Abstract
This study investigates how the presence of quantum vortices affects the ionization cross-section of helium atoms by 75 keV proton impact, with special attention to the region near the electron capture to the continuum (ECC) cusp. It has been found that these vortices cause a significant reduction in the intensity of the distribution in the low-energy region of the ECC cusp, leading to a considerable distortion that facilitates its experimental determination. Furthermore, the analysis shows that one of the vortices coincides with the Thomas angle (a parameter coming from the classical ion-electron Thomas mechanism).
1. Introduction
Experimental and theoretical limitations in the field of atomic, molecular, and optical physics have been the main reasons why many complex structures have gone unnoticed for over six decades. In the late 1950s and early 1960s, electron spectroscopy, developed by Kai Siegbahn and collaborators [1], was the primary method for data acquisition, providing a deeper understanding of the electronic structure of atoms and molecules. However, this technique had significant limitations, most notably its inability to describe the full kinematics of collision processes, even in simple few-body reactions.
The emergence of new types of spectrometers, such as the one developed by Meckbach et al. [2], and the introduction of position-sensitive detectors in the 1980s [3], enabled the complete detection of electrons and their differentiation in terms of angle and energy. This innovation improved the accuracy in characterizing reactions and the dynamics of the processes involved. However, despite this advancement, valuable information about the other particles involved in the reactions was still missing, as they could only be identified through coincidence experiments.
The definitive resolution to these limitations came with the introduction of advanced reaction microscopy techniques [4]. Tools such as Cold Target Recoil Ion Momentum Spectroscopy (COLTRIMS) [5] and Magneto-Optical Trap Recoil Ion Momentum Spectroscopy [6] transformed the field by allowing a complete description of the kinematics of atomic and molecular reactions. These innovations have provided a more detailed and accurate picture of the processes, overcoming previous constraints and opening new possibilities for the study of complex structures.
In particular, the COLTRIMS technique has enabled more precise and detailed studies of various collision processes, including the identification of structures that were previously impossible to observe. Nevertheless, the well-known electron capture to the continuum (ECC) peak is not one of these cases. This phenomenon, first identified in the 1970s through electron spectroscopy in ion-atom collisions [7], has been the subject of numerous subsequent investigations, including studies analyzing the differences in the formation of the electron capture cusp in ionization collisions by both protons and positrons [8].
On the other hand, structures known as quantum vortices, which appear in the fully differential cross-sections (FDCS) of collisions in few-body systems, have recently been identified as such [9] and have been shown to be quite ubiquitous. These vortices have been observed not only in ionization collisions with electrons [10,11,12,13] but also theoretically analyzed in ion impact ionization processes [14,15,16], intense electric pulse interactions [17], by polarized laser pulses [18], and more recently, positron impact ionization collisions [12,13,19,20,21,22,23,24,25]. Although there are theoretical studies on the presence of these structures in proton-induced reactions, such as the calculations developed by Macek [14], experimental investigations have yet to be conducted.
Despite early indications of their existence in various collision reactions, such as the theoretical minima identified by Brauner and Briggs in 1991 [26] and by Berakdar and Briggs in 1994 [27] in (e, 2e) collisions, as well as those experimentally observed in electron-induced processes studied by Murray and Read in 1993 [28], these physical phenomena were mistakenly interpreted as cross-section minima and attributed to double-binary scattering processes, like the mechanism proposed by Thomas in 1927 [29]. On some occasions, they have even been confused with the saddle point due to the coincidence in energy and angle of this minimum with that characteristic region [30,31]. However, recent studies have revealed the complexity of the morphology of this structure [20,21,22,23,24].
In this paper, we focus on the distortion caused by the presence of a quantum vortex near the ECC capture peak, assessed in the fully differential cross-section of the ionization process of helium atoms by 75 keV proton impact. Although this effect has been previously observed in positron impact ionization collisions of hydrogen in the low-energy range (100 and 200 eV) [23], it has not been experimentally corroborated. Additionally, the presence of vortices near the ECC cusp has been detected in calculations performed using the Time-Dependent Schrödinger Equation (TDSE) method for the ionization of hydrogen atoms by 5 keV protons with a unit impact parameter [14].
2. Kinematics of the Three-Body Problem
In this study, we investigate the single ionization of helium (He) in ion-atom collisions, with a particular focus on the configuration where the final angles of the electron and the proton are in the range of tenths of milliradians. For this analysis, we model both the projectile and the ionized electron as distinguishable particles, eliminating the need for wave function symmetrization. The residual ion He⁺ is represented as a hydrogen-like atom, with an effective nuclear charge calibrated to reproduce the first ionization energy of helium. The kinematics of the three-body system is described in detail using natural coordinates, specifically Jacobi coordinates.
The collision setup for which we calculated the differential ionization cross-section (FDCS) is the same as those published in the article [32]. The measurements made in that work span an angular range that includes that of our analysis, supporting the viability of our proposal. In particular, this study contrasts experimental FDCS results in proton collisions with He and H₂, obtained using the COLTRIMS technique, with theoretical calculations based on perturbative models, such as the Continuum Distorted Wave with Eikonal Initial State (CDW-EIS-PT) model, in which PT is defined as a pure Coulomb interaction between a projectile with charge and the bare target core with charge , as well as the CDW-EIS model and the Three-Body Distorted Wave with Eikonal Initial State (3DW-EIS) model.
For our analysis, we selected the C3 model [33] due to its proven performance. This choice is not intended to question the validity of the models it is being contrasted with; rather, it reflects the effectiveness of the C3 model in successfully addressing scenarios we have already verified, such as the description of the ECC cusp in positron impact [8,34], and its fundamental role in providing the first theoretical evidence of a deep minimum in high-energy positron ionization collisions [26]. Moreover, the work conducted by Sarkadi et al. [35], which included theoretical-experimental studies of ECC for various proton exit angles, is especially relevant to our case study. Additionally, the model allowed for the identification of a deep FDCS minimum at a saddle point in positron impact ionization collisions, covering an energy range from MeV down to a few eV, making it viable for experimental investigation [31,32,34]. One of the key advantages of the C3 model is that it avoids the usual approximations in the kinematics of this type of problem, such as mass approximations where the motion of lighter particles is assumed to have no effect on the motion of heavier particles, or approximations that omit interactions between particles considered to be secondary interactions. This allows for a more precise and comprehensive description of the collision process, as well as the flexibility to adapt to different case studies.
In this context, the FDCS is defined as:
where the projectile velocity is defined as , the internal energy of the target as , , , and correspond to the final momenta of the electron, proton, and recoil ion, respectively. Meanwhile, , , and , are the masses of the ion, proton, and electron, respectively.
The transition matrix element | describes the evolution of the ionization process. Here, the initial state is defined by the bound state of the target, and the motion of the proton is modeled as a free wave approaching the target from infinity. The interaction potential , on the other hand, is modeled in this case as the initial channel potential, namely, , where is the potential of the bound state, is the interaction potential of the proton with the electron, and is the interaction potential of the projectile with the ionized target. Finally, the most complex term in this calculation is the final state . It is important to note that the three-body problem with Coulomb interactions is one of the quantum problems for which no exact solution exists; therefore, approximations are usually employed, and this case will be no exception. Here, we chose to describe this final state using the C3 wave function proposed in 1980 by Garibotti and Miraglia [33], characterized by a plane wave for the three-particle system, distorted by a factor.
The subscript j in Equation (2) refers to pairs of particles in the final state [8]. Thus, , and describe the positions of the electron with respect to the proton and the residual target, respectively, whose relative position is given by . The corresponding Jacobi momenta read , where are the reduced masses of the involved particles. The Sommerfeld parameters, , can be defined as , , and , where and are the charges of the projectile and the target, respectively.
In this context, the Coulomb distortion factors are introduced, accounting for the interatomic interactions between pairs of particles, as , with being a confluent hypergeometric function of the first kind and the normalization factor known as the Coulomb factor, . It is worth mentioning that, as a perturbative model, it provides a better description for projectile energies in the medium to high range, which is ideal for this case study, taking into account the possibility of an experimental analysis.
3. Origin of the ECC Cusp and Quantum Vortices
The ECC cusp, first identified in the 1970s [7], is a prominent structure that has been extensively studied since its discovery [36,37]. These investigations have demonstrated that its formation is an effect of the long-range interaction between the electron and the projectile in the final state.
The presence of the Electron Capture to the Continuum (ECC) peak can be explained through a smooth continuity across the ionization threshold to highly excited bound states of the projectile [38]. In other words, this cusp manifests as a divergence in the transition matrix element ∣T∣2, occurring at the threshold of the charge exchange process. This phenomenon is particularly evident when the relative momentum k′ between the electron and the projectile approaches zero.
The existence of quantum vortices, on the other hand, has been widely demonstrated in a variety of quantum systems, such as superfluids [39], type II superconductors [40], and Bose–Einstein condensates [41], to the extent that they can be said to be as ubiquitous in quantum systems as in classical systems. However, the type of quantum vortex we will analyze in this article is distinguished by its simplicity and origin. It is much more elementary in nature, emerging in the wave function during the early stages of a collision involving only three bodies: the projectile, the target, and the electron [14]. Additionally, these vortices are not related to magnetic fields as in a superconductor, and their time evolution is described by the Schrödinger equation with Coulomb interactions, without the need for nonlinear terms or ad hoc potential models. At first glance, the existence of vortices in a system of only three particles might seem an exception or a caveat compared to the many-particle systems in which they are typically observed. However, this peculiarity is explained within the framework of the de Broglie–Bohm theory [42,43,44] or the Madelung hydrodynamic interpretation [45], developed in 1926. This theory shows that the time evolution of the wave function, according to the Schrödinger equation [46], can be described by an equivalent set of coupled equations, consisting of the Euler equation for a set of non-interacting particles under the same potential V(r), affected by a quantum-origin stress tensor, and the fluid continuity equation. In this fluid, the density is defined in terms of the wave function , and the generalized velocity field as . In this context, since the velocity field in a quantum system is the gradient of a scalar function, the resulting vorticity is zero, implying that the fluid is irrotational except at vortex singularities where the velocity field diverges, an inherent characteristic of these structures.
Although vorticity is a local property and angular momentum is a global quantity, open vortices are directly proportional to angular momentum. In contrast, closed vortices present a unique scenario: they possess non-zero integer vorticity despite zero expectation value for angular momentum. Furthermore, the vortices discussed here have transverse polarization with respect to the propagation direction, offering a novel perspective compared to the existing literature [18]. The interpretation of the vortices discussed here is challenging, as they are fundamentally different from scenarios involving the conversion of linear to angular momentum in atomic collisions, where kinematic considerations and the first-born approximation provide clear explanations [47]. In our case, no such conversion occurs, since the final angular momentum of the ionized electron is zero, suggesting that a deeper understanding of the role of vorticity in atomic collisions is required.
As mentioned, these vortices originate in the wave function during the early stages of the collision. However, during the evolution of the scattering process, there are no guarantees they will survive; in fact, they might collapse. Nevertheless, those vortices that manage to persist until reaching asymptotic regimes leave a distinctive imprint on the transition matrix element T, manifesting as isolated zeros, as observed in previous studies [14]. This connection between the asymptotic behavior of the wave function and the matrix element is established through the image theorem, proposed by John Dollard in 1971 and reinterpreted by Macek years later [48,49].
Quantum vortices have been primarily studied in restricted two-dimensional regions of the phase space of the multidimensional matrix element, where they emerge as zeros. This is not only a direct consequence of the inherent condition of these structures, defined by Re(T) = 0 and Im(T) = 0, characterizing them as codimension-2 submanifolds, but also due to the complexity associated with working in a multidimensional space. Even in a relatively simple case study, like the one analyzed in this work, where a 75 keV proton ionizes a helium atom, nine variables are required to fully define the problem’s kinematics. Due to the conservation of energy and momentum, which correspond to the functions in Equation (1), as well as the axial symmetry of the collision, they are ultimately reduced to four variables. However, it remains a complex space, posing a challenge when attempting to visualize a multidimensional object in our three-dimensional space.
To address this complexity, restrictive geometric representations are often used to reduce the number of variables and thus facilitate the visualization of vortices. For example, collinear arrangements, where the ionized electron and the projectile exit in the same direction, or coplanar configurations are employed. While these approaches simplify the representation, they also limit our perception of a much more complex structure. Indeed, this was the reason why these structures, which appeared isolated when studied in two dimensions, turned out to be part of a vortex ring when traced outside of collinear geometry. Similarly, when analyzing the unrestricted matrix element space, these vortex rings are revealed as components of a vortex surface [24].
4. Results and Discussion
Following the calculation methodology described in previous sections and articles [19,20], we proceeded to evaluate the transition matrix element space for helium ionization in the gaseous state induced by proton impact at an intermediate energy of 75 keV. Given that quantum vortices, although potentially ubiquitous, are extremely difficult to detect, particularly in our case study involving a heavy projectile that extremely limits the angular range we focused, as a starting point, on identifying these critical points. This analysis was conducted under the constraint of a collinear geometry, meaning that the ejected electron’s and the proton’s outgoing angle are coincident. As a result of this approach, we obtained the FDCS plot in terms of the coincidence angle within a bounded range below 1 mrad and the electron’s outgoing energy, as shown in Figure 1.
Figure 1.
Squared modulus of the transition matrix element for the ionization of helium by 75 keV proton impact as a function of the energy and angle of the emitted electron. The conditions are set for a collinear geometry configuration, where the angles formed by the electron and the projectile relative to the forward direction are equal. The logarithmic scale in arbitrary units sets the lowest and highest values at blue and red, respectively.
In this graph, the characteristic ECC peak is clearly observed at 40.804 eV, as well as two specific points where the density becomes zero, indicative of the presence of vortices. The first of these points is located at 0.465 mrad and 7.45 eV, while the second isolated zero is found at 0.604 mrad and 40.2 eV in angle and energy, respectively. The latter is situated near the ECC cusp, where it is clearly seen how its intensity is altered by the influence of the vortex, demonstrating the significant impact that this structure has on the observed distribution.
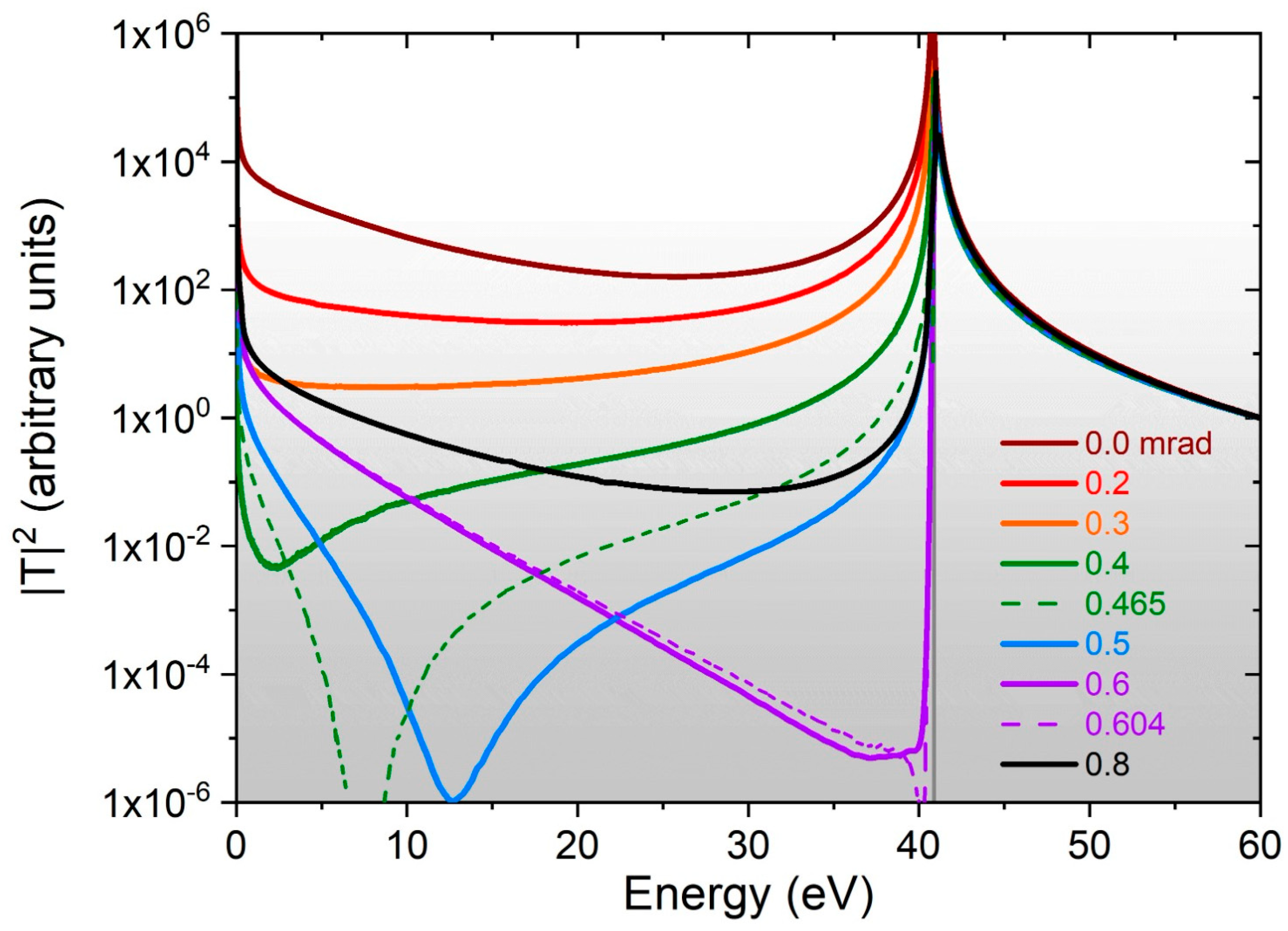
To further explore the effect of the vortex on the ECC peak, Figure 2 presents a series of curves illustrating the density distribution as a function of the electron energy for different values of its angle. At 0 mrad, the characteristic asymmetry toward low energies of the ECC capture peak is observed, a phenomenon that has been widely studied in collisions with ions, positrons, and protons. As the angle increases and approaches the first vortex point at 0.465 mrad, abrupt drops occur in the FDCS, leading to a progressive decrease in the intensity of the probability density in the low-energy region of ECC. In the end, the vortex induces an effect as if there were an inversion in the symmetry of the cusp peak, which is observable on a linear scale. In particular, two significant drops in the FDCS are highlighted, at 0.465 mrad and 0.604 mrad, where the density becomes zero. After the drop at 0.465 mrad, the curve at 0.5 mrad shows a slight recovery. However, as it approaches the second vortex point at 0.604 mrad, the low-energy region of the ECC peak completely fades, confirming the distortion observed in Figure 1. Finally, at 0.8 mrad, the standard shape of the cusp begins to recover slightly, although not completely.
Figure 2.
Square of the modulus of the transition matrix element, , on a logarithmic scale, using a collinear geometry for the ionization of helium atoms by 75 keV protons, as a function of the electron energy for different emission angles ranging from 0 to 0.8 mrad.
It is worth mentioning that this is not the first study to report the effect of vortices on the ECC peak. In 2015, a similar effect was observed in a hydrogen atom ionization collision by positrons at 50 eV [50]. In that study, it was found that at 25.5°, a sudden modification occurred in the shape of the cusp, where the low-energy side of the ECC was strongly suppressed. Finally, the standard shape of the ECC peak was fully recovered at θ = 45°. However, in the reaction analyzed here, we do not observe a complete recovery of the peak. This difference is attributed to the difference in mass between the projectiles of the analyzed reactions, as the projectile used in this work is a proton, whose mass is significantly greater compared to the positron. This greater mass makes it difficult for the proton to deviate during the collision. Therefore, the collision dynamics are different, preventing the recovery observed with a positronic projectile.
Vortices can leave subtle traces in the measurement of fully differential cross-sections, which can be identified as indirect evidence of their existence. These traces not only modify aspects of the ECC peak, such as its position and shape, the decrease in full width at half maximum (FWHM) or shifts to higher energies of the peak position, but also influence other structures, such as the binary peak or resonances. Since these effects can be difficult to detect due to their subtlety or degree of complexity, analyzing the low-energy performance of the ECC peak represents a simpler parameter to measure.
As shown in Figure 3, the yield of the low energy section of the ECC cusp exhibits a notable decrease for angles that fall between the intermediate values corresponding to the vortex points. In our specific analysis with protons, we evaluated two different yield scenarios based on different energy ranges. The blue (lower) curve represents the yield for an energy range of 20 to 40.804 eV, which includes only the vortex point located near the ECC peak, situated at 0.604 mrad. On the other hand, the red (upper) curve shows the yield for a wider energy range, from 5 to 40.804 eV, which encompasses both vortex points located at 0.465 mrad and 0.604 mrad.
Figure 3.
Yield of the square of the modulus of T as a function of the emission angle, shown in two energy ranges: from 5 to 40.804 eV (red curve, with 40.804 eV corresponding to the ECC peak) and from 20 to 40.804 eV (blue curve).
Finally, as an additional calculation, we decided to verify whether the isolated zeros in the FDCS coincide with the characteristic Thomas mechanism angle or with the angle in the saddle point region, as investigated in previous studies of positron-induced ionization collisions [31,32]. In those studies, it was observed that as the projectile energy increased, these zeros tended to approach regions of the T-phase space associated with these processes. To explore this possible coincidence in our case, we calculated the Thomas angle using the equation derived from classical physics [30]:
where represents the electron mass, equal to 1 u.a, and the projectile mass of 1836 u.a. It should be noted that all calculations performed in this article were conducted using atomic units. The calculation resulted in a Thomas angle of 0.47 mrad, coinciding with the vortex point located at an angle of 0.465 mrad. Although this may merely be an interesting coincidence, a previous study showed a similar alignment of a vortex point in positron-induced ionization of hydrogen atoms with the Thomas angle. On the other hand, the angle at the saddle point was calculated following the reasoning explained in a paper published in 2005 [31]. In this case, there is no correlation between the vortex point angles and the saddle point angle, as the latter is at 0.0659 mrad, a much smaller angle than those corresponding to the vortex points.
Similar to the findings from a previous study on positrons [20], vortices in this case appear in the low-energy region relative to the ECC cusp (in the plane defined by the condition of a collinear collision). Thus, the ECC cusp acts as a kinematic constraint on the emergence of quantum vortices in this plane. Consequently, the experimental determination of quantum vortices using the method described here could provide an opportunity to confirm two additional properties in the ECC cusp literature: the additional asymmetry introduced by the presence of vortices and the kinematic constraint on their emergence (i.e., no vortices should be found at energies higher than that of the ECC cusp).
5. Conclusions
In this work, we investigated the effects induced by quantum vortices when they appear near the ECC peak in the ionization of helium atoms by 75 keV protons. Our results indicate that the presence of these structures can be detected indirectly. In particular, the analysis of the FDCS revealed an ECC peak at 40.804 eV, along with two critical points at 0.465 mrad and 0.604 mrad where the FDCS equals zero, suggesting the presence of vortices. These points correlate with abrupt drops in the fully differential cross-section, with a reduction exceeding four orders of magnitude. The distortion in the characteristic shape of the ECC peak, induced by these points, particularly the removal of the intensity of the distribution in the low-energy region of the ECC peak, confirms the significant influence of the vortices on the observed distribution.
The evaluation of the yield curve across different energy ranges shows that the vortex points produce a pronounced reduction in the yield of , highlighting the combined effects of these points. This finding emphasizes the importance of these critical points in modifying the ECC peak.
On the other hand, the uniqueness of the appearance of these structures in characteristic regions, such as the Thomas angle, was corroborated, which in this case, coincides with the vortex point at an angle of 0.465 mrad. This suggests that the isolated zeros in the FDCS might be linked with this characteristic mechanism, offering a promising direction for future research. Notably, this observation aligns with previous studies that have examined the effects of vortices on the ECC peak during positron collisions with hydrogen atoms.
Given the recent findings on the morphology of these structures, the possibility of experimentally verifying them becomes even more promising, highlighting the potential to study these unique vortices emerging in few-body collisions. In this context, we consider that research using protons as projectiles could offer additional advantages compared to previous studies focused on positron reactions. In particular, the much greater accessibility of proton sources compared to positron sources could facilitate the study of these phenomena, making the research more practical and feasible.
Author Contributions
Conceptualization, F.N., R.O.B. and T.A.G.; methodology, T.A.G., F.N. and R.O.B.; software, T.A.G. and F.N.; validation, T.A.G., F.N. and R.O.B.; investigation, T.A.G., F.N. and R.O.B.; writing—original draft preparation, T.A.G. and R.O.B.; writing—review and editing, T.A.G., F.N. and R.O.B. All authors have read and agreed to the published version of the manuscript.
Funding
This research was funded by Universidad Nacional de Cuyo, grant number 06/C010-T1 and by Consejo Nacional de Investigaciones Científicas y Técnicas, grant number PIP 112 202101 00141 CO. This research and publication were supported by the Deutsche Forschungsgemeinschaft (DFG, German Research Foundation), SFB 1477 “Light-Matter Interactions at Interfaces”, project number 441234705.
Institutional Review Board Statement
Not applicable.
Informed Consent Statement
Not applicable.
Data Availability Statement
All the data reported in this work are available on request from the authors.
Conflicts of Interest
The authors declare no conflicts of interest.
References
- Siegbahn, K. ESCA: Atomic, Molecular and Solid State Structure Studies by Means of Electron Spectroscopy; Nova Acta Regiae Societatis Scientiarum Upsaliensis: Uppsala, Sweden, 1967. [Google Scholar]
- Meckbach, W.; Nemirovsky, I.B.; Garibotti, C.R. Resolution dependence and asymmetry of electron capture to the continuum spectra. Phys. Rev. A 1981, 24, 1793, Erratum in Phys. Rev. A 1983, 27, 1207. [Google Scholar] [CrossRef]
- Busch, F.; Pfeffer, W.; Kohlmeyer, B.; Schüll, D.; Pühlhoffer, F. A position-sensitive transmission time detector. Nucl. Instrum. Methods 1980, 171, 71–74. [Google Scholar] [CrossRef]
- Ullrich, J.; Dörner, R.; Lencinas, S.; Jagutzki, O.; Schmidt-Böcking, H.; Buck, U. Recoil-ion momentum spectroscopy. Nucl. Instrum. Methods Phys. Res. B 1991, 61, 415–422. [Google Scholar] [CrossRef]
- Dörner, R.; Mergel, V.; Jagutzki, O.; Spielberger, L.; Ullrich, J.; Moshammer, R.; Schmidt-Böcking, H. Cold Target Recoil Ion Momentum Spectroscopy: A ‘Momentum Microscope’ to View Atomic Collision Dynamics. Phys. Rep. 2000, 330, 95–192. [Google Scholar] [CrossRef]
- DePaola, B.D.; Morgenstern, R.; Andersen, N. MOTRIMS: Magneto–Optical Trap Recoil Ion Momentum Spectroscopy. In Advances in Atomic, Molecular, and Optical Physics, 2nd ed.; Radke, L.J., Fitzgerald, C.T., Eds.; Academic Press: San Diego, CA, USA, 2008; Volume 55, pp. 139–189. [Google Scholar]
- Crooks, G.B.; Rudd, M.E. Experimental Evidence for the Mechanism of Charge Transfer into Continuum States. Phys. Rev. Lett. 1970, 25, 1599. [Google Scholar] [CrossRef]
- Fiol, J.; Rodríguez, V.D.; Barrachina, R.O. Electron capture to the continuum by proton and positron impact. J. Phys. B At. Mol. Opt. Phys. 2001, 34, 933–944. [Google Scholar] [CrossRef][Green Version]
- Macek, J.H.; Sternberg, J.B.; Ovchinnikov, S.Y.; Briggs, J.S. Theory of Deep Minima in (e,2e) Measurements of Triply Differential Cross Sections. Phys. Rev. Lett. 2010, 104, 033201. [Google Scholar] [CrossRef] [PubMed]
- Colgan, J.; Pindzola, M.S. Electron-impact ionization of oriented molecules using the time-dependent close-coupling approach. J. Phys. Conf. Ser. 2011, 288, 012001. [Google Scholar] [CrossRef]
- Ward, S.J.; Macek, J.H. Effect of a vortex in the triply differential cross section for electron-impact K-shell ionization of carbon. Phys. Rev. A 2014, 90, 062709. [Google Scholar] [CrossRef]
- DeMars, C.M.; Kent, J.B.; Ward, S.J. Deep minima in the Coulomb-Born triply differential cross sections for ionization of helium by electron and positron impact. Eur. Phys. J. D 2020, 74, 48. [Google Scholar] [CrossRef]
- DeMars, C.M.; Ward, S.J.; Colgan, J.; Amami, S.; Madison, D.H. Deep minima in the triply differential cross section for ionization of atomic hydrogen by electron and positron impact. Atoms 2020, 8, 26. [Google Scholar] [CrossRef]
- Macek, J.H.; Sternberg, J.B.; Ovchinnikov, S.Y.; Lee, T.-G.; Schultz, D.R. Origin, Evolution, and Imaging of Vortices in Atomic Processes. Phys. Rev. Lett. 2009, 102, 143201. [Google Scholar] [CrossRef]
- Ovchinnikov, S.Y.; Macek, J.H.; Schmidt, L.P.H.; Schultz, D.R. Theoretical demonstration of the feasibility of observing vortices in the ejected-electron spectrum in bare ion two electron atom collisions. Phys. Rev. A 2011, 83, 060701(R). [Google Scholar] [CrossRef]
- Schmidt, L.P.H.; Goihl, C.; Metz, D.; Schmidt-Böcking, H.; Dörner, R.; Ovchinnikov, S.Y.; Macek, J.H.; Schultz, D.R. Vortices Associated with the Wave Function of a Single Electron Emitted in Slow Ion-Atom Collisions. Phys. Rev. Lett. 2014, 112, 083201. [Google Scholar] [CrossRef]
- Ovchinnikov, S.Y.; Sternberg, J.B.; Macek, J.H.; Lee, T.-G.; Schultz, D.R. Creating and Manipulating Vortices in Atomic Wave Functions with Short Electric Field Pulses. Phys. Rev. Lett. 2010, 105, 203005. [Google Scholar] [CrossRef]
- Md Yusoff, M.A.H.B.; Ngoko Djiokap, J.M.; Meremianin, A.V.; Manakov, N.L. Electron vortices in the amplitude of the atomic ionization by a few-cycle circularly polarized laser pulse. Phys. Rev. A 2024, 110, 023102. [Google Scholar] [CrossRef]
- Navarrete, F.; Della Picca, R.; Fiol, J.; Barrachina, R.O. Vortices in ionization collisions by positron impact. J. Phys. B At. Mol. Opt. Phys. 2013, 46, 115203. [Google Scholar] [CrossRef]
- Navarrete, F.; Barrachina, R.O. Vortices in the three-body electron–positron–proton continuum system induced by the positron-impact ionization of hydrogen. J. Phys. B At. Mol. Opt. Phys. 2015, 48, 055201. [Google Scholar] [CrossRef]
- Navarrete, F.; Barrachina, R.O. Vortex lines and surfaces in positron-atom ionization collisions. J. Phys. Conf. Ser. 2015, 635, 052014. [Google Scholar] [CrossRef]
- Navarrete, F.; Barrachina, R.O. Vortices in ionization collisions. Nucl. Instrum. Methods Phys. Res. B 2016, 369, 72–76. [Google Scholar] [CrossRef]
- Navarrete, F.; Barrachina, R.O. Vortex rings in the ionization of atoms by positron impact. J. Phys. Conf. Ser. 2017, 875, 012022. [Google Scholar] [CrossRef]
- Guarda, T.A.; Navarrete, F.; Barrachina, R.O. The vortex surface in a three-body quantum system. Atoms 2023, 11, 147. [Google Scholar] [CrossRef]
- Alrowaily, A.W.; Ward, S.J.; Van Reeth, P. Deep minimum and a vortex for positronium formation in low-energy positron-helium collisions. Atoms 2021, 9, 56. [Google Scholar] [CrossRef]
- Brauner, M.; Briggs, J.S. Structures in differential cross sections for positron impact ionization of hydrogen. J. Phys. B At. Mol. Opt. Phys. 1991, 24, 2227. [Google Scholar] [CrossRef]
- Berakdar, J.; Briggs, J.S. Interference effects in (e,2e)-differential cross sections in doubly symmetric geometry. J. Phys. B At. Mol. Opt. Phys. 1994, 27, 4271. [Google Scholar] [CrossRef]
- Murray, A.J.; Read, F.H. Exploring the helium (e, 2e) differential cross section at 64.6 eV with symmetric scattering angles but nonsymmetric energies. J. Phys. B At. Mol. Opt. Phys. 1993, 26, L359. [Google Scholar] [CrossRef]
- Thomas, L.H. Theoretical considerations on the behavior of matter. Proc. R. Soc. A 1927, 114, 561. [Google Scholar]
- Della Picca, R.; Fiol, J.; Barrachina, R.O. Evidence of Saddle-Point Electron Emission in an Ionization Process Induced by Positron Impact. In Proceedings of the Conference on Positron Impact Processes, Budapest, Hungary, 1 July 2004. [Google Scholar]
- Della Picca, R.; Fiol, J.; Barrachina, R.O. Investigation of Saddle Point Electrons in Positron–Atom Ionization Collisions. Nucl. Instrum. Methods Phys. Res. B 2005, 233, 270–275. [Google Scholar] [CrossRef]
- Dhital, M.; Bastola, S.; Silvus, A.; Davis, J.; Lamichhane, B.R.; Ali, E.; Ciappina, M.F.; Lomsadze, R.; Hasan, A.; Madison, D.H.; et al. Ejected-electron-energy and angular dependence of fully differential ionization cross sections in medium-velocity proton collisions with He and H2. Phys. Rev. A 2020, 102, 032818. [Google Scholar] [CrossRef]
- Garibotti, C.R.; Miraglia, J.E. Ionization and Electron Capture to the Continuum in the H+ Hydrogen-Atom Collision. Phys. Rev. A 1980, 21, 572. [Google Scholar] [CrossRef]
- Della Picca, R.; Fiol, J.; Barrachina, R.O.; Rodríguez, V.D. Theory of Ionization Processes in Positron–Atom Collisions. Nucl. Instrum. Methods Phys. Res. B 2006, 247, 52–57. [Google Scholar] [CrossRef]
- Sarkadi, L.; Barrachina, R.O. Divergency problem of the electron capture to the continuum cusp: Classical trajectory Monte Carlo simulation and experimental data. Phys. Rev. A 2005, 71, 062712. [Google Scholar] [CrossRef]
- Fiol, J.; Barrachina, R.O. Continuum-orientation phenomena in ionization by positron impact. J. Phys. B At. Mol. Opt. Phys. 2011, 44, 075205. [Google Scholar] [CrossRef]
- Köver, Á.; Laricchia, G. Triply differential study of positron impact ionization of H2. Phys. Rev. Lett. 1998, 80, 5309. [Google Scholar] [CrossRef]
- Macek, J. Theory of the Forward Peak in the Angular Distribution of Electrons Ejected by Fast Protons. Phys. Rev. A 1970, 1, 235. [Google Scholar] [CrossRef]
- Onsager, L. Statistical hydrodynamics. Nuovo Cim. 1949, 6, 279–287. [Google Scholar] [CrossRef]
- Abrikosov, A.A. The magnetic properties of superconducting alloys. J. Phys. Chem. Solids 1957, 2, 199–208. [Google Scholar] [CrossRef]
- Dalfovo, F.; Giorgini, S.; Pitaevskii, L.P.; Stringari, S. Theory of Bose-Einstein condensation in trapped gases. Rev. Mod. Phys. 1999, 71, 463–512. [Google Scholar] [CrossRef]
- Bohm, D. A Suggested Interpretation of the Quantum Theory in Terms of “Hidden” Variables. Phys. Rev. 1952, 85, 166–179. [Google Scholar] [CrossRef]
- Dürr, D.; Teufel, S. Bohmian Mechanics; Springer: Berlin/Heidelberg, Germany, 2009; pp. 109–118, 145–151. [Google Scholar]
- Holland, P.R. Quantum Theory of Motion; Cambridge University Press: Cambridge, UK, 1993. [Google Scholar]
- Madelung, E. Quantum Theory in Hydrodynamical Form. J. Phys. 1927, 40, 322–326. [Google Scholar] [CrossRef]
- Schrödinger, E. Quantization as an eigenvalue problem. Ann. Phys. 1926, 384, 273. [Google Scholar]
- Roberts, M.J. The transfer of angular momentum to atoms by electron impact at large linear momentum transfers. J. Phys. B Atom. Mol. Phys. 1977, 10, L105. [Google Scholar] [CrossRef]
- Dollard, J.D. Quantum-Mechanical Scattering Theory for Short-Range and Coulomb Interactions. Rocky Mt. J. Math. 1971, 1, 5–88. [Google Scholar] [CrossRef]
- Macek, J.H. Vortices in Atomic Processes. In Dynamical Processes in Atomic and Molecular Physics; Ogurtsov, G., Dowek, D., Eds.; Bentham Books: Sharjah, United Arab Emirates, 2012; pp. 3–28. [Google Scholar]
- Navarrete, F.; Feole, M.; Barrachina, R.O.; Kövér, Á. When vortices and cusps meet. In Proceedings of the 17th International Conference on the Physics of Highly Charged Ions, San Carlos de Bariloche, Argentina, 31 August–5 September 2014; IOP Publishing: Bristol, UK, 2015; Volume 583, p. 012026. [Google Scholar]
Disclaimer/Publisher’s Note: The statements, opinions and data contained in all publications are solely those of the individual author(s) and contributor(s) and not of MDPI and/or the editor(s). MDPI and/or the editor(s) disclaim responsibility for any injury to people or property resulting from any ideas, methods, instructions or products referred to in the content. |
© 2025 by the authors. Licensee MDPI, Basel, Switzerland. This article is an open access article distributed under the terms and conditions of the Creative Commons Attribution (CC BY) license (https://creativecommons.org/licenses/by/4.0/).


