Anti-Inflammatory Effects of Heliangin from Jerusalem Artichoke (Helianthus tuberosus) Leaves Might Prevent Atherosclerosis
Abstract
1. Introduction
2. Materials and Methods
2.1. Cell Culture
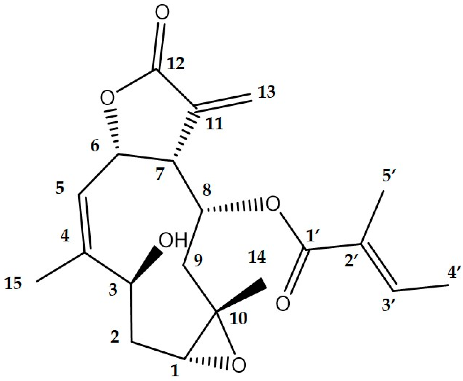
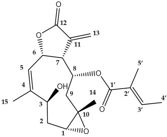
2.2. Extraction, Isolation, and Purification of Heliangin
2.3. Analysis by Nuclear Magnetic Resonance Spectroscopy (NMR)
2.4. Mass Spectrometry Analyses
2.5. Nitric Oxide Production
2.6. Cell Proliferation Assays
2.7. Quantitative Real-Time Polymerase Chain Reaction (qRT-PCR)
2.8. Western Blotting
2.9. Statistical Analysis
3. Results and Discussion
4. Conclusions
Supplementary Materials
Author Contributions
Funding
Institutional Review Board Statement
Informed Consent Statement
Data Availability Statement
Acknowledgments
Conflicts of Interest
References
- World Health Organization. Global Action Plan for the Prevention and Control of Noncommunicable Diseases 2013–2020; World Health Organization: Geneva, Switzerland, 2013. [Google Scholar]
- Mensah, G.A.; Roth, G.A.; Fuster, V. The Global Burden of Cardiovascular Diseases and Risk Factors: 2020 and Beyond. J. Am. Coll. Cardiol. 2019, 74, 2529–2532. [Google Scholar] [CrossRef] [PubMed]
- Roth, G.A.; Abate, D.; Abate, K.H.; Abay, S.M.; Abbafati, C.; Abbasi, N.; Abbastabar, H.; Abd-Allah, F.; Abdela, J.; Abdelalim, A. Global, regional, and national age-sex-specific mortality for 282 causes of death in 195 countries and territories, 1980–2017: A systematic analysis for the Global Burden of Disease Study 2017. Lancet 2018, 392, 1736–1788. [Google Scholar] [CrossRef]
- Kyu, H.H.; Abate, D.; Abate, K.H.; Abay, S.M.; Abbafati, C.; Abbasi, N.; Abbastabar, H.; Abd-Allah, F.; Abdela, J.; Abdelalim, A. Global, regional, and national disability-adjusted life-years (DALYs) for 359 diseases and injuries and healthy life expectancy (HALE) for 195 countries and territories, 1990–2017: A systematic analysis for the Global Burden of Disease Study 2017. Lancet 2018, 392, 1859–1922. [Google Scholar] [CrossRef]
- Poznyak, A.V.; Wu, W.-K.; Melnichenko, A.A.; Wetzker, R.; Sukhorukov, V.; Markin, A.M.; Khotina, V.A.; Orekhov, A.N. Signaling pathways and key genes involved in regulation of foam cell formation in atherosclerosis. Cells 2020, 9, 584. [Google Scholar] [CrossRef] [PubMed]
- Kriszbacher, I.; Koppan, M.; Bodis, J. Inflammation, atherosclerosis, and coronary artery disease. N. Engl. J. Med. 2005, 353, 429–430. [Google Scholar]
- Lee, M.; Rey, K.; Besler, K.; Wang, C.; Choy, J. Immunobiology of nitric oxide and regulation of inducible nitric oxide synthase. Macrophages 2017, 62, 181–207. [Google Scholar]
- Wen, H.; Liu, M.; Liu, Z.; Yang, X.; Liu, X.; Ni, M.; Dong, M.; Luan, X.; Yuan, Y.; Xu, X. PEDF improves atherosclerotic plaque stability by inhibiting macrophage inflammation response. Int. J. Cardiol. 2017, 235, 37–41. [Google Scholar] [CrossRef]
- Marques, F.M.; Figueira, M.M.; Schmitt, E.F.P.; Kondratyuk, T.P.; Endringer, D.C.; Scherer, R.; Fronza, M. In vitro anti-inflammatory activity of terpenes via suppression of superoxide and nitric oxide generation and the NF-κB signalling pathway. Inflammopharmacology 2019, 27, 281–289. [Google Scholar] [CrossRef]
- Okada, N.; Kobayashi, S.; Moriyama, K.; Miyataka, K.; Abe, S.; Sato, C.; Kawazoe, K. Helianthus tuberosus (Jerusalem artichoke) tubers improve glucose tolerance and hepatic lipid profile in rats fed a high-fat diet. Asian Pac. J. Trop. Med. 2017, 10, 439–443. [Google Scholar] [CrossRef] [PubMed]
- Nizioł-Łukaszewska, Z.; Furman-Toczek, D.; Zagórska-Dziok, M. Antioxidant activity and cytotoxicity of Jerusalem artichoke tubers and leaves extract on HaCaT and BJ fibroblast cells. Lipids Health Dis. 2018, 17, 280. [Google Scholar] [CrossRef]
- Kim, S.H.; Kim, B.K.; Park, B.Y.; Kim, J.M.; Lee, Y.J.; Lee, M.K.; Yee, S.-T.; Kang, M.Y. Effects of Jerusalem Artichoke Extract and Inulin on Blood Glucose Levels and Insulin Secretion in Streptozotocin Induced Diabetic Mice. J. Korean Diabetes 2021, 22, 60–70. [Google Scholar] [CrossRef]
- Ahn, H.Y.; Kim, M.; Seo, C.R.; Yoo, H.J.; Lee, S.-H.; Lee, J.H. The effects of Jerusalem artichoke and fermented soybean powder mixture supplementation on blood glucose and oxidative stress in subjects with prediabetes or newly diagnosed type 2 diabetes. Nutr. Diabetes 2018, 8, 42. [Google Scholar] [CrossRef] [PubMed]
- Sawicka, B.; Skiba, D.; PszczóÅ, P.; Aslan, I.; Sharifi, J.; Krochmal-Marczak, B. Jerusalem artichoke (Helianthus tuberosus L.) as a medicinal plant and its natural products. Cell. Mol. Biol. 2020, 66, 160–177. [Google Scholar] [CrossRef] [PubMed]
- Lu, X.; Min, L.; Wei, J.; Gou, H.; Bao, Z.; Wang, J.; Wang, Z.; Huang, Y.; An, B. Heliangin inhibited lipopolysaccharide-induced inflammation through signaling NF-κB pathway on LPS-induced RAW 264.7 cells. Biomed. Pharmacother. 2017, 88, 102–108. [Google Scholar] [CrossRef]
- Silva, M.; Videira, P.A.; Sackstein, R. E-selectin ligands in the human mononuclear phagocyte system: Implications for infection, inflammation, and immunotherapy. Front. Immunol. 2018, 8, 1878. [Google Scholar] [CrossRef] [PubMed]
- Oikonomou, E.; Leopoulou, M.; Theofilis, P.; Antonopoulos, A.S.; Siasos, G.; Latsios, G.; Mystakidi, V.C.; Antoniades, C.; Tousoulis, D. A link between inflammation and thrombosis in atherosclerotic cardiovascular diseases: Clinical and therapeutic implications. Atherosclerosis 2020, 309, 16–26. [Google Scholar] [CrossRef]
- Genbacev, O.D.; Prakobphol, A.; Foulk, R.A.; Krtolica, A.R.; Ilic, D.; Singer, M.S.; Yang, Z.-Q.; Kiessling, L.L.; Rosen, S.D.; Fisher, S.J. Trophoblast L-selectin-mediated adhesion at the maternal-fetal interface. Science 2003, 299, 405–408. [Google Scholar] [CrossRef]
- Lin, H.; Wu, X.; Yang, Y.; Wang, Z.; Huang, W.; Wang, L.-F.; Liu, Q.-W.; Guan, X.-H.; Deng, K.-Y.; Li, T.-S. Nicaraven inhibits TNFα-induced endothelial activation and inflammation through suppression of NF-κB signaling pathway. Can. J. Physiol. Pharmacol. 2021, 99, 803–811. [Google Scholar] [CrossRef]
- Zhao, Y.; Ren, P.; Li, Q.; Umar, S.A.; Yang, T.; Dong, Y.; Yu, F.; Nie, Y. Low shear stress upregulates CX3CR1 expression by inducing VCAM-1 via the NF-κB pathway in vascular endothelial cells. Cell Biochem. Biophys. 2020, 78, 383–389. [Google Scholar] [CrossRef]
- Ismail, S.M.; Sundar, U.M.; Hui, C.K.; Aminuddin, A.; Ugusman, A. Piper sarmentosum attenuates TNF-α-induced VCAM-1 and ICAM-1 expression in human umbilical vein endothelial cells. J. Taibah Univ. Med. Sci. 2018, 13, 225–231. [Google Scholar] [CrossRef]
- Saiki, P.; Kawano, Y.; Nakajima, Y.; Van Griensven, L.J.; Miyazaki, K. Novel and Stable Dual-Color IL-6 and IL-10 Reporters Derived from RAW 264.7 for Anti-Inflammation Screening of Natural Products. Int. J. Mol. Sci. 2019, 20, 4620. [Google Scholar] [CrossRef]
- Wu, C.W.; Nakamoto, Y.; Hisatome, T.; Yoshida, S.; Miyazaki, H. Resveratrol and its dimers ε-viniferin and δ-viniferin in red wine protect vascular endothelial cells by a similar mechanism with different potency and efficacy. Kaohsiung J. Med. Sci. 2020, 36, 535–542. [Google Scholar] [CrossRef] [PubMed]
- Saiki, P.; Kawano, Y.; Van Griensven, L.; Miyazaki, K. The anti-inflammatory effect of Agaricus brasiliensis is partly due to its linoleic acid content. Food Funct. 2017, 8, 4150–4158. [Google Scholar] [CrossRef]
- Shimizu, H.; Toyama, O.; Shiota, M.; Kim-Mitsuyama, S.; Miyazaki, H. Protein tyrosine phosphatase LMW-PTP exhibits distinct roles between vascular endothelial and smooth muscle cells. J. Recept. Signal Transduct. 2005, 25, 19–33. [Google Scholar] [CrossRef] [PubMed]
- Zrelli, H.; Matsuoka, M.; Kitazaki, S.; Araki, M.; Kusunoki, M.; Zarrouk, M.; Miyazaki, H. Hydroxytyrosol induces proliferation and cytoprotection against oxidative injury in vascular endothelial cells: Role of Nrf2 activation and HO-1 induction. J. Agric. Food Chem. 2011, 59, 4473–4482. [Google Scholar] [CrossRef]
- Kanda, Y. Investigation of the freely available easy-to-use software ‘EZR‘ for medical statistics. Bone Marrow Transpl. 2013, 48, 452–458. [Google Scholar] [CrossRef] [PubMed]
- Korhonen, R.; Lahti, A.; Kankaanranta, H.; Moilanen, E. Nitric oxide production and signaling in inflammation. Curr. Drug Targets Inflamm. Allergy 2005, 4, 471–479. [Google Scholar] [CrossRef] [PubMed]
- Shen, Y.C.; Lo, K.L.; Kuo, Y.H.; Khalil, A.T. Cytotoxic sesquiterpene lactones from Eupatorium kiirunense, a coastal plant of Taiwan. J. Nat. Prod. 2005, 68, 745–750. [Google Scholar] [CrossRef]
- Bohlmann, F.; Abraham, W.-R.; Robinson, H.; King, R.M. Heliangolides and other constituents from Bejaranoa semistriata. Phytochemistry 1981, 20, 1639–1642. [Google Scholar] [CrossRef]
- Spring, O.; Zipper, R.; Klaiber, I.; Reeb, S.; Vogler, B. Sesquiterpene lactones in Viguiera eriophora and Viguiera puruana (Heliantheae; Asteraceae). Phytochemistry 2000, 55, 255–261. [Google Scholar] [CrossRef]
- Llorach, R.; Favari, C.; Alonso, D.; Garcia-Aloy, M.; Andres-Lacueva, C.; Urpi-Sarda, M. Comparative metabolite fingerprinting of legumes using LC-MS-based untargeted metabolomics. Food Res. Int. 2019, 126, 108666. [Google Scholar] [CrossRef]
- Ahmed, M.; El-Sakhawy, F.; Soliman, S.; Abou-Hussein, D. Phytochemical and biological study of Helianthus tuberosus L. Egypt. J. Biomed. Sci. 2005, 18, 134–147. [Google Scholar]
- Peng, W.; Cai, G.; Xia, Y.; Chen, J.; Wu, P.; Wang, Z.; Li, G.; Wei, D. Mitochondrial dysfunction in atherosclerosis. DNA Cell Biol. 2019, 38, 597–606. [Google Scholar] [CrossRef]
- Barrett, T.J. Macrophages in atherosclerosis regression. Arterioscler. Thromb. Vasc. Biol. 2020, 40, 20–33. [Google Scholar] [CrossRef]
- Wang, Y.; Xie, Y.; Zhang, A.; Wang, M.; Fang, Z.; Zhang, J. Exosomes: An emerging factor in atherosclerosis. Biomed. Pharmacother. 2019, 115, 108951. [Google Scholar] [CrossRef]
- Mao, C.; Li, D.; Zhou, E.; Zhang, J.; Wang, C.; Xue, C. Nicotine exacerbates atherosclerosis through a macrophage-mediated endothelial injury pathway. Aging 2021, 13, 7627. [Google Scholar] [CrossRef]
- Mancini, S.J.; Boyd, D.; Katwan, O.J.; Strembitska, A.; Almabrouk, T.A.; Kennedy, S.; Palmer, T.M.; Salt, I.P. Canagliflozin inhibits interleukin-1β-stimulated cytokine and chemokine secretion in vascular endothelial cells by AMP-activated protein kinase-dependent and-independent mechanisms. Sci. Rep. 2018, 8, 5276. [Google Scholar] [CrossRef]
- Mohmmad-Rezaei, M.; Arefnezhad, R.; Ahmadi, R.; Abdollahpour-Alitappeh, M.; Mirzaei, Y.; Arjmand, M.H.; Ferns, G.A.; Bashash, D.; Bagheri, N. An overview of the innate and adaptive immune system in atherosclerosis. Iubmb Life 2021, 73, 64–91. [Google Scholar] [CrossRef]
- Nguyen, P.A.; Won, J.S.; Rahman, M.K.; Bae, E.J.; Cho, M.K. Modulation of Sirt1/NF-κB interaction of evogliptin is attributed to inhibition of vascular inflammatory response leading to attenuation of atherosclerotic plaque formation. Biochem. Pharmacol. 2019, 168, 452–464. [Google Scholar] [CrossRef]
- Hillis, G.; Flapan, A. Cell adhesion molecules in cardiovascular disease: A clinical perspective. Heart 1998, 79, 429–431. [Google Scholar] [CrossRef][Green Version]
- Jiang, Y.; Jiang, L.; Maimaitirexiati, X.; Zhang, Y.; Wu, L. Irbesartan attenuates TNF-α-induced ICAM-1, VCAM-1, and E-selectin expression through suppression of NF-κB pathway in HUVECs. Eur. Rev. Med. Pharmacol. Sci. 2015, 19, 3295–3302. [Google Scholar]
- Chae, Y.J.; Kim, C.H.; Ha, T.S.; Hescheler, J.; Ahn, H.Y.; Sachinidis, A. Epigallocatechin-3-O-gallate inhibits the angiotensin II-induced adhesion molecule expression in human umbilical vein endothelial cell via inhibition of MAPK pathways. Cell. Physiol. Biochem. 2007, 20, 859–866. [Google Scholar] [CrossRef]
- Costanzo, A.; Moretti, F.; Burgio, V.L.; Bravi, C.; Guido, F.; Levrero, M.; Puri, P.L. Endothelial activation by angiotensin II through NFκB and p38 pathways: Involvement of NFκB-inducible kinase (NIK), free oxygen radicals, and selective inhibition by aspirin. J. Cell. Physiol. 2003, 195, 402–410. [Google Scholar] [CrossRef]
- Takahashi, M.; Suzuki, E.; Takeda, R.; Oba, S.; Nishimatsu, H.; Kimura, K.; Nagano, T.; Nagai, R.; Hirata, Y. Angiotensin II and tumor necrosis factor-alpha synergistically promote monocyte chemoattractant protein-1 expression: Roles of NF-kappaB, p38, and reactive oxygen species. Am. J. Physiol. Heart Circ. Physiol. 2008, 294, H2879–H2888. [Google Scholar] [CrossRef]
- Collins, T.; Palmer, H.J.; Whitley, M.Z.; Neish, A.S.; Williams, A.J. A common theme in endothelial activation: Insights from the structural analysis of the genes for E-selectin and VCAM-1. Trends Cardiovasc. Med. 1993, 3, 92–97. [Google Scholar] [CrossRef]
- Jia, Z.; Nallasamy, P.; Liu, D.; Shah, H.; Li, J.Z.; Chitrakar, R.; Si, H.; McCormick, J.; Zhu, H.; Zhen, W.; et al. Luteolin protects against vascular inflammation in mice and TNF-alpha-induced monocyte adhesion to endothelial cells via suppressing IKappaBalpha/NF-kappaB signaling pathway. J. Nutr. Biochem. 2015, 26, 293–302. [Google Scholar] [CrossRef]
- Carbone, F.; Liberale, L.; Bonaventura, A.; Cea, M.; Montecucco, F. Targeting Inflammation in Primary Cardiovascular Prevention. Curr. Pharm. Des. 2016, 22, 5662–5675. [Google Scholar] [CrossRef]
- Yu, Q.; Zeng, K.; Ma, X.; Song, F.; Jiang, Y.; Tu, P.; Wang, X. Resokaempferol-mediated anti-inflammatory effects on activated macrophages via the inhibition of JAK2/STAT3, NF-kappaB and JNK/p38 MAPK signaling pathways. Int. Immunopharmacol. 2016, 38, 104–114. [Google Scholar] [CrossRef]
- Brand, K.; Page, S.; Rogler, G.; Bartsch, A.; Brandl, R.; Knuechel, R.; Page, M.; Kaltschmidt, C.; Baeuerle, P.A.; Neumeier, D. Activated transcription factor nuclear factor-kappa B is present in the atherosclerotic lesion. J. Clin. Investig. 1996, 97, 1715–1722. [Google Scholar] [CrossRef]




| Gene | Primer Sequences (5′–3′) |
|---|---|
| VCAM-1 | F: CAAGGAAACGAAGAGTTTGGA |
| R: TGTTGTCTTTACTGAGGGCTGAC | |
| ICAM-1 | F: TCAATGGAACCGAGAAGGAG |
| R: GGAGGTGGGAAGCTGTAGAA | |
| MCP-1 | F: TCTCCAGTCACCTGCTFCTA |
| R: TCCAGGTGGCTTATGGAGTC | |
| E-selectin | F: AATGCCTTCAACCCAATGGA |
| R: ACCGTCTTCAGGGTATCATGG | |
| 18S RNA | F: CGGCTACCACATCCAAGGAA |
| R: CTCCAATGGATCCTCGTTAAAGG |
| Carbon Number | Fraction 6 | |
|---|---|---|
| 13C b | 1H b | |
| 1 | 60.64 d | 2.745 (dd, 10.3, 4.3, 1H) |
| 2 | 32.59 t | 1.675 (ddd, 10.3, 4.2, 2.1, 1H) |
| 2.40 (ddd, 14.9, 4.3, 4.3, 1H) | ||
| 3 | 72.39 d | 4.44 (S, 1H) |
| OH | 2.25 (brs, 1H) | |
| 4 | 141.69 s | |
| 5 | 126.57 d | 5.26 (d, 10.9, 1H) |
| 6 | 74.19 d | 6.55(dd, 11, 1.5, 1H) |
| 7 | 48.58 d | 2.81 (S, 1H) |
| 8 | 76.2 d | 5.11 (S, 1H) |
| 9 | 43.69 t | 1.255 (dd, 14.9, 1.5, 1H) |
| 2.755 (dd, 14.8, 4.3, 1H) | ||
| 10 | 58.63 S | |
| 11 | 137.32 S | |
| 12 | 169.58 S | |
| 13 | 124.85 t | 5.69 (d, 1.3, 1H) |
| 6.28 (d, 1.6, 1H) | ||
| 14 | 19.75 q | 1.4 (S, 3H) |
| 15 | 23.02 q | 1.75 (S, 3H) |
| 1′ | 166.71 S | |
| 2′ | 127.85 S | |
| 3′ | 139.05 d | 6.785 (dt, 6.8, 6.8, 1H) |
| 4′ | 14.65 q | 1.71 (d, 9.4, 3H) |
| 5′ | 11.99 q | 1.73 (S, 3H) |
Publisher’s Note: MDPI stays neutral with regard to jurisdictional claims in published maps and institutional affiliations. |
© 2022 by the authors. Licensee MDPI, Basel, Switzerland. This article is an open access article distributed under the terms and conditions of the Creative Commons Attribution (CC BY) license (https://creativecommons.org/licenses/by/4.0/).
Share and Cite
Saiki, P.; Yoshihara, M.; Kawano, Y.; Miyazaki, H.; Miyazaki, K. Anti-Inflammatory Effects of Heliangin from Jerusalem Artichoke (Helianthus tuberosus) Leaves Might Prevent Atherosclerosis. Biomolecules 2022, 12, 91. https://doi.org/10.3390/biom12010091
Saiki P, Yoshihara M, Kawano Y, Miyazaki H, Miyazaki K. Anti-Inflammatory Effects of Heliangin from Jerusalem Artichoke (Helianthus tuberosus) Leaves Might Prevent Atherosclerosis. Biomolecules. 2022; 12(1):91. https://doi.org/10.3390/biom12010091
Chicago/Turabian StyleSaiki, Papawee, Mizuki Yoshihara, Yasuhiro Kawano, Hitoshi Miyazaki, and Koyomi Miyazaki. 2022. "Anti-Inflammatory Effects of Heliangin from Jerusalem Artichoke (Helianthus tuberosus) Leaves Might Prevent Atherosclerosis" Biomolecules 12, no. 1: 91. https://doi.org/10.3390/biom12010091
APA StyleSaiki, P., Yoshihara, M., Kawano, Y., Miyazaki, H., & Miyazaki, K. (2022). Anti-Inflammatory Effects of Heliangin from Jerusalem Artichoke (Helianthus tuberosus) Leaves Might Prevent Atherosclerosis. Biomolecules, 12(1), 91. https://doi.org/10.3390/biom12010091

