Abstract
An extensive study of photoionization from neon excited states was performed. The R-matrix approach was applied to calculate a photoionization cross-section from the metastable and dipole-allowed states. The resonance structures and Cooper minimum accessible in photoionization from the excited states by the photons with energy below 30 eV were analyzed. The parameters of the lowest autoionizing states (AISs) of even parity were extracted by fitting of the photoionization cross-section. For the dipole-allowed states, calculations are presented for unpolarized, linearly and circularly polarized radiation.
1. Introduction
The investigations of photoprocesses from excited states being particularly interesting for studies in non-linear optics, plasma physics and the interpretation of astrophysical data from planet and stellar atmospheres [1] are suppressed by the fact that their relaxation may occur faster than photoionization. Up to recently, there were two frameworks overcoming this obstacle: measuring photoionization of metastable states and pump-probe experiments. Both schemes are restricted in terms of states they may be applied to. The first one because only the lowest atomic states are metastable, and the second one because at least one of the pump-probe fields should be intense, and therefore is supposed to be in the optic region. The extensive review of both the experimental and theoretical research devoted to ionization from excited states is presented in [2]. With the advent of Free Electron Laser facilities (FEL), the available set of states has extended enormously. Due to such sources of high-intensity radiation, the photoionization of excited states can be studied in two-photon resonance ionization.
It was M.Ya. Amusia [3] who pointed out that, opposite to common expectations that with the increase of a shell quantum number photoionization cross-sections would tend to become hydrogen-like, ionization from an excited state may manifest even more characteristic features: “The deviations of many-electron atoms from hydrogen-like ones are still essential even for comparatively high values of the ionised level’s quantum number n for any frequencies in the vicinity of the threshold and far away from it”.
In particular, Cooper minimum [4,5] may appear even in the channel [6] in photoionization cross-sections from excited states, in contrast to the photoionization from ground states [7,8]. The Cooper minimum is one of the most famous among characteristic features, which can be explained in terms of single-electron amplitudes, but its position, form and depth are very sensitive to electron–electron correlations.
Electron–electron correlations are known to be of a great importance for the explanation of characteristic features in photoionization [9,10,11,12,13,14]. They provide a very severe and challenging test for theoretical models. Nowadays, the characteristic features of noble gases have attracted a lot of attention in connection with time-delay studies [15,16,17,18].
Another important characteristic feature of a continuum is autoionizing states [19,20]. In the noble gases, odd-parity AISs with can be photoexcited from the ground state and have been investigated in great detail [21,22,23,24]. AISs with , including the AISs of even parity, are populated in multiphoton processes, probably involving discrete excited states [25,26,27]. A multistep or multiphoton excitation allows reaching a state of any parity and angular momentum, but Cooper minima in this process has another nature [28,29]. From this point of view, the photoionization of prepared or pumped states provides different pieces of information about atomic continuum.
In noble gases, even the lowest discrete states (∼10 eV) may be excited only by VUV radiation. The setup based on the joined action of synchrotron radiation and optic (IR) laser (pump-probe scheme) has been widely used for investigations of the photoionization of excited states to the near-threshold region, including the Rydberg AIS [30,31,32,33]. The ionization of the metastable states of noble gases populated by glow discharge method (optogalvanic spectroscopy) or by electron or ion impact [34] also has been a subject of numerous investigations [35,36,37,38,39,40,41,42]. To describe characteristic features in the photoionization of noble gases from excited states (Cooper minima and Rydberg AIS), different methods were applied: quantum defect theory [43], R-matrix [44], configuration interaction Pauli–Fock with a core polarization method [31,41,45] and MCHF [46].
While the Rydberg AIS of the configuration can be reached via VUV + IR two-photon transition, even-parity AIS with the hole-particle or doubly excited configurations can be reached only via two-photon (resonantly enhanced) ionization by VUV radiation [47,48,49,50]. Before FEL development, these AISs were investigated basically by electron- or ion-impact method [51,52,53].
Since intense photon pulses were obtained with the advent of FELs, and resonance few-photon ionization of atoms and ions of noble gases was observed [54,55,56,57], the problem of obtaining accurate two-photon cross-sections and cross-sections from the excited states in the XUV region has arisen.
Here, we present an extensive study of neon photoionization from excited states. The lowest excited states are metastable (here and after core is omitted for brevity) and the states which can be reached from the ground by dipole excitation (dipole-allowed) . We use the intermediate -coupling scheme, where a core angular momentum is coupled with an electron orbital momentum l to quantum number K, and then intermediate momentum K and electron spin are coupled to total angular momentum J of a system. The cross-sections are obtained by the B-spline R-matrix approach in realization by O.I. Zatsarinny [58,59]. This approach provided a high quality of oscillator strength for neon ground state excitations [60] and excellent agreement for the ionization of potassium excited states [61].
The paper is organized as follows: in Section 2, we present the results obtained within different models for metastable states and compare the models with each other and with available experimental data; in Section 3, we present the results obtained in a few models chosen based on Section 2 and calculated for different field polarizations for dipole-allowed states; and in Section 4, we discuss the parameters of autoionizing structures.
2. PhotoIonization of Metastable and States
The B-spline R-matrix (BSR) approach [58] allows the orbitals of initial and target states, as well as different target states, to be non-orthogonal. With this advantage, wave functions of the initial (excited atomic) and target (ionic) states can be obtained in series of independent MCHF calculations [62]. The approach allows to account for the dependence of the individual one-electron orbitals on states of interest and accurately describe them, keeping configuration expansions compact. The R-matrix approach automatically accounts for electron correlations in the continuum, leading to essential channel interactions.
In a pure -coupling scheme, the allowed ionization channels are:
but due to channel interactions, the weaker channels, including -wave, emerge:
We explore three models with the subsequent Breit–Pauli diagonalization procedure [63] to take into account spin–orbit interaction: the model based on using real orthogonal orbitals (addressed as -model), the model with the use of non-orthogonal virtual orbitals (-model) and the approach combining both real and virtual orbitals (-model). For all of them, different numbers of target ionic states (see Table 1) are considered in the B-spline, bound-state close-coupling calculations. The number of accounted target states was varied: two ()—to include direct photoionization only; six (+ and )—to allow generation of the lowest AISs, either hole-particle or doubly excited; ten (+ and ); and thirteen (+ )—to shift the AIS energies closer to their experimental positions [53,64].
Table 1.
Target states (named by the leading term in LSJ approximation), the leading terms in configuration mixing (in percent) and energies according to NIST database [65]. Core is omitted for brevity.
For the interpolation procedure, we use B-splines of the 8th order. The R-matrix radius is chosen to be 80 a.u. Moreover, we fix grid parameters: a.u. (step size at the origin, from 0 to 1) and a.u. (maximum step size of the grid). These parameters were chosen in such a way that for all of the models the resulting accuracy is enough to correctly reproduce the radial part of the wave functions.
The models have the same set of configuration state functions (CSFs), including the ones with excited core to account the core–valence correlations. The initial states’ CSFs include all possible single and double replacements of , and orbitals with -orbitals; and target states’ CSFs include single and double replacements of , and orbitals to each of the orbitals solely. For example, in the decomposition, there are and configurations, but there is no . In the calculation, we use the energies of target states adjusted to the experimental values [65].
In the -model, the initial and target states are obtained using the same real orbitals: the first set of , and orbitals is optimized on the configuration and frozen for forthcoming calculations, then each of the real – orbitals is optimized on the corresponding configuration with the highest weights in the CSFs set of state, i.e., and orbitals are optimized on configuration and and orbitals on . The main contributions to both metastable states came from
configurations. The main contributions to the target states are presented in Table 1.
In the -model, the CSFs of the initial and target states are optimized independently. Thereof, the orbitals of the leading configuration ( and ) are real; orbitals are correlation pseudo-orbitals, and and orbitals may be real or virtual depending on the state of interest. All orbitals were allowed to vary together. The main contributions to both states came from
configurations. The main contributions to the target states are presented in Table 1. The difference between theoretical and experimental target energies in this model is less than 0.1 eV.
In the -model, we keep all of the orbitals presented in target states leading configurations () as they are obtained in the -model; therefore, they are real and orthogonal. The other () pseudo-orbitals are optimized separately for different targets and non-orthogonal. The initial states are the same as in the -model. The main contributions to the target states are presented in Table 1.
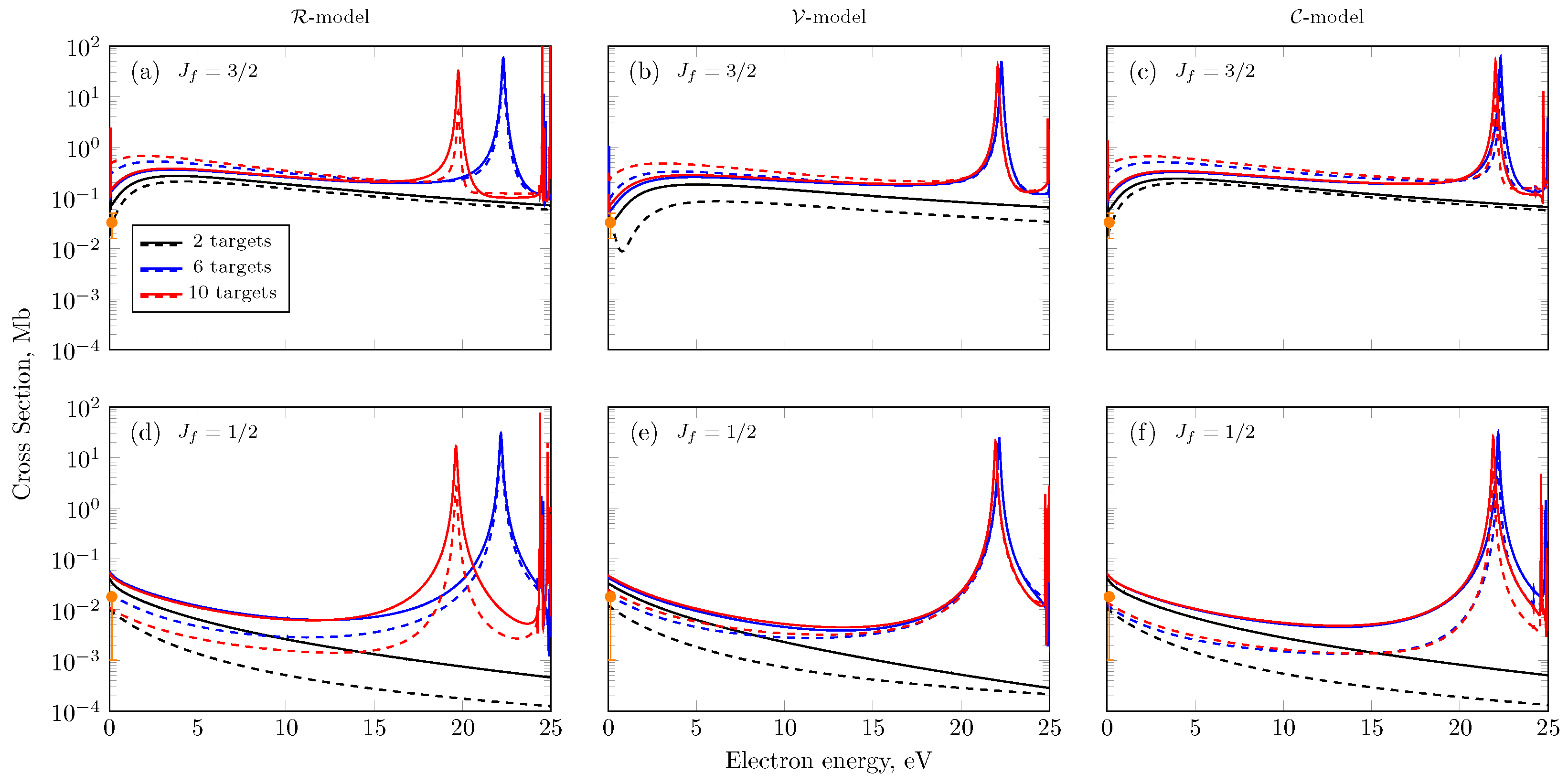
In Figure 1 and Figure 2, cross-sections of photoionization from and metastable states are presented for these three models, with different numbers of target states in length and velocity gauges. The upper row (a,b,c) in Figure 1 and bottom row (d,e,f) in Figure 2 present results for photoionization which is forbidden within the pure -coupling scheme, the bottom row in Figure 1 and upper row in Figure 2 for allowed. In the featureless region (from 3 to 20 eV), cross-sections for allowed ionization are higher than for forbidden one.
Figure 1.
Photoionization cross-section of state of neon to (upper row) and (bottom row). Calculations are performed within - (a,d), - (b,e) and -model (c,f). Solid lines are for calculations in the length gauge and dashed lines in the velocity gauge; different colors mark the number of accounted target states: two (black), six (blue) and ten (red). Experimental data points are taken from [38] and labeled by orange.
Figure 2.
Photoionization cross-section of state of neon to (upper row) and (bottom row). Calculations are performed within - (a,d), - (b,e) and -model (c,f). Solid lines are for calculations in the length gauge and dashed for the velocity gauge; different colors mark the number of accounted targets: two (black), six (blue) and ten (red). Experimental data points are taken from [38] and labeled by orange.
The cross-section of allowed photoionization manifests the Cooper minimum near the threshold; the one of the forbidden photoionization does not. The energy of Cooper minimum is basically determined by the nodes of -orbital. That is the reason why cross-sections in - and -models based on the same -orbitals are alike at low energies. The Cooper minimum is more pronounced in the -model because the wave function of the initial state is more compact when virtual orbitals are included. The more target states are included, the farther Cooper minimum is pushed below the ionization threshold. A further analysis has shown that for larger CSF sets of target states, the Cooper minimum is pushed less. With the exception of the model with the fewest (two) number of target states, Cooper minima are deeper and situated at a little higher energy for calculations in the length gauge.
The resonance structure at ∼22 eV is hole-particle AIS generated on the target; inclusion of the other targets may shift the position of the structure. Their influence depends on how close a target energy is to the -target. Note that only states with total momentum can be excited from the metastable state. The position of the AIS weakly depends on the model and is in accordance with that reported in [53], except for the -model, where the enabling of target states leads to a dramatic jump in the resonance energy position (Figure 1a and Figure 2a, red curves). In the - and -models, these targets slightly (by 0.3 eV) move the resonance position down towards the experimental value. In the -model, it is impossible to match the energy position of and target states, and interference between them is more essential than it is supposed to be in reality. The parameters of the resonance are discussed in Section 4.
As was pointed out in [60], introducing virtual orbitals is necessary to obtain good agreement between length and velocity gauges, and in the considered case, overall agreement is better for the -model, especially for the forbidden photoionization. We checked that the addition of orbitals to the expansion of states in - and -models makes the cross-sections look similar to the ones obtained within the -model (not shown) and pulls the Cooper minimum above the threshold. Nevertheless, it is important to notice that while the -model provides much faster convergence than the - and -models, the last two reproduce near-threshold behavior of angular anisotropy parameter for the forbidden photoionization much better. Among the models with virtual orbitals, the ones including only -type (with ; ) pair-excitations additionally to () single-excitations provide an angular anisotropy parameter similar to the one in [38] and hit the experimental values. The models allowing contributions of single excitations to fail because configuration obtains the highest weight after . However, in the cross-sections, the difference between the use of the two sets of orbitals described above is hardly seen.
The issue is very similar to that recorded for electron scattering involving states: while there are models reproducing angle-integrated data [66], additional actions are needed to reproduce differential parameters [67].
3. Photoionization of Dipole-Allowed States
In this section, we present calculations of photoionization cross-sections from dipole-allowed states, which can be effectively excited by an electromagnetic field. To the best of our knowledge, there are very few updated data for them in the literature [47,50,68]. This data may be useful for the interpretation of experiments involving two-photon (probably two-color) processes at FELs [54,55,56]. One of the advantages of modern FELs and synchrotron facilities is that the generated radiation is polarized. Bearing in mind this possibility, we present here calculations for three cases: both exciting and ionizing fields are unpolarized, linearly polarized in the same direction and circularly polarized with equal helicities. Accounting for the dipole selection rules, the cross-section for unpolarized radiation is , for linearly polarized and for circularly polarized [46,69], where and is the reduced dipole matrix transition amplitude. The cross-sections by unpolarized and polarized radiation do not share spectroscopic features because different channels are involved.
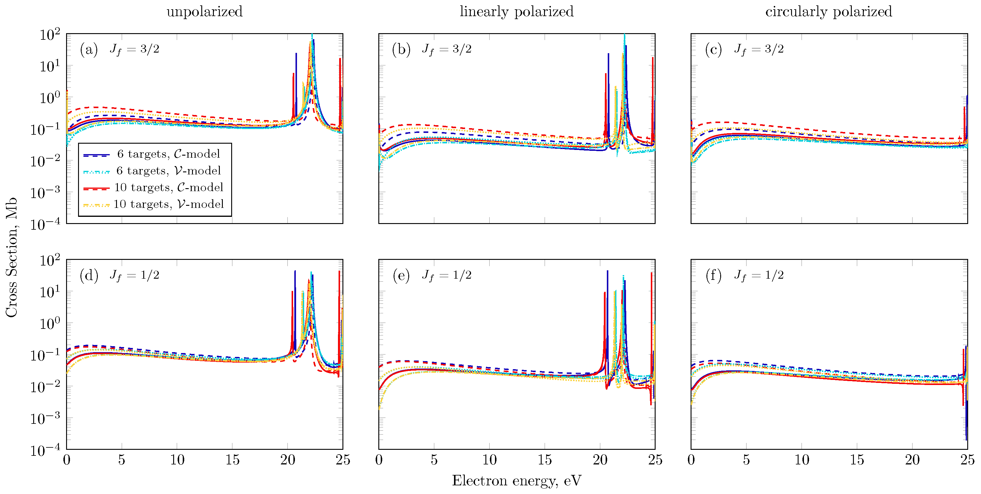
In Figure 3 and Figure 4, we present results for photoionization of and states, correspondingly calculated within the - and -models accounting for six and ten target states. The upper row (a,b,c) in Figure 3 and bottom row (d,e,f) in Figure 4 present allowed photoionization.
Figure 3.
Cross-section calculated within the - (dash-dotted lines correspond to length gauge, dotted lines to velocity gauge) and - (solid lines correspond to length gauge, dashed lines to velocity gauge) models with six (cyan and blue) and ten (orange and red) target states for ionization of state to (upper row) and (bottom row) ionic states for unpolarized (a,d), linearly polarized (b,e) and circularly polarized (c,f) fields.
Figure 4.
Cross-section calculated within the - (dash-dotted lines correspond to length gauge, dotted lines to velocity gauge) and - (solid lines correspond to length gauge, dashed lines to velocity gauge) models with six (cyan and blue) and ten (orange and red) target states for ionization of state to (upper row) and (bottom row) ionic states for unpolarized (a,d), linearly polarized (b,e) and circularly polarized (c,f) fields. Within the -model, orange and cyan lines in panels (d,e,f) practically coincide.
The bottom row (d,e,f) in Figure 3 and upper row (a,b,c) in Figure 4 present forbidden photoionization:
Notice that in the smooth region, “allowed” and “forbidden” photoionization does not differ that much as for the metastable states, because these states are not pure, neither in the -scheme, nor in the one: in the -model and in the -model , which differs from the pure -scheme where the coefficients are .
For the allowed photoionization, the manifestation of the Cooper minimum strongly depends on polarization; in the case of circular polarization where only channels with can contribute, it is placed very close to the threshold (Figure 3c and Figure 4f). In the case of linear polarization, additional allowed channels with shift the Cooper minimum to higher energy (Figure 3b and Figure 4e). Finally, the channels with allowed for unpolarized radiation smear it out (Figure 3a and Figure 4d).
For the forbidden photoionization (Figure 3d–f and Figure 4a–c), general tendencies are quite different from the ones observed for the metastable states (Figure 1a–c and Figure 2d–f). While there is no Cooper minimum in the photoionization of the metastable states and the cross-section drops down from the threshold, in the photoionization of the dipole-allowed states, the cross-section may increase from threshold (Figure 3d–f), indicating that the Cooper minimum has fallen under the threshold or appears above the threshold (Figure 4a–c). In the last case, the Cooper minimum is more pronounced for circularly polarized fields.
Calculations in the velocity gauge are again more sensitive to a model than in the length gauge and more sensitive when it comes to photoionization from than from .
In comparison with the photoionization from the metastable states, the channels with bring up two more autoionizing states: hole-particle AIS and doubly excited AIS visible in case of linearly polarized and unpolarized light (Figure 3 and Figure 4a,b,d,e). For unpolarized fields (Figure 3 and Figure 4a,d), channels with manifest resonance , which dominates over the energy region. The parameters of the AISs are discussed in the next section.
4. The Resonance Structures
There are three lowest resonance structures of even parity: hole-particle resonances generated on target and doubly excited resonance generated on target. Within the -coupling scheme, the R-matrix [58] does not generate the AIS of configuration with on any of the target states .
In Figure 5, there is the region with AISs excited from the metastable and dipole-allowed states by unpolarized fields plotted in a more detailed way for the models with six and ten targets. The AISs’ positions are different due to interchannel interaction. The inclusion of lowers the position of the hole-particle resonances and, following the addition of higher targets, does not change them significantly. The inclusion of lowers the position of the doubly excited resonance and places it in experimental position [64] in -model. The further inclusion of targets (not shown) does not improve the position of the doubly excited state: in the -model, it is pulled 0.3 eV below the experiment, while in the -model, it is by 0.6 eV above. It is found that the lowest AISs of even parity in neon are excited very effectively from the excited states and dominate over direct photoionization in the corresponding energy region.
Figure 5.
Cross-section calculated in the length gauge within the - (dash-dotted lines) and - (solid lines) models with six (cyan and blue) and ten (orange and red) thresholds for ionization of (a,e), (b,f) and (c,g), (d,h) states to (upper row) and to (bottom row) ionic states for unpolarized fields. The arrows mark positions of very narrow resonances where they would appear within the -coupling scheme.
The R-matrix approach does not produce values of energy E, width and Fano profile index q [19], but one can fit a resonance structure and extract these values (see Table 2). All of the resonances are excited very efficiently, whereby transitions and , as a result, the AISs are practically symmetric with huge q-indexes. The large value of q makes the extraction procedure problematic, and in Table 2, we replace by ∞ with the corresponding sign. The particle-hole AISs’ width ratio is close to the ratio of their statistical weights. The Fano index may take different values and signs depending on the state it is excited from, the target state and the polarization of radiation. The latter occurs because different contributions of the channels with different angular momentum J to the cross-sections result in different backgrounds and heights of resonance.
Table 2.
AISs parameters in a model within ten target states: energy position E (eV), width (eV) and Fano profile index q at excitation of different initial states for different polarization.
As for the doubly excited AIS within the -coupling scheme, there is only with eV. Within the -coupling scheme, all of the triplet states are generated with eV separated approximately by 0.15 eV. We checked that the hole-particle resonances are weakly affected by a coupling scheme and that they are just a little broadening ( and 0.079 eV). To the best of our knowledge, there is no experiment able to resolve the fine structure of this AIS and the choice between the - and -coupling schemes for them is insurmountable so far.
5. Conclusions
The photoionization cross-section of the lowest excited states of neon are presented. The R-matrix approach is applied with a variety of different parameters, and the comparison of the usability of real and virtual orbitals is carried out. Results are presented for the metastable states (total angular momentum ) ionized by unpolarized light and for the dipole-allowed states () ionized by the light with the same polarization as those causing their excitation: unpolarized, linearly and circularly polarized. The spectroscopic features such as Cooper minimum, particle-hole and doubly excited autoionizing states are found to appear differently depending on polarization.
It was shown that the model based on virtual orbitals provides much better convergence in terms of length and velocity gauge, as well as in terms of target states involved. It predicts a deeper Cooper minimum placed at higher energy. On the other hand, -model has a tendency to become overcorrelated (unrealistically compact wave functions), which imposes the problem of a correct positioning of the narrow AISs. Based on real orbitals, the -model turns out to be more stable and better reproduces the AIS structures. The hole-particle AISs are found to be much broader than the doubly excited ones.
This work may serve as building blocks for the investigation of multi-photon, probably two-color ionization by VUV radiation.
Author Contributions
M.D.K. is responsible for the -model and M.M.P. for the -, -models. All of the authors took part in discussions of the results and preparing the manuscript. Conceptualization E.V.G. and A.N.G.-G.; investigation, formal analysis M.M.P. and M.D.K.; visualization M.M.P.; resources S.M.B.; writing—original draft preparation E.V.G., M.M.P. and M.D.K.; writing—review and editing M.M.P., M.D.K., S.M.B., E.V.G. and A.N.G.-G.; funding acquisition A.N.G.-G. and S.M.B. All authors have read and agreed to the published version of the manuscript.
Funding
The development of the - and -models and the analysis of the corresponding crosssections’ energy dependencies are supported by the Russian Foundation for Basic Research (RFBR) under project No. 20-52-12023 and by the Ministry of Science and Higher Education of the Russian Federation (grant No. 075-15-2021-1353). The preparation of the -model and analysis of AIS are supported by the Russian Science Foundation (project No. 21-42-04412). The calculations of the photoionization processes are performed using resources of the Shared Services “Data Center of the Far-Eastern Branch of the Russian Academy of Sciences” and supported by the Ministry of Science and Higher Education of the Russian Federation (project No. 0818-2020-0005).
Institutional Review Board Statement
Not applicable.
Informed Consent Statement
Not applicable.
Data Availability Statement
Not applicable.
Acknowledgments
The authors benefited greatly from discussions with Oleg Zatsarinny. The authors are grateful to Jon Grumer for many useful pieces of advice.
Conflicts of Interest
The authors declare no conflict of interests.
References
- Connerade, J. Highly Exited Atoms; Cambridge University Press: Cambridge, UK, 1998. [Google Scholar]
- Baig, M.A. Measurement of Photoionization Cross-Section for the Excited States of Atoms: A Review. Atoms 2022, 10, 39. [Google Scholar] [CrossRef]
- Avdonina, N.B.; Amusia, M.Y. Characteristic features in photoionisation of excited atomic states. J. Phys. B At. Mol. Phys. 1983, 16, L543–L545. [Google Scholar] [CrossRef]
- Cooper, J.W. Interaction of Maxima in the Absorption of Soft X Rays. Phys. Rev. Lett. 1964, 13, 762–764. [Google Scholar] [CrossRef]
- Fano, U.; Cooper, J.W. Spectral Distribution of Atomic Oscillator Strengths. Rev. Mod. Phys. 1968, 40, 441–507. [Google Scholar] [CrossRef]
- Msezane, A.; Manson, S.T. New Minima in Photoionization Cross Section. Phys. Rev. Lett. 1975, 35, 364–366. [Google Scholar] [CrossRef]
- Mamsom, S.T.; Cooper, J.W. Photo-Ionization in the Soft x-Ray Range: 1Z Dependence in a Central-Potential Model. Phys. Rev. 1968, 165, 126–138. [Google Scholar] [CrossRef]
- McGuire, E.J. Photo-Ionization Cross Sections of the Elements Helium to Xenon. Phys. Rev. 1968, 175, 20–30. [Google Scholar] [CrossRef]
- Amusia, M.; Chernysheva, L.; Yarzhemsky, V. Handbook of Theoretical Atomic Physics: Data for Photon Absorption, Electron Scattering, and Vacancies Decay; Springer Science & Business Media: Berlin/Heidelberg, Germany, 2012. [Google Scholar]
- Amusia, M.; Kheifets, A. The influence of “two-electron-two-hole excitation”s on the 3s−14p autoionization profile in Ar atoms. Phys. Lett. A 1981, 82, 407–411. [Google Scholar] [CrossRef]
- Amusia, M.Y.; Ivanov, V.K.; Cherepkov, N.A.; Chernysheva, L.V. Interference effects in photoionization of noble gas atoms outer s-shells. Phys. Lett. 1972, 40A, 361–362. [Google Scholar] [CrossRef]
- Toffoli, D.; Stener, M.; Fronzoni, G.; Decleva, P. Convergence of the multicenter B-spline DFT approach for the continuum. Chem. Phys. 2002, 276, 25–43. [Google Scholar] [CrossRef]
- Marante, C.; Klinker, M.; Corral, I.; González-Vázquez, J.; Argenti, L.; Martín, F. Hybrid-Basis Close-Coupling Interface to Quantum Chemistry Packages for the Treatment of Ionization Problems. J. Chem. Theory Comput. 2017, 13, 499–514. [Google Scholar] [CrossRef]
- Moitra, T.; Ponzi, A.; Koch, H.; Coriani, S.; Decleva, P. Accurate Description of Photoionization Dynamical Parameters. J. Phys. Chem. Lett. 2020, 11, 5330–5337. [Google Scholar] [CrossRef]
- Kheifets, A.S. Time delay in valence-shell photoionization of noble-gas atoms. Phys. Rev. A 2013, 87, 063404. [Google Scholar] [CrossRef]
- Palatchi, C.; Dahlstrom, J.M.; Kheifets, A.S.; Ivanov, I.A.; Canaday, D.M.; Agostini, P.; DiMauro, L.F. Atomic delay in helium, neon, argon and krypton. J. Phys. B At. Mol. Opt. Phys. 2014, 47, 245003. [Google Scholar] [CrossRef]
- Alexandridi, C.; Platzer, D.; Barreau, L.; Busto, D.; Zhong, S.; Turconi, M.; Neoričić, L.; Laurell, H.; Arnold, C.L.; Borot, A.; et al. Attosecond photoionization dynamics in the vicinity of the Cooper minima in argon. Phys. Rev. Res. 2021, 3, L012012. [Google Scholar] [CrossRef]
- Saha, S.; Mandal, A.; Jose, J.; Varma, H.R.; Deshmukh, P.C.; Kheifets, A.S.; Dolmatov, V.K.; Manson, S.T. Relativistic effects in photoionization time delay near the Cooper minimum of noble-gas atoms. Phys. Rev. A 2014, 90, 053406. [Google Scholar] [CrossRef]
- Fano, U. Effects of Configuration Interaction on Intensities and Phase Shifts. Phys. Rev. 1961, 124, 1866–1878. [Google Scholar] [CrossRef]
- Arimondo, E.; Clark, C.W.; Martin, W.C. Colloquium: Ettore Majorana and the birth of autoionization. Rev. Mod. Phys. 2010, 82, 1947–1958. [Google Scholar] [CrossRef]
- Madden, R.P.; Codling, K. New Autoionizing Atomic Energy Levels in He, Ne, and Ar. Phys. Rev. Lett. 1963, 10, 516–518. [Google Scholar] [CrossRef]
- Baig, M.A.; Connerade, J.P. Centrifugal barrier effects in the high Rydberg states and autoionising resonances of neon. J. Phys. B At. Mol. Phys. 1984, 17, 1785–1796. [Google Scholar] [CrossRef]
- Maeda, K.; Ueda, K.; Ito, K. High-resolution measurement for photoabsorption cross sections in the autoionization regions of Ar, Kr and Xe. J. Phys. B At. Mol. Opt. Phys. 1993, 26, 1541–1555. [Google Scholar] [CrossRef]
- Kabachnik, N.M.; Sazhina, I.P. Angular distribution and polarization of photoelectrons in the region of resonances. J. Phys. B At. Mol. Opt. Phys. 1976, 9, 1681–1697. [Google Scholar] [CrossRef]
- Pratt, S.T.; Dehmer, P.M.; Dehmer, J.L. Three-photon excitation of autoionizing states of atomic xenon between the 2∘3/2 and 2∘1/2 fine-structure thresholds. Phys. Rev. A 1987, 35, 3793–3798. [Google Scholar] [CrossRef]
- Blazewicz, P.R.; Stockdale, J.A.D.; Miller, J.C.; Efthimiopoulos, T.; Fotakis, C. Four-photon excitation of even-parity Rydberg states in krypton and xenon. Phys. Rev. A 1987, 35, 1092–1098. [Google Scholar] [CrossRef]
- Koeckhoven, S.M.; Buma, W.J.; de Lange, C.A. Three-photon excitation of autoionizing states of Ar, Kr, and Xe between the 2P3/2 and 2P1/2 ionic limits. Phys. Rev. A 1994, 49, 3322–3332. [Google Scholar] [CrossRef]
- Moccia, R.; Rahman, N.K.; Rizzo, A. Two-photon ionisation cross section calculations of noble gases: Results for Ne and Ar. J. Phys. B At. Mol. Opt. Phys. 1983, 16, 2737–2751. [Google Scholar] [CrossRef]
- Saenz, A.; Lambropoulos, P. Theoretical two-, three- and four-photon ionization cross sections of helium in the XUV range. J. Phys. B At. Mol. Opt. Phys. 1999, 32, 5629–5637. [Google Scholar] [CrossRef]
- Aloïse, S.; O’Keeffe, P.; Cubaynes, D.; Meyer, M.; Grum-Grzhimailo, A.N. Photoionization of Synchrotron-Radiation-Excited Atoms: Separating Partial Cross Sections by Full Polarization Control. Phys. Rev. Lett. 2005, 94, 223002. [Google Scholar] [CrossRef]
- Petrov, I.; Peters, T.; Halfmann, T.; Aloıse, S.; O’Keeffe, P.; Meyer, M.; Sukhorukov, V.; Hotop, H. Lineshapes of the even autoionizing resonances of Ar, Kr and Xe. Eur. Phys. J. D 2006, 40, 181–193. [Google Scholar] [CrossRef]
- O’Keeffe, P.; Bolognesi, P.; Mihelic, A.; Moise, A.; Richter, R.; Cautero, G.; Stebel, L.; Sergo, R.; Pravica, L.; Ovcharenko, E.; et al. Photoelectron angular distributions from polarized Ne* atoms near threshold. Phys. Rev. A 2010, 82, 052522. [Google Scholar] [CrossRef]
- O’Keeffe, P.; Gryzlova, E.V.; Cubaynes, D.; Garcia, G.A.; Nahon, L.; Grum-Grzhimailo, A.N.; Meyer, M. Isotopically Resolved Photoelectron Imaging Unravels Complex Atomic Autoionization Dynamics by Two-Color Resonant Ionization. Phys. Rev. Lett. 2013, 111, 243002. [Google Scholar] [CrossRef] [PubMed]
- Bartschat, K.; Madison, D.H. Electron impact excitation of rare gases: Differential cross sections and angular correlation parameters for neon, argon, krypton and xenon. J. Phys. B At. Mol. Opt. Phys. 1987, 20, 5839–5863. [Google Scholar] [CrossRef]
- Knight, R.D.; guo Wang, L. One-photon laser spectroscopy of the np and nf Rydberg series in xenon. J. Opt. Soc. Am. B 1985, 2, 1084–1087. [Google Scholar] [CrossRef]
- L’Huillier, A.; Lompré, L.A.; Normand, D.; Morellec, J.; Ferray, M.; Lavancier, J.; Mainfray, G.; Manus, C. Spectroscopy of the np and nf even-parity Rydberg series in xenon by two-photon excitation. J. Opt. Soc. Am. B 1989, 6, 1644–1647. [Google Scholar] [CrossRef]
- McCann, K.J.; Flannery, M.R. Photoionization of metastable rare-gas atoms (He*,Ne*,Ar*,Kr*,Xe*). Appl. Phys. Lett. 1977, 31, 599–601. [Google Scholar] [CrossRef]
- Kau, R.; Petrov, I.D.; Sukhorukov, V.L.; Hotop, H. Experimental and theoretical cross sections for photoionization of metastable atoms near threshold. J. Phys. B At. Mol. Opt. Phys. 1996, 29, 5673–5698. [Google Scholar] [CrossRef]
- Kopeika, N.S.; Shuker, R.; Yerachmiel, Y.; Gabai, Y.; Ih, C.S. Observation of Cooper minima in excited-s-state photoionization cross sections in neon and argon. Phys. Rev. A 1983, 28, 1517–1526. [Google Scholar] [CrossRef]
- Petrov, I.D.; Lagutin, B.M.; Sukhorukov, V.L.; Knie, A.; Ehresmann, A. Correlation and polarization effects in two-photon photoionization of Ar. Phys. Rev. A 2016, 93, 033408. [Google Scholar] [CrossRef]
- Petrov, I.D.; Sukhorukov, V.L.; Hotop, H. Photoionization of excited Ne*(2p53p, J = 3) atoms near threshold. J. Phys. B At. Mol. Opt. Phys. 2008, 41, 065205. [Google Scholar] [CrossRef]
- Sukhorukov, V.L.; Petrov, I.D.; Schafer, M.; Merkt, F.; Ruf, M.W.; Hotop, H. Photoionization dynamics of excited Ne, Ar, Kr and Xe atoms near threshold. J. Phys. B At. Mol. Opt. Phys. 2012, 45, 092001. [Google Scholar] [CrossRef][Green Version]
- Gallagher, T.F. Quantum defect theory. In Rydberg Atoms; Cambridge Monographs on Atomic, Molecular and Chemical Physics; Cambridge University Press: Cambridge, UK, 1994; pp. 415–428. [Google Scholar] [CrossRef]
- Ojha, P.C.; Burke, P.G. Photoionisation of the 3p54s excited states of argon. J. Phys. B At. Mol. Opt. Phys. 1983, 16, 3513–3529. [Google Scholar] [CrossRef]
- Petrov, I.D.; Sukhorukov, V.L.; Hollenstein, U.; Kaufmann, L.J.; Merkt, F.; Hotop, H. Autoionization dynamics of even Ar (3) resonances: Comparison of experiment and theory. J. Phys. B At. Mol. Opt. Phys. 2011, 44, 025004. [Google Scholar] [CrossRef][Green Version]
- Gryzlova, E.V.; O’Keeffe, P.; Cubaynes, D.; Garcia, G.A.; Nahon, L.; Grum-Grzhimailo, A.N.; Meyer, M. Isotope effects in resonant two-color photoionization of Xe in the region of the 5p5(2P1/2)4f[5/2]2 autoionizing state. N. J. Phys. 2015, 17, 043054. [Google Scholar] [CrossRef]
- McKenna, C.; van der Hart, H.W. Multiphoton ionization cross sections of neon and argon. J. Phys. B At. Mol. Opt. Phys. 2003, 37, 457–470. [Google Scholar] [CrossRef]
- van der Hart, H.W.; Greene, C.H. Multichannel photoionization spectroscopy of Ar: Total cross section and threshold photoelectrons. Phys. Rev. A 1998, 58, 2097–2105. [Google Scholar] [CrossRef]
- Hamonou, L.; Lysaght, M.A.; van der Hart, H.W. Influence of autoionizing states on the pulse-length dependence of strong-field Ne+ photoionization at 38.4 eV. J. Phys. B At. Mol. Opt. Phys. 2010, 43, 045601. [Google Scholar] [CrossRef]
- Zhou, Z.; Chu, S.I. Time-dependent localized Hartree-Fock density-functional linear response approach for photoionization of atomic excited states. Phys. Rev. A 2009, 79, 053412. [Google Scholar] [CrossRef]
- Edwards, A.K.; Rudd, M.E. Excitation of Auto-Ionizing Levels in Neon by Ion Impact. Phys. Rev. 1968, 170, 140–144. [Google Scholar] [CrossRef]
- Olsen, J.O.; Anderson, N. Autoionizing levels in neon excited by low-energy heavy-ion impact. J. Phys. B At. Mol. Opt. Phys. 1977, 10, 101–110. [Google Scholar] [CrossRef]
- Jureta, J.J.; Marinković, B.P.; Milosavljević, A.R.; Avaldi, L. Singly and doubly excited states in ejected electron spectra of neon at high incident electron energies. Eur. Phys. J. D 2015, 69, 74. [Google Scholar] [CrossRef]
- Prince, K.C.; Allaria, E.; Callegari, C.; Cucini, R.; Ninno, G.D.; Mitri, S.D.; Diviacco, B.; Ferrari, E.; Finetti, P.; Gauthier, D.; et al. Coherent control with a short-wavelength free-electron laser. Nat. Photonics 2016, 10, 176. [Google Scholar] [CrossRef]
- You, D.; Ueda, K.; Gryzlova, E.V.; Grum-Grzhimailo, A.N.; Popova, M.M.; Staroselskaya, E.I.; Tugs, O.; Orimo, Y.; Sato, T.; Ishikawa, K.L.; et al. New Method for Measuring Angle-Resolved Phases in Photoemission. Phys. Rev. X 2020, 10, 031070. [Google Scholar] [CrossRef]
- Gryzlova, E.V.; Carpeggiani, P.; Popova, M.M.; Kiselev, M.D.; Douguet, N.; Reduzzi, M.; Negro, M.; Comby, A.; Ahmadi, H.; Wanie1, V.; et al. Influence of an atomic resonance on the coherent control of the photoionization process. Phys. Rev. Res. 2022, 4, 033231. [Google Scholar] [CrossRef]
- Gryzlova, E.V.; Ma, R.; Fukuzawa, H.; Motomura, K.; Yamada, A.; Ueda, K.; Grum-Grzhimailo, A.N.; Kabachnik, N.M.; Strakhova, S.I.; Rouzée, A.; et al. Doubly resonant three-photon double ionization of Ar atoms induced by an EUV free-electron laser. Phys. Rev. A 2011, 84, 063405. [Google Scholar] [CrossRef]
- Zatsarinny, O. BSR: B-spline atomic R-matrix codes. Comput. Phys. Commun. 2006, 174, 273–356. [Google Scholar] [CrossRef]
- Fischer, C.F. Towards B-Spline Atomic Structure Calculations. Atoms 2021, 9, 50. [Google Scholar] [CrossRef]
- Zatsarinny, O.; Bartschat, K. B-spline calculations of oscillator strengths in noble gases. Phys. Scr. 2009, T134, 014020. [Google Scholar] [CrossRef]
- Zatsarinny, O.; Tayal, S.S. Photoionization of potassium atoms from the ground and excited states. Phys. Rev. A 2010, 81, 043423. [Google Scholar] [CrossRef]
- Fischer, C.F.; Brage, T.; Johnsson, P. Computational Atomic Structure. An MCHF Approach; IOP Publishing: Bristol, UK, 1997. [Google Scholar]
- Zatsarinny, O.; Fischer, C.F. A general program for computing angular integrals of the Breit–Pauli Hamiltonian with non-orthogonal orbitals. Comput. Phys. Commun. 2000, 124, 247–289. [Google Scholar] [CrossRef]
- Wilden, D.G.; Hicks, P.J.; Comer, J. Electron impact studies of resonances and autoionizing states of neon. J. Phys. B At. Mol. Phys. 1977, 10, 1477–1486. [Google Scholar] [CrossRef]
- NIST Atomic Spectra Database (Version 5.8); National Institute of Standards and Technology: Gaithersburg, MD, USA, 2020. Available online: https://physics.nist.gov/asd (accessed on 18 May 2020).
- Zeman, V.; Bartschat, K. Electron-impact excitation of the and states of neon. J. Phys. B At. Mol. Opt. Phys. 1997, 30, 4609–4622. [Google Scholar] [CrossRef]
- Khakoo, M.A.; Wrkich, J.; Larsen, M.; Kleiban, G.; Kanik, I.; Trajmar, S.; Brunger, M.J.; Teubner, P.J.O.; Crowe, A.; Fontes, C.J.; et al. Differential cross sections and cross-section ratios for the electron-impact excitation of the neon 2p53s configuration. Phys. Rev. A 2002, 65, 062711. [Google Scholar] [CrossRef]
- Kheifets, A. Revealing the Target Electronic Structure with Under-Threshold RABBITT. Atoms 2021, 9, 66. [Google Scholar] [CrossRef]
- Baier, S.; Grum-Grzhimailo, A.N.; Kabachnik, N.M. Angular distribution of photoelectrons in resonant photoionization of polarized atoms. J. Phys. B At. Mol. Opt. Phys. 1994, 27, 3363–3388. [Google Scholar] [CrossRef]
Publisher’s Note: MDPI stays neutral with regard to jurisdictional claims in published maps and institutional affiliations. |
© 2022 by the authors. Licensee MDPI, Basel, Switzerland. This article is an open access article distributed under the terms and conditions of the Creative Commons Attribution (CC BY) license (https://creativecommons.org/licenses/by/4.0/).




