Cooperative Decay of N Atoms in a Ring Configuration
Abstract
1. Introduction
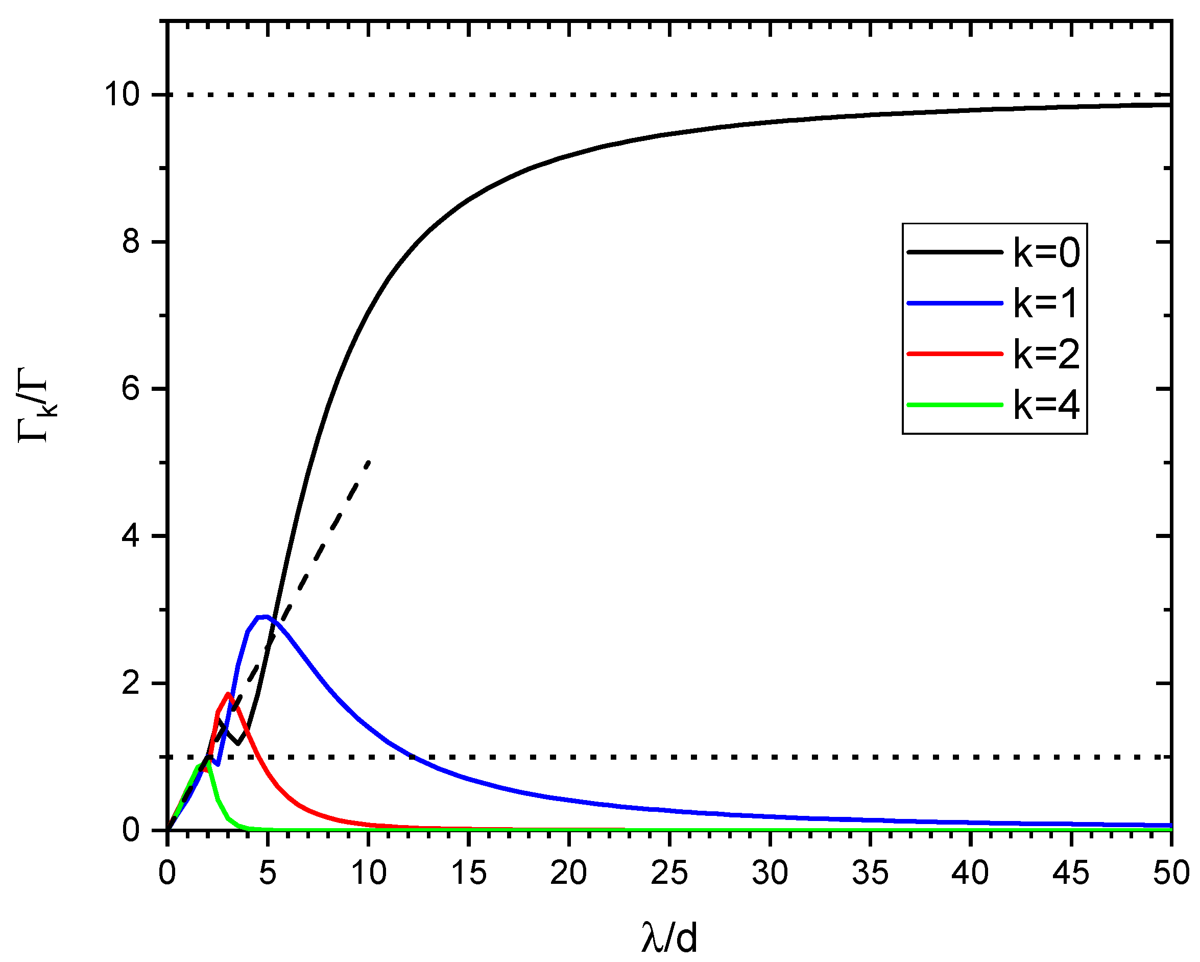
2. Scalar Model
Analysis
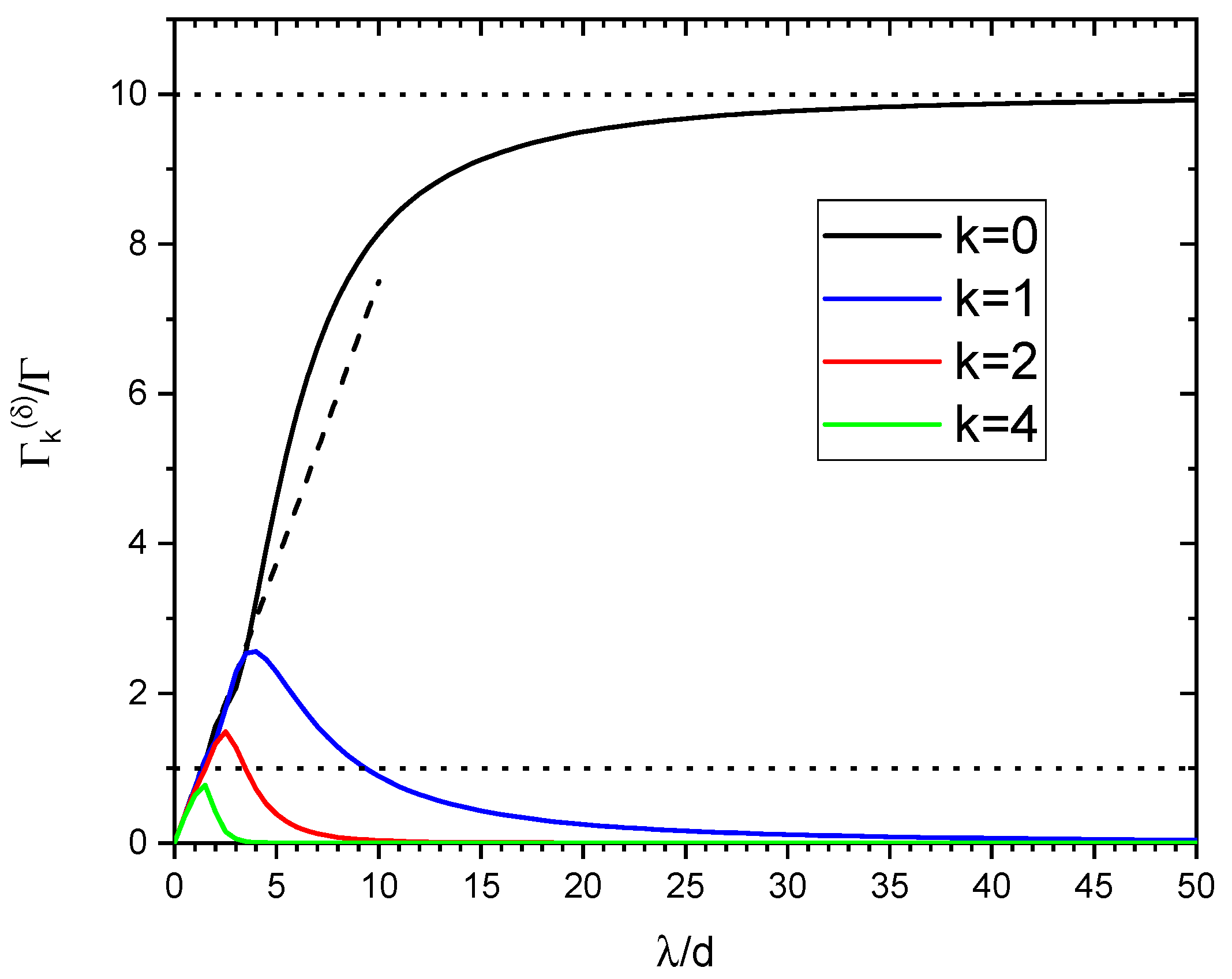
3. Vectorial Model
4. Conclusions
Funding
Data Availability Statement
Conflicts of Interest
References
- Dicke, R.H. Coherence in spontaneous radiation processes. Phys. Rev. 1954, 93, 99. [Google Scholar] [CrossRef]
- Lehmberg, R.H. Radiation from an N-Atom system, I. General formalism. Phys. Rev. A 1970, 2, 883. [Google Scholar] [CrossRef]
- Gross, M.; Haroche, S. Superradiance: An Essay on the Theory of Collective Spontaneous Emission. Phys. Rep. 1982, 93, 301. [Google Scholar] [CrossRef]
- Bonifacio, R.; Schwendimann, P.; Haake, F. Quantum Statistical Theory of Superradiance I. Phys. Rev. A 1971, 4, 302. [Google Scholar] [CrossRef]
- Crubellier, A.; Liberman, S.; Pavolini, D.; Pillet, P. Superradiance and subradiance. I. Interatomic interference and symmetry properties in three-level systems. J. Phys. B: Atom. Mol. Phys. 1985, 18, 3811. [Google Scholar] [CrossRef]
- Bienaimé, T.; Piovella, N.; Kaiser, R. Controlled Dicke subradiance from a large cloud of two-level systems. Phys. Rev. Lett. 2012, 108, 123602. [Google Scholar] [CrossRef]
- Guerin, W.; Araùjo, M.O.; Kaiser, R. Subradiance in a Large Cloud of Cold Atoms. Phys. Rev. Lett. 2016, 116, 083601. [Google Scholar] [CrossRef]
- Ferioli, G.; Glicenstein, A.; Henriet, L.; Ferrier-Barbut, I.; Browaeys, A. Storage and Release of Subradiant Excitations in a Dense Atomic Cloud. Phys. Rev. X 2021, 11, 021031. [Google Scholar] [CrossRef]
- Cipris, A.; Moreira, N.A.; do Espirito Santo, T.S.; Weiss, P.; Villas-Boas, C.J.; Kaiser, R.; Guerin, W.; Bachelard, R. Subradiance with Saturated Atoms: Population Enhancement of the Long-Lived States. Phys. Rev. Lett. 2021, 126, 103604. [Google Scholar] [CrossRef]
- Scully, M.O. Single photon subradiance: Quantum control of spontaneous emission and ultrafast readout. Phys. Rev. Lett. 2015, 115, 243602. [Google Scholar] [CrossRef] [PubMed]
- Jen, H.H.; Chang, M.S.; Chen, Y.C. Cooperative single-photon subradiant states. Phys. Rev. A 2016, 94, 013803. [Google Scholar] [CrossRef]
- Facchinetti, G.; Jenkins, S.D.; Ruostekoski, J. Storing light with subradiant correlations in arrays of atoms. Phys.Rev. Lett. 2016, 117, 243601. [Google Scholar] [CrossRef] [PubMed]
- Bettles, R.J.; Gardiner, S.A.; Adams, C.S. Cooperative eigenmodes and scattering in one-dimensional atomic arrays. Phys. Rev. A 2016, 94, 043844. [Google Scholar] [CrossRef]
- Asenjo-Garcia, A.; Moreno-Cardoner, M.; Albrecht, A.; Kimble, H.J.; Chang, D.E. Exponential improvement in photon storage fidelities using subradiance and “selective radiance” in atomic arrays. Phys. Rev. X 2017, 7, 031024. [Google Scholar] [CrossRef]
- Needham, J.A.; Lesanovsky, I.; Olmos, B. Subradiance-protected excitation transport. New J. Phys. 2019, 21, 073061. [Google Scholar] [CrossRef]
- Reitz, M.; Sommer, C.; Genes, C. Cooperative Quantum Phenomena in Light-Matter Platforms. Prx Quantum 2022, 3, 010201. [Google Scholar] [CrossRef]
- Stiesdal, N.; Busche, H.; Kumlin, J.; Kleinbeck, K.; Büchler, H.P.; Hofferberth, S. Observation of collective decay dynamics of a single Rydberg superatom. Phys. Rev. Res. 2020, 2, 043339. [Google Scholar] [CrossRef]
- Scully, M.O.; Fry, E.; Ooi, C.H.R.; Wodkiewicz, K. Directed Spontaneous Emission from an Extended Ensemble of N Atoms: Timing Is Everything. Phys. Rev. Lett. 2006, 96, 010501. [Google Scholar] [CrossRef]
- Bienaimé, T.; Bachelard, R.; Piovella, N.; Kaiser, R. Cooperativity in light scattering by cold atoms. Fortschritte Physik 2013, 61, 377. [Google Scholar] [CrossRef]
- Cech, M.; Lesanovsky, I.; Olmos, B. Dispersionless subradiant photon storage in one-dimensional emitter chains. Phys. Rev. A 2023, 108, L051702. [Google Scholar] [CrossRef]
- Piovella, N. Cooperative Decay of an Ensemble of Atoms in a One-Dimensional Chain with a Single Excitation. Atoms 2024, 12, 43. [Google Scholar] [CrossRef]
- Rui, J.; Wei, D.; Rubio-Abadal, A.; Hollerith, S.; Zeiher, J.; Stamper-Kurn, D.M.; Christian Gross, C.; Bloch, I. A subradiant optical mirror formed by a single structured atomic layer. Nature 2020, 583, 369. [Google Scholar] [CrossRef] [PubMed]
- Pennetta, R.; Lechner, D.; Blaha, M.; Rauschenbeutel, A.; Schneeweiss, P.; Volz, J. Observation of Coherent Coupling between Super- and Subradiant States of an Ensemble of Cold Atoms Collectively Coupled to a Single Propagating Optical Mode. Phys. Rev. Lett. 2022, 128, 203601. [Google Scholar] [CrossRef] [PubMed]
- Freedhoff, H.S. Cooperative single-quantum excitations of a closed-ring polymer chain. J. Chem. Phys. 1986, 85, 6110. [Google Scholar] [CrossRef]
- Coreno-Cardoner, M.; Plankensteiner, D.; Ostermann, L.; Chang, D.E.; Ritsch, H. Subradiant-enhanced excitation transfer between dipole-coupled nanorings of quantum emitters. Phys. Rev. A 2019, 100, 023806. [Google Scholar] [CrossRef]
- Friedberg, R.; Hartman, S.R.; Manassah, J.T. Frequency shifts in emission and absorption by resonant systems of two-level atoms. Phys. Rep. 1973, 7, 101. [Google Scholar] [CrossRef]
- Akkermans, E.; Gero, A.; Kaiser, R. Photon localization and Dicke superradiance in atomic gases. Phys. Rev. Lett. 2008, 101, 103602. [Google Scholar] [CrossRef] [PubMed]
- Law, C.J.; Roszak, A.W.; Southall, J.; Gardiner, A.T.; Isaacs, N.W.; Cogdell, R.J. The structure and function of bacterial light-harvesting complexes (review). Mol. Membr. Biol. 2004, 21, 183. [Google Scholar] [CrossRef] [PubMed]
- Richner, P.; Eghlidi, H.; Kress, S.J.; Schmid, M.; Norris, D.J.; Poulikakos, D. Printable nanoscopic metamaterial absorbers and images with diffraction-limited resolution. ACS Appl. Mater. Interfaces 2016, 8, 11690. [Google Scholar] [CrossRef]
- Barredo, D.; de Léeséleuc, S.; Lienhard, V.; Lahaye, T.; Browaeys, A. An atom-by-atom assembler of defect-free arbitrary two-dimensional atomic arrays. Science 2016, 354, 1021. [Google Scholar] [CrossRef] [PubMed]
- Manzoni, M.T.; Moreno-Cardoner, M.; Asenjo-Garcia, A.; Porto, J.V.; Gorshkov, A.V.; Chang, D.E. Optimization of photon storage fidelity in ordered atomic arrays. New J. Phys. 2018, 20, 083048. [Google Scholar] [CrossRef] [PubMed]
- Henriet, L.; Douglas, J.S.; Chang, D.E.; Albrecht, A. Critical open-system dynamics in a one-dimensional optical-lattice clock. Phys. Rev. A 2019, 99, 023802. [Google Scholar] [CrossRef]





Disclaimer/Publisher’s Note: The statements, opinions and data contained in all publications are solely those of the individual author(s) and contributor(s) and not of MDPI and/or the editor(s). MDPI and/or the editor(s) disclaim responsibility for any injury to people or property resulting from any ideas, methods, instructions or products referred to in the content. |
© 2025 by the author. Licensee MDPI, Basel, Switzerland. This article is an open access article distributed under the terms and conditions of the Creative Commons Attribution (CC BY) license (https://creativecommons.org/licenses/by/4.0/).
Share and Cite
Piovella, N. Cooperative Decay of N Atoms in a Ring Configuration. Atoms 2025, 13, 8. https://doi.org/10.3390/atoms13010008
Piovella N. Cooperative Decay of N Atoms in a Ring Configuration. Atoms. 2025; 13(1):8. https://doi.org/10.3390/atoms13010008
Chicago/Turabian StylePiovella, Nicola. 2025. "Cooperative Decay of N Atoms in a Ring Configuration" Atoms 13, no. 1: 8. https://doi.org/10.3390/atoms13010008
APA StylePiovella, N. (2025). Cooperative Decay of N Atoms in a Ring Configuration. Atoms, 13(1), 8. https://doi.org/10.3390/atoms13010008
