Early Inflammatory Cytokine Expression in Cerebrospinal Fluid of Patients with Spontaneous Intraventricular Hemorrhage
Abstract
:1. Introduction
2. Materials and Methods
2.1. Study Design
2.2. Measurements
2.3. Statistics
3. Results
3.1. Availability of Cytokine Measurements
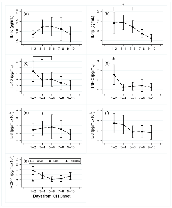
3.2. Cerebrospinal Fluid Levels of Inflammatory Cytokines
3.3. Cytokine Expression and Correlations with Injury Severity
3.4. Cytokine Expression and Clinical Characteristics
4. Discussion
4.1. Cytokine Levels and ICH and IVH Volume
4.2. Comparison of Clinical CSF Cytokine Levels with Experimental Literature
4.3. Cytokine Levels and PHE Volume
4.4. Cytokine Levels and Indicators of Systemic Inflammation
4.5. Cytokine Levels and Outcomes
4.6. Limitations
5. Conclusions
Supplementary Materials
Author Contributions
Funding
Institutional Review Board Statement
Informed Consent Statement
Data Availability Statement
Conflicts of Interest
References
- Bhattathiri, P.S.; Gregson, B.; Prasad, K.S.; Mendelow, A.D. Intraventricular hemorrhage and hydrocephalus after spontaneous intracerebral hemorrhage: Results from the stich trial. Acta Neurochir. Suppl. 2006, 96, 65–68. [Google Scholar]
- Phan, T.G.; Koh, M.; Vierkant, R.A.; Wijdicks, E.F. Hydrocephalus is a determinant of early mortality in putaminal hemorrhage. Stroke 2000, 31, 2157–2162. [Google Scholar] [CrossRef] [Green Version]
- Diringer, M.N.; Edwards, D.F.; Zazulia, A.R. Hydrocephalus: A previously unrecognized predictor of poor outcome from supratent orial intracerebral hemorrhage. Stroke 1998, 29, 1352–1357. [Google Scholar] [CrossRef] [Green Version]
- Hallevi, H.; Walker, K.C.; Kasam, M.; Bornstein, N.; Grotta, J.C.; Savitz, S.I. Inflammatory response to intraventricular hemorrhage: Time course, magnitude and effect of t-PA. J. Neurol. Sci. 2012, 315, 93–95. [Google Scholar] [CrossRef]
- Kraus, J.; Gerriets, T.; Leis, S.; Stolz, E.; Oschmann, P.; Heckmann, J.G. Time course of VCAM-1 and ICAM-1 in CSF in patients with basal ganglia haemorrhage. Acta Neurol. Scand. 2007, 116, 49–55. [Google Scholar] [CrossRef] [PubMed]
- Fam, M.D.; Zeineddine, H.A.; Eliyas, J.K.; Stadnik, A.; Jesselson, M.; McBee, N.; Lane, K.; Cao, Y.; Wu, M.; Zhang, L.; et al. CLEAR III Trial Investigators. CSF inflammatory response after intraventricular hemorrhage. Neurology 2017, 89, 1553–1560. [Google Scholar] [CrossRef] [PubMed]
- Wu, W.; Guan, Y.; Zhao, G.; Fu, X.J.; Guo, T.Z.; Liu, Y.T.; Ren, X.L.; Wang, W.; Liu, H.R.; Li, Y.Q. Elevated IL-6 and TNF-α Levels in Cerebrospinal Fluid of Subarachnoid Hemorrhage Patients. Mol. Neurobiol. 2016, 53, 3277–3285. [Google Scholar] [CrossRef] [PubMed]
- Lenski, M.; Huge, V.; Briegel, J.; Tonn, J.C.; Schichor, C.; Thon, N. Interleukin 6 in the Cerebrospinal Fluid as a Biomarker for Onset of Vasospasm and Ventriculitis After Severe Subarachnoid Hemorrhage. World Neurosurg. 2017, 99, 132–139. [Google Scholar] [CrossRef] [PubMed]
- Takizawa, T.; Tada, T.; Kitazawa, K.; Tanaka, Y.; Hongo, K.; Kameko, M.; Uemura, K. Inflammatory cytokine cascade released by leukocytes in cerebrospinal fluid after subarachnoid hemorrhage. Neurol. Res. 2001, 23, 724–730. [Google Scholar] [CrossRef]
- Kramer, A.H.; Jenne, C.N.; Zygun, D.A.; Roberts, D.J.; Hill, M.D.; Holodinsky, J.K.; Todd, S.; Kubes, P.; Wong, J.H. Intraventricular fibrinolysis with tissue plasminogen activator is associated with transient cerebrospinal fluid inflammation: A randomized controlled trial. J. Cereb. Blood. Flow Metab. 2015, 35, 1241–1248. [Google Scholar] [CrossRef]
- Li, N.; Liu, Y.F.; Ma, L.; Worthmann, H.; Wang, Y.L.; Wang, Y.J.; Gao, Y.P.; Raab, P.; Dengler, R.; Weissenborn, K.; et al. Association of molecular markers with perihematomal edema and clinical outcome in intracerebral hemorrhage. Stroke 2013, 44, 658–663. [Google Scholar] [CrossRef] [Green Version]
- Tapia-Pérez, J.H.; Karagianis, D.; Zilke, R.; Koufuglou, V.; Bondar, I.; Schneider, T. Assessment of systemic cellular inflammatory response after spontaneous intracerebral hemorrhage. Clin. Neurol. Neurosurg. 2016, 150, 72–79. [Google Scholar] [CrossRef]
- Wang, X.M.; Zhang, Y.G.; Li, A.L.; Long, Z.H.; Wang, D.; Li, X.X.; Xia, J.H.; Luo, S.Y.; Shan, Y.H. Expressions of serum inflammatory cytokines and their relationship with cerebral edema in patients with acute basal ganglia hemorrhage. Eur. Rev. Med. Pharmacol. Sci. 2016, 20, 2868–2871. [Google Scholar] [PubMed]
- Landreneau, M.J.; Mullen, M.T.; Messé, S.R.; Cucchiara, B.; Sheth, K.N.; McCullough, L.D.; Kasner, S.E.; Sansing, L.H. CCL2 and CXCL10 are associated with poor outcome after intracerebral hemorrhage. Serum Markers after Spontaneous Cerebral Hemorrhage (SMASCH) Investigators. Annu. Clin. Transl. Neurol. 2018, 5, 962–970. [Google Scholar] [CrossRef] [Green Version]
- Fang, H.Y.; Ko, W.J.; Lin, C.Y. Plasma interleukin 11 levels correlate with outcome of spontaneous intracerebral hemorrhage. Surg. Neurol. 2005, 64, 511–517, discussion 517–518. [Google Scholar] [CrossRef]
- Wasserman, J.K.; XZhu, X.; Schlichter, L.C. Evolution of the inflammatory response in the brain following intracerebral hemorrhage and effects of delayed minocycline treatment. Brain Res. 2007, 1180, 140–154. [Google Scholar] [CrossRef] [PubMed]
- Wei, P.; You, C.; Jin, H.; Chen, H.; Lin, B. Correlation between serum IL-1beta levels and cerebral edema extent in a hypertensive intracerebral hemorrhage rat model. Neurol. Res. 2014, 36, 170–175. [Google Scholar] [CrossRef] [PubMed]
- Castillo, J.; Davalos, A.; Alvarez-Sabin, J.; Pumar, J.M.; Leira, R.; Silva, Y.; Montaner, J.; Kase, C.S. Molecular signatures of brain injury after intracerebral hemorrhage. Neurology 2002, 58, 624–629. [Google Scholar] [CrossRef] [PubMed]
- Chou, S.H.; Feske, S.K.; Atherton, J.; Konigsberg, R.G.; De Jager, P.L.; Du, R.; Ogilvy, C.S.; Lo, E.H.; Ning, M. Early elevation of serum tumor necrosis factor-alpha is associated with poor outcome in subarachnoid hemorrhage. J. Investig. Med. 2012, 60, 1054–1058. [Google Scholar] [CrossRef]
- Lei, B.; Dawson, H.N.; Roulhac-Wilson, B.; Wang, H.; Laskowitz, D.T.; James, M.L. Tumor necrosis factor α antagonism improves neurological recovery in murine intracerebral hemorrhage. J. Neuroinflammation. 2013, 10, 873. [Google Scholar] [CrossRef] [Green Version]
- Volbers, B.; Staykov, D.; Wagner, I.; Dörfler, A.; Saake, M.; Schwab, S.; Bardutzky, J. Semi-automatic volumetric assessment of perihemorrhagic edema with computed tomography. Eur. J. Neurol. 2011, 18, 1323–1328. [Google Scholar] [CrossRef]
- Sošić, M.; Antončić, I.; Tarčuković, J.; Dunatov, S.; Šustić, A.; Ćurko-Cofek, B.; Sotošek, V. Effect of intraventricularly administered low-dose recombinant tissue plasminogen activator on interleukin 1-beta and transforming growth factor beta concentrations in cerebrospinal fluid of patients with primary intracerebral hemorrhage associated with intraventricular hemorrhage: A retrospective study. Medicine 2020, 99, e19966. [Google Scholar]
- Pyykkö, O.T.; Lumela, M.; Rummukainen, J.; Nerg, O.; Seppälä, T.T.; Herukka, S.K.; Koivisto, A.M.; Alafuzoff, I.; Puli, L.; Savolainen, S.; et al. Cerebrospinal fluid biomarker and brain biopsy findings in idiopathic normal pressure hydrocephalus. PLoS ONE 2014, 17, e91974. [Google Scholar] [CrossRef]
- Jeppsson, A.; Zetterberg, H.; Blennow, K.; Wikkelsø, C. Idiopathic normal-pressure hydrocephalus: Pathophysiology and diagnosis by CSF biomarkers. Neurology 2013, 80, 1385–1392. [Google Scholar] [CrossRef]
- Hall, S.; Janelidze, S.; Surova, Y.; Widner, H.; Zetterberg, H.; Hansson, O. Cerebrospinal fluid concentrations of inflammatory markers in Parkinson’s disease and atypical parkinsonian disorders. Sci. Rep. 2018, 8, 13276. [Google Scholar] [CrossRef]
- Lan, X.; Han, X.; Li, Q.; Yang, Q.W.; Wang, J. Modulators of microglial activation and polarization after intracerebral haemorrhage. Nat. Rev. Neurol. 2017, 13, 420–433. [Google Scholar] [CrossRef] [Green Version]
- Taylor, R.A.; Chang, C.F.; Goods, B.A.; Hammond, M.D.; Mac Grory, B.; Ai, Y.; Steinschneider, A.F.; Renfroe, S.C.; Askenase, M.H.; McCullough, L.D.; et al. TGF-β1 modulates microglial phenotype and promotes recovery after intracerebral hemorrhage. J. Clin. Investig. 2017, 127, 280–292. [Google Scholar] [CrossRef] [PubMed] [Green Version]
- Wang, J. Preclinical and clinical research on inflammation after intracerebral hemorrhage. Prog. Neurobiol. 2010, 92, 463–477. [Google Scholar] [CrossRef] [Green Version]
- Liesz, A.; Middelhoff, M.; Zhou, W.; Karcher, S.; Illanes, S.; Veltkamp, R. Comparison of humoral neuroinflammation and adhesion molecule expression in two models of experimental intracerebral hemorrhage. Exp. Transl. Stroke Med. 2011, 3, 11. [Google Scholar] [CrossRef] [PubMed] [Green Version]
- Matsushita, H.; Hijioka, M.; Ishibashi, H.; Anan, J.; Kurauchi, Y.; Hisatsune, A.; Seki, T.; Shudo, K.; Katsuki, H. Suppression of CXCL2 upregulation underlies the therapeutic effect of the retinoid Am80 on intracerebral hemorrhage in mice. J. Neurosci. Res. 2014, 92, 1024–1034. [Google Scholar] [CrossRef] [PubMed]
- Yang, S.; Chen, Y.; Deng, X.; Jiang, W.; Li, B.; Fu, Z.; Du, M.; Ding, R. Hemoglobin-induced nitric oxide synthase overexpression and nitric oxide production contribute to blood–brain barrier disruption in the rat. J. Mol. Neurosci. 2013, 51, 352–363. [Google Scholar] [CrossRef] [PubMed]
- Shi, L.; Qin, J.; Song, B.; Wang, Q.M.; Zhang, R.; Liu, X.; Liu, Y.; Hou, H.; Chen, X.; Ma, X. Increased frequency of circulating regulatory T cells in patients with acute cerebral hemorrhage. Neurosci. Lett. 2015, 591, 115–120. [Google Scholar] [CrossRef]
- Cassatella, M.A.; Östberg, N.K.; Tamassia, N.; Soehnlein, O. Biological Roles of Neutrophil-Derived Granule Proteins and Cytokines. Trends Immunol. 2019, 40, 648–664. [Google Scholar] [CrossRef]
- Walsh, K.B.; Sekar, P.; Langefeld, C.D.; Moomaw, C.J.; Elkind, M.S.; Boehme, A.K.; James, M.L.; Osborne, J.; Sheth, K.N.; Woo, D.; et al. Monocyte count and 30-day case fatality in intracerebral hemorrhage. Stroke 2015, 46, 2302–2304. [Google Scholar] [CrossRef] [Green Version]
- Aronowski, J.; Zhao, X. Molecular pathophysiology of cerebral hemorrhage: Secondary brain injury. Stroke 2011, 42, 1781–1786. [Google Scholar] [CrossRef] [PubMed]
- Anthony, D.C.; Couch, Y.; Losey, P.; Evans, M.C. The systemic response to brain injury and disease. Brain Behav. Immun. 2012, 26, 534–540. [Google Scholar] [CrossRef]
- Masada, T.; Hua, Y.; Xi, G.; Yang, G.Y.; Hoff, J.T.; Keep, R.F.; Nagao, S. Overexpression of interleukin-1 receptor antagonist reduces brain edema induced by intracerebral hemorrhage and thrombin. Acta Neurochir. Suppl. 2003, 86, 463–467. [Google Scholar] [PubMed]
- Zhou, Z.; Wang, Y.; Wang, J.; Anne Stetler, R.; Yang, Q.W. Inflammation in intracerebral hemorrhage: From mechanisms to clinical translation. Prog. Neurobiol. 2014, 115, 25–44. [Google Scholar] [CrossRef]

| Characteristic | N = 28 |
|---|---|
| Demographics: | |
| Age, Mean (Standard Deviation) | 59.4 (12.7) |
| Sex (Male/Female) | 14M, 14F |
| Ethnicity | 13 |
| White | 12 |
| African-American | 2 |
| Hispanic | 1 |
| Asian | |
| Comorbidities: | |
| Hypertension | 25 (89%) |
| Diabetes Mellitus | 8 (29.6%) |
| Coronary Artery Disease | 0 |
| Prior stroke or ICH | 4 (14.3%) |
| Hyperlipidemia | 9 (32.1%) |
| Alcohol Abuse | 6 (21.4%) |
| Cocaine use | 3 (10.7%) |
| Anticoagulation | 4 (14.3%) |
| Clinical History: | |
| GCS on admission, median [IQR] | 9 [6, 11] |
| ICH volume, median [IQR] (mL) | 19.8 [5.8, 48.8] |
| IVH volume, median [IQR] (mL) | 14.3 [5.3, 38] |
| ICH location: (lobar/basal ganglia/cerebellar/primary IVH) | 5/18/3/2 |
| Complications: | |
| Fever (1st 7 days) | 17 (60.7%) |
| WBC elevation (1st 7 days) | 17 (60.7%) |
| Non-CNS infection | 11 (39.3%) |
| Dead at discharge | 10 (35.7%) |
| Days Post Hemorrhage Onset | |||||||||||
|---|---|---|---|---|---|---|---|---|---|---|---|
| 1–2 (N = 19, 16) a | 3–4 (N = 21, 17) | 5–6 (N = 17, 14) | 7–8 (N = 16, 13) | 9–10 (N = 8, 6) | |||||||
| Cytokine | Radiographic Variables b | Corr c | P d | Corr | p | Corr | p | Corr | p | Corr | p |
| IL-1alpha | ICH Volume (mL) | 0.34 | 0.15 | 0.34 | 0.13 | 0.20 | 0.44 | 0.15 | 0.58 | −0.25 | 0.55 |
| (pg/mL) | IVH Volume (mL) | −0.25 | 0.30 | 0.23 | 0.32 | −0.18 | 0.50 | 0.22 | 0.41 | 0.08 | 0.85 |
| PHE Volume (mL) | 0.44 | 0.06 | 0.38 | 0.09 | 0.27 | 0.30 | 0.30 | 0.25 | −0.25 | 0.55 | |
| Relative PHE Volume (%) | 0.11 | 0.69 | 0.08 | 0.76 | −0.23 | 0.43 | 0.62 | 0.02 | 0.13 | 0.80 | |
| Total Volume e (mL) | 0.07 | 0.77 | 0.50 | 0.02 | −0.04 | 0.88 | 0.10 | 0.71 | −0.41 | 0.31 | |
| IL-1beta | ICH Volume (mL) | 0.51 | 0.03 | 0.09 | 0.68 | 0.24 | 0.35 | 0.18 | 0.50 | −0.18 | 0.67 |
| (pg/mL) | IVH Volume (mL) | 0.10 | 0.68 | 0.44 | 0.049 | 0.09 | 0.74 | 0.22 | 0.42 | −0.07 | 0.87 |
| PHE Volume (mL) | 0.43 | 0.07 | 0.03 | 0.90 | 0.24 | 0.34 | 0.32 | 0.22 | 0.04 | 0.93 | |
| Relative PHE Volume (%) | −0.35 | 0.19 | −0.20 | 0.43 | −0.16 | 0.58 | 0.60 | 0.03 | 0.60 | 0.21 | |
| Total Volume (mL) | 0.60 | 0.006 | 0.34 | 0.14 | 0.25 | 0.34 | 0.17 | 0.52 | −0.48 | 0.23 | |
| IL-10 | ICH Volume (mL) | 0.51 | 0.03 | −0.18 | 0.43 | −0.20 | 0.45 | 0.07 | 0.79 | −0.25 | 0.56 |
| (pg/mL) | IVH Volume (mL) | 0.06 | 0.80 | 0.48 | 0.03 | 0.63 | 0.007 | 0.39 | 0.14 | −0.17 | 0.69 |
| PHE Volume (mL) | 0.48 | 0.04 | −0.29 | 0.19 | −0.11 | 0.67 | 0.21 | 0.43 | −0.02 | 0.97 | |
| Relative PHE Volume (%) | −0.18 | 0.52 | −0.34 | 0.19 | 0.33 | 0.25 | 0.44 | 0.13 | 0.94 | 0.005 | |
| Total Volume (mL) | 0.64 | 0.003 | 0.41 | 0.06 | 0.34 | 0.18 | 0.20 | 0.47 | −0.61 | 0.11 | |
| TNF-alpha | ICH Volume (mL) | 0.42 | 0.08 | −0.01 | 0.95 | −0.06 | 0.83 | −0.48 | 0.06 | −0.50 | 0.21 |
| (pg/mL) | IVH Volume (mL) | 0.22 | 0.37 | 0.26 | 0.26 | 0.08 | 0.77 | 0.25 | 0.35 | 0.25 | 0.55 |
| PHE Volume (mL) | 0.28 | 0.25 | −0.08 | 0.73 | −0.14 | 0.58 | −0.44 | 0.09 | −0.50 | 0.21 | |
| Relative PHE Volume (%) | −0.50 | 0.05 | −0.10 | 0.70 | −0.40 | 0.16 | 0.13 | 0.67 | NA | NA | |
| Total Volume (mL) | 0.71 | 0.001 | 0.27 | 0.23 | 0.03 | 0.92 | −0.24 | 0.38 | −0.25 | 0.55 | |
| IL6 | ICH Volume (mL) | 0.57 | 0.01 | 0.01 | 0.95 | −0.09 | 0.74 | 0.24 | 0.37 | 0.14 | 0.73 |
| (pg/mL × 103) | IVH Volume (mL) | 0.00 | 1.00 | 0.49 | 0.03 | 0.54 | 0.03 | 0.27 | 0.31 | −0.52 | 0.18 |
| PHE Volume (mL) | 0.48 | 0.04 | −0.03 | 0.88 | 0.04 | 0.88 | 0.38 | 0.14 | 0.36 | 0.38 | |
| Relative PHE Volume (%) | −0.24 | 0.36 | −0.13 | 0.63 | 0.35 | 0.21 | 0.64 | 0.02 | 0.94 | 0.005 | |
| Total Volume (mL) | 0.55 | 0.01 | 0.32 | 0.16 | 0.30 | 0.25 | 0.29 | 0.28 | −0.40 | 0.32 | |
| IL8 | ICH Volume (mL) | 0.39 | 0.10 | 0.04 | 0.87 | −0.16 | 0.53 | −0.16 | 0.55 | −0.25 | 0.55 |
| (pg/mL × 103) | IVH Volume (mL) | 0.14 | 0.57 | 0.49 | 0.03 | 0.56 | 0.02 | 0.65 | 0.007 | −0.02 | 0.96 |
| PHE Volume (mL) | 0.35 | 0.14 | −0.02 | 0.94 | −0.09 | 0.73 | 0.00 | 1.00 | −0.04 | 0.93 | |
| Relative PHE Volume (%) | −0.12 | 0.65 | −0.12 | 0.66 | 0.20 | 0.48 | 0.60 | 0.03 | 0.71 | 0.11 | |
| Total Volume (mL) | 0.52 | 0.02 | 0.29 | 0.20 | 0.22 | 0.39 | 0.14 | 0.59 | −0.43 | 0.29 | |
| CCL2 | ICH Volume (mL) | 0.51 | 0.03 | −0.07 | 0.76 | −0.11 | 0.67 | −0.05 | 0.85 | −0.11 | 0.80 |
| (pg/mL × 103) | IVH Volume (mL) | −0.13 | 0.61 | 0.43 | 0.05 | 0.27 | 0.29 | 0.73 | 0.001 | 0.07 | 0.87 |
| PHE Volume (mL) | 0.53 | 0.02 | −0.17 | 0.46 | −0.10 | 0.69 | −0.01 | 0.97 | −0.23 | 0.59 | |
| Relative PHE Volume (%) | −0.12 | 0.66 | −0.12 | 0.66 | −0.01 | 0.97 | 0.22 | 0.47 | −0.09 | 0.87 | |
| Total Volume (mL) | 0.56 | 0.01 | 0.13 | 0.59 | −0.14 | 0.59 | 0.32 | 0.22 | 0.36 | 0.39 | |
p < 0.005
p < 0.05
0.05 ≤ p ≤ 0.10.Publisher’s Note: MDPI stays neutral with regard to jurisdictional claims in published maps and institutional affiliations. |
© 2021 by the authors. Licensee MDPI, Basel, Switzerland. This article is an open access article distributed under the terms and conditions of the Creative Commons Attribution (CC BY) license (https://creativecommons.org/licenses/by/4.0/).
Share and Cite
Ziai, W.C.; Parry-Jones, A.R.; Thompson, C.B.; Sansing, L.H.; Mullen, M.T.; Murthy, S.B.; Mould, A.; Nekoovaght-Tak, S.; Hanley, D.F. Early Inflammatory Cytokine Expression in Cerebrospinal Fluid of Patients with Spontaneous Intraventricular Hemorrhage. Biomolecules 2021, 11, 1123. https://doi.org/10.3390/biom11081123
Ziai WC, Parry-Jones AR, Thompson CB, Sansing LH, Mullen MT, Murthy SB, Mould A, Nekoovaght-Tak S, Hanley DF. Early Inflammatory Cytokine Expression in Cerebrospinal Fluid of Patients with Spontaneous Intraventricular Hemorrhage. Biomolecules. 2021; 11(8):1123. https://doi.org/10.3390/biom11081123
Chicago/Turabian StyleZiai, Wendy C., Adrian R. Parry-Jones, Carol B. Thompson, Lauren H. Sansing, Michael T. Mullen, Santosh B. Murthy, Andrew Mould, Saman Nekoovaght-Tak, and Daniel F. Hanley. 2021. "Early Inflammatory Cytokine Expression in Cerebrospinal Fluid of Patients with Spontaneous Intraventricular Hemorrhage" Biomolecules 11, no. 8: 1123. https://doi.org/10.3390/biom11081123
APA StyleZiai, W. C., Parry-Jones, A. R., Thompson, C. B., Sansing, L. H., Mullen, M. T., Murthy, S. B., Mould, A., Nekoovaght-Tak, S., & Hanley, D. F. (2021). Early Inflammatory Cytokine Expression in Cerebrospinal Fluid of Patients with Spontaneous Intraventricular Hemorrhage. Biomolecules, 11(8), 1123. https://doi.org/10.3390/biom11081123
