Generation of Rapid and High-Quality Serum by Recombinant Prothrombin Activator Ecarin (RAPClot™)
Abstract
1. Introduction
2. Materials and Methods
2.1. RAPClot™ Prototype Tubes and Commercial Blood Collection Tubes
2.2. Study Design
2.3. Clotting of Whole Blood Samples in Blood Collection Tubes
2.4. Plasma Clotting Assay
2.5. Thrombelastography (TEG) of Recalcified Citrated Whole Blood
2.6. S2238 Chromogenic Bioassay for RAPClot™ Prototype Tube
2.7. Statistical Analysis
2.8. Human Research Ethics
3. Results
3.1. Establishment of Stabilizing Formulation to Develop RAPClot™ Prototype Tube
3.2. γ-Radiation Sterilization of the RAPClot™ Prototype Tube
3.3. TEG Assay for the γ-Radiation-Sterilized RAPClot™ Blood Prototype Tubes
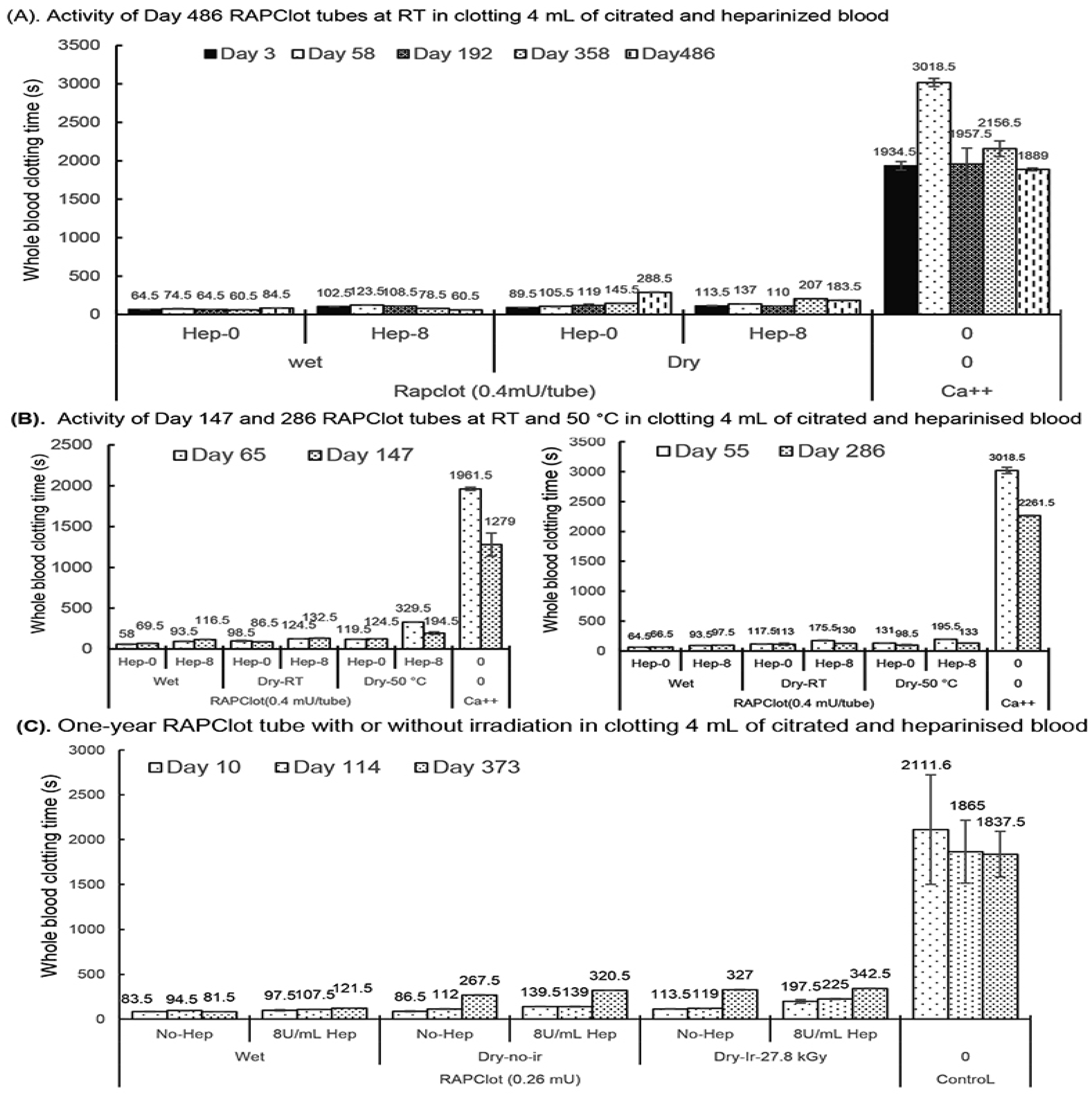
3.4. Shelf Life (Blood Clotting Stability) of the Sterilized RAPClot™ Prototype Tube
3.5. Stability of RAPClot™ Prototype Tube Sterilized by Electron-Beam (E-Beam)
3.6. Initial Clinical Study of RAPClot™ Rapid Serum Prototype Tubes
3.7. Analyte Measurements from Sera Produced in RAPClot™ Rapid Serum Prototype Tubes
4. Discussion
5. Conclusions
Supplementary Materials
Author Contributions
Funding
Institutional Review Board Statement
Informed Consent Statement
Data Availability Statement
Acknowledgments
Conflicts of Interest
References
- Forsman, R.W. Why is the laboratory an afterthought for managed care organizations? Clin. Chem. 1996, 42, 813–816. [Google Scholar] [CrossRef] [PubMed]
- Hallworth, M.J. The ‘70% claim’: What is the evidence base? Ann. Clin. Biochem. 2011, 48, 487–488. [Google Scholar] [CrossRef] [PubMed]
- Dimeski, G.; Masci, P.P.; Trabi, M.; Lavin, M.F.; de Jersey, J. Evaluation of the Becton-Dickinson rapid serum tube: Does it provide a suitable alternative to lithium heparin plasma tubes? Clin. Chem. Lab. Med. 2010, 48, 651–657. [Google Scholar] [CrossRef] [PubMed]
- Dimeski, G.; Johnston, J.; Masci, P.P.; Zhao, K.N.; Brown, N. Evaluation of the Greiner Bio-One serum separator BCA Fast Clot tube. Clin. Chem. Lab. Med. 2017, 55, 1135–1141. [Google Scholar] [CrossRef] [PubMed]
- Dimeski, G.; Yow, K.S.; Brown, N.N. Evaluation of the accuracy of the Greiner Bio-One FC Mix Glucose tube. Clin. Chem. Lab. Med. 2017, 55, e96–e98. [Google Scholar] [CrossRef]
- Kumura, T.; Hino, M.; Yamane, T.; Tominaga, K.; Tatsumi, N. DX-9065a, a specific factor Xa inhibitor, as a universal anticoagulant for blood collection tubes. Clin. Chim. Acta 2000, 294, 27–35. [Google Scholar] [CrossRef] [PubMed]
- Bowen, R.A.; Remaley, A.T. Interferences from blood collection tube components on clinical chemistry assays. Biochem. Med. 2014, 24, 31–44. [Google Scholar] [CrossRef] [PubMed]
- Bowen, R.A.; Sattayapiwat, A.; Gounden, V.; Remaley, A.T. Blood collection tube-related alterations in analyte concentrations in quality control material and serum specimens. Clin. Biochem. 2014, 47, 150–157. [Google Scholar] [CrossRef] [PubMed]
- Aziz, N.; Butch, A.W.; Ryner, T.C.; Martinez-Maza, O.; Detels, R. The influence of EDTA Vacutainer blood collection tube on the level of blood interleukin-1 receptor antagonist. J. Immunol. Methods 2019, 464, 114–118. [Google Scholar] [CrossRef]
- Vignali, D.A.; Collison, L.W.; Workman, C.J. How regulatory T cells work. Nat. Rev. Immunol. 2008, 8, 523–532. [Google Scholar] [CrossRef]
- Lee, H.J.; Kim, Y.T.; Park, P.J.; Shin, Y.S.; Kang, K.N.; Kim, Y.; Kim, C.W. A novel detection method of non-small cell lung cancer using multiplexed bead-based serum biomarker profiling. J. Thorac. Cardiovasc. Surg. 2012, 143, 421–427. [Google Scholar] [CrossRef] [PubMed]
- Dimeski, G.; Solano, C.; Petroff, M.K.; Hynd, M. Centrifugation protocols: Tests to determine optimal lithium heparin and citrate plasma sample quality. Ann. Clin. Biochem. 2011, 48, 218–222. [Google Scholar] [CrossRef]
- Kumura, T.; Hino, M.; Yamane, T.; Tatsumi, N. Hirudin as an anticoagulant for both haematology and chemistry tests. J. Autom. Methods Manag. Chem. 2000, 22, 109–112. [Google Scholar] [CrossRef] [PubMed]
- Kumura, T.; Hino, M.; Yamane, T.; Tatsumi, N. Argatroban as an anticoagulant for both hematologic and chemical tests. J. Clin. Lab. Anal. 2000, 14, 136–140. [Google Scholar] [CrossRef] [PubMed]
- Pretorius, C.J.; Dimeski, G.; O’Rourke, P.K.; Marquart, L.; Tyack, S.A.; Wilgen, U.; Ungerer, J.P. Outliers as a cause of false cardiac troponin results: Investigating the robustness of 4 contemporary assays. Clin. Chem. 2011, 57, 710–718. [Google Scholar] [CrossRef] [PubMed]
- Aoki, N.; Sakata, Y.; Ichinose, A. Fibrin-associated plasminogen activation in alpha 2-plasmin inhibitor deficiency. Blood 1983, 62, 1118–1122. [Google Scholar] [CrossRef] [PubMed]
- Cuhadar, S.; Atay, A.; Koseoglu, M.; Dirican, A.; Hur, A. Stability studies of common biochemical analytes in serum separator tubes with or without gel barrier subjected to various storage conditions. Biochem. Med. 2012, 22, 202–214. [Google Scholar] [CrossRef]
- Zhao, K.N.; Dimeski, G.; de Jersey, J.; Johnson, L.A.; Grant, M.; Masci, P.P.; Lavin, M.F. Rapid serum tube technology overcomes problems associated with use of anticoagulants. Biochem. Med. 2019, 29, 030706. [Google Scholar] [CrossRef] [PubMed]
- Zhao, K.N.; Dimeski, G.; de Jersey, J.; Johnson, L.A.; Grant, M.; Masci, P.P.; Lavin, M.F. Next-generation rapid serum tube technology using prothrombin activator coagulant: Fast, high-quality serum from normal samples. Clin. Chem. Lab. Med. 2019, 57, 483–497. [Google Scholar] [CrossRef]
- Kini, R.M. The intriguing world of prothrombin activators from snake venom. Toxicon 2005, 45, 1133–1145. [Google Scholar] [CrossRef]
- Speijer, H.; Govers-Riemslag, J.W.; Zwaal, R.F.; Rosing, J. Prothrombin activation by an activator from the venom of Oxyuranus scutellatus (Taipan snake). J. Biol. Chem. 1986, 261, 13258–13267. [Google Scholar] [CrossRef] [PubMed]
- Nishida, S.; Fujita, T.; Kohno, N.; Atoda, H.; Morita, T.; Takeya, H.; Kido, I.; Paine, M.J.; Kawabata, S.; Iwanaga, S. cDNA cloning and deduced amino acid sequence of prothrombin activator (ecarin) from Kenyan Echis carinatus venom. Biochemistry 1995, 34, 1771–1778. [Google Scholar] [CrossRef] [PubMed]
- Zhao, K.N.; Masci, P.; Dimeski, G.; Johnson, L.; Grant, M.; de Jersey, J.; Lavin, M.F. Potential Application of Recombinant Snake Prothrombin Activator Ecarin in Blood Diagnostics. Biomolecules 2022, 12, 1704. [Google Scholar] [CrossRef] [PubMed]
- Kini, R.M.; Rao, V.S.; Joseph, J.S. Procoagulant proteins from snake venoms. Haemostasis 2001, 31, 218–224. [Google Scholar] [CrossRef] [PubMed]
- Moore, G.W.; Jones, P.O.; Platton, S.; Hussain, N.; White, D.; Thomas, W.; Rigano, J.; Pouplard, C.; Gray, E.; Devreese, K.M.J. International multicenter, multiplatform study to validate Taipan snake venom time as a lupus anticoagulant screening test with ecarin time as the confirmatory test: Communication from the ISTH SSC Subcommittee on Lupus Anticoagulant/Antiphospholipid Antibodies. J. Thromb. Haemost. 2021, 19, 3177–3192. [Google Scholar] [CrossRef]
- Ungerstedt, J.S.; Kallner, A.; Blomback, M. Measurement of blood and plasma coagulation time using free oscillating rheometry. Scand. J. Clin. Lab. Investig. 2002, 62, 135–140. [Google Scholar] [CrossRef] [PubMed]
- Swallow, R.A.; Agarwala, R.A.; Dawkins, K.D.; Curzen, N.P. Thromboelastography: Potential bedside tool to assess the effects of antiplatelet therapy? Platelets 2006, 17, 385–392. [Google Scholar] [CrossRef] [PubMed]
- Johnson, L.A.; de Jersey, J.; Masci, P.P.; Zhao, K.N.; Bennett, N.C.; Dimeski, G.; Grant, M.; Lavin, M.F. Progress Curve Analysis of the one stage chromogenic assay for ecarin. Anal. Biochem. 2020, 608, 113907. [Google Scholar] [CrossRef]
- Gros, N.; Klobucar, T.; Gaber, K. Accuracy of Citrate Anticoagulant Amount, Volume, and Concentration in Evacuated Blood Collection Tubes Evaluated with UV Molecular Absorption Spectrometry on a Purified Water Model. Molecules 2023, 28, 486. [Google Scholar] [CrossRef]
- Weikart, C.M.; Breeland, A.P.; Wills, M.S.; Baltazar-Lopez, M.E. Hybrid Blood Collection Tubes: Combining the Best Attributes of Glass and Plastic for Safety and Shelf life. SLAS Technol. 2020, 25, 484–493. [Google Scholar] [CrossRef]
- Ni, L.; Xue, P.; An, C.; Yu, X.; Qu, J.; Yao, Y.; Li, Y. Establishment of Normal Range for Thromboelastography in Healthy Middle-Aged and Elderly People of Weihai in China. J. Healthc. Eng. 2021, 2021, 7119779. [Google Scholar] [CrossRef] [PubMed]
- Bowen, R.A.; Vu, C.; Remaley, A.T.; Hortin, G.L.; Csako, G. Differential effect of blood collection tubes on total free fatty acids (FFA) and total triiodothyronine (TT3) concentration: A model for studying interference from tube constituents. Clin. Chim. Acta 2007, 378, 181–193. [Google Scholar] [CrossRef] [PubMed]
- Le Guevel, X.; Daum, N.; Schneider, M. Synthesis and characterization of human transferrin-stabilized gold nanoclusters. Nanotechnology 2011, 22, 275103. [Google Scholar] [CrossRef] [PubMed]
- Muinao, T.; Deka Boruah, H.P.; Pal, M. Diagnostic and Prognostic Biomarkers in ovarian cancer and the potential roles of cancer stem cells—An updated review. Exp. Cell Res. 2018, 362, 1–10. [Google Scholar] [CrossRef]
- Brudar, S.; Hribar-Lee, B. Effect of Buffer on Protein Stability in Aqueous Solutions: A Simple Protein Aggregation Model. J. Phys. Chem. B 2021, 125, 2504–2512. [Google Scholar] [CrossRef] [PubMed]
- Tan, M.; Ding, Z.; Chu, Y.; Xie, J. Potential of Good’s buffers to inhibit denaturation of myofibrillar protein upon freezing. Food Res. Int. 2023, 165, 112484. [Google Scholar] [CrossRef] [PubMed]
- Darmady, E.M.; Hughes, K.E.; Burt, M.M.; Freeman, B.M.; Powell, D.B. Radiation sterilization. J. Clin. Pathol. 1961, 14, 55–58. [Google Scholar] [CrossRef] [PubMed]
- Cook, A.M.; Berry, R.J. Microbial contamination on disposable hypodermic syringes prior to sterilization by ionizing radiation. Appl. Microbiol. 1968, 16, 1156–1162. [Google Scholar] [CrossRef] [PubMed]
- Emerson, J.F.; Abbaszadeh, Y.; Lo, J.N.; Tsinas, Z.; Pettersson, J.; Ward, P.; Al-Sheikhly, M.I. Sterilizing photocurable materials by irradiation: Preserving UV-curing properties of photopolymers following E-beam, gamma, or X-ray exposure. J. Mater. Sci. Mater. Med. 2017, 28, 185. [Google Scholar] [CrossRef]
- Gomes, A.D.; de Oliveira, A.A.R.; Houmard, M.; Nunes, E.H.M. Gamma sterilization of collagen/hydroxyapatite composites: Validation and radiation effects. Appl. Radiat. Isot. 2021, 174, 109758. [Google Scholar] [CrossRef]
- Silindir, M.; Ozer, Y. The effect of radiation on a variety of pharmaceuticals and materials containing polymers. PDA J. Pharm. Sci. Technol. 2012, 66, 184–199. [Google Scholar] [CrossRef] [PubMed]
- Semmler, E.; Novak, W.; Allinson, W.; Wallis, D.; Wood, N.; Awakowicz, P.; Wunderlich, J. Plasma Decontamination: A Case Study on Kill Efficacy of Geobacillus stearothermophilus Spores on Different Carrier Materials. PDA J. Pharm. Sci. Technol. 2016, 70, 256–271. [Google Scholar] [CrossRef] [PubMed]









Disclaimer/Publisher’s Note: The statements, opinions and data contained in all publications are solely those of the individual author(s) and contributor(s) and not of MDPI and/or the editor(s). MDPI and/or the editor(s) disclaim responsibility for any injury to people or property resulting from any ideas, methods, instructions or products referred to in the content. |
© 2024 by the authors. Licensee MDPI, Basel, Switzerland. This article is an open access article distributed under the terms and conditions of the Creative Commons Attribution (CC BY) license (https://creativecommons.org/licenses/by/4.0/).
Share and Cite
Zhao, K.-N.; Dimeski, G.; Masci, P.; Johnson, L.; Wang, J.; de Jersey, J.; Grant, M.; Lavin, M.F. Generation of Rapid and High-Quality Serum by Recombinant Prothrombin Activator Ecarin (RAPClot™). Biomolecules 2024, 14, 645. https://doi.org/10.3390/biom14060645
Zhao K-N, Dimeski G, Masci P, Johnson L, Wang J, de Jersey J, Grant M, Lavin MF. Generation of Rapid and High-Quality Serum by Recombinant Prothrombin Activator Ecarin (RAPClot™). Biomolecules. 2024; 14(6):645. https://doi.org/10.3390/biom14060645
Chicago/Turabian StyleZhao, Kong-Nan, Goce Dimeski, Paul Masci, Lambro Johnson, Jingjing Wang, John de Jersey, Michael Grant, and Martin F. Lavin. 2024. "Generation of Rapid and High-Quality Serum by Recombinant Prothrombin Activator Ecarin (RAPClot™)" Biomolecules 14, no. 6: 645. https://doi.org/10.3390/biom14060645
APA StyleZhao, K.-N., Dimeski, G., Masci, P., Johnson, L., Wang, J., de Jersey, J., Grant, M., & Lavin, M. F. (2024). Generation of Rapid and High-Quality Serum by Recombinant Prothrombin Activator Ecarin (RAPClot™). Biomolecules, 14(6), 645. https://doi.org/10.3390/biom14060645

