Abstract
This work deals with the key constituent behind the existence of superfluid states in ultracold fermionic gases confined in a harmonic trap in 2D, namely, the formation of Cooper pairs in the presence of a Fermi sea in inhomogeneous confinement. For a set of finite-range models representing particle–particle interaction, we first ascertain the simultaneity of the emergence of bound states and the divergence of the s-wave scattering length in 2D as a function of the interaction potential parameters in free space. Then, through the analysis of two particles interacting in 2D harmonic confinement, we evaluate the energy shift with respect to the discrete harmonic oscillator levels for both repulsive and attractive cases. All of these results are the basis for determining the energy gaps of Cooper pairs arising from two particles interacting in the presence of a Fermi sea consisting of particles immersed in a 2D harmonic trap.
1. Introduction
The discovery of high-temperature superconductors revealed, among other essential attributes, that Cooper pairs move in layered structures subsequently subjected to inter-layer pair tunneling. Certainly, until now, the mechanism responsible for pair formation in two dimensions is unknown [1,2,3,4,5,6,7]. The key aspect, however, is the role played by particle–particle interactions, which are the elemental blocks of the many-body superconducting state. While weakly attractive interactions lead to the formation of Cooper pairs in conventional superconductivity or in atomic Fermi gases, strongly attractive particle–particle interactions are the precursors of a superfluid gas composed of diatomic molecules. Still, the agent behind pair condensation in fewer dimensions remains incompletely understood [8,9,10].
Neutral quantum fluids have been experimentally tested in both homogeneous and inhomogeneous space [8,11,12]. Besides the impact that these sophisticated techniques have had on setting ultracold platforms, such as their applications in quantum computing, precision measurements for atomic clocks, the capability of preparing large atomic conglomerates in the degeneracy regime, and the possibility of attaining submicron optical resolution, the investigation of quantum fluids has provided a guide to a deeper understanding of new phases of matter in systems directly analogous to condensed matter phenomena. In particular, Fermi gases trapped in a box potential in 2D have been used to measure the density of a non-interacting gas as a function of the chemical potential. Because of inhomogeneous confinement, the formation of pairs circumvents the Mermin–Wagner theorem that forbids long-range order in homogeneous space in dimensions equal to or lower than two. As a matter of fact, almost ten years ago, the condensation of fermionic pairs was achieved in a quasi-2D ultracold 6Li gas [8]. The BKT mechanism must be behind the emergence of this superfluid phase at low temperatures [13,14,15,16].
On the other hand, and as is widely known, ultracold atom platforms offer the possibility of exploring phase transitions and, in general, a variety of phenomena belonging to the condensed matter realm. In this regard, in close connection with the nature of the superconducting transition, there materializes the crossover between a Bardeen–Cooper–Schrieffer (BCS) atomic state to a molecular Bose–Einstein condensate (BEC), which has been experimentally tested by externally tuning the effective interaction between neutral atoms [17,18,19,20,21,22,23,24]. These macroscopic states emerge in a spatially inhomogeneous fashion due to their 3D harmonic confinement, usually present in current experiments. This inhomogeneity in three dimensions is the starting point to set arrangements in lower dimensions. These configurations can be accessed by freezing atomic movement, either in one or two dimensions, through a tight confinement in the directions where one desires to arrest motion. This is routinely performed in ultracold fluids [25,26]. In such a scenario, the two-body collision process is greatly modified [25,26,27,28,29,30,31].
All of the phenomena and factors described in the above paragraphs lead to the problem addressed herein. In this article, we investigate the formation of pairs of particles in the presence of a Fermi sea [12] confined in a 2D harmonic trap and for a variety of short-range interatomic potentials. That is, the interacting particles, as well as the other non-interacting ones composing the quiescent Fermi sphere, are immersed in a 2D isotropic harmonic trap. Generally, the interaction is described in terms of a finite-range potential that depends on two parameters, the depth V0 and the potential range b. Based on the knowledge that in three dimensions, divergences of the s-wave scattering length a3D → ±∞ precede the formation of bound states [32,33], we first analyze the relationship between the divergence of the s-wave scattering length a2D in 2D and the emergence of bound states for the studied potentials. Having established this relevant coincidence, our study moves on to elucidating the formation of Cooper pairs harmonically trapped in 2D. For this purpose, we proceed to determine, in a perturbative fashion, the energy shift of two interacting particles in the presence of a harmonic confinement. Then, following the line of thought of L. Cooper [34,35] in describing paired particles on the surface of a Fermi sphere, we focus on an analogous study of the change in energy of two interacting particles, this time above the energy surface of an inhomogeneous quiescent Fermi sea.
The interaction between particles is modeled by five different finite-range potentials that show representative features of typical atomic interactions. These models are hard-disk, exponential, Gaussian, Yukawa, and Pöschl–Teller potentials. Some of them constitute a proper description of physical situations. For instance, the effective induced interactions between pairs of a BEC with impurities are represented using a Yukawa-like interaction [36]. In contrast, pairs formed from mixtures of 6Li atoms can be well described by standard zero-range interactions [8,31,37]. The investigation reported herein, besides addressing the long-standing examination of Cooper pair formation in 2D, contributes to the experimental counterpart of the BEC-BCS transition in ultracold gases confined in reduced dimensions in the sense that our work provides a reference for the Cooper pair energy of a collection of interatomic potentials which share similar features to those of the actual potentials of alkaline atoms.
This article is organized as follows. In Section 2, we first analyze both scattered and bound states in free homogeneous space. This is performed by adopting a previously introduced expression for the s-wave scattering length a2D in two dimensions [38], and, based on the exact results for the hard-disk potential, we systematically analyze the behavior of a2D and the concomitant emergence of a bound state in the free homogeneous space. Then, in Section 3, we study the energy shift of two particles interacting in the presence of a 2D harmonic confinement. Section 4 is dedicated to determining the energy gap of paired particles within the thermodynamic limit. We conclude with some final remarks.
2. Atoms Interacting at Low Energy in Two Dimensions
We start by briefly revisiting the Schrödinger equation for two particles of mass m interacting through a model potential V (|r1 − r2|) in the homogeneous space in two dimensions. In the relative coordinate r = r1 − r2, one has
where μ = m/2 is the reduced mass, and ∇2r is the Laplacian operator in two dimensions. The finite-range potentials considered in the present investigation are a hard-disk VHD(r), typically used as a first approach to model interatomic interactions [21], a purely decaying exponential VEP(r), a classic nuclear model [39], the Gaussian potential VGP(r), the Yukawa potential VYP(r) representing an effective particle–particle interaction [36,40], and a Pöschl–Teller potential VPTP(r), a common atomic interaction connecting the hard-disk and the harmonic potentials [41,42,43], but for simplicity in our calculations, we assume it to be constant at short distances. These potentials are given by the following expressions:
As can be seen from these expressions, V(r) depends on two parameters, the range b and the amplitude V0; that is, V(r) = V(r; b, V0).
When the energy E of the interacting particles takes positive (negative) values, one has scattered (bound) states as a function of the parameters b and V0. Separation in polar coordinates leads us to write down the solution in terms of the radial equation times the angular one, as follows:
where Rkl satisfies the radial equation. The subscripts k and l are associated with the energy E = ħ2k2/2μ and the angular momentum of the relative particle l = 0, 1, 2, …. There are two cases that must be separately addressed: the scattering and bound states.
2.1. Scattering States
The analysis of the states associated with E > 0 and the general solution
can be reviewed in several textbooks; however, a brief comment regarding the phase shifts appearing in the scattering amplitude is in order. Although there is no ambiguity in the expression that relates the scattering amplitude in two dimensions f(θ) and the phase shifts δl associated with partial waves, with
where εl = 1 if l = 0 and εl = 2 if l ≠ 0, there is uncertainty in the identification or the appropriate definition of the s-wave scattering length with respect to the three-dimensional case. As is well known, this quantity is associated with the l = 0 partial wave, which is the dominant contribution to the scattering amplitude for short-range potentials. While in the three-dimensional scenario the sign of the s-wave scattering length a3D allows us to discern if the interaction is attractive (a3D < 0) or repulsive (a3D > 0), as well as recognizing the emergence of a bound state (when a → ±∞), in the two-dimensional case it is not possible because the associated quantity a2D remains with the sign unchanged irrespective of the values of V0 and b. For the Euclidean space, there is no consensus or a universal definition of the s-wave scattering length in two dimensions. Indeed, within the Green functions formalism, some definitions have been adopted for specific interaction potentials [38]. It is worth commenting here that although a2D is always positive, it shows finite and divergent behavior, thus in turn allowing us to identify the appearance of bound states.
In this article, we shall adopt a particular definition for a2D to determine its behavior as a function of the parameters V0 and b for the finite-range potentials considered in our investigation. This definition reads as [38]
where γ is the Euler–Mascheroni constant, and is the solution to the radial equation in the asymptotic region. After solving the equation for ), associated with each model potential, the 2D s-wave scattering length a2D is obtained. It is worth mentioning that besides ensuring the accuracy of the numerical method, instabilities in the numerical solution can be controlled by adjusting the behavior at the origin by means of an additional parameter, as shown in previous studies1 [38]. In the top panels of Figure 1 (see Figure 1a–e), we plot a2D in a density color scheme as a function of both the potential amplitude V0, and the range b. It is worth mentioning that although a2D is plotted for positives values of V0, namely for potentials representing an attractive interaction, one confirms that an evaluation of a2D gives positive values only when disregarding the sign of V0. In this region, a2D is such that for a given value of V0 (b), it grows (decreases) as a function of b (V0). In other words, a2D exhibits monotonic behavior as a function of both V0 and b. It is important to mention that the scales for energy and length adopted in these density plot diagrams correspond to the Fermi energy εF and the inverse of the Fermi wave vector kF, respectively. Although in this section we are dealing with a two-body problem, the election of scales is justified in light of the analysis associated with Cooper pair formation, which is the aim of the present work. One can appreciate from Figure 1 (top panels) that several divergences appear for certain values of V0 and b. In the next subsection, we shall explore the relationship between the divergences appearing in a2D against the emergence of bound states.
Figure 1.
Upper panels: (a–e) correspond to s-wave scattering length in 2D for the model potentials in Equations (3)–(6). Bottom panels: (f–j) are for the bound-state energy Eb. The range and potential depth are scaled with respect to Fermi energy εF and the inverse of the Fermi wave vector kF. The red curves superimposed on the density color scheme of Eb correspond to the divergences of a2D.
2.2. Bound States
The hard-disk potential defined in Equation (2) will be used as the starting point to further determine the energy of the bound states for the potentials in Equations (3)–(6) as a function of the parameters V0 and b. The radial equation for potential (2) is as follows:
where the energy E in Equation (1) has been replaced by Eb, which identifies the energy of a bound state, and the angular momentum has been considered equal to zero l = 0. A closed expression for Eb in terms of the parameters V0 and b is obtained after imposing continuity in both the wave function and its derivative at the frontier where the potential depth abruptly changes from V0 to 0:
where H0(x) and J0(x) are the zero-order Hankel functions of the first kind, respectively, and κ2 = 2μ(V0 − |Eb|)/ħ2 and kb2 = 2μ|Eb|/ħ2. After some algebra, one finds |Eb| as follows:
where αb is equal to the left side of Equation (12). Since in the present analysis the potential models considered are short-range, the condition expressed in Equation (12) for the disk potential can be generalized to other cases by changing the exact solutions, namely Bessel functions and its derivatives, to their numerical counterparts. This assumption relies upon the fact that beyond the range b, the potential becomes negligible, and therefore, the free particle behavior must be recovered. It is worth stressing here that, unlike the other models, for the hard-disk potential, the boundary at which the function and its derivative are evaluated, namely the range b, coincides with the place at which the potential becomes null.
In the bottom panels of Figure 1, we plot (see Figure 1f–j) the curves associated with the bound states of the potentials in Equations (3)–(6). The blue color scheme indicates the value of Eb as a function of V0 and b. It is important to point out that instead of thin regions, such as in the light blue curves that appear in the case of the hard-disk potential, there are thick curves for the other potentials. This occurs because the value of Eb depends on the specific potential model, and Eb = 2εF does not necessarily match this value. As expected, arbitrarily small values of V0 for large enough ranges are compatible with the presence of bound states, and vice versa, small values of b produce bound states as V0 is non-zero. This is also observed in the bottom panels of Figure 1 where red curves are superimposed on the density color scheme of Eb. These curves correspond to the divergences found for a2D. Several observations can be made. Starting with the hard-disk potential, which is the reference, it is noted that there is exact numerical correspondence among the values of the couple (b, V0) at which divergences of a2D appear and the bound state Eb emerges. In other words, every branch signaling a bound state (light blue curves in Figure 1f) coincides with the arrival of a2D → ∞ (red curves). Regarding the other potentials, one can conclude that the expression used to determine a2D (Equation (10)) is an appropriate one since, despite a shift, every branch indicating Eb follows the same behavior as the red curves signaling a2D → ∞. Also, one can notice that every bound state is preceded by the divergence of the s-wave scattering length. It is certainly true that not every divergence in a2D accompanies the emergence of a bound state. Perhaps, the mismatch between the divergences of the scattering length and the emergence of bound states can be attributed to the application of the equation for bound states to all of the model potentials. While this equation is the exact solution for the hard-disk model, it is an approximation for the other models.
3. Two Interacting Particles in a Harmonic Potential
In this section, we study the energy spectrum of two particles harmonically trapped, whose interaction is modeled by the potentials given in Equations (2)–(6). We shall analyze both V0 > 0 and V0 < 0 cases. It is worth pointing out that in the experiments the interaction strength can be tuned by adiabatically changing the magnetic field. In the present case, V0, the potential amplitude, represents the effective interaction strength. To analyze the variation in energy in the presence of the harmonic trap, we proceed as in Ref. [44] where the interacting potential is treated as a perturbation. We recall that the 2D confinement arises as a result of a strongly anisotropic confinement in which the degrees of freedom in one spatial direction are frozen. Typical realizations of quasi-2D ultracold gases are such that frequencies in the axial and radial directions have aspect ratios around ωz/ωr ≈ 100 [11,13,44,45,46,47,48]. The starting point is the Hamiltonian of the two-particle system in the presence of a 2D harmonic potential of frequency ω:
where ∇⊥i indicates the Laplacian in two dimensions, and λ is a perturbative parameter. For the center of mass of a particle of mass M = m1 + m2 = 2m, the full energy spectrum is well known. Henceforth, we shall neglect the center of mass’s contribution since it changes the energy in a global shift. As is well known, the ideal part associated with the relative coordinate has the known solution of the harmonic oscillator with a mass μ = m/2. In polar coordinates, the energy is written in terms of two quantum numbers i and j, as εij = hω(2i + |j| + 1). When the angular momentum is zero, j = 0, and the wave function is φi(r) = Li (μω/ħ r2) exp(-μω/(2ħ) r2), where Li(r) is the Legendre polynomials of degree i. The Schrödinger equation for relative motion, including the interacting term, is
where the wave function Ψ(r) is written as a superposition of the ideal wave function φi(r), Ψ(r) = Σi∞ci φi(r). After substituting this expansion into Equation (15), projecting it over the state φi′(r), and integrating it, we arrive at the secular equation for the coefficient ci [44]:
The matrix elements needed to evaluate the coefficient ci, Ii,i′ (β) = ∫d2r φi′ (r) Vmodel(r) φi (r), have a closed expression in a couple of cases, but for the other potentials these matrix elements must be determined numerically. These elements are
where r = σ and the potential range b = σβ has been expressed in terms of the natural oscillator length σ = ħ/μω to enable us to write the matrix elements in their dimensionless form. It must be noted that in [44], it is considered i′ = 0. For our calculations, we proceed in the same way.
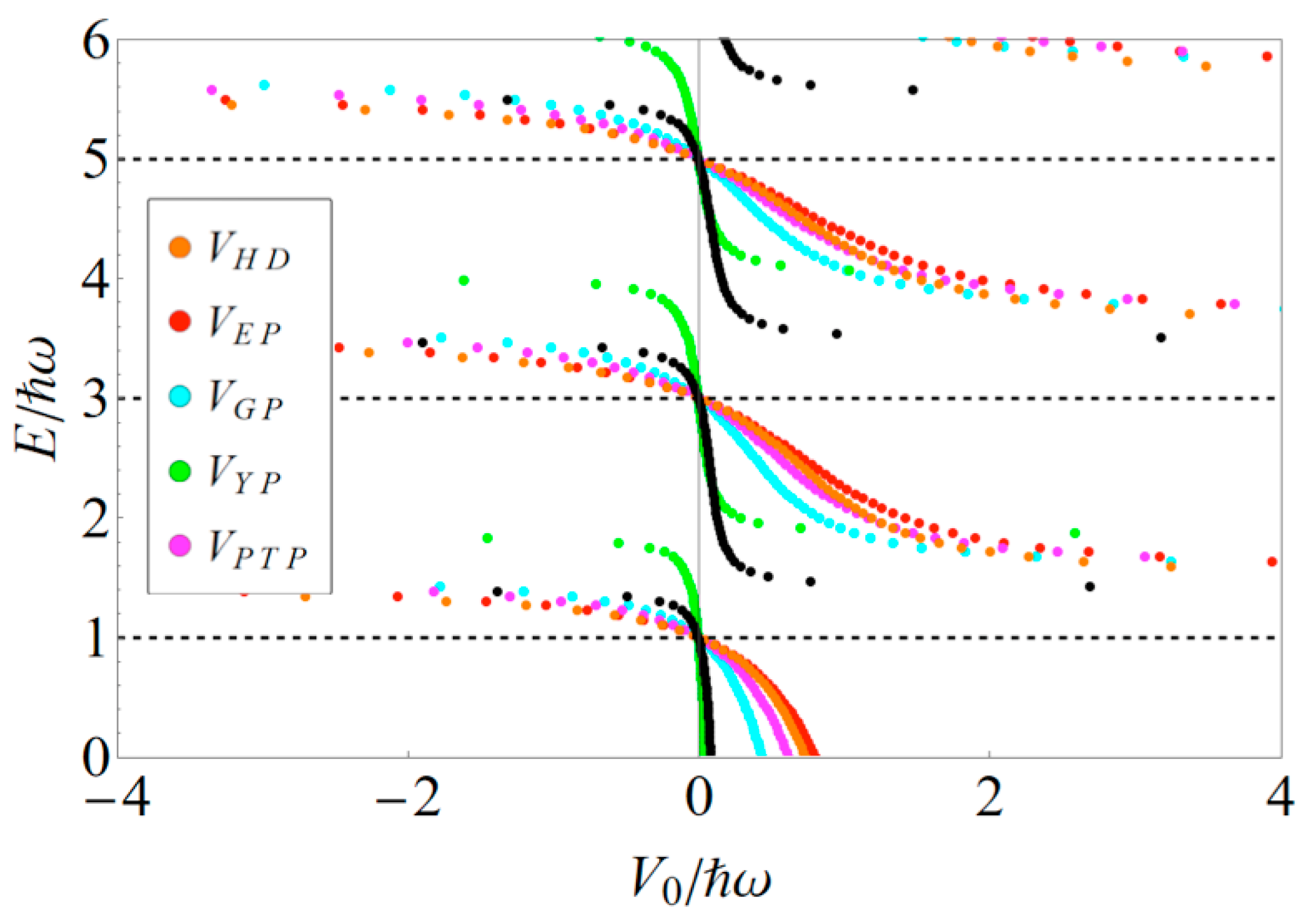
In Figure 2, we plot the first three energies in the center-of-mass frame of the energy spectrum as a function of the potential depth V0. Different colors identify the interaction potentials analyzed. For comparison purposes, we have included the contact potential labeled with black dots. Note that the energy shift in the case of the Gaussian potential has been previously studied in [44]. We have maintained the same value for the range to properly compare the results with the other potentials considered. Excluding the Yukawa potential for which the dimensionless range is set as β = 0.4, all of the other cases correspond to β = 0.1. Also, we must point out that although all of the curves in Figure 2 correspond to λ = 1, the same results are obtained for λ ≤ 1.
Figure 2.
The first three energies in the center-of-mass frame of the energy spectrum of two particles interacting through the model potentials in Equations (3)–(6). Except for the Yukawa potential, the curves correspond to a dimensionless range β = 0.1, while β = 0.4 for the Yukawa potential. Black dots are associated to contact interaction potential.
As expected, Figure 2 reveals the intrinsic nature of the harmonic confinement. Even for positive values of V0, the energy is distributed across discrete levels. One realizes however that interaction gives rise to an energy shift when V0 ≠ 0 with respect to the discrete levels associated with the non-interacting case. While positive values of V0 > 0 result in a decrease in energy, negative values of V0 lead to an increase in energy. In other words, for an effectively attractive (repulsive) interaction, the two-particle energy is reduced (increased). One notices that, excluding the Yukawa potential, in all of the other cases, the energies are bounded by the contact interaction potential (black dots). Remarkably, for the Yukawa potential (green dots), the energy changes abruptly as V0 ≠ 0 and then reaches a constant value for both sides, V0 > 0 and V0 < 0.
4. Cooper Pairs in a Harmonic Trap
To study the formation of pairs in the presence of an ideal degenerate Fermi gas harmonically trapped, we proceed following the same reasoning as in the original Cooper formulation [34]. The aim is to evaluate the energy gap for each model representing two-particle interactions in the presence of a quiescent Fermi sea. For this purpose, we start by considering the Schrödinger equation of two interacting particles harmonically trapped:
where HR and Hr correspond to the Hamiltonian center of mass and relative coordinates for particles of mass M = 2m and μ = m/2 in a harmonic oscillator, respectively. For the two-particle wave function, we propose
where Φ(,) is the product of the wave functions associated with the harmonic oscillator wave functions in polar coordinates for the center of mass and relative coordinates;
with the normalization factor given by
which is the confluent hypergeometric function. After projecting this over the state Φ(, I′, J′; , i, j) and integrating it over the 2D space, one arrives at the equation
where we have restricted the analysis to the case j = 0. The prime in the sum indicates that the sum has to be restricted to the allowed states, that is values of i associated with a pair of atoms interacting in the presence of a quiescent Fermi sea, and that εR = ħω(2I + |J| + 1) and εr = ħω(2i + |j| + 1). In accordance with the restriction in the sum, the states must have energies E = εF − ∆, with ∆ > 0, and εF is the Fermi energy associated with the 2D harmonic trap, where εF = ħω. The non-trivial solution Ψ(,) ≠ 0 leads to the following:
where the prime indicates that the sum is restricted to quantum numbers associated with the Fermi level. To determine ∆, the sum must be calculated within the thermodynamic limit, that is N → ∞ and ω → 0 such that Nω2 remains constant [49,50]. Then, the sum must be replaced by an integral with a proper density of states which adopts the following form for a 2D isotropic harmonic trap:
After straightforward calculations, one finds the final expression for the energy gap:
where δ is the very short energy interval around εF, and Mi,i′ (β) is identified from the elements Ii,i′ (β) in the previous section as Ii,i′ (β) = −2V0Mi,i′ (β).
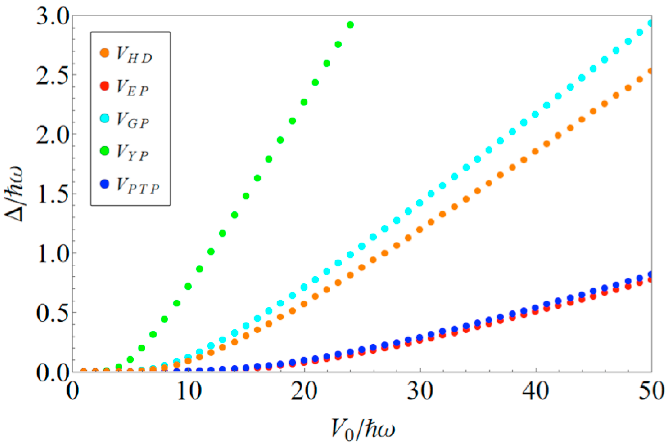
In Figure 3, we illustrate the behavior of the energy gap that appears as Cooper pairs are formed for the studied interaction potentials. The interaction range used in the case of the Yukawa interaction is β = 0.4, while β = 0.1 for all of the other potentials. We have considered positive values of V0 since, as concluded in the previous section, this election leads to diminish the pair’s energy and thus enables pair formation. As before, V0 is scaled with respect to the oscillator harmonic energy. For all of the interaction potentials analyzed, one observes that, starting from a particular value V0, ∆ acquires a finite value. In other words, an energy gap emerges as the interaction between two particles is tuned to be attractive, which is precisely the signature of Cooper pair formation. These findings agree with the results found in the previous section, where all of the model potentials lead to pair formation in non-homogeneous media. It is observed that the energy gap in the case of the Yukawa interaction exhibits the largest energy gap as V0 > 0. This result suggests that the Yukawa interaction represents the finest model to describe Fermi sea instability in inhomogeneous 2D systems. It is worth mentioning here that the phonon-mediated interaction between electrons in the original BCS theory has the form of a Coulomb interaction screened by an exponential term. Interestingly, a qualitative agreement between the energy gap and the potential depth in 2D (see Figure 3) and those found in 3D, also associated with finite-range potentials [50], can be clearly observed. The energy gap grows as a function of the potential depth.
Figure 3.
The energy gap of two particles above the Fermi sea confined in a harmonic potential. Each color identifies a model interaction potential in Equations (3)–(6). The interaction range considered for each potential is the same as that in Figure 2. The number of particles in the Fermi sea is N = 5000.
5. Conclusions
In this article, we analyzed the formation of Cooper pairs in the presence of a harmonic confinement in 2D. Our study considered a collection of model potentials representing the interaction between pairs of particles, with these potentials depending on two parameters, an amplitude and a finite range, V (r) = Vmodel(r; V0, b). The route followed in our investigation is described in the next paragraphs.
Based on the BEC-BCS crossover problem in homogeneous space, where the divergence of the 3D s-wave scattering length a3D signals the appearance of a bound state, we first analyzed the behavior of the 2D scattering length a2D against the arrival of the bound states of a system composed of two interacting particles in the free homogeneous space. By adopting a particular definition for a2D, we numerically determined both the behavior of a2D and the advent of bound states Eb as a function of the potential parameters. We reached the conclusion that the emergence of a bound state is always accompanied by the divergence of a2D. Importantly, disregarding the sign of the potential amplitude V0, a2D takes positive values only. After confirming the matching between the divergence of a2D and the existence of a bound state, we focused on the energy shift that arises when a pair of interacting particles are situated in a 2D isotropic harmonic confinement. We found that effectively attractive (repulsive) model potentials, that is potential amplitudes V0 > 0 (V0 < 0), lead to a decreasing (increasing) value in pair energy. We verified that within the limit of the potential range moving toward zero (b → 0), the results of the contact interaction potential, namely the zero range, were recovered.
Following the original scheme of L. Cooper to describe pairs of fermions, we concentrated on the study of pair formation in the presence of a quiescent Fermi sea composed of harmonically trapped particles in 2D. Based on the results found for the energy shift for the two-particle system, without the presence of the Fermi sea, we proceeded to evaluate the energy gap within the thermodynamic limit. We recognized the presence of an energy gap starting from certain values of the potential depth V0, with such a value depending on the particular potential. Notably, the Yukawa interaction was revealed to be the model potential for which Cooper pairs emerge for the lowest potential depth. This result is analogous to the one posed in the BCS theory where the effective interaction between electrons is mediated by the phonons of the lattice and represented by a Coulomb screened interaction through an exponential term.
As a final observation, we should stress that the knowledge gained in setting the experimental platforms of ultracold neutral atoms has opened diverse routes, not just within pure or basic science, such as the problem addressed here, but also in a broad context devoted to technological applications.
Author Contributions
Conceptualization and methodology, R.P.; formal analysis, R.P. and E.M.P.-R. All authors have read and agreed to the published version of the manuscript.
Funding
This work was partially funded by grant no. IN117623 from DGAPA (UNAM). EMPR acknowledges a DGAPA-PAPIIT grant.
Data Availability Statement
The data are available upon request to the corresponding author.
Conflicts of Interest
The authors declare no conflicts of interest.
Note
| 1 | An auxiliar parameter δ is used to determine the s-wave scattering length a2D = a 2D(V0,b,δ). This parameter is related with the behavior of the radial function at the origin. In our calculations we use δ = 1 × 10−12. |
References
- Sachdev, S.; Wang, Z. Paring in two dimensions: A systematic approach. Phys. Rev. B 1991, 43, 10229. [Google Scholar] [CrossRef]
- Chaudhury, R.; Gangopadhyay, D. Interacting fermions, scaling and possible departure from Fermi Liquid behavior. Mod. Phys. Lett. 1995, 9, 1657. [Google Scholar] [CrossRef]
- Randeria, M.; Duan, J.M.; Shieh, L.Y. Evolution from Cooper paring to Bose condensation. Phys. Rev. B 1990, 41, 327. [Google Scholar] [CrossRef]
- Pogosov, W.V.; Combescot, M.; Crouzeix, M. Two-Cooper-pair problem and the Pauli exclusion principle. Phys. Rev. B 2010, 81, 174514. [Google Scholar] [CrossRef]
- Scheurer, M.S.; Agterberg, D.F.; Schmalian, J. Selection rules for Cooper pairing in two-dimensional interfaces and sheets. npj Quantum Mater. 2017, 2, 9. [Google Scholar] [CrossRef]
- Ginzburg, V.L. High-temperature superconductivity: Its possible mechanisms. Phys. C Supercond. 1993, 209, 1. [Google Scholar] [CrossRef]
- Soumyadipta, P. Paring in two dimensions and possible consequences for superconductivity: Extension of Cooper’s approach. J. Phys. Commun. 2017, 1, 055029. [Google Scholar]
- Ries, M.G.; Wenz, A.N.; Zürn, G.; Bayha, L.; Boettcher, I.; Kedar, D.; Murthy, P.A.; Neidig, M.; Lompe, T.; Jochim, S. Observation of pair condensation in the quasi-2D BEC-BCS crossover. Phys. Rev. Lett. 2015, 114, 230401. [Google Scholar] [CrossRef]
- Chen, Q.; Wang, Z.; Boyack, R.; Levin, K. When superconductivity crosses over: From BCS to BEC. Rev. Mod. Phys. 2024, 96, 025002. [Google Scholar] [CrossRef]
- Nakagawa, Y.; Kasahara, Y.; Nomoto, T.; Arita, R.; Nojima, T.; Iwasa, Y. Gate-controlled BCS-BEC crossover in a two-dimensional superconductor. Science 2021, 372, 190. [Google Scholar] [CrossRef]
- Hueck, K.; Luick, N.; Sobirey, L.; Siegl, J.; Lompe, T.; Moritz, H. Two-dimensional homogeneous Fermi gases. Phys. Rev. Lett. 2018, 120, 060402. [Google Scholar] [CrossRef] [PubMed]
- Holten, M.; Bayha, L.; Subramanian, K.; Brandstetter, S.; Heintze, C.; Lunt, P.; Preiss, P.M.; Jochim, S. Observation of Cooper pairs in a mesoscopic two-dimensional Fermi gas. Nature 2022, 606, 287. [Google Scholar] [CrossRef] [PubMed]
- Hadzibabic, Z.Z.; Krüger, P.; Cheneau, M.; Battelier, B.; Dalibard, J. Berezinkii-Kosterlitz-Thouless crossover in a trapped atomic gas. Nature 2006, 441, 1118. [Google Scholar] [CrossRef]
- Krüger, P.; Hadzibabic, Z.; Dalibard, J. Critical point of an interacting two-dimensional atomic Bose gas. Phys. Rev. Lett. 2007, 99, 040402. [Google Scholar] [CrossRef]
- Sunami, S.; Singh, V.P.; Garrick, D.; Beregi, A.; Barker, A.J.; Luksch, K.; Bentine, E.; Mathey, L.; Foot, C.J. Observation of the Berezinskii-Kosterlitz-Thouless transition in a two-dimensional Bose gas via matter-wave interferometry. Phys. Rev. Lett. 2022, 128, 250402. [Google Scholar] [CrossRef]
- Fletcher, R.J.; Robert-de-Saint-Vincent, M.; Man, J.; Navon, N.; Smith, R.P.; Viebahn, K.G.H.; Hadzibabic, Z. Connecting Berezinskii-Kosterlitz-Thouless and BEC phase transitions by tuning interactions in a trapped gas. Phys. Rev. Lett. 2015, 114, 255302. [Google Scholar] [CrossRef] [PubMed]
- Regal, C.A.; Greiner, M.; Jin, D.S. Observation of resonance condensation of fermionic atom pairs. Phys. Rev. Lett. 2004, 92, 040403. [Google Scholar] [CrossRef] [PubMed]
- Engelbrecht, J.R.; Randeria, M.; de Melo, C.A.R.S. BCS to BEC crossover: Broken-symmetry state. Phys. Rev. B 1997, 55, 15153. [Google Scholar] [CrossRef]
- Ohashi, Y.; Griffin, A. BCS-BEC Crossover in a Gas of Fermi Atoms with a Feshbach Resonance. Phys. Rev. Lett. 2002, 89, 130402. [Google Scholar] [CrossRef] [PubMed]
- Giorgini, S.; Pitaevskii, L.P.; Stringari, S. Theory of ultracold atomic Fermi gases. Rev. Mod. Phys. 2008, 80, 1215. [Google Scholar] [CrossRef]
- Ketterle, W.; Zwierlein, M.W. Ultracold Fermi gases. Riv. Nuovo C. 2008, 164, 95. [Google Scholar]
- Chin, C.; Grimm, R.; Julienne, P.; Tiesinga, E. Feshbach resonances in ultracold gases. Rev. Mod. Phys. 2010, 82, 1225. [Google Scholar] [CrossRef]
- Musolino, S.; Chiofalo, M.L. Correlation length and universality in the BCS-BEC crossover for energy-dependent resonance superfluidity. Eur. Phys. J. Spec. Top. 2017, 226, 2793. [Google Scholar] [CrossRef]
- Strinati, G.C.; Pieri, P.; Roepke, G.; Schuck, P.; Urban, M. The BCS-BEC crossover: From ultra-cold Fermi gases to nuclear systems. Phys. Rep. 2018, 738, 1–76. [Google Scholar] [CrossRef]
- Posazhennikova, A. Colloquium: Weakly interacting, dilute Bose gases in 2D. Rev. Mod. Phys. 2006, 78, 1111. [Google Scholar] [CrossRef]
- Salasnich, L.; Parola, A.; Reatto, L. Effective wave equations for the dynamics of cigar-shaped and disk-shaped Bose condensates. Phys. Rev. A 2002, 65, 043614. [Google Scholar] [CrossRef]
- Mateo, A.M.; Delgado, V. Effective mean-field equations for the dynamics of cigar-shaped and disk-shaped Bose-Einstein condensates. Phys. Rev. A 2008, 77, 013617. [Google Scholar] [CrossRef]
- Bao, W.; Jaksch, D.; Markowich, P.A. Numerical solution of he Gross-Pitaevskii equation for Bose-Einstein condensation. J. Comput. Phys. 2003, 187, 318. [Google Scholar] [CrossRef]
- Trallero-Giner, C.; Cipolatti, R.; Liew, T.C.H. One-dimensional cubic-quintic Gross-Pitaevskii equation for Bose-Einstein condensates in a trap potential. Eur. Phys. J. D 2013, 67, 143. [Google Scholar] [CrossRef]
- Zamora-Zamora, R.R.; Domínguez-Castro, G.A.; Trallero-Giner, C.; Paredes, R.; Romero-Rochín, V. Validity of Gross-Pitaevskii solutions of harmonically confined BEC gases in reduced dimensions. J. Phys. Comm. 2019, 3, 085003. [Google Scholar] [CrossRef]
- Petrov, D.S.; Holzmann, M.; Shlyapnikov, G.V. Bose-Einstein condensation in quasi-2D trapped gases. Phys. Rev. Lett. 2000, 84, 2551. [Google Scholar] [CrossRef]
- Obeso-Jureidini, J.C.; Romero-Rochín, V. Spatial structure of the pair wave function and the density correlation functions throughout the BEC-BCS crossover. Phys. Rev. A 2020, 101, 033619. [Google Scholar] [CrossRef]
- Obeso-Jureidini, J.C.; Romero-Rochín, V. Density correlation functions and the spatial structure of the two-dimensional BEC-BCS crossover. Phys. Rev. A 2022, 105, 043307. [Google Scholar] [CrossRef]
- Cooper, L.N. Bound electron pairs in a degenerate Fermi gas. Phys. Rev. 1956, 04, 1189. [Google Scholar] [CrossRef]
- Camacho-Guardian, A.; Domínguez-Castro, G.A.; Paredes, R. Bound states and Cooper pairs of molecules in 2D optical lattices bilayer. Ann. Phys. 2016, 528, 580. [Google Scholar] [CrossRef]
- Drescher, M.; Salmhofer, M.; Enss, T. Medium-induced interaction between impurities in a Bose-Einstein condensate. Phys. Rev. A 2023, 107, 063301. [Google Scholar] [CrossRef]
- Martiyanov, K.; Makhalov, V.; Turlapov, A. Observation of a two-dimensional Fermi gas of atoms. Phys. Rev. Lett. 2010, 105, 030404. [Google Scholar] [CrossRef]
- Jeszenszki, P.; Cherny, A.Y.; Brand, J. s-wave scattering length of a Gaussian potential. Phys. Rev. A 2018, 97, 042708. [Google Scholar] [CrossRef]
- Rarita, W.; Present, R.D. On the nuclear two-, three- and four-body problems. Phys. Rev. 1937, 51, 788. [Google Scholar] [CrossRef]
- Rowlinson, J.S. The Yukawa potential. J. Phys. A Stat. Mech. Its Appl. 1989, 156, 15–34. [Google Scholar] [CrossRef]
- Forbes, M.M.; Gandolfi, S.; Gezerlis, A. Resonantly interacting fermions in a box. Phys. Rev. Lett. 2011, 106, 235303. [Google Scholar] [CrossRef]
- Galea, A.; Dawkins, H.; Gandolfi, S.; Gezerlis, A. Diffusion Monte Carlo study of strongly interacting two-dimensional Fermi gases. Phys. Rev. A 2016, 93, 023602. [Google Scholar] [CrossRef]
- Pereira, L.C.; Nascimiento, V.A.d. Dynamics of Bose-Einstein condensates subject to the Poschl-Teller potential through numerical and variational solutions of the Gross-Pitaevskii equation. Materials 2020, 13, 2236. [Google Scholar] [CrossRef]
- Doganov, R.A.; Klaiman, S.; Alon, O.E.; Streltsov, A.I.; Cederbaum, L.S. Two-trapped particles interacting by a finite-range two-body potential in two spatial dimensions. Phys. Rev. A 2013, 87, 033631. [Google Scholar] [CrossRef]
- Hung, C.-L.; Zhang, X.; Gemelke, N.; Chin, C. Observation of scale invariance and universality in two-dimensional Bose gases. Nature 2011, 470, 236. [Google Scholar] [CrossRef] [PubMed]
- Rajagopal, K.K.; Vignolo, P.; Tosi, M.P. Feshbach resonances in a strictly two-dimensional atomic Bose gas. Phys. B Condens. Matter 2004, 353, 59. [Google Scholar] [CrossRef][Green Version]
- Saint-Jalm, R.; Castilho, P.C.M.; Le Cerf, É.; Bakkali-Hassani, B.; Ville, J.-L.; Nascimbene, S.; Beugnon, J.; Dalibard, J. Dynamical symmetry and breathers in a two-dimensional Bose gas. Phys. Rev. X 2019, 9, 021035. [Google Scholar] [CrossRef]
- Romero-Rochín, V. Equation of state of an interacting Bose gas confined by a harmonic trap: The role of the “harmonic” pressure. Phys. Rev. Lett. 2005, 94, 130601. [Google Scholar] [CrossRef] [PubMed]
- Sandoval-Figueroa, N.; Romero-Rochín, V. Thermodynamics of trapped gases: Generalized mechanical variables, equation of state, and heat capacity. Phys. Rev. E 2008, 78, 061129. [Google Scholar] [CrossRef] [PubMed]
- Neri, E.; Caballero-Benítez, S.F.; Romero-Rochín, V.; Paredes, R. Pairing and molecule formation along the BCS-BEC crossover for finite range potentials. Phys. Scr. 2019, 95, 034013. [Google Scholar] [CrossRef]
Disclaimer/Publisher’s Note: The statements, opinions and data contained in all publications are solely those of the individual author(s) and contributor(s) and not of MDPI and/or the editor(s). MDPI and/or the editor(s) disclaim responsibility for any injury to people or property resulting from any ideas, methods, instructions or products referred to in the content. |
© 2025 by the authors. Licensee MDPI, Basel, Switzerland. This article is an open access article distributed under the terms and conditions of the Creative Commons Attribution (CC BY) license (https://creativecommons.org/licenses/by/4.0/).


