Abstract
We provide an analytic expression of the spectrum of the cooperative decay rate of N two-level atoms regularly distributed on a ring in the single-excitation configuration. The results are obtained first for the scalar model and then extended to the vectorial light model, assuming all the dipoles are aligned.
1. Introduction
In this paper, we study the cooperative emission of an array of identical two-level atoms, organized in a circular ring of radius . This study is part of the general subject of cooperative spontaneous emission by N excited two-level atoms, extensively studied since the seminal work by Dicke in 1954 [1] and Lehmberg in 1970 [2]. It includes the well-known effect of superradiance, i.e., enhanced spontaneous emission due to constructive interference between the emitters [3,4], and subradiance, i.e., inhibited emission due to destructive interference between the emitters, which is more elusive and difficult to observe [5,6,7,8,9]. Subradiance has seen a large increase in interest in the last few years, as it offers the opportunity of storing photons in emitter ensembles for times longer than the single emitter lifetime [10,11,12,13,14,15,16,17]. In particular, superradiance and subradiance have been studied in the single-excitation configuration, belonging to the regime of linear optics. In disordered systems, the cooperative decay must be studied numerically, usually by solving the dynamics of an initially excited ensemble [18,19]. A more appealing situation is when the atoms form ordered arrays, where cooperativity may be enhanced. For instance, infinite and finite linear chains of two-level atoms are considered in ref. [14,15,20,21]. Subradiance has been experimentally observed also in a bidimensional lattice [22] or in an ensemble of atoms coupled to the guided mode of an optical nanofiber [23].
Having recently studied the finite chain of atoms [21], we are interested here in studying the decay rates when the atoms form a closed configuration since it it expected to lead to a stronger suppression of the excitation. The cooperative single-quantum excitation of a closed-ring chain was studied in the past in ref. [24] and more recently in [14,15,20,25]. Starting from the effective non-Hermitian Hamiltonian, which includes an imaginary part describing the cooperative spontaneous decay and a real part describing the cooperative energy shift [2,26], we focus on the cooperative decay only, calculating analytically the spectrum of the decay rates. The analysis is carried out by initially assuming the scalar model of light and neglecting the vectorial nature of the dipoles. The scalar model is particularly attractive because, since the polarization direction does not play any role, it is able to catch the main features of cooperativity just considering the relative phases of the emitters. Then, we extend the results to the vectorial light model for a set of N equally oriented dipoles.
2. Scalar Model
We consider N identical two-level atoms with transition frequency , linewidth , and dipole . The atoms are prepared in a single-excitation state; and are the ground and excited states, respectively, of the j-th atom, , which is placed at position . We consider here the single-excitation effective Hamiltonian in the scalar approximation, whereas the exact vectorial model will be considered later. If we assume that only one photon is present, when tracing over the radiation degrees of freedom, the dynamics of the atomic system can be described by the non-Hermitian Hamiltonian [19,27]
where and are the lowering and raising operators, is the scalar Green function,
and
where . contains both real and imaginary parts, which takes into account that the excitation is not conserved since it can leave the system by emission. We focus our attention on the decay term .
We consider N atoms on a ring of radius and angles , with (see Figure 1).
Figure 1.
Scheme of the system: a ring with interparticle distance d, radius , and angular position given by .
We write
where and . Then, we expand the exponential
where . The last term is odd in t, so it can be dropped from the integral in Equation (4), obtaining
where
where is the Hypergeometric PFQ function and is the gamma function. Notice that and
so that . We define the spectrum of the decay rates as [25]
where is discrete (let us suppose N is even). Since by Equation (5) the sum on j and m factorizes, we obtain
where
and
The advantage of this expression is that is valid for an arbitrarily large number of atoms N. Furthermore, the spectrum is symmetric, with . Equation (11) is the main result of the paper.
Analysis
It results that for ; for , , whereas for , for (see the example of Figure 2 for ).
Figure 2.
vs. n for . Vertical dashed lines are for .
Hence, in the limit , : the spectrum is composed by a single superradiant component and the remaining subradiant components with (Dicke limit). If , for (subradiance). Instead, assuming , the sum of Equation (11) spans from to , where is determined by the condition . Hence,
since and . Then, Equation (11) gives, in the limit ,
As expected, when becomes very large, the distance d between adjacent atoms becomes much larger than the wavelength , and cooperativity disappears. Ref. [14] investigated numerically a ring distribution of N atoms with fixed atom–atom separation d. In our case, the spectrum of the decay rate is a function of radius and of the number of atoms N. The distance d between adjacent atoms is , where the last expression is valid for large N. The previous necessary condition for subradiance, , implies . As discussed before, the sum in Equation (11) spans from to , where is determined by so that . Taking the most subradiant value (since subradiance occurs for ), then , and the only term surviving in the sum of Equation (11) is :
For ,
where is the Bessel function of order n, and the last expression is valid when . In conclusion, the spontaneous emission is exponentially suppressed, as seen in ref. [14], if we increase N, keeping the distance between adjacent atoms constant, i.e., increasing the radius proportionally to N. On the contrary, in the continuous limit, we tend to let and such that remains finite. Then, in the sum of Equation (11), there remains only the term , and
Subradiance occurs for , whereas superradiance occurs for . When , then , whereas when , then when .
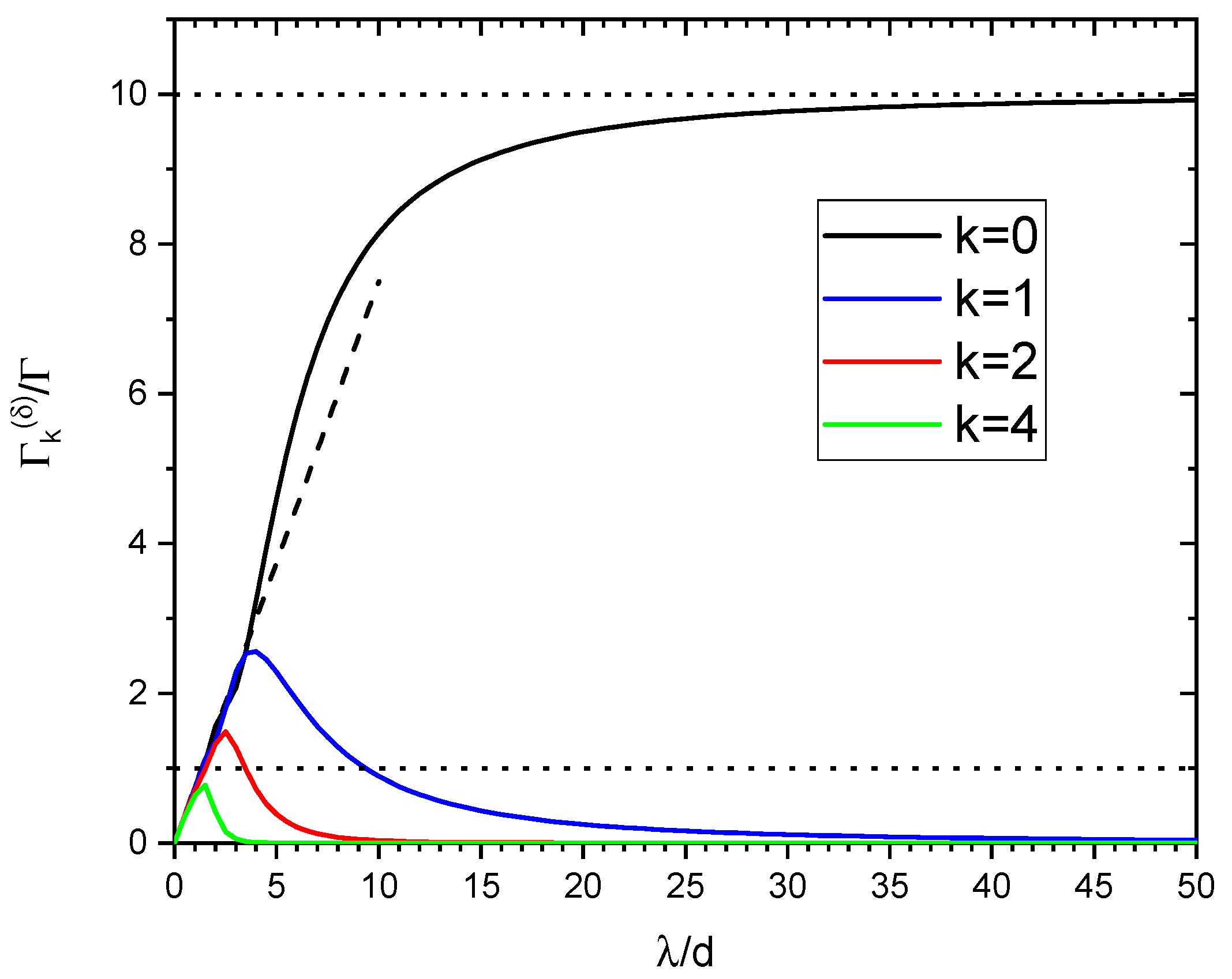
In Figure 3, we plot the decay rate for different values of for as a function of . We see that as , (dashed line), whereas for , the emitters are so close that the range of interaction is effectively infinite, yielding a single superradiant mode decaying at rate and perfectly subradiant modes. This may be explained since for ; since , when , and the mode decays superradiantly as , whereas the other modes with are dark. Conversely, when , and . The results are in agreement with those presented in Ref. [25].
Figure 3.
vs. for and . In the Dicke limit, , only the superradiant with a decay rate is present, and modes are completely subradiant. In the limit , all the modes decay with the rate (dashed line).
3. Vectorial Model
We now extend the previous expressions to the vectorial model, taking into account the polarization of the electromagnetic field. The non-Hermitian Hamiltonian is now
where . Here , and , where is the lowering operator between the ground state and the three excited states of the jth atom with quantum numbers and . The vectorial Green function in Equation (17) is
with and being the components of the unit vector . We consider a ring with and all the dipoles aligned with an angle with respect to ring’s plane so that and
The decay rate for the vectorial model is given by the real part of ,
where and are the spherical Bessel functions of the orders and . By using the identities
we can write
where and
As before, the spectrum is
where is discrete (let suppose N even). Then,
and
It results again that for ; for , , whereas for , for (see the example of Figure 4 for ).
Figure 4.
vs. n for . The red dots are the exact solution of Equation (22) and the dashed line is the approximated solution .
Hence, in the limit , , whereas for and ,
As for the scalar model, we plot in Figure 5 the decay rate (in units of ) for and for different values of as a function of for . The curves are similar to those of the scalar model. The only difference is that as , (dashed line in Figure 5).
Figure 5.
vs. for and , for . In the Dicke limit, , only the superradiant with a decay rate is present, and modes are completely subradiant. In the limit , all the modes decay with the rate (dashed line).
4. Conclusions
In conclusion, we have presented an analytical expression for the discrete spectrum of the decay rates of N atoms regularly distributed on a ring in the single-excitation configuration, both in the scalar and in the vectorial model. The results are in agreements with those presented in Refs. [14,25], where the rates are calculated numerically as the imaginary part of the eigenvalues of the effective Hamiltonian. The analytical expression shows that the decay rates are proportional to N times a function of the parameter , where is the ring’s radius. The modes with are dark, with almost zero decay rates, whereas the modes with are superradiant, with for large values of a. Keeping fixed the distance between adjacent atoms on the ring, the most subradiant modes decay exponentially with N when as seen in Ref. [14]. Is it interesting to note that in the ring configuration, the subradiant spectrum depends on the parameter a and not on the atomic number N, as it occurs, for instance, in a finite linear chain [21].
These analytical results may be important for the future implementation in experimental setups. While ring configurations are not so easy to implement using individual atoms in optical traps, closely related ring-shaped structures of dipoles appear naturally in biological light harvesting complexes [28] or can be set up using quantum dot micro-arrays [29]. Alternatively, one could study such structures in tweezer arrays [30]. As a potential utility of the present results, it has been shown that subradiance may reduce errors for applications such as quantum memories, enabling more efficient quantum information processing and quantum communication protocols [31], or may greatly extend the excited-state lifetimes in optical-lattice clocks [32].
Funding
This research received no external funding.
Data Availability Statement
Data are contained within the article.
Conflicts of Interest
The author declares no conflicts of interest.
References
- Dicke, R.H. Coherence in spontaneous radiation processes. Phys. Rev. 1954, 93, 99. [Google Scholar] [CrossRef]
- Lehmberg, R.H. Radiation from an N-Atom system, I. General formalism. Phys. Rev. A 1970, 2, 883. [Google Scholar] [CrossRef]
- Gross, M.; Haroche, S. Superradiance: An Essay on the Theory of Collective Spontaneous Emission. Phys. Rep. 1982, 93, 301. [Google Scholar] [CrossRef]
- Bonifacio, R.; Schwendimann, P.; Haake, F. Quantum Statistical Theory of Superradiance I. Phys. Rev. A 1971, 4, 302. [Google Scholar] [CrossRef]
- Crubellier, A.; Liberman, S.; Pavolini, D.; Pillet, P. Superradiance and subradiance. I. Interatomic interference and symmetry properties in three-level systems. J. Phys. B: Atom. Mol. Phys. 1985, 18, 3811. [Google Scholar] [CrossRef]
- Bienaimé, T.; Piovella, N.; Kaiser, R. Controlled Dicke subradiance from a large cloud of two-level systems. Phys. Rev. Lett. 2012, 108, 123602. [Google Scholar] [CrossRef]
- Guerin, W.; Araùjo, M.O.; Kaiser, R. Subradiance in a Large Cloud of Cold Atoms. Phys. Rev. Lett. 2016, 116, 083601. [Google Scholar] [CrossRef]
- Ferioli, G.; Glicenstein, A.; Henriet, L.; Ferrier-Barbut, I.; Browaeys, A. Storage and Release of Subradiant Excitations in a Dense Atomic Cloud. Phys. Rev. X 2021, 11, 021031. [Google Scholar] [CrossRef]
- Cipris, A.; Moreira, N.A.; do Espirito Santo, T.S.; Weiss, P.; Villas-Boas, C.J.; Kaiser, R.; Guerin, W.; Bachelard, R. Subradiance with Saturated Atoms: Population Enhancement of the Long-Lived States. Phys. Rev. Lett. 2021, 126, 103604. [Google Scholar] [CrossRef]
- Scully, M.O. Single photon subradiance: Quantum control of spontaneous emission and ultrafast readout. Phys. Rev. Lett. 2015, 115, 243602. [Google Scholar] [CrossRef] [PubMed]
- Jen, H.H.; Chang, M.S.; Chen, Y.C. Cooperative single-photon subradiant states. Phys. Rev. A 2016, 94, 013803. [Google Scholar] [CrossRef]
- Facchinetti, G.; Jenkins, S.D.; Ruostekoski, J. Storing light with subradiant correlations in arrays of atoms. Phys.Rev. Lett. 2016, 117, 243601. [Google Scholar] [CrossRef] [PubMed]
- Bettles, R.J.; Gardiner, S.A.; Adams, C.S. Cooperative eigenmodes and scattering in one-dimensional atomic arrays. Phys. Rev. A 2016, 94, 043844. [Google Scholar] [CrossRef]
- Asenjo-Garcia, A.; Moreno-Cardoner, M.; Albrecht, A.; Kimble, H.J.; Chang, D.E. Exponential improvement in photon storage fidelities using subradiance and “selective radiance” in atomic arrays. Phys. Rev. X 2017, 7, 031024. [Google Scholar] [CrossRef]
- Needham, J.A.; Lesanovsky, I.; Olmos, B. Subradiance-protected excitation transport. New J. Phys. 2019, 21, 073061. [Google Scholar] [CrossRef]
- Reitz, M.; Sommer, C.; Genes, C. Cooperative Quantum Phenomena in Light-Matter Platforms. Prx Quantum 2022, 3, 010201. [Google Scholar] [CrossRef]
- Stiesdal, N.; Busche, H.; Kumlin, J.; Kleinbeck, K.; Büchler, H.P.; Hofferberth, S. Observation of collective decay dynamics of a single Rydberg superatom. Phys. Rev. Res. 2020, 2, 043339. [Google Scholar] [CrossRef]
- Scully, M.O.; Fry, E.; Ooi, C.H.R.; Wodkiewicz, K. Directed Spontaneous Emission from an Extended Ensemble of N Atoms: Timing Is Everything. Phys. Rev. Lett. 2006, 96, 010501. [Google Scholar] [CrossRef]
- Bienaimé, T.; Bachelard, R.; Piovella, N.; Kaiser, R. Cooperativity in light scattering by cold atoms. Fortschritte Physik 2013, 61, 377. [Google Scholar] [CrossRef]
- Cech, M.; Lesanovsky, I.; Olmos, B. Dispersionless subradiant photon storage in one-dimensional emitter chains. Phys. Rev. A 2023, 108, L051702. [Google Scholar] [CrossRef]
- Piovella, N. Cooperative Decay of an Ensemble of Atoms in a One-Dimensional Chain with a Single Excitation. Atoms 2024, 12, 43. [Google Scholar] [CrossRef]
- Rui, J.; Wei, D.; Rubio-Abadal, A.; Hollerith, S.; Zeiher, J.; Stamper-Kurn, D.M.; Christian Gross, C.; Bloch, I. A subradiant optical mirror formed by a single structured atomic layer. Nature 2020, 583, 369. [Google Scholar] [CrossRef] [PubMed]
- Pennetta, R.; Lechner, D.; Blaha, M.; Rauschenbeutel, A.; Schneeweiss, P.; Volz, J. Observation of Coherent Coupling between Super- and Subradiant States of an Ensemble of Cold Atoms Collectively Coupled to a Single Propagating Optical Mode. Phys. Rev. Lett. 2022, 128, 203601. [Google Scholar] [CrossRef] [PubMed]
- Freedhoff, H.S. Cooperative single-quantum excitations of a closed-ring polymer chain. J. Chem. Phys. 1986, 85, 6110. [Google Scholar] [CrossRef]
- Coreno-Cardoner, M.; Plankensteiner, D.; Ostermann, L.; Chang, D.E.; Ritsch, H. Subradiant-enhanced excitation transfer between dipole-coupled nanorings of quantum emitters. Phys. Rev. A 2019, 100, 023806. [Google Scholar] [CrossRef]
- Friedberg, R.; Hartman, S.R.; Manassah, J.T. Frequency shifts in emission and absorption by resonant systems of two-level atoms. Phys. Rep. 1973, 7, 101. [Google Scholar] [CrossRef]
- Akkermans, E.; Gero, A.; Kaiser, R. Photon localization and Dicke superradiance in atomic gases. Phys. Rev. Lett. 2008, 101, 103602. [Google Scholar] [CrossRef] [PubMed]
- Law, C.J.; Roszak, A.W.; Southall, J.; Gardiner, A.T.; Isaacs, N.W.; Cogdell, R.J. The structure and function of bacterial light-harvesting complexes (review). Mol. Membr. Biol. 2004, 21, 183. [Google Scholar] [CrossRef] [PubMed]
- Richner, P.; Eghlidi, H.; Kress, S.J.; Schmid, M.; Norris, D.J.; Poulikakos, D. Printable nanoscopic metamaterial absorbers and images with diffraction-limited resolution. ACS Appl. Mater. Interfaces 2016, 8, 11690. [Google Scholar] [CrossRef]
- Barredo, D.; de Léeséleuc, S.; Lienhard, V.; Lahaye, T.; Browaeys, A. An atom-by-atom assembler of defect-free arbitrary two-dimensional atomic arrays. Science 2016, 354, 1021. [Google Scholar] [CrossRef] [PubMed]
- Manzoni, M.T.; Moreno-Cardoner, M.; Asenjo-Garcia, A.; Porto, J.V.; Gorshkov, A.V.; Chang, D.E. Optimization of photon storage fidelity in ordered atomic arrays. New J. Phys. 2018, 20, 083048. [Google Scholar] [CrossRef] [PubMed]
- Henriet, L.; Douglas, J.S.; Chang, D.E.; Albrecht, A. Critical open-system dynamics in a one-dimensional optical-lattice clock. Phys. Rev. A 2019, 99, 023802. [Google Scholar] [CrossRef]
Disclaimer/Publisher’s Note: The statements, opinions and data contained in all publications are solely those of the individual author(s) and contributor(s) and not of MDPI and/or the editor(s). MDPI and/or the editor(s) disclaim responsibility for any injury to people or property resulting from any ideas, methods, instructions or products referred to in the content. |
© 2025 by the author. Licensee MDPI, Basel, Switzerland. This article is an open access article distributed under the terms and conditions of the Creative Commons Attribution (CC BY) license (https://creativecommons.org/licenses/by/4.0/).




