the spatial heterogeneity, the computations of these three parameters p1, p2, and p3, are defined as Equations (4)–(6), respectively.
where p1 represents the proportion of amenities in a buffer of building i to all amenities in the experimental area; p2 represents the proportion of amenity types in the buffer to the total number of amenity types in the experimental area; p3 represents residents’ evaluation of their living environment based on the textural analysis of social media data. It should be emphasized that the buffer of building i in a community is defined using a fixed-radius (denoted as: r) and the community’s boundary information, as shown in Figure 1. The value of buffer radius r is determined by the travel distance of residential activities. The specific computation for p1, p2, and p3 is as follows.
where Nd indicates the total number of amenities in a buffer of building i, NT presents the total number of amenities in the experimental area.
where tpd and Np represent the number of amenity types in the buffer of building i and the total number of amenity types in the experimental area, respectively.
As mentioned above, the parameter p3 is proportional to the number of positive comments which were reviewed by residents. In Equation (6), parameters ngood and Nsign represent the number of positive comments and the total number of comments from residents. Also, note that all comments from residents were extracted from social media data. However, for some residential areas, there was no feedback about living experiences on the social media platforms. Therefore, Equation (6) presents two kinds of algorithm: Nsign equals zero and Nsign does not equal zero. The detailed definition of these symbols is listed in Table 1.
Table 1.
The definition of the symbols for accessibility assessment.
3.2. Travel Time in Multimodal Transportation Networks
In an urban area, a well-designed transportation system offers multiple options of transportation modes to residents. Thus, the travel mode between residential locations and their destinations is not limited to one type. In this case, we categorized the trip of a resident into three patterns: (1) walking, (2) walking and then taking public transport, and (3) walking and then driving a private car. In Figure 2, the first pattern reveals that residents start the trip from their homes and then walk to the destination. For this case, the buffer of a residential area confirms the number and locations of amenities within walking distance. The second and third patterns were defined based on the long-distance travel that people must take a car or public transportation system (e.g., bus or subway). Therefore, for the second pattern, residents need to walk to the nearest station and then take public transportation to the destination. The third pattern presents those residents walking to the nearest parking lot and then driving their car to the destination.
Figure 2.
Three travel patterns of residents when they come out from their home to reach their destinations.
These three travel patterns applied different computation methods for travel time in accessibility measurement. In addition, to get an accurate estimation of travel time, the distance measuring from an origin i to a destination j used the shortest network distance based on the A* algorithm [27], as shown in Figure 3. It should be noted that the shortest network distance for each transport mode was acquired from different road networks. The corresponding data were collected from pedestrian road networks (for walking), public transportation routes (for public transport), and traffic road networks (for private vehicles).
Figure 3.
Network distance from an origin i to a destination j.
The travel time of the shortest path for each trip pattern is expressed as follows:
where pk represents the trip pattern, disij denotes the shortest network distance from an origin i to a destination j; disis represents the shortest network distance from i to a stop/station s; dissj represents the shortest network distance from s to j; disip denotes the shortest network distance from i to the nearest parking lot p; dispj denotes the shortest network distance from p to j; v1, v2, and v3 represent the average speed of walking, public transportation (e.g., bus), and private car, respectively (Figure 2).
4. Case Study
4.1. Study Area and Data
Wuhan is an important city in central China with a multi-center urban spatial structure [17]. In the city of Wuhan, there are 13 districts. Seven of them are located in the central urban region, and the rest are located in suburban area (Figure 4). The central districts in the city of Wuhan were further classified into the new central district (e.g., Wuchang, Qingshan, Hongshan) and the old central district (e.g., Jiangan, Jianghan, Jiangan, Qiaokou) based on the economic development sequence. To verify the proposed method in this study, we selected nine gated communities from three kinds of districts as a case study, including the new central district -- Wuchang, old central district—Jiangan, Hanyang, and newly developed district -- Caidian. The detailed information, including the identification number, total area, and the number of buildings, was listed in Table 2. In this study, the housing price used for the analysis of association with social factors was acquired by manual searches from the real estate websites (e.g., HomeLink Real Estate).
Figure 4.
Districts in the city of Wuhan.
Table 2.
Add a descriptive label of the table here.
The data used for accessibility measurement include the demographic data, road networks, building information, point of interest (POI) data, and social media data. The demographic data of experimental area were acquired from the GeoQ platform, which provides the latest population data according to the national census data. Road networks, including pedestrian networks and vehicle networks, were downloaded from OpenStreetMap (OSM). These road networks were used to compute the travel time between residential locations and destinations. The information of the point of interest (POI), including the type and location coordinates, was acquired from the Gaode map. The detailed information of communities was extracted from the OSM platform, including the boundary of the community, location, and geometry structure of each building in a community. Beyond that, comments for residents’ living experiences were acquired from the Weibo platform using web crawler technology. Figure 5 shows part of POI locations, road networks, communities and buildings, and public transport stations in the Wuchang district.
Figure 5.
Data used for accessibility measurement.
4.2. Data Preprocessing
Since our research data including POI, road networks, and community buildings were acquired from multiple platforms (e.g., Gaode map, OSM, GeoQ), the spatial references of all data were standardized to the WGS84 coordinate system. Beyond that, residents’ comments for their community will be used to estimate the residential suitability by two steps: (1) location information extraction from the textual data which were collected from the platform of Weibo; and (2) spatial matching between comments and communities. For the first step, we used the NLPIR1 (Natural Language Processing & Information Retrieval) platform to extract the location information from all textual data [28]. Then, we matched all comments to the corresponding community based on the location information. Normally, one comment should be matched to a specific community. To avoid the situation that one comment matched to multiple communities, we proposed an optimized spatial matching algorithm (OPMA) based on the dynamic programming (DP) technique. DP technique is mainly applied to get the optimal solution for a complex problem by decomposing it into several simple sub-problems and getting the solution of these sub-problems [29]. Thus, during this process, the redundant results were matched again based on the DP technique. The details of the proposed OPMA method are shown as Algorithm 1.
| Algorithm 1. Optimized spatial matching algorithm (OPMA) | |
| 1: | Input: the position of a community: Si, i = 1, 2, …, n; the position of textual data: sj, j = 1, 2, …, m |
| 2: | Output: the optimized matching set Pi2 |
| Function | |
| step 1: computing the distance between Si and sj and sorting distance results | |
| 4: | for each q in Si, do |
| 5: | for each p in sj, do |
| 6: | xi = getDistance (q, p) |
| 7: | end for |
| 8: | sort distance set Xi = (x1, …, xi) based on the value of xi |
| step 2: selecting the initial matching set | |
| 9: | Gi = getGeometricAverage (j ≥ ) |
| 10: | get the initial matching set Pi based on the Gi |
| 11: | if xj ≥ Gi then |
| 12: | emit Xi |
| step 3: getting the order for the following optimization | |
| 13: | for each q in Si, do |
| 14: | Ni = getProportion (i, q ≥ ) |
| 15: | end for |
| 16: | get a descending order of Si based on the value of Ni |
| step 4: optimizing the initial matching set Pi1 based on the order of step 3 | |
| 17: | Matching: Pi1 = match (Si, Pi(xj, j = 1, 2, …, Ni*m) |
| step 5: finding the redundant matching results through a traversal, and using dynamic programming (DP) technique to match these redundant results again | |
| 18: | for each P in Pi1, do |
| 19: | Pi2 = DP (match = (Si, Pi(xj, j = 1, 2, …, Ni*m)), num > 1) |
| 20: | end for |
| 21: | emit set Pi2 |
| End function | |
The estimation of residential suitability for each community was then performed based on the matched comments. In this process, we summed all positive reviews from the matched comments based on the results of NLPIR.
4.3. Accessibility Measurement
Based on the proposed accessibility measurement, we first determined the values of Oi, Dj, and cij. The values of Oi and Dj in this study were acquired based on the demographic data. For travel time computation, the shortest path distance from a building (i) to a POI (j) was computed using the Dijkstra algorithm in this study. Meanwhile, based on the existing research [30], the average speed of walking was set as 1.25 m/s. The average speed of public transportation was acquired from the Gaode Map according to the corresponding travel route. For private cars, the speed limit of the road was used as the average speed to compute the travel time. In addition, the value of parameter k was set as two based on the existing research [8].
4.3.1. Traveling Cost Analysis for Multi-Mode of Trip Pattern
In this study, we applied travel time to estimate residents’ daily traveling costs. As mentioned above, there are three types of travel modes: (1) walking, (2) walking and then taking public transport, and (3) walking and then driving a private car. Among these three patterns, the priority mode is walking. For example, residents need to walk from their home to a transit place (e.g., bus stop, metro station, or parking lot) before they decide to take public transport or drive a private car. The path distance from each building to a transit place determines the duration of walking time. Therefore, the varying locations of buildings in a community are associated with the difference in walking time, thus further affecting the total travel time. To understand the difference in the three trip patterns, we analyzed the reachable area for each pattern by constructing the accessibility equivalent circle. That is, the accessibility threshold for each equivalent circle was computed by setting several thresholds of fixed travel time. In this study, the thresholds of travel time included four levels: 0–5 min, 5–15 min, 15–45 min, and longer than 45 min. Then, we computed the reachable area of each building within the accessibility equivalent circle under different trip patterns. It should be noted that for the last two patterns (e.g., walking and then taking public transport, and walking and then driving a private car), the fixed travel time also included the time that residents walk to the bus station or parking lots from their living building. Figure 6 visualized the reachable area of the third trip pattern in three communities. Here, the buildings in each community were represented as a single point, marked with a red asterisk. As in a normal case, residents spend 0–15 min walking to the nearest transport stations. To overcome the potential issue that the reachable area approaches zero, especially for the second and third trip patterns, we defined the area using 15–45 min traveling time.
Figure 6.
The reachable region of each community for the third trip pattern, (a) community in Wuchang district; (b) community in Jiangan district; (c) community in Caidian district.
To further analyze the difference of the reachable area by taking different trip patterns, we computed the area of all reachable regions in the districts of Wuchang, Jiangan, and Caidian (Figure 7). Based on the statistics in Figure 7, there is subtle variation in the reachable area by taking Pattern 2 and Pattern 3. Therefore, the location difference of each building in a community slightly affects the reachable area for the last two trip patterns. However, building-level heterogeneity was identified for the reachable area under the first trip pattern. This variation typically existed during short-distance travel, between residential buildings and public transport stations. For example, the maximum difference of the reachable area under the first trip pattern for each building in the Caidian district was approximately 1 km2. This distance difference may not affect the traveling experience for a long distance trip under the other two trip patterns: Pattern 2 and Pattern 3. But it has a significant impact on walking activities. Therefore, we focused on analyzing the sensitivity of the proposed method for accessibility measurement at the building level under the first trip pattern (i.e., walking from the building to the destination).

Figure 7.
Statistics of the reachable area by taking different patterns of trip pattern, (a) community in Wuchang district; (b) community in Jiangan district; (c) community in Caidian district.
4.3.2. Accessibility Measurement Results within Walking Distance
In terms of the travel time cost analysis, a building’s location in a community has a major impact on residents’ walking activity time. The walking time cost may further influence the travel time by taking public transportation or private car. But this effect will decrease with travel distance increases. In this study, to explore the sensitivity of the proposed method for accessibility measurement at the building level, we computed the accessibility of all experimental communities within the walking distance. Based on the existing research, the scope for most residents’ walking activity should be within 1 km [31]. So, the buffer radius r was set to 1 km and constructed based on the boundary of communities. For a community, buildings were considered as origins while amenities in the buffer were accounted as destinations. Taking community ‘101’ in Wuchang district as a case (Figure 8), the value of Nd, NT, tpd, Np, ngood, and Nsign for each building in community ‘101’ is about 27, 355, 4, 10, 15, and 23. Since the area and floors quantity of each building in community ‘101’ are different, the value of Oi of each building i is different. Here, the number of residents for C1701, C1702, C1703, C1704, C1705, and C1706 is about 848. The buildings C1707 and C1708 have about 420 residents. Figure 8a shows that amenities in the buffer are considered as the destinations. Figure 8b shows the population capacity of surrounding amenities which was acquired based on the demographic data. The accessibility of these buildings in Figure 8a was further computed based on the results of the travel time.
Figure 8.
Accessibility measurement for the community ‘101’, (a) buffer construction; (b) population capacity of surrounding amenities.
Figure 9 shows the results of accessibility measurement for a part of communities in the experimental districts within the walking distance. The left panel of Figure 9 shows the accessibility of each building, and the right panel is the 3D visualization of accessibility with information of the boundary and gate of the community.

Figure 9.
Accessibility measurement for four communities, (a) community ‘101’ in Wuchang district; (b) community ‘202’ in Jiangan district; (c) community ‘301’ in Hanyang district; (d) community ‘401’ in Caidian district.
Based on the experimental results, we have two major findings: (1) in a gated community, the accessibility varied among buildings within walking distance (Figure 9); and (2) there was substantial variation in the accessibility of communities across regions (Figure 10). The results in Figure 10 were computed from the average accessibility of all experimental communities. In the next section, we will further discuss the implications of these two situations from the aspect of resource equity.
Figure 10.
Average accessibility of communities in each district.
4.4. Resource Equity Analysis Based on the Accessibility Measurement
In an urban area, public transportation and amenity are the most important activity resources for residents. The utilization of these resources reflects the rationality of urban planning. In this study, we proposed to analyze the spatial equality of resources based on the accessibility measurement at the micro-level. Based on the experimental results, the accessibility difference exists at both the building level and community level. This result implied two levels of inequality. First, at the building level, for any district, there was variation in accessibility. According to the method proposed in this study, the factors including transportation and amenity allocation were involved when evaluating building-level accessibility. Since the amenities of buildings were selected based on the same buffer, the total numbers and types for each building are the same. Thus, the locations of a building and an amenity, and the transportation network connecting these two places, became a key factor for leading the heterogeneity of building-level accessibility. This difference revealed that residents living in different buildings in the same community experienced inequality resources access.
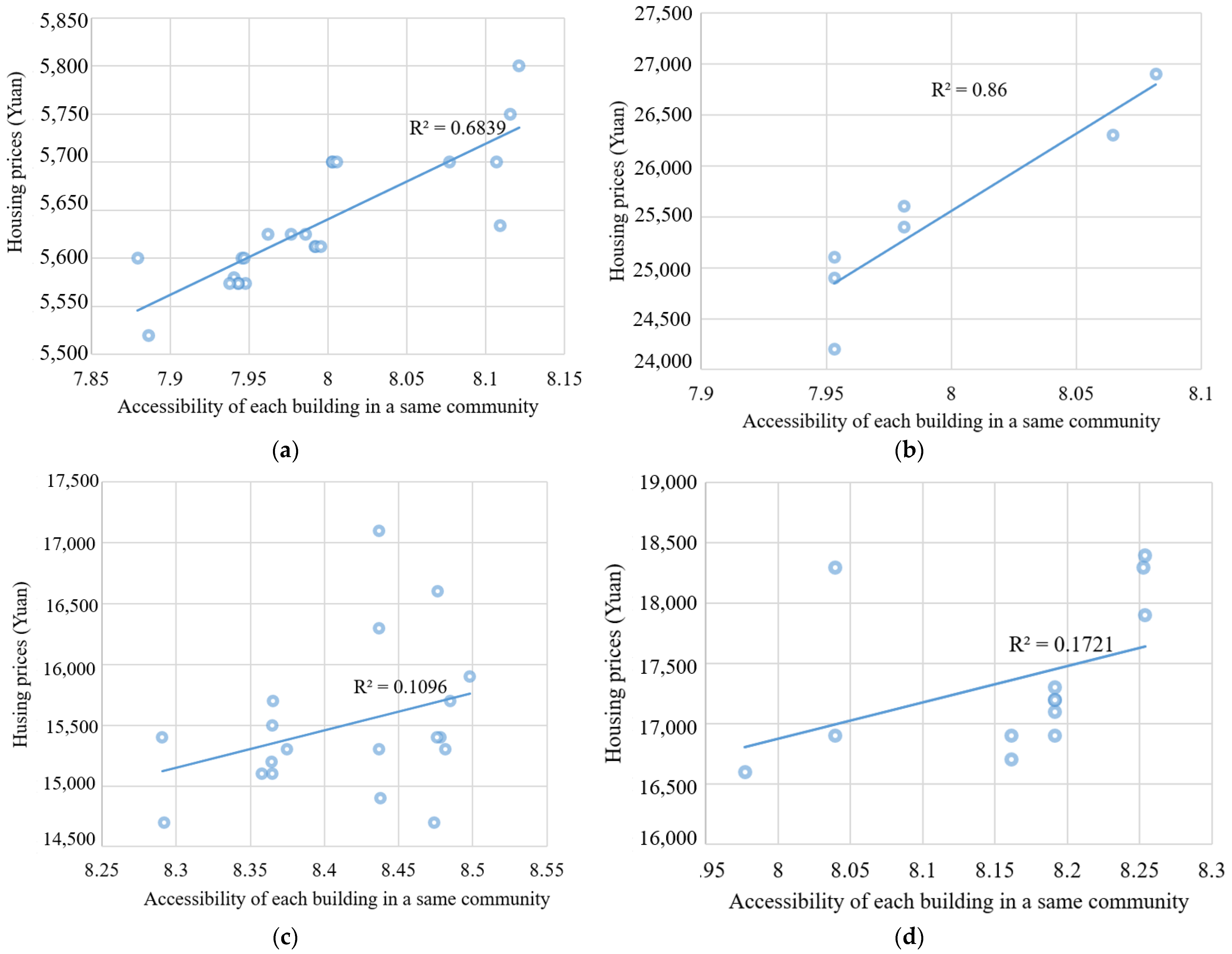
To further analyze the inequality of resources allocation at the building level, we evaluated the association between housing prices and building accessibility. Based on the existing research, housing prices reflect the cost of the public resources [16,22]. We found that there is a positive correlation between resource accessibility and housing price in the area with lower overall accessibility (Figure 11a,b). The average accessibility of buildings shown is about 7.991 and 7.996, respectively. The correlation of these communities is stronger than the ones with overall high accessibility (Figure 11c,d), where the average accessibility reached 8.415 and 8.161. In summary, housing prices vary among buildings in the same community. Although the elements affecting housing prices are multifold, for example, policy, environment, educational resources, and transportation, the price differences of buildings in the same community also reflect the fact that, at the micro-level, there is inequality in resource allocation.
Figure 11.
The correlation between accessibility and housing price of buildings in the experimental area; (a,b) respectively show communities in area with lower overall accessibility; (c,d) respectively indicate communities in area with higher overall accessibility.
At community scale, the average accessibility shows variation across regions (Figure 10). For example, the average accessibility in Jiangan district scored higher than that in the Caidian district. Table 3 summarizes the statistics of the annual GDP (Gross Domestic Product) of each experimental district in the city of Wuhan. Based on the statistics, Caidian, as a suburban district, has the lowest GDP among all experimental districts in the city of Wuhan. These statistical data were acquired from the regional statistical yearbook of Wuhan city in 2018. This economic shortage in Caidian results in low development of infrastructure, including transportation system (Figure 12). Meanwhile, Figure 12 shows that most public transportation systems are in the central districts, especially in old districts.
Table 3.
Statistics of experimental districts in 2018.
Figure 12.
Distribution density of public transportation in each district of Wuhan city.
In addition, accessibility differs across communities in the same district (Figure 13). Based on the statistics in Figure 13d, community ‘202’ had the highest average accessibility score 8.415, while the other two communities scored substantially lower with values of 7.874 and 7.955, respectively. The variation in accessibility indicates that there is spatial heterogeneity in activity resources within a district. The community with the highest average accessibility has the priority to get the social service resource.
Figure 13.
Difference of average accessibility of communities in Jiangan district; (a) accessibility of buildings in community ‘201’; (b) accessibility of buildings in community ‘202’; (c) accessibility of buildings in community ‘203’; (d) average value of accessibility of each community.
In summary, either at the building scale, community, or district scale, the uneven distribution of public resources exists. The analysis of building-level accessibility could be used to evaluate whether the current planning for amenities, transportation, and building locations is reasonable. Improving the planning of buildings in a community and its surrounding amenities can further enhance the equality of public resource sharing at the community or district level. To follow the trend of smart urban planning, it is important for urban planners to understand the heterogeneity of accessibility among communities and buildings.
5. Conclusions
Accessibility measurement is an important way to evaluate the equity of public resource allocation. This study proposed a novel method to assess the accessibility of communities at a micro-level. This new approach measured the accessibility of each building in a community. In addition, the travel cost of multi-mode transit and residential suitability evaluation were incorporated in accessibility measuring. To our knowledge, this is the first study to evaluate building level accessibility for a housing estate. Our model captured various residential trip patterns with multi-travel modes, features of nearby amenities, and subjective evaluation from residents.
Multi-source spatial data including demographic data, road networks, community buildings, point of interest (POI) data, and social media data were used to compute the accessibility of each building in a community. These data were acquired from multiple platforms, such as the Gaode map, OSM, and GeoQ platform, which provide us with a low-cost and fast way of understanding the spatial configuration of urban resources. Through using social media data collected from the Weibo platform, we accounted for the residents’ opinions on public resources. Taking Wuhan city as the experimental area, we applied the proposed method to compute the accessibility of buildings of nine experimental communities in three different types of districts (e.g., new central district, old central district, and suburban district). The results of community accessibility demonstrated that there was substantial heterogeneity in accessibility at each scale level, including building-level and community-level. At the building level, results showed that buildings are not equitable for resource sharing, especially in walking activities. Meanwhile, at the community scale, the resource-access level of residential communities is higher in the central district than that in the suburban district. With the growth of smart urban planning, these differences should be captured. In summary, the major contributions of this study include: (1) we modeled the accessibility considering the effect of multi-mode transport, amenity elements, and the subjective evaluations from residents; and (2) the housing estate accessibility was measured at building scale and community scale.
However, improvements are still required to make the accessibility estimation more accurate and credible. In the procedure of travel time computation, this study mainly considered three types of trip patterns, with a focus on analyzing building-level accessibility using walking distance. The discussion will be expanded to additional types of transport modes (e.g., bicycles and electric motorcycles) in future work. Also, during the travel time computation for three trip patterns, especially for Pattern 2 and Pattern 3, we used the average speed of public transportation and private cars and did not consider the effects of the real-time traffic. The follow-up work would include acquiring the speed of each type of transport according to the traffic. In this study, we consider evaluating the accessibility by adding the effect of residents’ own opinions which are extracted from the text data collected from the Weibo platform. In addition, we mainly analyzed the spatial inequality of resource allocation for gated communities based on the accessibility result. Future work will be conducted to investigate whether there is a difference in the accessibility between open communities and gated communities. We will also discuss the implications in economic development and living safety.
Author Contributions
Xue Yang write the manuscript, Anqi Wu and Yanjia Cao edit the manuscript and do the experiments, Mingqiang Guo and Zhen Dong review the manuscript, Luliang Tang provides the idea of this manuscript. All authors have read and agreed to the published version of the manuscript.
Funding
This research was funded by the Open Fund of Key Laboratory of Urban Land Resources Monitoring and Simulation, Ministry of Natural Resource; the National Natural Science Foundation of China (No.41901394, 41971405, 41971356); Open research fund program of State key laboratory of information engineering in surveying, mapping and remote sensing, Wuhan University [No. 19S01].
Institutional Review Board Statement
Not applicable.
Informed Consent Statement
Not applicable.
Acknowledgments
The authors would like to sincerely thank the anonymous reviewers and editors for their constructive comments and valuable suggestions to improve the quality of this article.
Conflicts of Interest
The authors declare no conflict of interest.
References
- Ståhl, A.; Carlsson, G.; Hovbrandt, P.; Iwarsson, S. Let’s go for a walk!”: Identification and prioritisation of accessibility and safety measures involving elderly people in a residential area. Eur. J. Ageing 2008, 5, 265–273. [Google Scholar] [CrossRef] [Green Version]
- Pirie, G.H. Measuring accessibility: A review and proposal. Environ. Plan. A 1979, 11, 299–312. [Google Scholar] [CrossRef]
- Piotr, C. How to calculate real estate accessibility. In Proceedings of the FIG Working Week: Knowing to Manage the Territory, Protect the Environment, Evaluate the Cultural Heritage, Rome, Italy, 6–10 May 2012. [Google Scholar]
- Ben-Elia, E.; Benenson, I. A spatially-explicit method for analyzing the equity of transit commuters’ accessibility. Transp. Res. Part A Policy Pract. 2019, 120, 31–42. [Google Scholar] [CrossRef]
- Handy, S.L.; Niemeier, D.A. Measuring accessibility: An exploration of issues and alternatives. Environ. Plan. A 1997, 29, 1175–1194. [Google Scholar] [CrossRef]
- Cheng, J.; Bertolini, L.; Le Clercq, F.; Kapoen, L. Understanding Accessiblity: A New Strategy for Its Modelling. 2005. Available online: http://www.e-du.nl/frontiers/2005/discussion/documents/Cheng_accessibility.pdf (accessed on 10 January 2020).
- Preston, J.; Rajé, F. Accessibility, mobility and transport-related social exclusion. J. Transp. Geogr. 2007, 15, 151–160. [Google Scholar] [CrossRef]
- Chen, J.; Ni, J.; Xi, C.; Li, S.; Wang, J. Determining intra-urban spatial accessibility disparities in multimodal public transport networks. J. Transp. Geogr. 2017, 65, 123–133. [Google Scholar] [CrossRef]
- Geurs, K.T.; Van Wee, B. Accessibility evaluation of land-use and transport strategies: Review and research directions. J. Transp. Geogr. 2004, 12, 127–140. [Google Scholar] [CrossRef]
- Grengs, J.; Levine, J.; Shen, Q.; Shen, Q. Intermetropolitan comparison of transportation accessibility: Sorting out mobility and proximity in San Francisco and Washington, DC. J. Plan. Educ. Res. 2010, 29, 427–443. [Google Scholar] [CrossRef]
- Piovani, D.; Arcaute, E.; Uchoa, G.; Wilson, A.; Batty, M. Measuring accessibility using gravity and radiation models. R. Soc. Open Sci. 2018, 5, 171668. [Google Scholar] [CrossRef] [Green Version]
- De Jong, G.; Daly, A.; Pieters, M.; Van der Hoorn, T. The logsum as an evaluation measure: Review of the literature and new results. Transp. Res. Part A Policy Pract. 2007, 41, 874–889. [Google Scholar] [CrossRef] [Green Version]
- Järv, O.; Tenkanen, H.; Salonen, M.; Ahas, R.; Toivonen, T. Dynamic cities: Location-based accessibility modelling as a function of time. Appl. Geogr. 2018, 95, 101–110. [Google Scholar] [CrossRef]
- Chin, H.C.; Foong, K.W. Influence of school accessibility on housing values. J. Urban Plan. Dev. 2006, 132, 120–129. [Google Scholar] [CrossRef]
- Ibem, E.O. The contribution of Public–Private Partnerships (PPPs) to improving accessibility of low-income earners to housing in southern Nigeria. J. Hous. Built Environ. 2011, 26, 201–217. [Google Scholar] [CrossRef]
- Li, H.; Wei, Y.D.; Yu, Z.; Tian, G. Amenity, accessibility and housing values in metropolitan USA: A study of Salt Lake County, Utah. Cities 2016, 59, 113–125. [Google Scholar] [CrossRef]
- Li, H.; Wei, Y.D.; Wu, Y.; Tian, G. Analyzing housing prices in Shanghai with open data: Amenity, accessibility and urban structure. Cities 2019, 91, 165–179. [Google Scholar] [CrossRef]
- Benenson, I.; Ben-Elia, E.; Rofé, Y.; Geyzersky, D. The benefits of a high-resolution analysis of transit accessibility. Int. J. Geogr. Inf. Sci. 2017, 31, 213–236. [Google Scholar] [CrossRef]
- Ingram, D.R. The concept of accessibility: A search for an operational form. Reg. Stud. 1971, 5, 101–107. [Google Scholar] [CrossRef]
- Vickerman, R.W. Accessibility, attraction, and potential: A review of some concepts and their use in determining mobility. Environ. Plan. A 1974, 6, 675–691. [Google Scholar] [CrossRef] [Green Version]
- Shen, G. Location of manufactured housing and its accessibility to community services: A GIS-assisted spatial analysis. Soc.-Econom. Plan. Sci. 2005, 39, 25–41. [Google Scholar] [CrossRef]
- Liang, Y.; Zhu, W. Research on the correlation between the residential area housing price and the accessibility of the public service networks. Comput. Syst. Appl. 2016, 12, 24–29. [Google Scholar]
- Bruno, G.; Improta, G. Using gravity models for the evaluation of new university site locations: A case study. Comput. Oper. Res. 2008, 35, 436–444. [Google Scholar] [CrossRef]
- Krings, G.; Calabrese, F.; Ratti, C.; Blondel, V.D. Urban gravity: A model for inter-city telecommunication flows. J. Stat. Mech. Theory Exp. 2009, 7, L07003. [Google Scholar] [CrossRef] [Green Version]
- Anderson, J.E. The gravity model. Annu. Rev. Econ. 2011, 3, 133–160. [Google Scholar] [CrossRef] [Green Version]
- Tian, Y.; Jim, C.Y.; Liu, Y. Using a spatial interaction model to assess the accessibility of district parks in Hong Kong. Sustainability 2017, 9, 1924. [Google Scholar] [CrossRef] [Green Version]
- Yue, H.; Shao, C. Study on the Application of A* Shortest Path Search Algorithm in Dynamic Urban Traffic. In Proceedings of the International Conference on Natural Computation IEEE, Haikou, China, 24–27 August 2007. [Google Scholar]
- Xie, J.; Yang, T.; Li, G.; Schloss Dagstuhl-Leibniz-Zentrum fuer Informatik. Extracting Geospatial Information from Social Media Data for Hazard Mitigation, Typhoon Hato as Case Study (Short Paper). In Proceedings of the 10th International Conference on Geographic Information Science (GIScience 2018), Melbourne, Australia, 28–31 August 2018. [Google Scholar]
- Bellman, R.E.; Dreyfus, S.E. Applied Dynamic Programming; Princeton University Press: Princeton, NJ, USA, 1962; Available online: http://ictclas.nlpir.org/downloads (accessed on 20 January 2020).
- Yang, X.; Tang, L.; Ren, C.; Chen, Y.; Xie, Z.; Li, Q. Pedestrian network generation based on crowdsourced tracking data. Int. J. Geogr. Inf. Sci. 2020, 34, 1051–1074. [Google Scholar] [CrossRef]
- Smith, G.; Gidlow, C.; Davey, R.; Foster, C. What is my walking neighbourhood? A pilot study of English adults’ definitions of their local walking neighbourhoods. Int. J. Behav. Nutr. Phys. Act. 2010, 7, 34. [Google Scholar] [CrossRef] [Green Version]
Publisher’s Note: MDPI stays neutral with regard to jurisdictional claims in published maps and institutional affiliations. |
© 2021 by the authors. Licensee MDPI, Basel, Switzerland. This article is an open access article distributed under the terms and conditions of the Creative Commons Attribution (CC BY) license (https://creativecommons.org/licenses/by/4.0/).














