Abstract
Urinary extracellular vesicles (EVs) are an attractive source of bladder cancer biomarkers. Here, a protein biomarker discovery study was performed on the protein content of small urinary EVs (sEVs) to identify possible biomarkers for the primary diagnosis and recurrence of non-muscle-invasive bladder cancer (NMIBC). The sEVs were isolated by ultrafiltration (UF) in combination with size-exclusion chromatography (SEC). The first part of the study compared healthy individuals with NMIBC patients with a primary diagnosis. The second part compared tumor-free patients with patients with a recurrent NMIBC diagnosis. The separated sEVs were in the size range of 40 to 200 nm. Based on manually curated high quality mass spectrometry (MS) data, the statistical analysis revealed 69 proteins that were differentially expressed in these sEV fractions of patients with a first bladder cancer tumor vs. an age- and gender-matched healthy control group. When the discriminating power between healthy individuals and first diagnosis patients is taken into account, the biomarkers with the most potential are MASP2, C3, A2M, CHMP2A and NHE-RF1. Additionally, two proteins (HBB and HBA1) were differentially expressed between bladder cancer patients with a recurrent diagnosis vs. tumor-free samples of bladder cancer patients, but their biological relevance is very limited.
1. Introduction
Bladder cancer (BC) is the sixth most common cancer in men and seventeenth most common cancer in women worldwide [1]. It is the second most common genitourinary tract malignancy worldwide [2]. BC can be divided into non-muscle-invasive BC (NMIBC) and muscle-invasive BC (MIBC) [3]. NMIBC are cases localized in the mucosa or submucosa, show no invasiveness or metastasis and are usually tumor staged as Ta, T1 or carcinoma in situ (CIS), while MIBC are cases where the tumor has already filtrated the muscle layer [4,5]. Around 70–80% of patients are diagnosed with a non-muscle-invasive tumor and 20–30% with a muscle-invasive tumor [3,6,7]. Patients with NMIBC can undergo curative treatment by transurethral resection. However, MIBC can progress and metastasize rapidly and is usually fatal in the metastatic setting [8]. Low-grade NMIBC patients have a good prognosis with a 5-year survival of 80–90%. Most patients will exhibit at least one recurrence within 5 years with and without progression to MIBC. Currently, follow-up consists of cystoscopy every three to six months for the first two years, followed by less frequent observations in case no recurrences have been detected within this period [3,6]. Early detection of (recurrent) bladder cancer leads to an improved prognosis.
Currently, NMIBC is diagnosed via cystoscopy or urine cytology. Cystoscopy is not an option for screening purposes, despite providing high diagnostic accuracy, as it is both invasive and painful [9]. On the other hand, urine cytology is non-invasive but shows poor sensitivity, especially for low-stage/low-grade NMIBC [10], making it an inefficient screening test.
Urine as a liquid biopsy is gaining interest for BC diagnosis. Because urine is non-invasive, it is easy to collect, without the need for a healthcare practitioner. Urine can be collected without limits in volume and is repeatable, allowing for serial sampling and multi-omic analysis. Several urinary biomarkers, such as nuclear matrix protein 22 (NMP22), bladder tumor antigen (BTA), carcinoembryonic antigen and mucins, have been approved by the US Food and Drug Administration. However, they have not been widely adopted due to low specificity and high data heterogeneity [11]. Therefore, non-invasive and more accurate biomarkers are still needed for bladder cancer diagnosis.
Extracellular vesicles (EVs) are sub-micron (40–1000 nm), membranous vesicles secreted into the extracellular space by many cell types under normal and pathological conditions [12]. EVs play an important role in intercellular communication by regulating a wide range of physiological responses and pathological processes [13]. Cancer cells are known to secrete more EVs than normal cells, and tumor-cell-derived EVs contain cancer-specific components that are capable of promoting cancer progression [14,15]. Urine is expected to contain abundant EVs from bladder cancer tissues, as it comes in direct contact with the urogenital system [16]. The cargo of EVs is thought to reflect the cell type of origin [17,18,19]. In this way, exploring the urinary EV cargo can lead to biomarkers for the diagnosis or prediction of progression of urological diseases [18,20]. Therefore, there is increasing interest in cancer-derived urinary EVs as a promising source of diagnostic biomarkers and therapeutic targets for bladder cancer [18,20,21,22,23,24,25,26,27,28,29]. Consensus has not yet emerged on definitions of EVs. However, the ISEV has published the MISEV guidelines. In these guidelines the ISEV endorses use of the term “small EVs (sEVs)” if the separated vesicles are below 200 nm and if the researchers cannot establish specific markers [30].
Here, a biomarker discovery study was performed using sEVs as sources of protein biomarkers, separated from urine using ultrafiltration (UF) in combination with size-exclusion chromatography (SEC). In the first part of the study, we tried to identify a potential protein biomarker panel for the primary diagnosis of bladder cancer and, more specifically, a potential protein biomarker panel to detect all possible stages and grades of NMIBC [4,5]. The sEV protein contents from urine samples of patients with a first diagnosis of bladder cancer were compared with age- and gender-matched healthy controls. In the second part of the study, the protein profiles of urinary sEVs from patients with a bladder cancer recurrence and patients with no suspicion of a tumor present in the bladder at the moment of urine collection (but with a previous bladder cancer diagnosis) were compared. To generate the protein profiles, we used mass spectrometry, as this technology allows the unbiased identification and quantification of proteins, without the use of antibodies. Because of the size of the cohort in this study, we used a label-free approach, which enables quantification of all identified proteins. Since proteins are identified based on unique peptides, specificity is guaranteed.
2. Materials and Methods
2.1. Urine Collection
The human biological material (urine) used in this publication was provided by Biobank@UZA (Antwerp, Belgium; ID: BE71030031000) and the Belgian Virtual Tumourbank (Brussel, Belgium), funded by the National Cancer Plan, BBMRI-ERIC [31]. The urine samples were collected at four different locations, i.e., the University Hospital of Antwerp (UZA), General Hospital Maria Middelares (AZMM), General Hospital Turnhout and General Hospital Herentals between 2015 and 2020. Voided urine was obtained with written informed consent (approved by the Ethical Committee of the University of Antwerp and the University Hospital of Antwerp). All samples were collected using the urine vacuette system (Vacuette®, Greiner bio-one, Kremsmünster, Austria). The samples were stored immediately at −20 °C. Based upon literature [32], samples were thawed at room temperature and centrifuged at 180× g for 10 min at 4 °C and at 1550× g for 20 min at 4 °C. The pellets were discarded to prepare cell-free (CF) urine. The samples were subsequently stored at −80 °C until further use. Samples from four experimental groups were collected: primary diagnosis of bladder cancer (n = 50), recurrent diagnosis of bladder cancer (n = 46), tumor free (n = 109) and healthy controls (n = 64). To confirm the absence of a bladder tumor within the healthy control group, a urine cytology and urine analysis with a Multistix 10SG strip-test (Siemens Healthcare, Erlangen, Germany) were performed. The 64 healthy controls included in this study had negative urine cytology and no or mild hematuria (5 samples had mild hematuria: M11, V2, V10, V13, V17).
2.2. Extracellular Vesicle (EV) Isolation
Per isolation procedure, 40 to 70 mL of CF urine was thawed and ultrafiltrated using 100 kDa MWCO Centricon® Plus-70 Centrifugal Filter Units (Merck Millipore Ltd., Ireland) to get rid of the solute, smaller particles and proteins. The filtrate was placed on a qEV single 70 nm original column (Izon Science Ltd., Addington, New Zealand). With these columns, 200 µL fractions were collected, starting immediately after placing the sample on the column, with filtered PBS as the elution buffer. The first mL (=dead volume) was collected starting immediately after placing 100 µL filtrate on the column. The next 500 µL was than collected containing the sEVs. The qEV columns were used according to the manufacturer’s instructions.
2.3. sEV Characterization
2.3.1. Protein Concentration
The protein concentration was determined using the Micro BCA™ Protein Assay Reagent Kit (Thermo Scientific, Waltham, MA, USA). A standard curve of serially diluted BSA (Thermo Fisher Scientific) in filtered PBS was used. Values were extrapolated from this curve, using a linear equation, with r2 > 0.98 for each assay [33].
2.3.2. Transmission Electron Microscopy (TEM)
The quality of EVs was examined using TEM imaging. The sample preparation was adapted from Chen et al. [22]. Briefly, three droplets of the sample were placed on a clean Parafilm, after which a carbon-coated TEM grid was placed on top of the droplets and allowed to stand for 60 min to adsorb the fluid. The grid with adherent EVs was washed three times with PBS for 2 min and 5 times with ultrapure water for 2 min. The droplets were fixed with 2% glutaraldehyde for 10 min and then washed 5 times with ultrapure water for 2 min. The grid was transferred to 2% uranyl acetate and allowed to stand for 15 min. The grid was then incubated in 0.13% methyl cellulose (K5-8) and 0.4% uranyl acetate for 10 min and dried at room temperature before examination with a Tecnai G2 Spirit BioTWIN (FEI, Eindhoven, The Netherlands). All solutions were filtered and the ultrapure water was heated to release the CO2.
2.3.3. Nanoparticle Tracking Analysis (NTA)
NTA, using a Zetaview® S/N 18-407 instrument (Particle Metrix GmbH, Inning am Ammersee, Germany), determines the size and concentration of particles ranging from 50 nm to 1 µm in diameter. Samples were diluted 200- to 2000-fold in PBS before measurement. Samples were analyzed in scatter mode with the 488 nm laser and 2 measurements at 11 positions. The temperature was set at 22.0 °C. The shutter was set at 100, sensitivity at 80.0 and frame rate at 30. The number of detected particles in the measurement had to be between 27 and 345, otherwise different dilutions were used to analyze the sEV sample [34]. All analyses were executed using the Zetaview Software (version 8.05.12 SP2).
2.4. Proteomic Analysis
2.4.1. Sample Preparation and Liquid Chromatography Followed by Tandem Mass Spectrometry (LC MS/MS)
The same sample preparation protocol as previously described [34] was used for the proteomic analysis. In brief, the sEV fractions were vacuum-dried and lipids and proteins of the sEV fractions were separated by methyl-tert-butyl-ether (MTBE) extraction. The lower hydrophilic fraction was vacuum-dried and used in the proteomic analysis. The vacuum-dried hydrophilic layer was resuspended in 75 µL 5 M urea and the samples were vortexed and sonicated for 10 min. The proteins were reduced in a final concentration of 5 mM dithiothreitol at 60 °C for 30 min and alkylated in a final concentration of 20 mM iodoacetamide in the dark at room temperature for 30 min. Subsequently, 680µL 100mM ammonium bicarbonate was added. For the digestion step, 1 µg trypsin was added per 40 µg of protein and digestion was carried out overnight at 37 °C. Digests were desalted using Pierce C18 spin columns (Thermo Scientific, Waltham, MA, USA) according to the manufacturer’s instructions. The sample preparation of all samples was carried out in 4 different batches on different time points.
For the LC, a reversed phase 200 cm C18 µPAC™ column (Pharmafluidics, Ghent, Belgium) was used. A peptide equivalent to the digest of 1.0 µg of total proteins in 10 µL mobile phase A per sample was prepared to load on this column. A linear gradient of mobile phase B (0.1% formic acid in 98% acetonitrile) from 1 to 45% in 95 min was followed by a steep increase to 90% mobile phase B in 10 min. A steep decrease to 1% mobile phase B was achieved in 5 min and 1% mobile phase B was maintained for 5 min. The flow rate was 400 nL per minute. LC was followed by untargeted shotgun MS/MS and was performed on a Q-Exactive plus MS (Thermo Fisher Scientific). A nanospray ion source (Thermo Fisher Scientific) was used. A full scan spectrum (350 to 1850 m/z, resolution 70,000, automatic gain control 3 × 106, maximum injection time 100 ms) was followed by a higher-energy collisional dissociation (HCD) tandem MS with a run time of 90 min. Peptide ions were selected for fragmentation as the 10 most intense peaks of a full-scan mass spectrum. HCD scans were acquired in the Orbitrap (resolution 17,500, automatic gain control 1 × 105, maximum injection time 80 ms).
2.4.2. Quality Controls
As previously described [35], the use of an external reference sample through all the analytical LC-MS/MS batches is preferred to have insights into the quality and batch variances of the LC-MS/MS measurements. This sample is expected to have the same intensities of the peptides among the different batches. A pooled sample (=pool) was prepared as a reference sample, containing different samples of all the experimental groups. In Table S1, the sample ID, sample preparation batch, gender of patient and experimental group of the samples that were used are given. Two µg of every sample was used to make the pool (1.5 µg of HC023 was used). Vials containing 1 µg of protein in 10 µL mobile phase A were aliquoted and stored at −80 °C until further analysis.
In the 2 biomarker discovery studies, 4 different experimental groups were present: first diagnosis of bladder cancer, recurrent diagnosis of bladder cancer, tumor free diagnosis with a history of bladder cancer and a healthy control group. To analyze the 269 samples using LC-MS/MS, samples were run randomized and blocked in 16 different analytical LC-MS/MS batches.
2.4.3. Peptide Identification
Proteome Discoverer (PD) software (2.1, Thermo Fisher Scientific) was used to perform database searching against the database containing the Uniprot Human Proteome (ID: UP000005640, downloaded on 25 May 2016), using both Sequest and Mascot search engines. Searches were performed with the following settings: a precursor mass tolerance of 10 ppm and fragment mass tolerance of 0.02 Da. Digestion by trypsin and two missed cleavage sites were allowed. Carbamidomethyl was defined as a fixed modification and phosphorylation (serine, threonine, tyrosine) and oxidation (methionine) were dynamic modifications. The results were filtered with the following parameters: only high-confidence peptides with a global false discovery rate (FDR) < 1% based on a target–decoy approach and first ranked peptides were included in the results.
The MS/MS results (RAW data) together with the PD results were inspected in a quality control (QC) analysis using an in-house-developed QC analysis (set of functions) in R as previously described [35]. Only the samples that passed the QC were used in the biomarker discovery study. Samples that generated low quality data were re-analyzed. If for several reasons samples did not meet the requested QC parameters, for example, reproducibility of retention time and mass calibration, these samples were excluded for further data analysis steps.
2.4.4. Data Enrichment for Peptide Quantification
Before SWISS data enrichment [36] was carried out, mass recalibration and retention time correction were applied, based on the deviations observed in the pool samples. Next, the SWISS tool (an in-house-developed software) was used with the following search and cleaning criteria: The allowed mass difference (∆PPM) was 5 ppm. The complete retention time window where SWISS searched and assessed the peak was 4 min width, 2 min left and 2 min right from the aligned retention time. SWISS searched for the top of the peak in an interval of 1 min. Quantile normalization was performed on the log2 transformed peptide intensities.
2.5. Statistical Analysis
The statistical analysis was carried out in R using standard R-core packages [37,38]. An analysis of variance (ANOVA) test was performed per protein, where the unique peptides were considered as a level in the ANOVA. The ANOVA was performed as a pairwise comparison, of which 2 were of interest (healthy vs. first diagnosis NMIBC; tumor free vs. recurrent NMIBC). Afterwards, correction for multiple testing using FDR correction was performed. The protein fold change was calculated as the median fold change of the unique peptides of the protein. Proteins with an absolute median fold change larger than 0.6 and an FDR-corrected p value smaller than 0.05 were considered. Cleaning of this list of differentially expressed proteins was performed based on a manual visual inspection of the RAW data of minimal one unique peptide of these proteins (peak shape, peak tailing/retention time interval, standard deviation of peak intensities and retention times)
2.6. Network Analysis
A network analysis was performed using a search tool for the retrieval of interacting genes (STRING) (v11). Interactions in STRING are derived from five main sources: genomic context predictions, high-throughput lab experiments, (conserved) co-expression, automated text-mining and previous knowledge in databases [39,40]. Gene names were entered in the software and Markov clustering (MCL) was performed with the default value (3) of the inflation parameter. Disconnected nodes (up to 3) were hidden and only high-confidence (minimum required interaction score was 0.700) interactions were shown.
2.7. EV-TRACK
We have submitted all relevant data of our experiments to the EV-TRACK knowledgebase (EV-TRACK ID: EV230061) [41]. The EV-METRIC score pre-publication was 67%. For the characterization, we refer to our previous paper where the EV isolation method used in this study was described extensively.
3. Results
3.1. Demographics
Separated sEV fractions of urine samples (n = 269) of individuals (n = 200) were used in these biomarker discovery studies. The samples could be divided into four different experimental groups: Urine samples of age- and gender-matched healthy controls (HC, n = 64) were used with negative urine cytology. Five of the 64 healthy controls (M11, V2, V10, V13, V17) demonstrated mild hematuria symptoms. Urine samples of patients with a first diagnosis of bladder cancer (n = 50) were also collected. In addition, urine samples of patients with a recurrence of bladder cancer (n = 46) and urine samples of bladder cancer patients in follow up with no suspicion of a bladder tumor present at the moment of collection (n = 109) were used. For these last two groups, there were a number of samples derived from the same patient. Twenty patients had 2 urine samples, 14 patients had 3 samples, 4 patients had 4 samples, 3 patients had 5 samples and 1 patient had 6 samples in this biomarker discovery study. Information on demographics of the patients and pathological information, such as stages and tumor grade, of the bladder cancer tumors can be found in Table 1. The tumor grading and staging in Table 1 are from the point in time when the patient was first diagnosed with NMIBC. The gender disproportion in Table 1 is a reflection of the prevalence of bladder cancer in the population. The incidence of bladder cancer is three to four times greater in men than in women. However, principal component analysis demonstrated that gender in our results was not a confounding factor.
Table 1.
Demographics and bladder cancer tumor types.
3.2. sEV Characterization
sEV protein concentration was determined using a Micro BCA™ Protein Assay Reagent Kit (Thermo Scientific, Waltham, MA, USA). The sample preparation protocol was followed using 10 µg of total protein in every sample.
TEM is a commonly used technique to characterize the morphology and size of sEVs. The quality of the urinary sEVs separated with UF-SEC has been previously described [34]. In Figure 1A,B, the TEM images of these urinary sEVs of a bladder cancer patient (BC300) are shown. The separated sEVs were in the size range of 40 to 200 nm. No differences in number, size or morphology of sEVs could be determined using TEM between the four different experimental patient groups (Oeyen E. et al., 2020, unpublished TEM data).
Figure 1.
Characterization of urinary sEVs separated with UF-SEC. TEM images of urinary sEVs separated with UF-SEC of a patient with first diagnosis of bladder cancer (BC300) (A,B). Scale bars are 500 nm (A) and 100 nm (B). NTA particle size distribution of the four experimental groups: first diagnosis NMIBC patients (C), healthy individuals (D), recurrence NMIBC patients (E), and tumor-free patients (F). Abbreviations: NMIBC, non-muscle-invasive bladder cancer; sEV, small extracellular vesicles; TEM, transmission electron microscopy; UF-SEC, ultrafiltration followed by size-exclusion chromatography.
Particle concentration was determined by NTA using a Zetaview® instrument (Particle Metrix) in scatter mode. Of the 4 different experimental groups, 25 samples were analyzed (Figure 1C–F). The number of detected particles in the EV fraction, normalized per mL of starting volume of urine, was between 1.75 × 108 and 7.00 × 109, with an average of 1.64 × 109 particles per mL of starting volume of urine. No correlation was found between the four experimental patient groups concerning the size or concentration of particles, normalized for the starting volume of urine or protein concentration of sEV samples.
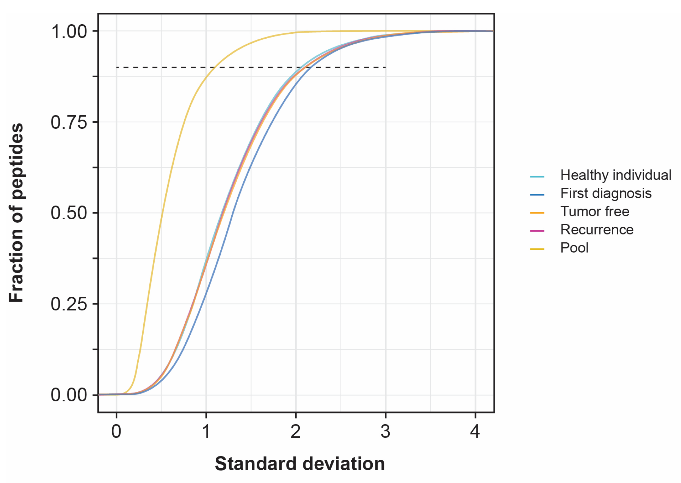
3.3. Standard Deviation of Patient Samples
The standard deviations of the urinary sEV peptides of healthy individuals have been previously determined [35]. Their ages and genders were related to the bladder cancer population in this biomarker discovery study. This already gave an indication of the sEV peptide variance and the number of samples required to identify statistically relevant biomarkers. However, this outcome needed to be validated in the patient population. The pools in the analytical LC-MS/MS batches of this biomarker discovery study were used to determine the instrumental variation. The variation analysis, using only healthy individuals, was analyzed in one analytical LC-MS/MS batch [35]. For this biomarker discovery study, there is an additional inter-batch effect because of the 16 analytical LC-MS/MS batches. Ten replicates of six randomly selected pools over all the analytical batches were used to determine the standard deviations of the sEV peptides. This approach was also performed to determine the inter-biological variation in the four experimental groups. Figure 2 shows the median curve of these ten replicates per condition (pool, healthy individual, first diagnosis, tumor free, recurrence). For the 90%-least-variable peptides, the standard deviation of the instrumental variation set-up did not exceed 1.1. For the inter-biological variation in the four experimental groups of this biomarker discovery study, the standard deviation was between 2.1 and 2.2. In the previous variation analysis using only healthy individuals, the instrumental standard deviation did not exceed 0.4 for the 90%-least-variable peptides and the inter-biological standard deviation did not exceed 2.0 for the 90%-least-variable peptides [35].
Figure 2.
Inter-biological variation of unique peptide intensities. Every line in the graph is the mean of ten replicates. In every replicate, 6 samples were randomly picked over the 16 analytical LC-MS/MS batches. Abbreviations: LC-MS/MS, liquid chromatography followed by tandem mass spectrometry.
3.4. Statistically Differentially Expressed Proteins
Two hypotheses were tested: healthy controls vs. first bladder cancer diagnosis and tumor free vs. recurrence diagnosis. The protein fold change was calculated as the median fold change of the unique peptides of the protein. This resulted in a list of 1226 quantified proteins (Table S2) and, respectively, 193 and 4 proteins that were differentially expressed with an absolute median fold change higher than 0.6 and an FDR-corrected p value lower than 0.05. A careful evaluation of the quality of the proteomic data of these potential biomarkers was performed. The RAW data of at least one unique peptide of the 193 and 4 proteins were manually inspected in every sample. They were checked for peak shape, SWISS score, missing values in all the samples, etc. After this quality control, 69 proteins were kept as statistically relevant differentially expressed in the first biomarker discovery study for the first diagnosis of bladder cancer, and two proteins (HBB and HBA1) were retained as differentially expressed in the biomarker discovery for the detection of bladder cancer recurrence. These detailed lists are shown in Table 2.
Table 2.
Proteins statistically differentially expressed in biomarker discovery studies. The proteins are given for the comparison between healthy controls and first diagnosis NMIBC cases and for the comparison of tumor-free and recurrence NMIBC cases. The proteins highlighted in green are the proteins for the first diagnosis of bladder cancer found in the network analysis using STRING (v11). Abbreviations: FDR, false discovery rate; NMIBC, non-muscle-invasive bladder cancer.
3.5. Network Analysis
A network analysis was performed using STRING (v11) with the 69 statistically significant differentially expressed proteins in the first biomarker discovery study for the first bladder cancer diagnosis. The interaction between different proteins is shown and the closer the distance between any 2 proteins in the network, the closer the connection. The connection is based on cited literature and is not based on their interaction in pathways. Six different connected clusters (indicated in six different colors) could be differentiated in this network analysis (Figure 3). All the proteins related to these networks are highlighted in Table 2.
Figure 3.
Protein–protein interaction network analysis using STRING (v11) of the 69 differentially expressed proteins for the first detection of bladder cancer. Gene names are indicated. Six networks can be distinguished, indicated in six different colors (brown, purple, light green, red, dark green, and blue). Legend: red, downregulated; green, upregulated.
3.5.1. Networks and Pathways
The first network that could be distinguished is the upper brown network (Figure 3), with proteins related to ubiquitination and the ESCRT pathway. Ubiquitination is performed by the ubiquitin proteasome system (UPS) and attaches ubiquitin, a small regulatory protein of 76 amino acids, to proteins, resulting in the post-translational modification of the proteins. The ESCRT dependent pathway for exosome biogenesis requires the sequential function of ESCRT-0, -l, -ll and III complexes. ESCRT-l binds to ubiquitinated cargo proteins and is required for the sorting of endocytic ubiquitinated cargo into multivesicular bodies (MVBs).
The cluster indicated in red was related to fibrinolysis, complement and coagulation cascades (Figure 3). The protein cluster of differentiation 59 (CD59) in the dark green cluster was closely related to the complement cascade (Figure 3). CD59 is an important complement regulatory protein (CRP) that disassembles the membrane attack complex (MAC) of the complement pathway. Different serine protease inhibitors (alpha-2-macroglobulin (A2M), phosphatidyl ethanolamine binding protein 1 (PEBP1), kininogen-1 (KNG1), alpha-1-antitrypsin (SERPINA1), alpha-1-antichymotrypsin (SERPINA3) and plasma serine protease inhibitor (SERPINA5)) were also part of this network and play a role in coagulation. Furthermore, apolipoproteins (APO), APOA1, APOA2 and APOD, linked with coagulation, were detected in this network, whereof the first two were upregulated and APOD was downregulated in this study.
The cluster indicated in blue contained two hemoglobins, hemoglobin subunit alpha (HBA1) and hemoglobin subunit beta (HBB) (Figure 3). HBA1 and HBB were the only statistically significant biomarkers with an absolute fold change larger than 0.6 and an FDR-corrected p value smaller than 0.05 in the other biomarker discovery study with bladder cancer patients with a recurrence diagnosis and tumor-free patients in follow up.
The light green cluster contained different peptidases: aminopeptidase N (ANPEP), dipeptidyl peptidase 4 (DPP4), gamma-glutamyl transpeptidase 1 (GGT1) and neprilysin (MME), which were all downregulated in this study (Figure 3).
Pro-epidermal growth factor (EGF) and prominin-1 (PROM1) were in the purple cluster (Figure 3). In the sEV fractions, PROM1 was downregulated in bladder cancer patients.
3.5.2. Differentially Expressed Proteins Not in Network Analysis
There are still 34 statistically significant expressed proteins with a median absolute fold change larger than 0.6 and an FDR-corrected p value smaller than 0.05 that were not included in the above-mentioned network analysis. The most interesting protein upregulated in the samples of bladder cancer patients was peroxiredoxin 2 (PRDX2). Meanwhile, the most interesting proteins downregulated in the samples of bladder cancer patients were: collagen alpha-1 (VI) chain (COL6A1), fructose biphosphate aldolase B (ALDOB) and mannan-binding lectin serine protease (MASP2). Additionally, three proteins were under-expressed in samples of bladder cancer patients in this study: human leukocyte antigen class II histocompatibility antigen alpha chain (HLA-DMA), Na(+)/H(+) exchange regulatory cofactor 1 (NHE-RF1, SLC9A3R1) and uncharacterized protein C11orf52 (C11orf52).
3.6. Discriminating Power of Biomarker Candidates
A good biomarker candidate needs to have a high discriminating power between the diseased and the control group. The distribution of the normalized peak intensities of the unique peptides in the different experimental groups were visualized in ROC curves (Figure 4A). The peptides above the reference line are discriminative for bladder cancer, the ones below the reference line are discriminative for healthy. Based on these ROC curves, LASPGFPGEYANDQERR3 (=MASP2), TFISPIK2 (=C3), VTAAPQSVCALR2 (=A2M), KTPEELLR2 (=CHMP2A) and SVDPDSPAEASGLR2 (=NHE-RF1) have a high discriminating power between the bladder cancer patients and the healthy control group and might be good biomarker candidates.
Figure 4.
ROC curves and AUC values of potential biomarker candidates. ROC curves (A) and AUC values (B) of potential biomarker candidates for the first diagnosis of bladder cancer. The peptides above the reference line are discriminative for bladder cancer, the ones below the reference line are discriminative for healthy. The peptide sequences correspond to the following proteins: TFISPIK2 (=C3), VTAAPQSVCALR2 (=A2M), SVDPDSPAEASGLR2 (=NHE-RF1), KTPEELLR2 (=CHMP2A) and LASPGFPGEYANDQERR3 (=MASP2). Abbreviations: A2M, alpha-2-macroglobulin; AUC, area under curve; CHMP2A, charged multivesicular body protein A2; C3, complement C3; MASP2, MBL associated serine protease 2; NHE-RF1, SLC9A3 regulator 1; ROC, receiver operating characteristic.
4. Discussion
A biomarker discovery study was performed on the protein content of urinary sEVs, separated with UF-SEC. In the first part, healthy individuals were compared with bladder cancer patients with a primary diagnosis. In the second part, tumor-free patients were compared with patients with a recurrence bladder cancer diagnosis. The separated sEVs were characterized, and, according to the TEM results, they were in the size range of 40 to 200 nm. No correlation could be demonstrated between the numbers of sEVs in the different experimental groups.
The compared experimental groups of these biomarker discovery studies were age and gender balanced (Table 1). This is very important since a subpopulation of the sEV fractions from urine are gender-associated (i.e., prostate-derived sEVs). Furthermore, age influences the senescence of cells and Boulestreau et al. recently demonstrated that mesenchymal-stem-cell-derived EVs are components of the senescence-associated secretory phenotype, i.e., proinflammatory cytokines and chemokines and tissue-damaging proteases and play a critical role in cellular senescence and aging [42]. They suggested that this can have an impact on the molecular cargo of the mesenchymal stem cell derived sEVs from different age groups [42]. Further investigation is needed if the molecular cargo of urinary sEVs is impacted by the age of the patient.
4.1. Standard Deviation of Patient Samples and Statistically Differentially Expressed Proteins
The standard deviation calculation based on only the healthy samples [35] leads to comparable standard deviations for the experimental patient groups used in this discovery study (2.0 vs. 2.1–2.2). The instrumental standard deviation is larger in the biomarker discovery study than in the previous variation analysis on healthy control samples (1.1 vs. 0.6). In the latter one, only one analytical LC-MS/MS batch was performed, thus the batch effects of this biomarker discovery study were not present in this previous variation analysis.
Given the sample size calculation, with the number of samples per experimental group used in this biomarker discovery study, proteins with an absolute fold change of 1.8 could be detected with statistical significance [35]. In this study, this was only the case for the detection of HBA1, HBB and A2M. These are all blood-related proteins and for that reason they are not interesting as potential biomarkers. The sample size of this biomarker discovery study was rather low for a fold change of 0.6, so we have to consider the chance of false positive discoveries and also that real biomarkers might have been missed. In a follow up study, more samples of the experimental groups will have to be included, next to samples coming from patients with other relevant bladder pathologies, to check the specificity of the potential biomarkers. However, to minimize the chance for false positive discoveries, the proteomic RAW data of the 193 differentially expressed proteins with an absolute fold change larger than 0.6 and an FDR-corrected p value smaller than 0.05 underwent a quality check as described in Section 2. This resulted in the refinement of the list into 69 biomarker leads for the first biomarker discovery study. If the protein was identified based on more unique peptides, these proteins were more trusted. Most of the proteins are based on multiple peptides (Table 2). For the ones based on one unique peptide, the proteomic RAW data were determined to be of high quality with almost no missing data (only the unique peptide of HLA-DMA is hydrophilic and suffers from contaminations in the samples resulting in a decreased intensity of this peptide in some pools). The fact that all these potential biomarker leads are based on high quality peptide signals and not noise is promising for their utility as biomarker candidates.
4.2. Network Analysis
4.2.1. Ubiquitination and ESCRT-Pathway-Related Proteins
The first network that could be distinguished is the upper brown network (Figure 3). It contains E3 ligases of the ubiquitin proteasome system (UPS) and components of the ESCRT pathway.
Ubiquitination is performed by the UPS and attaches ubiquitin, a small regulatory protein of 76 amino acids, to proteins, resulting in the post-translational modification of the proteins. It is a multistep process and requires the sequential action of three enzymes. The first one is the E1 or activation enzyme that recruits free ubiquitin in the cell and activates it in an adenosine triphosphate (ATP)-dependent way. The activated ubiquitin is then transferred to the E2 conjugate enzyme. The E3 ligases are responsible for substrate recognition and facilitates the transfer of ubiquitin to the substrate. The resulting linkage of ubiquitin chains creates a certain topology and dictates the fate of the substrate. For instance, a resulting “closed” or compact conformation leads to degradation of polyubiquitinated proteins, carried out in the 26S macromolecular proteasome complex. In contrast, an “open” conformation results in non-proteasomal signaling functions [43,44]. Two E3 ligases were identified, E3 ubiquitin-protein ligase (MIB2) and E3 ubiquitin protein ligase NEDD4 like (NEDD4L), that were significantly downregulated in the separated sEVs of patients with a first diagnosis of bladder cancer (Table 2). It has been described in the literature that cancer cells exploit the members of the ubiquitination pathway to stabilize aberrant oncogenic signaling, leading to cancer progression and metastasis. Furthermore, downregulation of some E3 ubiquitin ligases has been described as stabilizing aberrant oncogenic signaling [43]. However, the literature is controversial about the role of ubiquitination in cancer and it is not clear what the role of these E3 ubiquitin ligases is in sEVs.
The ESCRT-dependent pathway for exosome biogenesis requires the sequential function of ESCRT-0, -l, -ll and III complexes. ESCRT-l binds to ubiquitinated cargo proteins and is required for the sorting of endocytic ubiquitinated cargo into multivesicular bodies (MVBs). Vacuolar-protein-sorting-associated protein 28 (VPS28), vacuolar-protein-sorting-associated protein 37D (VPS37D) and tumor susceptibility gene 101 protein (TSG101) are components of the ESCRT-l complex and were significantly downregulated in the sEV fractions of patients with a first bladder cancer diagnosis. Bro 1 containing domain (BROX), charged multivesicular body proteins (CHMP) CHMP2A, CHMP2B, CHMP4B and vacuolar-protein-sorting-associated protein 4A (VPS4A), all components of ESCRT-lll complex, were also significantly downregulated. BROX associates with CHMP4 and plays a role in the sorting of ubiquitinated cargos [45]. The exact role of these ESCRT proteins in sEVs is not clear at the moment. However, TSG101 was also identified as a tumor-suppressor gene and loss of TSG101 is involved in oncogenesis [46,47]. Latosinska et al. (2017) discovered that BROX was also downregulated in bladder cancer tissue samples, according to tumor stage [48]. No conclusion could be made according the number of sEVs produced based on the downregulation of these ESCRT proteins since also vesicles independent of the ESCRT pathway exist. Colombo et al. (2013) concluded that the inhibition of certain ESCRT-l proteins (HRS, STAM1 and TSG101) decreased exosome secretion in cells and inhibition of certain ESCRT-lll proteins (CHMP4C, VPS4B, VTA1, ALIX) increased exosome secretion [49].
4.2.2. Fibrinolysis, Complement Activation and Coagulation Cascades
The cluster indicated in red was related to fibrinolysis, complement and coagulation cascades (Figure 3). The expression of complement C3 (C3) in the sEV fractions of bladder cancer patients was increased in this biomarker discovery study. The upregulation of C3 was also demonstrated in several types of cancer and in different liquid biopsies [50,51,52,53,54]. Increased expression of C3 could indicate the activation of the complement cascade pathway: the immunity system is activated and can destroy tumor cells. This is the fundamental principal of antibody-based immunotherapy: trying to evoke the immune system to eliminate tumor cells [55]. However, complement activation in the tumor microenvironment can also promote tumor growth via overactive complement and chronic inflammation. This promotes tumor immune escape, resulting in tumor progression and metastasis [56,57]. TWIST1 was already known as a biomarker candidate for the detection of bladder cancer [58,59]. It was hypothesized that TWIST1 reduces E-cadherin expression, which is a cell-to-cell adhesion molecule, and loss of its expression results in epithelial-to-mesenchymal transition (EMT), a hallmark of cancer [60]. Cho et al. (2016) showed that TWIST1 also binds to the promotor region of the C3 gene and enhances C3 transcription. They demonstrated that the effect of TWIST1 on E-cadherin is mediated through C3 and C3 decreased E-cadherin expression on cancer cells and promoted epithelial to mesenchymal transition [61]. Therefore, C3 harbors both pro-oncogenic and tumor suppressive functions.
The protein cluster of differentiation 59 (CD59) in the dark green cluster was closely related to the complement cascade (Figure 3). CD59 is an important complement regulatory protein (CRP) that disassembles the membrane attack complex (MAC) of the complement pathway. CD59 is expressed on the surface of tumor cells, potentially in order to limit CDC [62]. However, it has also been shown that the loss of CD59 expression in breast tumors correlates with poor patient survival [63]. CD59 was downregulated in the sEV fractions of bladder cancer patients in this biomarker discovery study. In the study of Abdullah-Soheimi et al. (2010), CD59 was also reduced in the urine of patients with ovarian cancer [64]. There are some possible explanations for the lack of CRPs on EVs: lower CD59 content on the sEVs of bladder cancer patients due to higher CD59 levels on tumor cells or lower CD59 on EVs results in an overactive complement in the tumor microenvironment and this has deleterious effects due to chronic inflammation that promotes carcinogenesis [65]. The true underlying mechanism remains unclear. Vesicular integral membrane protein VIP36 (LMAN2) and protein tyrosine phosphatase receptor type J (PTPRJ) are also nodes in this green cluster. In contrast to this study, LMAN2 was upregulated in the urine of prostate cancer patients [66]. However, PTPRJ was downregulated in the sEV fractions of the bladder cancer patients in this study and is also frequently deleted in several types of cancer [67].
Different serine protease inhibitors (alpha-2-macroglobulin (A2M), phosphatidyl ethanolamine binding protein 1 (PEBP1), kininogen-1 (KNG1), alpha-1-antitrypsin (SERPINA1), alpha-1-antichymotrypsin (SERPINA3), plasma serine protease inhibitor (SERPINA5)) were also part of this network and play a role in coagulation. Coagulation and thrombosis favors tumor progression and metastasis. Again, complement activation has a role in hypercoagulation during cancer [68,69,70]. Tumor cells are surrounded by fibrinogen and can recruit immune cells for the establishment of an inflammatory environment in this fibrin matrix [71]. Two forms of fibrinogen, fibrinogen beta chain (FBB) and fibrinogen gamma chain (FGG), were also upregulated in the samples of bladder cancer patients in this study. Liu et al. (2016) have also shown that an elevated preoperative plasma fibrinogen level is an independent predictor of malignancy and advanced-stage disease in patients with bladder urothelial tumors after investigating 503 patients diagnosed with a first urothelial bladder cancer tumor [72]. The upregulation of fibrinogens in the urine of patients with bladder transitional cell carcinoma was also demonstrated in a study of Li et al. (2011) [73]. Linked to the role of fibrinogen and coagulation in cancer, A2M is also elevated in bladder cancer patients, an inhibitor of fibrinolysis. The upregulation of this protein was also demonstrated by Chen et al. (2012) [22]. In addition, PEBP1, also known as Raf kinase inhibitory protein (RKIP), was downregulated in sEVs of bladder cancer patients in this study. It may act as a metastasis-suppressor gene through the regulation of important signaling cascades, i.e., the RAF-MEK-ERK kinase cascade, G protein-coupled receptors, and the NF-κβ pathway [74,75,76]. As in this biomarker discovery study, downregulated expression of PEBP1 is observed in many cancers as they progress, including bladder cancer [52,77,78,79,80,81]. KNG1 also plays a role in coagulation. KNG1 levels were reduced in the samples of the bladder cancer patients. It was already suggested in literature that KNG1 is an inhibitor of angiogenesis [82]. Furthermore, Abdullah-Soheimi et al. (2010) discovered the significant reduced excretion of KNG1 besides the reduced CD59 levels in urine samples of patients with ovarian carcinoma compared to healthy controls [64]. In addition, several other studies have shown a significant reduction of the KNG1 level in serum and plasma samples in patients with gastrointestinal cancer [83], breast cancer [84] and cervical cancer [85]. However, reduced KNG1 levels may not be cancer-specific since decreased levels have also been reported in the urine of patients with chronic pancreatitis [86], interstitial cystitis [87] and IgA nephropathy [88].
Furthermore, apolipoproteins (APO), APOA1, APOA2 and APOD, linked with coagulation, were detected in this network, whereof the first two were upregulated and APOD was downregulated. The upregulation of APOA1 and APOA2 in the urinary sEVs of bladder cancer patients was also demonstrated in the study of Chen et al. (2013) [89]. APO1 was also upregulated in the urine samples of patients with bladder transitional cell carcinoma [73].
4.2.3. Hemoglobins
The cluster indicated in blue contained two hemoglobins, hemoglobin subunit alpha (HBA1) and hemoglobin subunit beta (HBB) (Figure 3). HBA1 and HBB were the only statistically significant biomarkers with an absolute fold change larger than 0.6 and an FDR-corrected p value smaller than 0.05 in the other biomarker discovery study with bladder cancer patients with a recurrence diagnosis and tumor-free patients in follow up. The upregulation of these proteins in samples of patients with a bladder cancer tumor can be linked with the contamination of blood due to hematuria, indicating that these proteins might not be tumor-specific.
4.2.4. Peptidases
The light green cluster contained different peptidases: aminopeptidase N (ANPEP), dipeptidyl peptidase 4 (DPP4), gamma-glutamyl transpeptidase 1 (GGT1) and neprilysin (MME), which were all downregulated in this study (Figure 3). The literature describes that DPP4 act as a tumor suppressor gene and was downregulated in some types of cancer [90,91,92,93]. In addition, the downregulated expression of ANPEP has also been observed in different types of carcinomas [52,94,95]. MME is also known as CD10. Both loss of expression of MME [96,97,98] and higher expression levels of MME are reported [99,100], varying by tissue type and disease state. In this biomarker discovery study, a down regulation was observed in bladder cancer patients. GGT1 was part of the glutathione pathway and glutathione has a crucial role in the removal and detoxification of carcinogens. Alterations in this pathway can have a profound effect on cell survival [101].
4.2.5. Pro-Epidermal Growth Factor (EGF) and Prominin-1 (PROM1)
EGF and PROM1 were in the purple cluster (Figure 3). PROM1 was overexpressed in different types of tumors [102]. In the sEV fractions, PROM1 was downregulated in bladder cancer patients. The biological role of PROM1 remains unclear [103]. Another proteomic biomarker discovery study in abundant-protein-depleted urine revealed the under expression of pro-epidermal growth factor (EGF) in the bladder cancer patient group vs. hernia patients [89]. Chen et al. (2013) demonstrated previously that urinary EGF levels were not significantly altered in patients with kidney cancer, rendering them a useful biomarker for bladder cancer [89].
4.2.6. Differentially Expressed Proteins Not in Network Analysis
There are still 34 statistically significant expressed proteins with a median absolute fold change larger than 0.6 and an FDR-corrected p value smaller than 0.05 that were not included in the above-mentioned network analysis. The most interesting proteins are discussed below.
Peroxiredoxin 2 (PRDX2) was upregulated in the samples of the bladder cancer patients. This was also demonstrated in a study of Chen et al. (2010), where the potential of PRDX2 as a stage discriminator for bladder cancer was well demonstrated [104]. Collagen alpha-1(VI) chain (COL6A1) was downregulated in the bladder cancer group in this biomarker discovery study. The collagen proteins play a role in maintaining the integrity of various tissues and COL6A1 was also downregulated in prostate cancer [105], colorectal cancer [106] and ovarian cancer [107]. Fructose bisphosphate aldolase B (ALDOB) was downregulated in the sEV fractions of bladder cancer patients in this study. Downregulation of ALDOB has also been observed in gastric cancer patients and this was associated with poor prognosis [108]. By contrast, ALDOB overexpression was observed during the epithelial to mesenchymal transition in colorectal adenocarcinoma in a study of Li et al. (2017) [109]. The role of ALDOB in cancer is still controversial and more exploration is mandatory. Human leukocyte antigen class II histocompatibility antigen alpha chain (HLA-DMA) was also under-expressed in this biomarker discovery study. However, caution should be taken with this candidate biomarker since the identification and quantification of this protein was based on one hydrophilic peptide. It has been suggested that the under expression of HLA-DMA had an effect on the persistent binding of CLIP during the HLA class II antigen presenting, resulting in a lower CD4+ T cell response [110]. This is in accordance with the findings of Filipazzi et al. (2012) that tumor-derived sEVs prevent T-cell activation [111]. The downregulation of HLA-DMA has also been previously seen in head and neck squamous cell carcinoma [112]. Another under-expressed protein in the bladder cancer patient group of this study was Na(+)/H(+) exchange regulatory cofactor 1 (NHE-RF1, SLC9A3R1) and it has been previously demonstrated that NHE-RF1 is a tumor suppressor [113,114]. In a study of Georgescu et al. (2016), NHE-RF1 deficiency in mice resulted in increased tumor burden [113].
Upregulation of the wnt-β-catenin pathway was demonstrated in NHE-RF1-deficient tumors. In normal conditions, NHE-RF1 interacts with β-catenin and suppresses the wnt-β-catenin pathway [113]. Downregulation of NHE-RF1 increased this pathway. NHE-RF1 downregulation has also been demonstrated previously in colon cancer [115]. It has also been demonstrated that in cervical cancer, NHE-RF1 was down regulated in cells that were resistant for cisplatin-based chemotherapy [116]. Furthermore, an uncharacterized protein C11orf52 (C11orf52) was under-expressed in the sEV fractions of the bladder cancer patients. This protein was previously identified in sEVs separated from urine [117]. In a recent study of Hwang et al. (2020), it was suggested by bioinformatic prediction that this uncharacterized protein might play a role in the wnt signaling pathway [118]. In addition, mannan-binding lectin serine protease (MASP2), a serum protease that plays an important role in the activation of the complement system via mannose-binding lectin, was downregulated in the sEV fractions of the bladder cancer patients.
4.3. Potential Biomarkers
The majority of the identified biomarker candidates have been previously described in the literature. A lot of these proteins were identified in studies exploring plasma, serum or cell-free urine. This raises the question whether the identified proteins are really sEV-derived or are contaminants of the sEV fractions due to the sEV separation method used. It is possible that some proteins are soluble proteins in liquid biopsies and are also located in sEVs or associated with sEVs. For example NHE-RF1, MME and C3 were also identified in the EV cargo of a study of Gupta et al. [119]. The question again is whether these sEV fractions using differential UC are pure vesicles or if these proteins are also contaminants in the isolates. Ultimately, the origin of the biomarker needs to be checked before a diagnostic test could be developed. Therefore, techniques to separate sEVs from urine with high purity are necessary. Furthermore, bladder cancer cell lines can be used in combination with high-purity sEV separation methods to avoid highly abundant soluble urinary proteins in the sEV isolates. In a recent study of Dhondt et al., bottom-up Optiprep density gradient centrifugation was demonstrated to separate sEVs and soluble proteins from urine with high specificity and repeatability [120]. Using this separation method, they detected 3686 and 1996 proteins in an “EV-enriched” and “protein-enriched” fraction, respectively. A list of 684 proteins was identified as putative contaminants of urinary sEV isolates, based on their selective identification in the “protein-enriched” fraction only [120]. In our list of 69 biomarker candidates for both biomarker discovery studies, no candidate was part of this list of putative contaminants. The study of Dhondt et al. (2020) demonstrated that a bottom-up Optiprep density gradient results in the separation of more pure EV-fractions compared to our UF + SEC method, resulting in increased protein identifications (3686 compared to 1226) [120]. However, this method has a lower recovery efficiency (30% vs. 60%) and is time consuming (>21 h), which is impractical when performing large biomarker discovery studies [94]. Exploring the proteomics data of both studies, 17 biomarker candidates in our study were solely identified in their “EV-enriched” fraction and not in their “protein-enriched” fraction, indicating that they are probably not identified as urinary soluble proteins.
In the second biomarker discovery study to detect a biomarker panel to monitor bladder cancer patients in follow-up, only HBB and HBA1 were identified as statistically significant biomarkers with an absolute fold change larger than 0.6 and an FDR-corrected p value smaller than 0.05. The anti-cancer therapies that these patients received, influence the tumor microenvironment and impact the EV release and urinary sEV content of the secreted EVs by tumor cells in response to the therapy [121,122,123]. In addition, sEVs might also be responsible for enhanced prometastatic capacity and mediate resistance after treatment [124,125,126,127,128]. This complicates the detection of biomarker candidates for the detection of a recurrence, independent of the previous anti-cancer treatments the patient received. Further research is required to evaluate the impact of each therapy on urinary sEVs. Also worth mentioning is that 46 urine samples of the bladder cancer patients with a recurrence diagnosis were used, which were derived from only 34 different patients. For the patients in follow-up with no suspicion of a bladder tumor present at the moment of urine collection, 109 urine samples were derived from only 52 different patients. In addition, nine patients had both a tumor free and a recurrence sample in this biomarker discovery study, complicating the statistical analysis since the two groups include partially paired data.
It remains questionable whether apolipoproteins or proteins involved in the complement and coagulation cascade can be highly specific markers for bladder cancer. However, most studies describe no effect of hematuria on the biomarker levels of apolipoproteins [129]. In addition, complement biomarkers are detected in a wide variety of pathological conditions [130,131].
In the result section, the identified biomarker candidates were discussed in detail. Comparing this data set to a previous review, combining all known candidate biomarkers [11], POSTN, H2B1K, HEXB, CD36, 5T4, CD73 and EDIL3 were not identified in this proteomic data set. Some proteins such as CD44, MUC4, GPRC5A, BSG, RETN, EPS8L2, EPS8L1, EHD4, ITIH2, APOB, CA1, S100A4 and TACSTD2 were identified. This could be the result of the sample size in this biomarker discovery or the fact that the conclusion in the previously described studies were based on extremely low sample sizes. In addition, since different subsets of sEVs are obtained with different separation methods, this will result in different outcomes. Furthermore, an important parameter is the heterogeneity of the bladder tumors. The stage and grade of the bladder tumor can determine the molecular cargo of the sEVs and thus influence the outcome in biomarker discovery studies.
Other groups have been investigating urinary EVs and EV proteins for bladder cancer detection and monitoring [26,27,28,29]. One study showed that although patients were histologically tumor-free after cystectomy, the bladder urine contained exosomes with a carcinogenic metabolic profile. This suggests a continuous release of exosomes from the bladder, which may promote recurrence at distant sites through metabolic rewiring, even after apparent complete removal of the tumor [26]. Another study demonstrated that most of the proteins identified in tissue-exudative EVs are also present in urinary EVs [27]. The authors combined proteomic analysis of urinary EVs and tissue-exudative EVs to identify urinary EV biomarker proteins for the detection of bladder cancer. They identified heat-shock protein 90, syndecan-1 and myristoylated alanine-rich C-kinase substrate as BC-specific EV proteins representing both potential biomarkers and therapeutic targets. However, their strategy is time consuming and requires expensive equipment, which limits its use beyond a scientific research setting [27].
4.4. Future Research
In the field of cancer proteomics or oncoproteomics, comparing the proteome of samples by quantitative proteomics from different conditions, i.e., tumor vs. healthy, can result in the identification of differentially expressed proteins due to abnormal functioning of proteins in cancer conditions [132]. This will provide insights into the underlying mechanisms of carcinogenesis, cancer progression and metastasis. The presence or abundance of certain biomarkers can be used for the diagnosis, monitoring or therapy of cancer [133]. In this study, a proteomic-based biomarker discovery study was performed to identify biomarker candidates for the diagnosis and monitoring of bladder cancer patients. Therefore, mass spectrometry (MS) was used to investigate the potential of urinary sEV-derived proteins as biomarkers for bladder cancer.
MS is a commonly used technology to analyze sensitively unknown proteins. This is advantageous over other proteomic techniques such as Western blot, immunohistochemistry and enzyme-linked immune sorbent assay (ELISA), that only can identify and quantify known proteins because antibodies are required for their detection [134]. Antibody-based methods of protein detection are highly specific but have limitations. Their progress has been hampered by barriers in reproducibility, standardization, small patient cohorts, inability to multiplex assays and the high cost and manual labor time to develop validated ELISA assays [135,136]. MS has emerged as a promising platform to overcome several of these limitations and implement high-throughput proteomics. This is because MS can be highly accurate and reproducible and can measure multiple analytes simultaneously [135,136]. In this study, we have identified some proteins as potential biomarkers for the diagnosis and monitoring of bladder cancer. However, these results need to be confirmed using targeted proteomics methods such as immunoassays, ELISA or LC-MS/MS before being clinically applicable.
5. Conclusions
This pilot protein biomarker discovery study on urinary sEV fractions using UF SEC identified 69 protein biomarker candidates for the first diagnosis of bladder cancer, based on high quality proteomic data. This means that the proteins were identified and quantified based on more than one peptide and the raw data were manually controlled. Some biologically relevant biomarker candidates were detected such as GGT1, PEBP1, PTPRJ, PRDX2, NHE-RF1, C11orf52 and MASP2. Regarding the discriminating power between the two groups of some potential biomarkers, MASP2, C3, A2M, CHMP2A and NHE-RF1 were identified as promising biomarker candidates. Moreover, a final independent validation study is required including a validation of these biomarker candidates with a negative control group with urogenital pathologies, to eliminate non-specific biomarkers for the detection of bladder cancer, based on a targeted protein quantification, like targeted MS or antibody-based technologies.
Supplementary Materials
The following supporting information can be downloaded at: https://www.mdpi.com/article/10.3390/biom13060932/s1, Table S1: Patient samples used for pool; Table S2: The full list of 1266 quantified proteins.
Author Contributions
Conceptualization, E.O., P.P. and I.M.; methodology, E.O.; formal analysis, S.J., E.O., H.W.; investigation, E.O., F.A. and S.D.W.; data curation, E.O.; writing—original draft preparation, S.J.; writing—review and editing, E.O., H.W., F.A., S.D.W., P.P. and I.M.; visualization, S.J. and E.O.; supervision, P.P. and I.M. All authors have read and agreed to the published version of the manuscript.
Funding
This work was supported by the Vlaamse Instelling voor Technologisch Onderzoek (VITO). S. Jordaens is supported by a Ph. D. fellowship (Baekeland Mandate) from the Flemish Agency Innovation & Entrepreneurship–VLAIO (HBC.2019.2631).
Institutional Review Board Statement
The study was conducted in accordance with the Declaration of Helsinki and approved by the Institutional Review Board (or Ethics Committee) of the Ethical Committee of the University of Antwerp and the University Hospital of Antwerp (B300201525713, 2015).
Informed Consent Statement
Informed consent was obtained from all subjects involved in the study.
Data Availability Statement
The data that support the findings of this study are available in this article and the Supplementary Materials. Further data are available from the corresponding author upon reasonable request.
Acknowledgments
Firstly: we would like to thank all volunteers for participating in our studies. We would also like to thank the clinicians for collecting the urine samples (AZ Turnhout (Raf Van Reusel) and AZ Herentals (Kristof Durt and Siebe van den Bouwhuijsen)). Furthermore, we would like to express our gratitude to the Antwerp Centre for Advanced Microscopy for analyzing the EVs using transmission electron microscopy.
Conflicts of Interest
The authors report no conflicts of interest.
Abbreviations
| ANOVA | Analysis of variance |
| ATP | Adenosine triphosphate |
| BC | Bladder cancer |
| cf | Cell-free |
| EMT | Epithelial-to-mesenchymal transition |
| EV | Extracellular vesicle |
| FDR | False discovery rate |
| HC | Healthy control |
| HCD | Higher-energy collisional dissociation |
| LC-MS/MS | Liquid chromatography followed by tandem mass spectrometry |
| MCL | Markov clustering |
| MIBC | Muscle-invasive bladder cancer |
| MTBE | Methyl-tert-butyl-ether |
| MVBs | multivesicular bodies |
| NMIBC | Non-muscle-invasive bladder cancer |
| NTA | Nanoparticle tracking analysis |
| PD | Proteome discoverer |
| ppm | Parts per million |
| QC | Quality control |
| SEC | Size-exclusion chromatography |
| sEV | Small extracellular vesicles |
| STRING | Search tool for the retrieval of interacting genes |
| TEM | Transmission electron microscopy |
| UF | Ultrafiltration |
| UPS | Ubiquitin proteasome system |
References
- Sung, H.; Ferlay, J.; Siegel, R.L.; Laversanne, M.; Soerjomataram, I.; Jemal, A.; Bray, F. Global Cancer Statistics 2020: GLOBOCAN Estimates of Incidence and Mortality Worldwide for 36 Cancers in 185 Countries. CA Cancer J. Clin. 2021, 71, 209–249. [Google Scholar] [CrossRef] [PubMed]
- Global Burden of Disease Cancer, C.; Fitzmaurice, C.; Allen, C.; Barber, R.M.; Barregard, L.; Bhutta, Z.A.; Brenner, H.; Dicker, D.J.; Chimed-Orchir, O.; Dandona, R.; et al. Global, Regional, and National Cancer Incidence, Mortality, Years of Life Lost, Years Lived With Disability, and Disability-Adjusted Life-years for 32 Cancer Groups, 1990 to 2015: A Systematic Analysis for the Global Burden of Disease Study. JAMA Oncol. 2017, 3, 524–548. [Google Scholar] [CrossRef] [PubMed]
- Zuiverloon, T.C.; van der Aa, M.N.; van der Kwast, T.H.; Steyerberg, E.W.; Lingsma, H.F.; Bangma, C.H.; Zwarthoff, E.C. Fibroblast growth factor receptor 3 mutation analysis on voided urine for surveillance of patients with low-grade non-muscle-invasive bladder cancer. Clin. Cancer Res. 2010, 16, 3011–3018. [Google Scholar] [CrossRef] [PubMed]
- Ratert, N.; Meyer, H.A.; Jung, M.; Lioudmer, P.; Mollenkopf, H.J.; Wagner, I.; Miller, K.; Kilic, E.; Erbersdobler, A.; Weikert, S.; et al. miRNA profiling identifies candidate mirnas for bladder cancer diagnosis and clinical outcome. J. Mol. Diagn. 2013, 15, 695–705. [Google Scholar] [CrossRef] [PubMed]
- Babjuk, M.; Oosterlinck, W.; Sylvester, R.; Kaasinen, E.; Bohle, A.; Palou-Redorta, J.; Roupret, M. EAU guidelines on non-muscle-invasive urothelial carcinoma of the bladder, the 2011 update. Eur. Urol. 2011, 59, 997–1008. [Google Scholar] [CrossRef] [PubMed]
- Pollard, C.; Smith, S.C.; Theodorescu, D. Molecular genesis of non-muscle-invasive urothelial carcinoma (NMIUC). Expert. Rev. Mol. Med. 2010, 12, e10. [Google Scholar] [CrossRef]
- Baumgart, S.; Holters, S.; Ohlmann, C.H.; Bohle, R.; Stockle, M.; Ostenfeld, M.S.; Dyrskjot, L.; Junker, K.; Heinzelmann, J. Exosomes of invasive urothelial carcinoma cells are characterized by a specific miRNA expression signature. Oncotarget 2017, 8, 58278–58291. [Google Scholar] [CrossRef]
- Yoshida, T.; Kates, M.; Fujita, K.; Bivalacqua, T.J.; McConkey, D.J. Predictive biomarkers for drug response in bladder cancer. Int. J. Urol. 2019, 26, 1044–1053. [Google Scholar] [CrossRef]
- Biardeau, X.; Lam, O.; Ba, V.; Campeau, L.; Corcos, J. Prospective evaluation of anxiety, pain, and embarrassment associated with cystoscopy and urodynamic testing in clinical practice. Can. Urol. Assoc. J. 2017, 11, 104–110. [Google Scholar] [CrossRef]
- Lotan, Y.; Roehrborn, C.G. Sensitivity and specificity of commonly available bladder tumor markers versus cytology: Results of a comprehensive literature review and meta-analyses. Urology 2003, 61, 109–118. [Google Scholar] [CrossRef]
- Oeyen, E.; Hoekx, L.; De Wachter, S.; Baldewijns, M.; Ameye, F.; Mertens, I. Bladder Cancer Diagnosis and Follow-Up: The Current Status and Possible Role of Extracellular Vesicles. Int. J. Mol. Sci. 2019, 20, 821. [Google Scholar] [CrossRef] [PubMed]
- Lane, R.E.; Korbie, D.; Hill, M.M.; Trau, M. Extracellular vesicles as circulating cancer biomarkers: Opportunities and challenges. Clin. Transl. Med. 2018, 7, 14. [Google Scholar] [CrossRef] [PubMed]
- Bobrie, A.; Colombo, M.; Raposo, G.; Thery, C. Exosome secretion: Molecular mechanisms and roles in immune responses. Traffic 2011, 12, 1659–1668. [Google Scholar] [CrossRef] [PubMed]
- Liu, Y.R.; Ortiz-Bonilla, C.J.; Lee, Y.F. Extracellular Vesicles in Bladder Cancer: Biomarkers and Beyond. Int. J. Mol. Sci. 2018, 19, 2822. [Google Scholar] [CrossRef]
- Kalluri, R. The biology and function of exosomes in cancer. J. Clin. Invest. 2016, 126, 1208–1215. [Google Scholar] [CrossRef]
- Linxweiler, J.; Junker, K. Extracellular vesicles in urological malignancies: An update. Nat. Rev. Urol. 2020, 17, 11–27. [Google Scholar] [CrossRef]
- Callister, S.J.; Barry, R.C.; Adkins, J.N.; Johnson, E.T.; Qian, W.J.; Webb-Robertson, B.J.; Smith, R.D.; Lipton, M.S. Normalization approaches for removing systematic biases associated with mass spectrometry and label-free proteomics. J. Proteome Res. 2006, 5, 277–286. [Google Scholar] [CrossRef]
- Valikangas, T.; Suomi, T.; Elo, L.L. A systematic evaluation of normalization methods in quantitative label-free proteomics. Brief. Bioinform. 2018, 19, 1–11. [Google Scholar] [CrossRef]
- Tyanova, S.; Cox, J. Perseus: A Bioinformatics Platform for Integrative Analysis of Proteomics Data in Cancer Research. Methods Mol. Biol. 2018, 1711, 133–148. [Google Scholar] [CrossRef]
- Nawaz, M.; Camussi, G.; Valadi, H.; Nazarenko, I.; Ekstrom, K.; Wang, X.; Principe, S.; Shah, N.; Ashraf, N.M.; Fatima, F.; et al. The emerging role of extracellular vesicles as biomarkers for urogenital cancers. Nat. Rev. Urol. 2014, 11, 688–701. [Google Scholar] [CrossRef]
- Lee, J.; McKinney, K.Q.; Pavlopoulos, A.J.; Niu, M.; Kang, J.W.; Oh, J.W.; Kim, K.P.; Hwang, S. Altered Proteome of Extracellular Vesicles Derived from Bladder Cancer Patients Urine. Mol. Cells 2018, 41, 179–187. [Google Scholar] [CrossRef]
- Chen, C.L.; Lai, Y.F.; Tang, P.; Chien, K.Y.; Yu, J.S.; Tsai, C.H.; Chen, H.W.; Wu, C.C.; Chung, T.; Hsu, C.W.; et al. Comparative and targeted proteomic analyses of urinary microparticles from bladder cancer and hernia patients. J. Proteome Res. 2012, 11, 5611–5629. [Google Scholar] [CrossRef]
- Sun, Y.; Liu, J. Potential of cancer cell-derived exosomes in clinical application: A review of recent research advances. Clin. Ther. 2014, 36, 863–872. [Google Scholar] [CrossRef]
- Huebner, A.R.; Somparn, P.; Benjachat, T.; Leelahavanichkul, A.; Avihingsanon, Y.; Fenton, R.A.; Pisitkun, T. Exosomes in urine biomarker discovery. Adv. Exp. Med. Biol. 2015, 845, 43–58. [Google Scholar] [CrossRef]
- Franzen, C.A.; Blackwell, R.H.; Foreman, K.E.; Kuo, P.C.; Flanigan, R.C.; Gupta, G.N. Urinary Exosomes: The Potential for Biomarker Utility, Intercellular Signaling and Therapeutics in Urological Malignancy. J. Urol. 2016, 195, 1331–1339. [Google Scholar] [CrossRef]
- Hiltbrunner, S.; Mints, M.; Eldh, M.; Rosenblatt, R.; Holmstrom, B.; Alamdari, F.; Johansson, M.; Veerman, R.E.; Winqvist, O.; Sherif, A.; et al. Urinary Exosomes from Bladder Cancer Patients Show a Residual Cancer Phenotype despite Complete Pathological Downstaging. Sci. Rep. 2020, 10, 5960. [Google Scholar] [CrossRef]
- Tomiyama, E.; Matsuzaki, K.; Fujita, K.; Shiromizu, T.; Narumi, R.; Jingushi, K.; Koh, Y.; Matsushita, M.; Nakano, K.; Hayashi, Y.; et al. Proteomic analysis of urinary and tissue-exudative extracellular vesicles to discover novel bladder cancer biomarkers. Cancer Sci. 2021, 112, 2033–2045. [Google Scholar] [CrossRef]
- Tomiyama, E.; Fujita, K.; Matsuzaki, K.; Narumi, R.; Yamamoto, A.; Uemura, T.; Yamamichi, G.; Koh, Y.; Matsushita, M.; Hayashi, Y.; et al. EphA2 on urinary extracellular vesicles as a novel biomarker for bladder cancer diagnosis and its effect on the invasiveness of bladder cancer. Br. J. Cancer 2022, 127, 1312–1323. [Google Scholar] [CrossRef]
- Lee, J.; Park, H.S.; Han, S.R.; Kang, Y.H.; Mun, J.Y.; Shin, D.W.; Oh, H.W.; Cho, Y.K.; Lee, M.S.; Park, J. Alpha-2-macroglobulin as a novel diagnostic biomarker for human bladder cancer in urinary extracellular vesicles. Front. Oncol. 2022, 12, 976407. [Google Scholar] [CrossRef]
- Thery, C.; Witwer, K.W.; Aikawa, E.; Alcaraz, M.J.; Anderson, J.D.; Andriantsitohaina, R.; Antoniou, A.; Arab, T.; Archer, F.; Atkin-Smith, G.K.; et al. Minimal information for studies of extracellular vesicles 2018 (MISEV2018): A position statement of the International Society for Extracellular Vesicles and update of the MISEV2014 guidelines. J. Extracell. Vesicles 2018, 7, 1535750. [Google Scholar] [CrossRef]
- Goethals, S.; De Wilde, A.; Lesage, K.; Smits, E.; Pauwels, P.; Peeters, M. Tumorbank@uza: A Collection of Tissue, Fluid Samples and Associated Data of Oncology Patients for the Use in Translational Research. Open. J. Bioresour. 2018, 5, 4. [Google Scholar] [CrossRef]
- Yuana, Y.; Boing, A.N.; Grootemaat, A.E.; van der Pol, E.; Hau, C.M.; Cizmar, P.; Buhr, E.; Sturk, A.; Nieuwland, R. Handling and storage of human body fluids for analysis of extracellular vesicles. J. Extracell. Vesicles 2015, 4, 29260. [Google Scholar] [CrossRef] [PubMed]
- Webber, J.; Clayton, A. How pure are your vesicles? J. Extracell. Vesicles 2013, 2, 19861. [Google Scholar] [CrossRef]
- Oeyen, E.; Van Mol, K.; Baggerman, G.; Willems, H.; Boonen, K.; Rolfo, C.; Pauwels, P.; Jacobs, A.; Schildermans, K.; Cho, W.C.; et al. Ultrafiltration and size exclusion chromatography combined with asymmetrical-flow field-flow fractionation for the isolation and characterisation of extracellular vesicles from urine. J. Extracell. Vesicles 2018, 7, 1490143. [Google Scholar] [CrossRef] [PubMed]
- Oeyen, E.; Willems, H.; Kindt, R.T.; Sandra, K.; Boonen, K.; Hoekx, L.; De Wachter, S.; Ameye, F.; Mertens, I. Determination of variability due to biological and technical variation in urinary extracellular vesicles as a crucial step in biomarker discovery studies. J. Extracell. Vesicles 2019, 8, 1676035. [Google Scholar] [CrossRef]
- Mertens, I.; Willems, H.; Van Loon, E.; Schildermans, K.; Boonen, K.; Baggerman, G.; Valkenborg, D.; Gwinner, W.; Anglicheau, D.; Essig, M.; et al. Urinary Protein Biomarker Panel for the Diagnosis of Antibody-Mediated Rejection in Kidney Transplant Recipients. Kidney Int. Rep. 2020, 5, 1448–1458. [Google Scholar] [CrossRef]
- Gentleman, R.C.; Carey, V.J.; Bates, D.M.; Bolstad, B.; Dettling, M.; Dudoit, S.; Ellis, B.; Gautier, L.; Ge, Y.; Gentry, J.; et al. Bioconductor: Open software development for computational biology and bioinformatics. Genome Biol. 2004, 5, R80. [Google Scholar] [CrossRef]
- R Core Team. R: A Language and Environment for Statistical Computing. R Foundation for Statistical Computing 2018. Available online: https://www.R-project.org/ (accessed on 22 November 2022).
- Szklarczyk, D.; Morris, J.H.; Cook, H.; Kuhn, M.; Wyder, S.; Simonovic, M.; Santos, A.; Doncheva, N.T.; Roth, A.; Bork, P.; et al. The STRING database in 2017: Quality-controlled protein-protein association networks, made broadly accessible. Nucleic Acids Res. 2017, 45, D362–D368. [Google Scholar] [CrossRef]
- Szklarczyk, D.; Gable, A.L.; Lyon, D.; Junge, A.; Wyder, S.; Huerta-Cepas, J.; Simonovic, M.; Doncheva, N.T.; Morris, J.H.; Bork, P.; et al. STRING v11: Protein-protein association networks with increased coverage, supporting functional discovery in genome-wide experimental datasets. Nucleic Acids Res. 2019, 47, D607–D613. [Google Scholar] [CrossRef]
- Consortium, E.-T.; Van Deun, J.; Mestdagh, P.; Agostinis, P.; Akay, O.; Anand, S.; Anckaert, J.; Martinez, Z.A.; Baetens, T.; Beghein, E.; et al. EV-TRACK: Transparent reporting and centralizing knowledge in extracellular vesicle research. Nat. Methods 2017, 14, 228–232. [Google Scholar] [CrossRef]
- Boulestreau, J.; Maumus, M.; Rozier, P.; Jorgensen, C.; Noel, D. Mesenchymal Stem Cell Derived Extracellular Vesicles in Aging. Front. Cell Dev. Biol. 2020, 8, 107. [Google Scholar] [CrossRef]
- Gallo, L.H.; Ko, J.; Donoghue, D.J. The importance of regulatory ubiquitination in cancer and metastasis. Cell Cycle 2017, 16, 634–648. [Google Scholar] [CrossRef]
- Sharma, A.; Trivedi, A.K. Regulation of apoptosis by E3 ubiquitin ligases in ubiquitin proteasome system. Cell Biol. Int. 2020, 44, 721–734. [Google Scholar] [CrossRef]
- Ichioka, F.; Kobayashi, R.; Katoh, K.; Shibata, H.; Maki, M. Brox, a novel farnesylated Bro1 domain-containing protein that associates with charged multivesicular body protein 4 (CHMP4). FEBS J. 2008, 275, 682–692. [Google Scholar] [CrossRef]
- Broniarczyk, J.; Olejnik-Schmidt, A.K.; Luczak, M.W.; Schmidt, M.T.; Dabrowski, M.; Jozefiak, A.; Kedzia, W.; Kwasniewska, A.; Gozdzicka-Jozefiak, A. Analysis of expression and structure of the TSG101 gene in cervical cancer cells. Int. J. Mol. Med. 2010, 25, 777–783. [Google Scholar] [CrossRef]
- Jiang, Y.; Ou, Y.; Cheng, X. Role of TSG101 in cancer. Front. Biosci. 2013, 18, 279–288. [Google Scholar] [CrossRef]
- Latosinska, A.; Mokou, M.; Makridakis, M.; Mullen, W.; Zoidakis, J.; Lygirou, V.; Frantzi, M.; Katafigiotis, I.; Stravodimos, K.; Hupe, M.C.; et al. Proteomics analysis of bladder cancer invasion: Targeting EIF3D for therapeutic intervention. Oncotarget 2017, 8, 69435–69455. [Google Scholar] [CrossRef]
- Colombo, M.; Moita, C.; van Niel, G.; Kowal, J.; Vigneron, J.; Benaroch, P.; Manel, N.; Moita, L.F.; Thery, C.; Raposo, G. Analysis of ESCRT functions in exosome biogenesis, composition and secretion highlights the heterogeneity of extracellular vesicles. J. Cell. Sci. 2013, 126, 5553–5565. [Google Scholar] [CrossRef]
- Jeong, D.H.; Kim, H.K.; Prince, A.E.; Lee, D.S.; Kim, Y.N.; Han, J.; Kim, K.T. Plasma proteomic analysis of patients with squamous cell carcinoma of the uterine cervix. J. Gynecol. Oncol. 2008, 19, 173–180. [Google Scholar] [CrossRef]
- Bergamini, S.; Bellei, E.; Reggiani Bonetti, L.; Monari, E.; Cuoghi, A.; Borelli, F.; Sighinolfi, M.C.; Bianchi, G.; Ozben, T.; Tomasi, A. Inflammation: An important parameter in the search of prostate cancer biomarkers. Proteome Sci. 2014, 12, 32. [Google Scholar] [CrossRef]
- Davalieva, K.; Kiprijanovska, S.; Maleva Kostovska, I.; Stavridis, S.; Stankov, O.; Komina, S.; Petrusevska, G.; Polenakovic, M. Comparative Proteomics Analysis of Urine Reveals Down-Regulation of Acute Phase Response Signaling and LXR/RXR Activation Pathways in Prostate Cancer. Proteomes 2017, 6, 1. [Google Scholar] [CrossRef]
- Dowling, P.; Clarke, C.; Hennessy, K.; Torralbo-Lopez, B.; Ballot, J.; Crown, J.; Kiernan, I.; O’Byrne, K.J.; Kennedy, M.J.; Lynch, V.; et al. Analysis of acute-phase proteins, AHSG, C3, CLI, HP and SAA, reveals distinctive expression patterns associated with breast, colorectal and lung cancer. Int. J. Cancer 2012, 131, 911–923. [Google Scholar] [CrossRef]
- Kim, P.Y.; Tan, O.; Diakiw, S.M.; Carter, D.; Sekerye, E.O.; Wasinger, V.C.; Liu, T.; Kavallaris, M.; Norris, M.D.; Haber, M.; et al. Identification of plasma complement C3 as a potential biomarker for neuroblastoma using a quantitative proteomic approach. J. Proteomics 2014, 96, 1–12. [Google Scholar] [CrossRef]
- Taylor, R.P.; Lindorfer, M.A. Cytotoxic mechanisms of immunotherapy: Harnessing complement in the action of anti-tumor monoclonal antibodies. Semin. Immunol. 2016, 28, 309–316. [Google Scholar] [CrossRef]
- Corrales, L.; Ajona, D.; Rafail, S.; Lasarte, J.J.; Riezu-Boj, J.I.; Lambris, J.D.; Rouzaut, A.; Pajares, M.J.; Montuenga, L.M.; Pio, R. Anaphylatoxin C5a creates a favorable microenvironment for lung cancer progression. J. Immunol. 2012, 189, 4674–4683. [Google Scholar] [CrossRef]
- Grivennikov, S.I.; Greten, F.R.; Karin, M. Immunity, inflammation, and cancer. Cell 2010, 140, 883–899. [Google Scholar] [CrossRef]
- Song, Y.H.; Shiota, M.; Yokomizo, A.; Uchiumi, T.; Kiyoshima, K.; Kuroiwa, K.; Oda, Y.; Naito, S. Twist1 and Y-box-binding protein-1 are potential prognostic factors in bladder cancer. Urol. Oncol. 2014, 32, 31.e1–31.e7. [Google Scholar] [CrossRef]
- van Kessel, K.E.; Van Neste, L.; Lurkin, I.; Zwarthoff, E.C.; Van Criekinge, W. Evaluation of an Epigenetic Profile for the Detection of Bladder Cancer in Patients with Hematuria. J. Urol. 2016, 195, 601–607. [Google Scholar] [CrossRef]
- Berx, G.; Cleton-Jansen, A.M.; Nollet, F.; de Leeuw, W.J.; van de Vijver, M.; Cornelisse, C.; van Roy, F. E-cadherin is a tumour/invasion suppressor gene mutated in human lobular breast cancers. EMBO J. 1995, 14, 6107–6115. [Google Scholar] [CrossRef]
- Cho, M.S.; Rupaimoole, R.; Choi, H.J.; Noh, K.; Chen, J.; Hu, Q.; Sood, A.K.; Afshar-Kharghan, V. Complement Component 3 Is Regulated by TWIST1 and Mediates Epithelial-Mesenchymal Transition. J. Immunol. 2016, 196, 1412–1418. [Google Scholar] [CrossRef]
- Fishelson, Z.; Donin, N.; Zell, S.; Schultz, S.; Kirschfink, M. Obstacles to cancer immunotherapy: Expression of membrane complement regulatory proteins (mCRPs) in tumors. Mol. Immunol. 2003, 40, 109–123. [Google Scholar] [CrossRef]
- Madjd, Z.; Pinder, S.E.; Paish, C.; Ellis, I.O.; Carmichael, J.; Durrant, L.G. Loss of CD59 expression in breast tumours correlates with poor survival. J. Pathol. 2003, 200, 633–639. [Google Scholar] [CrossRef]
- Abdullah-Soheimi, S.S.; Lim, B.K.; Hashim, O.H.; Shuib, A.S. Patients with ovarian carcinoma excrete different altered levels of urine CD59, kininogen-1 and fragments of inter-alpha-trypsin inhibitor heavy chain H4 and albumin. Proteome Sci. 2010, 8, 58. [Google Scholar] [CrossRef]
- Geller, A.; Yan, J. The Role of Membrane Bound Complement Regulatory Proteins in Tumor Development and Cancer Immunotherapy. Front. Immunol. 2019, 10, 1074. [Google Scholar] [CrossRef]
- Davalieva, K.; Kiprijanovska, S.; Komina, S.; Petrusevska, G.; Zografska, N.C.; Polenakovic, M. Proteomics analysis of urine reveals acute phase response proteins as candidate diagnostic biomarkers for prostate cancer. Proteome Sci. 2015, 13, 2. [Google Scholar] [CrossRef]
- Ruivenkamp, C.A.; van Wezel, T.; Zanon, C.; Stassen, A.P.; Vlcek, C.; Csikos, T.; Klous, A.M.; Tripodis, N.; Perrakis, A.; Boerrigter, L.; et al. Ptprj is a candidate for the mouse colon-cancer susceptibility locus Scc1 and is frequently deleted in human cancers. Nat. Genet. 2002, 31, 295–300. [Google Scholar] [CrossRef]
- Kwaan, H.C.; Lindholm, P.F. Fibrin and Fibrinolysis in Cancer. Semin. Thromb. Hemost. 2019, 45, 413–422. [Google Scholar] [CrossRef]
- Repetto, O.; De Re, V. Coagulation and fibrinolysis in gastric cancer. Ann. N. Y Acad. Sci. 2017, 1404, 27–48. [Google Scholar] [CrossRef]
- Guglietta, S.; Rescigno, M. Hypercoagulation and complement: Connected players in tumor development and metastases. Semin. Immunol. 2016, 28, 578–586. [Google Scholar] [CrossRef]
- Steinbrecher, K.A.; Horowitz, N.A.; Blevins, E.A.; Barney, K.A.; Shaw, M.A.; Harmel-Laws, E.; Finkelman, F.D.; Flick, M.J.; Pinkerton, M.D.; Talmage, K.E.; et al. Colitis-associated cancer is dependent on the interplay between the hemostatic and inflammatory systems and supported by integrin alpha(M)beta(2) engagement of fibrinogen. Cancer Res. 2010, 70, 2634–2643. [Google Scholar] [CrossRef]
- Liu, J.; Li, D.; Cao, L.; Wang, Z.; Li, Y.; Liu, H.; Chen, G. Elevated preoperative plasma fibrinogen level is an independent predictor of malignancy and advanced stage disease in patients with bladder urothelial tumors. Int. J. Surg. 2016, 36, 249–254. [Google Scholar] [CrossRef]
- Li, H.; Li, C.; Wu, H.; Zhang, T.; Wang, J.; Wang, S.; Chang, J. Identification of Apo-A1 as a biomarker for early diagnosis of bladder transitional cell carcinoma. Proteome Sci. 2011, 9, 21. [Google Scholar] [CrossRef]
- Odabaei, G.; Chatterjee, D.; Jazirehi, A.R.; Goodglick, L.; Yeung, K.; Bonavida, B. Raf-1 kinase inhibitor protein: Structure, function, regulation of cell signaling, and pivotal role in apoptosis. Adv. Cancer Res. 2004, 91, 169–200. [Google Scholar] [CrossRef]
- Yeung, K.; Seitz, T.; Li, S.; Janosch, P.; McFerran, B.; Kaiser, C.; Fee, F.; Katsanakis, K.D.; Rose, D.W.; Mischak, H.; et al. Suppression of Raf-1 kinase activity and MAP kinase signalling by RKIP. Nature 1999, 401, 173–177. [Google Scholar] [CrossRef]
- Park, S.; Yeung, M.L.; Beach, S.; Shields, J.M.; Yeung, K.C. RKIP downregulates B-Raf kinase activity in melanoma cancer cells. Oncogene 2005, 24, 3535–3540. [Google Scholar] [CrossRef]
- Lamiman, K.; Keller, J.M.; Mizokami, A.; Zhang, J.; Keller, E.T. Survey of Raf kinase inhibitor protein (RKIP) in multiple cancer types. Crit. Rev. Oncog. 2014, 19, 455–468. [Google Scholar] [CrossRef]
- Li, H.Z.; Wang, Y.; Gao, Y.; Shao, J.; Zhao, X.L.; Deng, W.M.; Liu, Y.X.; Yang, J.; Yao, Z. Effects of raf kinase inhibitor protein expression on metastasis and progression of human epithelial ovarian cancer. Mol. Cancer Res. 2008, 6, 917–928. [Google Scholar] [CrossRef]
- Zaravinos, A.; Chatziioannou, M.; Lambrou, G.I.; Boulalas, I.; Delakas, D.; Spandidos, D.A. Implication of RAF and RKIP genes in urinary bladder cancer. Pathol. Oncol. Res. 2011, 17, 181–190. [Google Scholar] [CrossRef]
- Al-Mulla, F.; Bitar, M.S.; Taqi, Z.; Yeung, K.C. RKIP: Much more than Raf kinase inhibitory protein. J. Cell Physiol. 2013, 228, 1688–1702. [Google Scholar] [CrossRef]
- Farooqi, A.A.; Li, Y.; Sarkar, F.H. The biological complexity of RKIP signaling in human cancers. Exp. Mol. Med. 2015, 47, e185. [Google Scholar] [CrossRef]
- Zhang, J.C.; Qi, X.; Juarez, J.; Plunkett, M.; Donate, F.; Sakthivel, R.; Mazar, A.P.; McCrae, K.R. Inhibition of angiogenesis by two-chain high molecular weight kininogen (HKa) and kininogen-derived polypeptides. Can. J. Physiol. Pharmacol. 2002, 80, 85–90. [Google Scholar] [CrossRef]
- Roeise, O.; Sivertsen, S.; Ruud, T.E.; Bouma, B.N.; Stadaas, J.O.; Aasen, A.O. Studies on components of the contact phase system in patients with advanced gastrointestinal cancer. Cancer 1990, 65, 1355–1359. [Google Scholar] [CrossRef]
- Doustjalali, S.R.; Yusof, R.; Yip, C.H.; Looi, L.M.; Pillay, B.; Hashim, O.H. Aberrant expression of acute-phase reactant proteins in sera and breast lesions of patients with malignant and benign breast tumors. Electrophoresis 2004, 25, 2392–2401. [Google Scholar] [CrossRef]
- Abdul-Rahman, P.S.; Lim, B.K.; Hashim, O.H. Expression of high-abundance proteins in sera of patients with endometrial and cervical cancers: Analysis using 2-DE with silver staining and lectin detection methods. Electrophoresis 2007, 28, 1989–1996. [Google Scholar] [CrossRef]
- Weeks, M.E.; Hariharan, D.; Petronijevic, L.; Radon, T.P.; Whiteman, H.J.; Kocher, H.M.; Timms, J.F.; Lemoine, N.R.; Crnogorac-Jurcevic, T. Analysis of the urine proteome in patients with pancreatic ductal adenocarcinoma. Proteomics Clin. Appl. 2008, 2, 1047–1057. [Google Scholar] [CrossRef]
- Canter, M.P.; Graham, C.A.; Heit, M.H.; Blackwell, L.S.; Wilkey, D.W.; Klein, J.B.; Merchant, M.L. Proteomic techniques identify urine proteins that differentiate patients with interstitial cystitis from asymptomatic control subjects. Am. J. Obstet. Gynecol. 2008, 198, 553.E1–553.E6. [Google Scholar] [CrossRef]
- Rocchetti, M.T.; Centra, M.; Papale, M.; Bortone, G.; Palermo, C.; Centonze, D.; Ranieri, E.; Di Paolo, S.; Gesualdo, L. Urine protein profile of IgA nephropathy patients may predict the response to ACE-inhibitor therapy. Proteomics 2008, 8, 206–216. [Google Scholar] [CrossRef]
- Chen, C.L.; Lin, T.S.; Tsai, C.H.; Wu, C.C.; Chung, T.; Chien, K.Y.; Wu, M.; Chang, Y.S.; Yu, J.S.; Chen, Y.T. Identification of potential bladder cancer markers in urine by abundant-protein depletion coupled with quantitative proteomics. J. Proteomics 2013, 85, 28–43. [Google Scholar] [CrossRef]
- Russo, J.W.; Gao, C.; Bhasin, S.S.; Voznesensky, O.S.; Calagua, C.; Arai, S.; Nelson, P.S.; Montgomery, B.; Mostaghel, E.A.; Corey, E.; et al. Downregulation of Dipeptidyl Peptidase 4 Accelerates Progression to Castration-Resistant Prostate Cancer. Cancer Res. 2018, 78, 6354–6362. [Google Scholar] [CrossRef]
- Masur, K.; Schwartz, F.; Entschladen, F.; Niggemann, B.; Zaenker, K.S. DPPIV inhibitors extend GLP-2 mediated tumour promoting effects on intestinal cancer cells. Regul. Pept. 2006, 137, 147–155. [Google Scholar] [CrossRef]
- Havre, P.A.; Abe, M.; Urasaki, Y.; Ohnuma, K.; Morimoto, C.; Dang, N.H. The role of CD26/dipeptidyl peptidase IV in cancer. Front. Biosci. 2008, 13, 1634–1645. [Google Scholar] [CrossRef]
- Ohnuma, K.; Takahashi, N.; Yamochi, T.; Hosono, O.; Dang, N.H.; Morimoto, C. Role of CD26/dipeptidyl peptidase IV in human T cell activation and function. Front. Biosci. 2008, 13, 2299–2310. [Google Scholar] [CrossRef] [PubMed]
- Sorensen, K.D.; Abildgaard, M.O.; Haldrup, C.; Ulhoi, B.P.; Kristensen, H.; Strand, S.; Parker, C.; Hoyer, S.; Borre, M.; Orntoft, T.F. Prognostic significance of aberrantly silenced ANPEP expression in prostate cancer. Br. J. Cancer 2013, 108, 420–428. [Google Scholar] [CrossRef] [PubMed]
- Liu, Z.; Yang, Z.; Xiong, L.; Li, D.; Zou, Q.; Yuan, Y. ACO2 and ANPEP as novel prognostic markers for gallbladder squamous cell/adenosquamous carcinomas and adenocarcinomas. Int. J. Clin. Oncol. 2020, 25, 1346–1355. [Google Scholar] [CrossRef]
- Freedland, S.J.; Seligson, D.B.; Liu, A.Y.; Pantuck, A.J.; Paik, S.H.; Horvath, S.; Wieder, J.A.; Zisman, A.; Nguyen, D.; Tso, C.L.; et al. Loss of CD10 (neutral endopeptidase) is a frequent and early event in human prostate cancer. Prostate 2003, 55, 71–80. [Google Scholar] [CrossRef]
- Gohring, B.; Holzhausen, H.J.; Meye, A.; Heynemann, H.; Rebmann, U.; Langner, J.; Riemann, D. Endopeptidase 24.11/CD10 is down-regulated in renal cell cancer. Int. J. Mol. Med. 1998, 2, 409–414. [Google Scholar] [CrossRef]
- Papandreou, C.N.; Usmani, B.; Geng, Y.; Bogenrieder, T.; Freeman, R.; Wilk, S.; Finstad, C.L.; Reuter, V.E.; Powell, C.T.; Scheinberg, D.; et al. Neutral endopeptidase 24.11 loss in metastatic human prostate cancer contributes to androgen-independent progression. Nat. Med. 1998, 4, 50–57. [Google Scholar] [CrossRef]
- Bilalovic, N.; Sandstad, B.; Golouh, R.; Nesland, J.M.; Selak, I.; Torlakovic, E.E. CD10 protein expression in tumor and stromal cells of malignant melanoma is associated with tumor progression. Mod. Pathol. 2004, 17, 1251–1258. [Google Scholar] [CrossRef]
- Tomoda, C.; Kushima, R.; Takeuti, E.; Mukaisho, K.; Hattori, T.; Kitano, H. CD10 expression is useful in the diagnosis of follicular carcinoma and follicular variant of papillary thyroid carcinoma. Thyroid. 2003, 13, 291–295. [Google Scholar] [CrossRef]
- Lu, S.C. Regulation of glutathione synthesis. Mol. Aspects Med. 2009, 30, 42–59. [Google Scholar] [CrossRef]
- Smith, L.M.; Nesterova, A.; Ryan, M.C.; Duniho, S.; Jonas, M.; Anderson, M.; Zabinski, R.F.; Sutherland, M.K.; Gerber, H.P.; Van Orden, K.L.; et al. CD133/prominin-1 is a potential therapeutic target for antibody-drug conjugates in hepatocellular and gastric cancers. Br. J. Cancer 2008, 99, 100–109. [Google Scholar] [CrossRef]
- Saha, S.K.; Islam, S.M.R.; Kwak, K.S.; Rahman, M.S.; Cho, S.G. PROM1 and PROM2 expression differentially modulates clinical prognosis of cancer: A multiomics analysis. Cancer Gene Ther. 2020, 27, 147–167. [Google Scholar] [CrossRef]
- Chen, Y.T.; Chen, C.L.; Chen, H.W.; Chung, T.; Wu, C.C.; Chen, C.D.; Hsu, C.W.; Chen, M.C.; Tsui, K.H.; Chang, P.L.; et al. Discovery of novel bladder cancer biomarkers by comparative urine proteomics using iTRAQ technology. J. Proteome Res. 2010, 9, 5803–5815. [Google Scholar] [CrossRef]
- Sun, C.; Song, C.; Ma, Z.; Xu, K.; Zhang, Y.; Jin, H.; Tong, S.; Ding, W.; Xia, G.; Ding, Q. Periostin identified as a potential biomarker of prostate cancer by iTRAQ-proteomics analysis of prostate biopsy. Proteome Sci. 2011, 9, 22. [Google Scholar] [CrossRef]
- Yang, H.Y.; Kwon, J.; Park, H.R.; Kwon, S.O.; Park, Y.K.; Kim, H.S.; Chung, Y.J.; Chang, Y.J.; Choi, H.I.; Chung, K.J.; et al. Comparative proteomic analysis for the insoluble fractions of colorectal cancer patients. J. Proteomics 2012, 75, 3639–3653. [Google Scholar] [CrossRef]
- Parker, L.P.; Taylor, D.D.; Kesterson, S.; Gercel-Taylor, C. Gene expression profiling in response to estradiol and genistein in ovarian cancer cells. Cancer Genom. Proteom. 2009, 6, 189–194. [Google Scholar]
- He, J.; Jin, Y.; Chen, Y.; Yao, H.B.; Xia, Y.J.; Ma, Y.Y.; Wang, W.; Shao, Q.S. Downregulation of ALDOB is associated with poor prognosis of patients with gastric cancer. Onco Targets Ther. 2016, 9, 6099–6109. [Google Scholar] [CrossRef]
- Li, Q.; Li, Y.; Xu, J.; Wang, S.; Xu, Y.; Li, X.; Cai, S. Aldolase B Overexpression is Associated with Poor Prognosis and Promotes Tumor Progression by Epithelial-Mesenchymal Transition in Colorectal Adenocarcinoma. Cell Physiol. Biochem. 2017, 42, 397–406. [Google Scholar] [CrossRef]
- God, J.M.; Cameron, C.; Figueroa, J.; Amria, S.; Hossain, A.; Kempkes, B.; Bornkamm, G.W.; Stuart, R.K.; Blum, J.S.; Haque, A. Elevation of c-MYC disrupts HLA class II-mediated immune recognition of human B cell tumors. J. Immunol. 2015, 194, 1434–1445. [Google Scholar] [CrossRef]
- Filipazzi, P.; Burdek, M.; Villa, A.; Rivoltini, L.; Huber, V. Recent advances on the role of tumor exosomes in immunosuppression and disease progression. Semin. Cancer Biol. 2012, 22, 342–349. [Google Scholar] [CrossRef]
- Meissner, M.; Whiteside, T.L.; Kaufmann, R.; Seliger, B. CIITA versus IFN-gamma induced MHC class II expression in head and neck cancer cells. Arch. Dermatol. Res. 2009, 301, 189–193. [Google Scholar] [CrossRef] [PubMed]
- Georgescu, M.M.; Gagea, M.; Cote, G. NHERF1/EBP50 Suppresses Wnt-beta-Catenin Pathway-Driven Intestinal Neoplasia. Neoplasia 2016, 18, 512–523. [Google Scholar] [CrossRef]
- Molina, J.R.; Agarwal, N.K.; Morales, F.C.; Hayashi, Y.; Aldape, K.D.; Cote, G.; Georgescu, M.M. PTEN, NHERF1 and PHLPP form a tumor suppressor network that is disabled in glioblastoma. Oncogene 2012, 31, 1264–1274. [Google Scholar] [CrossRef] [PubMed]
- Hayashi, Y.; Molina, J.R.; Hamilton, S.R.; Georgescu, M.M. NHERF1/EBP50 is a new marker in colorectal cancer. Neoplasia 2010, 12, 1013–1022. [Google Scholar] [CrossRef] [PubMed]
- Tao, T.; Yang, X.; Qin, Q.; Shi, W.; Wang, Q.; Yang, Y.; He, J. NHERF1 Enhances Cisplatin Sensitivity in Human Cervical Cancer Cells. Int. J. Mol. Sci. 2017, 18, 5. [Google Scholar] [CrossRef]
- Prunotto, M.; Farina, A.; Lane, L.; Pernin, A.; Schifferli, J.; Hochstrasser, D.F.; Lescuyer, P.; Moll, S. Proteomic analysis of podocyte exosome-enriched fraction from normal human urine. J. Proteomics 2013, 82, 193–229. [Google Scholar] [CrossRef]
- Hwang, H.; Im, J.E.; Yang, Y.; Kim, H.; Kwon, K.H.; Kim, Y.H.; Kim, J.Y.; Yoo, J.S. Bioinformatic Prediction of Gene Ontology Terms of Uncharacterized Proteins from Chromosome 11. J. Proteome Res. 2020, 19, 4907–4912. [Google Scholar] [CrossRef]
- Gupta, R.; Radicioni, G.; Abdelwahab, S.; Dang, H.; Carpenter, J.; Chua, M.; Mieczkowski, P.A.; Sheridan, J.T.; Randell, S.H.; Kesimer, M. Intercellular Communication between Airway Epithelial Cells Is Mediated by Exosome-Like Vesicles. Am. J. Respir. Cell Mol. Biol. 2019, 60, 209–220. [Google Scholar] [CrossRef]
- Dhondt, B.; Geeurickx, E.; Tulkens, J.; Van Deun, J.; Vergauwen, G.; Lippens, L.; Miinalainen, I.; Rappu, P.; Heino, J.; Ost, P.; et al. Unravelling the proteomic landscape of extracellular vesicles in prostate cancer by density-based fractionation of urine. J. Extracell. Vesicles 2020, 9, 1736935. [Google Scholar] [CrossRef]
- Lv, L.H.; Wan, Y.L.; Lin, Y.; Zhang, W.; Yang, M.; Li, G.L.; Lin, H.M.; Shang, C.Z.; Chen, Y.J.; Min, J. Anticancer drugs cause release of exosomes with heat shock proteins from human hepatocellular carcinoma cells that elicit effective natural killer cell antitumor responses in vitro. J. Biol. Chem. 2012, 287, 15874–15885. [Google Scholar] [CrossRef]
- Takahashi, K.; Yan, I.K.; Wood, J.; Haga, H.; Patel, T. Involvement of extracellular vesicle long noncoding RNA (linc-VLDLR) in tumor cell responses to chemotherapy. Mol. Cancer Res. 2014, 12, 1377–1387. [Google Scholar] [CrossRef]
- Kreger, B.T.; Johansen, E.R.; Cerione, R.A.; Antonyak, M.A. The Enrichment of Survivin in Exosomes from Breast Cancer Cells Treated with Paclitaxel Promotes Cell Survival and Chemoresistance. Cancers 2016, 8, 111. [Google Scholar] [CrossRef]
- Corcoran, C.; Rani, S.; O’Brien, K.; O’Neill, A.; Prencipe, M.; Sheikh, R.; Webb, G.; McDermott, R.; Watson, W.; Crown, J.; et al. Docetaxel-resistance in prostate cancer: Evaluating associated phenotypic changes and potential for resistance transfer via exosomes. PLoS ONE 2012, 7, e50999. [Google Scholar] [CrossRef]
- Ning, K.; Wang, T.; Sun, X.; Zhang, P.; Chen, Y.; Jin, J.; Hua, D. UCH-L1-containing exosomes mediate chemotherapeutic resistance transfer in breast cancer. J. Surg. Oncol. 2017, 115, 932–940. [Google Scholar] [CrossRef]
- Crow, J.; Atay, S.; Banskota, S.; Artale, B.; Schmitt, S.; Godwin, A.K. Exosomes as mediators of platinum resistance in ovarian cancer. Oncotarget 2017, 8, 11917–11936. [Google Scholar] [CrossRef]
- Cesi, G.; Philippidou, D.; Kozar, I.; Kim, Y.J.; Bernardin, F.; Van Niel, G.; Wienecke-Baldacchino, A.; Felten, P.; Letellier, E.; Dengler, S.; et al. A new ALK isoform transported by extracellular vesicles confers drug resistance to melanoma cells. Mol. Cancer 2018, 17, 145. [Google Scholar] [CrossRef]
- Wang, X.; Xu, C.; Hua, Y.; Sun, L.; Cheng, K.; Jia, Z.; Han, Y.; Dong, J.; Cui, Y.; Yang, Z. Exosomes play an important role in the process of psoralen reverse multidrug resistance of breast cancer. J. Exp. Clin. Cancer Res. 2016, 35, 186. [Google Scholar] [CrossRef]
- Kumar, P.; Nandi, S.; Tan, T.Z.; Ler, S.G.; Chia, K.S.; Lim, W.Y.; Butow, Z.; Vordos, D.; De la Taille, A.; Al-Haddawi, M.; et al. Highly sensitive and specific novel biomarkers for the diagnosis of transitional bladder carcinoma. Oncotarget 2015, 6, 13539–13549. [Google Scholar] [CrossRef]
- Habermann, J.K.; Roblick, U.J.; Luke, B.T.; Prieto, D.A.; Finlay, W.J.; Podust, V.N.; Roman, J.M.; Oevermann, E.; Schiedeck, T.; Homann, N.; et al. Increased serum levels of complement C3a anaphylatoxin indicate the presence of colorectal tumors. Gastroenterology 2006, 131, 1020–1029. [Google Scholar] [CrossRef]
- Villanueva, J.; Shaffer, D.R.; Philip, J.; Chaparro, C.A.; Erdjument-Bromage, H.; Olshen, A.B.; Fleisher, M.; Lilja, H.; Brogi, E.; Boyd, J.; et al. Differential exoprotease activities confer tumor-specific serum peptidome patterns. J. Clin. Invest. 2006, 116, 271–284. [Google Scholar] [CrossRef]
- Sallam, R.M. Proteomics in cancer biomarkers discovery: Challenges and applications. Dis. Markers 2015, 2015, 321370. [Google Scholar] [CrossRef] [PubMed]
- Lorentzian, A.; Uzozie, A.; Lange, P.F. Origins and clinical relevance of proteoforms in pediatric malignancies. Expert. Rev. Proteom. 2019, 16, 185–200. [Google Scholar] [CrossRef] [PubMed]
- Matthiesen, R.; Bunkenborg, J. Introduction to mass spectrometry-based proteomics. Methods Mol. Biol. 2013, 1007, 1–45. [Google Scholar] [CrossRef] [PubMed]
- Bringans, S.; Peters, K.; Casey, T.; Ito, J.; Lipscombe, R. The New and the Old: Platform Cross-Validation of Immunoaffinity MASS Spectrometry versus ELISA for PromarkerD, a Predictive Test for Diabetic Kidney Disease. Proteomes 2020, 8, 31. [Google Scholar] [CrossRef]
- Boys, E.L.; Liu, J.; Robinson, P.J.; Reddel, R.R. Clinical applications of mass spectrometry-based proteomics in cancer: Where are we? Proteomics 2023, 23, e2200238. [Google Scholar] [CrossRef]
Disclaimer/Publisher’s Note: The statements, opinions and data contained in all publications are solely those of the individual author(s) and contributor(s) and not of MDPI and/or the editor(s). MDPI and/or the editor(s) disclaim responsibility for any injury to people or property resulting from any ideas, methods, instructions or products referred to in the content. |
© 2023 by the authors. Licensee MDPI, Basel, Switzerland. This article is an open access article distributed under the terms and conditions of the Creative Commons Attribution (CC BY) license (https://creativecommons.org/licenses/by/4.0/).



