Abstract
We present a comprehensive discussion of the ground-state properties of dilute D-dimensional Bose gas interacting with a few static impurities. Assuming the short-ranged character of the boson-impurity interaction, we calculated the energy of three- and two-dimensional Bose systems with one and two impurities immersed.
1. Introduction
The problem of impurities in mediums formed by bosons is comprehensively studied in condensed matter physics. Even properties of a single atom immersed in the weakly interacting Bose gas change drastically [,,,,]. Depending on the strength of the boson–impurity interaction, a number of physically distinct impurity phases can be realized, namely, the Bose-polaronic state [,,,] in various spatial dimensions, which is very similar to the free-particle one but with the modified, due to the presence of bath, kinematic characteristics; the molecular state [,], when the impurity captures one boson with the formation of a dimer; a set of the Efimov states [,,,] with the universal scaling behavior of energy levels, and higher-order conglomerates, [,,,,,] which involve a larger number of host atoms. Remarkably, some of these phases can be observed in experiments [,]. The experimental progress in the field of ultra-cold atomic gases has recently lead to the observation [] of Bose polarons at finite temperatures. This experiment confirmed previous theoretical predictions [,,,,,] about the breakdown of the quasi-particle picture description of Bose polarons in a close vicinity of the Bose–Einstein condensation (BEC) point.
Recently, the problem of two impurities immersed in the dilute one and three-dimensional Bose gases has become a subject of extensive examination. Physically, this problem is substantially distinguishable from the single Bose polaron one due to the emergence of the induced effective interaction [,,,] between impurity particles. In 1D, the character of this interaction crucially depends on a sign of the boson–impurity coupling constant []; the effective attraction is found for positive couplings, while the induced repulsive potential is inherent for the negative interactions. While it increases, the induced attractive interaction between impurities leads to the formation of bipolarons [] in the continuum and on the lattice [] and even to the emergence of the two-polaron bound states []. In one-dimensional geometries with harmonic trapping, the induced interaction causes the clustering [] of two initially non-interacting atoms and modifies their quench dynamics []. By switching the boson–impurity interaction in 3D dilute BEC with two impurities, the transition from weakly interacting through the Yukawa potential bipolarons to the Efimov trimer state was predicted in Ref. []. Recently, properties of a single polaron in 2D BEC have been discussed both analytically [,] and numerically [,]. The arbitrary D one-polaron case was considered in Ref. []. As far as we know, the problem of two Bose polarons in 2D Bose gas has never been discussed; therefore, the objective of this study was to make the first step toward the revealing of peculiarities of the bipolaron physics and the boson-induced effective interaction between impurities by considering the static limit. The absence of the impurity dynamics in this limit allows to find the exact solution of the problem in the dilute 1D Bose mediums both in one- [] and two-particle [,] cases. In 3D, only a case of the ideal Bose gas [,] is the exactly tractable one, while the presence of a weak boson–boson interaction requires [] a substantial numerical efforts.
2. Formulation
2.1. Model
The discussed model consists of the D-dimensional (here we focus on cases) Bose gas loaded in volume (with the periodic boundary conditions imposed) with the weak interparticle interaction and microscopic number of heavy (infinite-mass) impurities immersed in it. Heavy particles are supposed to be randomly placed in positions . In the following, we adopt the imaginary-time path-integral approach with Euclidean action
where denotes the “position” in -dimensional space (and consequently ), and the complex field is periodic in with period (which is the inverse temperature of the system). We also use the shorthand notations for bosonic dispersion and the chemical potential that fixes average density n of Bose gas and for the term
that describes the interaction between Bose particles and impurities. The -like two-body potential is ill-defined in the higher () dimensions, and therefore, in order to obtain any reasonable results one should adopt some renormalization scheme. The latter is typically realized by the implication of the ultraviolet cutoff in all momentum summations and in the simultaneous rewriting of bare couplings and via the two-body vacuum binding energies and
respectively, (from now on, we assume that all summations over the wave-vector are restricted from the above ). Such a “regularization” is already used in the definition of the point-like boson–impurity interaction potential, , in Equation (2). The ”observable” couplings and are specified as follows
where stands for the gamma function. Note that the bound states are only possible for positive s and s, but it is convenient to parameterize negative couplings by the binding energies. By careful inspection of the limit, one can conclude that Equations (3)–(6) provide a correct description of zero-range potentials even in the two-dimensional case. Moreover, the pseudo-potential always provides the existence of one bound state.
The alternative method (see, for instance []) to deal with point-like interactions is to initially start from some “physical” (Gaussian, for instance) potentials and then relate the appropriate coupling constant to the s-wave scattering lengths and in the limit where the effective ranges are the smallest parameters with the dimension of length in the system. In the following, no restrictions are set on a magnitude of the boson–impurity interaction, while the Bose gas itself is expected to be extremely dilute.
2.2. Effective Field Theory Approach
The further analysis will be performed in a spirit of the effective field theory approach (see, for a review []), which is known to be extremely convenient for the many-boson systems. Particularly, this formulation automatically guarantees the implementation of the Hugengoltz–Pines theorem (which is a concrete manifestation of the Goldstone theorem) in every order of a loop expansion. Moreover, the effective field theory approach provides a non-perturbative predictions for the Bose gas thermodynamics. In the limit of weak boson–boson coupling, the loop expansion is identical to the perturbation theory in terms of characteristic small parameter . The main idea of the method relies on the separation of “classical” dynamics during the computations of the partition function by means of the path integral
where the introduced classical fields are determined by the minimization of the action (1): . Note that in general should not be confused with the Bose condensate density. In the absence of impurities, , the solution is real and uniform. Putting a microscopic amount of heavy particles in the Bose condensate, we cannot principally change the character of this solution provided that becomes only slightly non-uniform, i.e., . Of course, one may argue that the localized solutions decrease the total energy by , but any non-zero repulsion between bosons immediately increases the energy of the system by . Therefore, the collapsed BEC state [] is not energetically preferable in the thermodynamic limit, where both the number of the repulsively interacting bosons N and the volume of the box infinitely increase.
Performing the shift (7), we end up with the following effective action
where only the Gaussian in the fluctuation fields part is explicitly written down. Here the matrix operator with elements
is introduced. Taking into account the equation for
and performing the Gaussian integration in (8), we finally obtain the grand potential of the Bose system with the impurities immersed
where denotes the trace in the space. A constant term (counterterm) in (11) is most straightforwardly represented in the plane-wave basis but cannot be obtained by the functional integration and has to be written by hand [] in order to resolve a standard normal-ordering routine. Consequently, the calculation of thermodynamics for “Bose gas + static impurities” reduces to finding a solution of Equation (10) and then, with in hand, to the evaluation of the functional determinant. Note that by taking into account only, one reproduces the mean-field [,,,,,] description of the system generalized to impurities in the static limit. In comparison to other Bose-polaron theories, the adopted approach takes into account the correct short-distance boson-impurity physics from the very beginning of the celebrated Bogoliubov treatment of dilute Bose condensates.
2.3. Limit of Dilute Bose Gas
In the general case, the above program, which can be realized to the very end in 1D [] even at finite impurity masses [,,], requires considerable numerical efforts in the higher dimensions, but the limit of weak inter-boson interaction can be handled more or less easily. Indeed, the intrinsic, for the dilute Bose gas, length-scale is represented by the coherence length (with being the sound velocity), which is large in comparison to the average distance between particles and to the boson–boson s-wave scattering length . The magnitude of the boson–impurity interaction, in turn, is dictated by the boson–impurity s-wave scattering length . So, if we additionally assume that , the solution of Equation (10) can be immediately found . In all other cases, we can apply the successive expansion in terms of the -field “non-uniformity”
where after the substitution in Equation (10) the dimensionless functions , satisfy the following equations:
Note that the above approximate procedure does not require the boson–impurity interaction to be weak. Furthermore, by a naive dimensional analysis, it is easy to argue that both at the weak and strong couplings , the contribution of the second-order correction in the thermodynamics of the system is much smaller than the one originating from . Therefore, in our consideration below we fully focus on the first-order correction. However, even this simple approximation effectively sums up some infinite set of terms of the standard pertubation theory for a model with the uniform condensate []. Equation (13) with given by (2) can be solved for arbitrary by means of the Fourier transformation
with and coefficients , where matrix is introduced in Appendix A.
We can now proceed with the calculations of the functional determinant in (11). Taking into account the extreme diluteness of the Bose subsystem, it is enough to expand , where is given by (9) but with and . Following our previous discussion, we ignore in all higher-order corrections except . After this, the calculations are relatively simple, and at absolute zero we obtain the -potential in the adopted approximation
where and stands for the Bogoliubov spectrum of the “pure” Bose system. It should be noted that for dilute Bose systems the impact of the quantum fluctuations (terms with the summations over the wave-vector) to is much smaller than the first two terms (the mean-field contributions). The last step to be performed in these calculations is to replace the bare couplings and via (3) and (4), respectively. This procedure provides the convergence of sums over the wave-vector in the last two terms of (16). Then, the trace in the third term of (16) can be computed (see Appendix A for details). With the well-defined grand potential, we can relate, by using the thermodynamic identity , the chemical potential of the Bose system to its equilibrium density n. Performing these calculations, one must keep in mind that the presence of a microscopic number of impurities cannot principally change the properties of the system. So, if we denote (and appropriate grand potential ) the chemical potential of Bose gas without exterior particles by , the difference should be small. Using this fact and , we can identify a small correction . The latter formula allows to determine the energy that the Bose system gains when impurities are immersed
which is an explicit manifestation of the well-known theorem about small corrections to the thermodynamic potentials.
3. Results
Before we proceed to describing our main results, it is necessary to analyze the case of “pure” bosons. Setting in (16) and calculating integrals, we obtain for density
which allows to obtain the expression for iteratively. For the weakly non-ideal three-dimensional bosons we find the well-known formula ( in 3D)
Similarly, in the two-dimensional case we have the transcendental equation []
Being convinced that the limit of Bose gas without impurities is correctly reproduced by the adopted approach, we are ready to present our main results concerning the binding energy of one- and two-impurity atoms in the dilute three- and two-dimensional Bose gases.
3.1. 3D Case
In the 3D case, the general structure of the two-impurity binding energy in the dilute Bose gas can be represented as
where is the contribution of the ideal Bose gas; is the s-wave scattering length that parameterizes the (renormalized) two-body coupling ; and R is the distance between two static particles. The first term in (21) has a simple analytic form
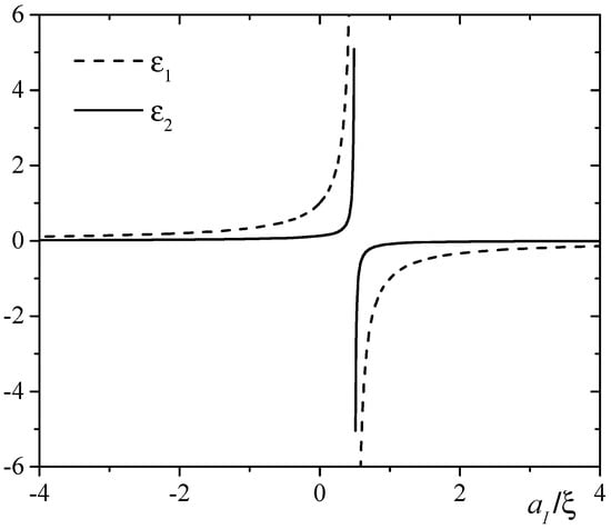
and originates purely from the mean-field correction to the grand potential (the second term in (16)), while contains both the mean-field and purely quantum corrections. Note that in the formula for only the one-loop corrections were taken into account, and a consistent consideration of the next to a leading order terms in series expansion over the small parameter necessarily requires the calculation of the two-loop diagrams to the grand potential. By setting the distance between heavy particles R to infinity, one obtains from (21) the one-impurity limit. A typical behavior of functions is presented in Figure 1.

Figure 1.
Dimensionless functions determining the one-impurity energy in 3D dilute Bose gas.
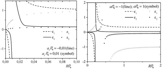
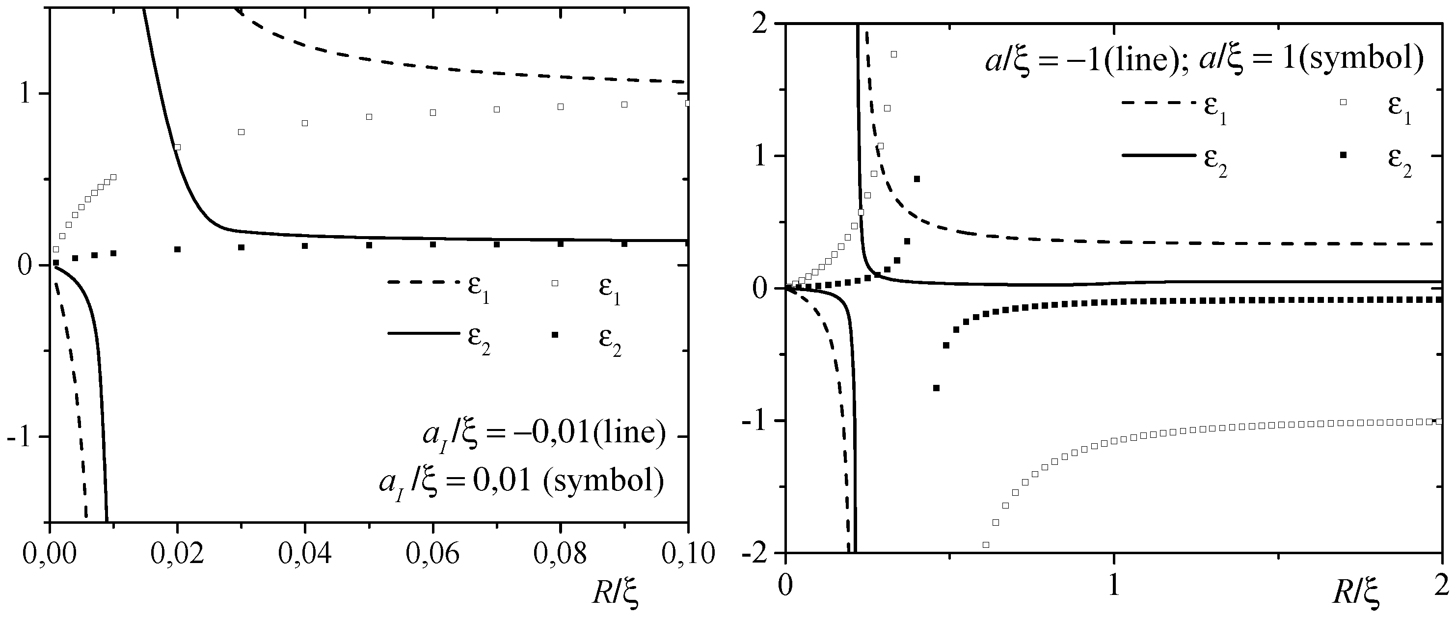
Let us recall that the problem considered here is the exactly solvable one, when the bosons are non-interacting. Therefore, it should be clearly understood that the presented results are accurate if the coherence length is the largest parameter with the dimension of the length in the system. In order to reveal the interplay between regimes of very dilute Bose gas and intermediate boson–impurity interaction, we plotted in Figure 2 the binding energy of two heavy particles for the positive and negative s-wave scattering lengths .

Figure 2.
Mean-field and the first-order quantum corrections to the energy of 3D dilute Bose gas generated by two impurities for and .
Comparing these findings to the ideal Bose gas results [], we can observe similar patterns in the behavior of the systems at weak coupling: at positive , the binding energy is the monotonic function of R, while at the negative boson–impurity scattering lengths both, have a simple-pole singularity. When the interaction increases (see right panel in Figure 2) the mean-field and quantum corrections to the ground-state energy of 3D Bose gas possess an infinite discontinuities independently of a sign of .
3.2. 2D Case
In general, the low-dimensional dilute Bose systems with static impurities are very peculiar. When the interaction between bosons is switched off, these systems are insensible to the boson–impurity interaction in their un-collapsed ground state, and therefore, the binding energy of the heavy particles requires a finite compressibility of the host system to be non-zero. This is a general result for the low-dimensional (1D and 2D) ideal Bose gases with impurities that is independent of the approximations made. Introducing the two-body s-wave scattering length through the boson–impurity vacuum bound state energy , we can write down the energy that the 2D Bose gas gains when two heavy particles are immersed in it
As in the 3D case, the mean-field correction casts into a simple analytic form
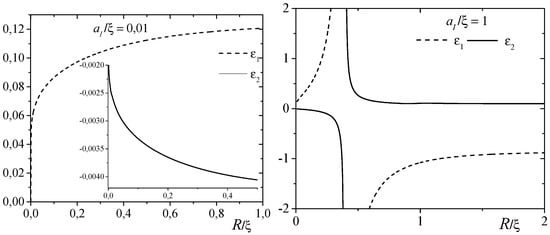
is the modified Bessel function of the second kind []. Note that in contrast to a 3D case, tends to zero (at least logarithmically) in the limit of ideal Bose gas (). At large distances R, Equation (23) gives the double binding energy of a single impurity, which is presented in Figure 3.

Figure 3.
Dimensioless one-impurity binding energy terms (see Equation (23)) in 2D case.
Particularly, these calculations clearly demonstrate the weakening of the role of quantum fluctuations in the formation of polarons in two-dimensional Bose systems. Actually, this observation [] seems to be intrinsic for the low-dimensional systems in general.
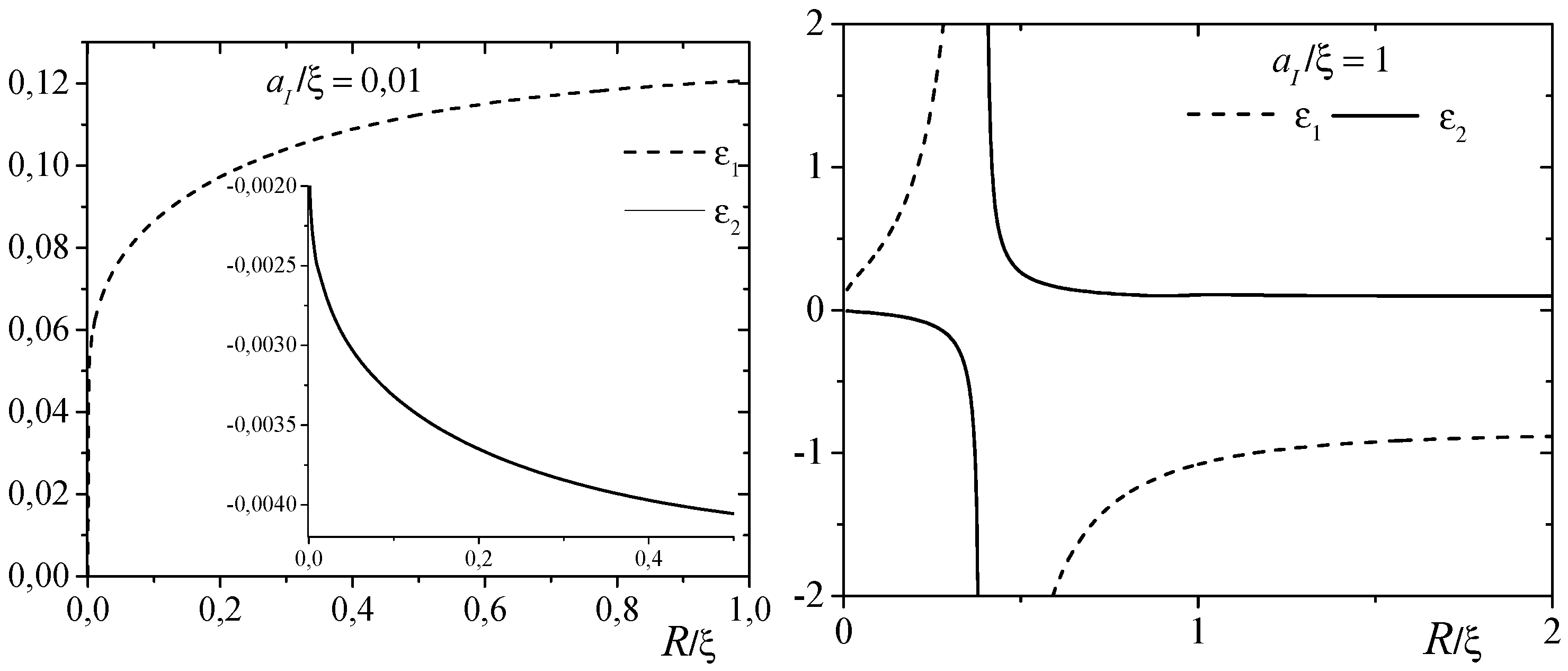
The numerical computations of the two-impurity energies (see Figure 4).

Figure 4.
The two-impurity dimensionless binding energy corrections in 2D dilute Bose gas.
The 2D Bose gas demonstrates qualitative similarity between the two- and three-dimensional cases. At weak boson–impurity interactions , where our effective field-theoretical formulation is supposed to make a quantitative predictions, the mean-field term as well as the one that includes the quantum corrections behave as monotonic functions of R. The interaction-induced effective two-body potential between static particles at large always contains a singularity.
4. Conclusions
In summary, by means of the effective field theory formulation, we calculated the impurity-induced shifts to the ground-state energies of the two- and three-dimensional dilute Bose gases. Particularly, by taking into account the extreme diluteness of the host bosons, we proposed the approximate procedure that allows to calculate the properties of an arbitrary (microscopic) number of static impurities in terms of a characteristic small parameter (where n and are the density and the coherence length of bosons, respectively). The numerical calculations of the binding energies of two static impurities in dilute 2D and 3D Bose gases that were performed for a wide range of the boson–impurity interactions and distances between impurities has revealed the peculiarities of the medium-induced (Casimir) forces: (i) the two-body effective potential always demonstrates singular behavior at the distances between impurities comparable to the boson–impurity s-wave scattering lengths ; (ii) an impact of purely quantum corrections decreases with the lowering of a spatial dimensionality. Similar singularities are also intrinsic for the binding energy of a single impurity at , which may signal [] about the inapplicability of the adopted approximate treatment for calculations of the “classical” solution in that region, where the full numerical solution to Equation (10) is required.
Author Contributions
Conceptualization, V.P.; methodology, G.P. and V.P.; software, G.P.; validation, G.P. and V.P.; formal analysis, G.P. and V.P.; investigation, G.P. and V.P.; resources, G.P. and V.P.; data curation, G.P. and V.P.; writing—original draft preparation, G.P. and V.P.; visualization, G.P.; supervision, V.P. All authors have read and agreed to the published version of the manuscript.
Funding
This research received no external funding.
Institutional Review Board Statement
Not applicable.
Informed Consent Statement
Not applicable.
Data Availability Statement
No new data were created or analyzed in this study.
Acknowledgments
We are indebted to Iryna Pastukhova for comments on the manuscript.
Conflicts of Interest
The authors declare no conflict of interest.
Appendix A
For completeness, in this section we give some details of the calculations not presented in the main text. Let us first start from the equation that determines the classical field . Explicitly writing down Equation (13), after the implementation of ansatz (15)
and combining terms in double sum with the first term of equation, we obtain
The divergent sum in the square brackets is now regularized by the renormalization of a coupling constant (4), so the final result contains only observable . One can easily recognize the square brackets as the boson–impurity two-body T-matrix
and introducing auxiliary notations
we find the result for coefficients announced in the main text
For the calculation of the trace in the second term of (16), we used formal identity
The density of states is easily calculated within the Green’s function method []
where the T-matrix characterizes the scattering of a single boson on impurities
The calculations of in the density of states requires the knowledge of an explicit analytic formulas for the boson–impurity two-body T-matrix
and a function of distance between two impurities in arbitrary D
where , and is the modified Bessel function of the second kind [].
References
- Tempere, J.; Casteels, W.; Oberthaler, M.K.; Knoop, S.; Timmermans, E.; Devreese, J.T. Feynman path-integral treatment of the BEC-impurity polaron. Phys. Rev. B 2009, 80, 184504. [Google Scholar] [CrossRef]
- Vlietinck, J.; Casteels, W.; Houcke, K.V.; Tempere, J.; Ryckebusch, J.; Devreese, J.T. Diagrammatic Monte Carlo study of the acoustic and the Bose–Einstein condensate polaron. New J. Phys. 2015, 17, 033023. [Google Scholar] [CrossRef][Green Version]
- Ardila, L.A.P.; Giorgini, S. Impurity in a Bose-Einstein condensate: Study of the attractive and repulsive branch using quantum Monte Carlo methods. Phys. Rev. A 2015, 92, 033612. [Google Scholar] [CrossRef]
- Grusdt, F.; Shchadilova, Y.E.; Rubtsov, A.N.; Demler, E. Renormalization group approach to the Frohlich polaron model: Application to impurity-BEC problem. Sci. Rep. 2015, 5, 12124. [Google Scholar] [CrossRef] [PubMed]
- Panochko, G.; Pastukhov, V.; Vakarchuk, I. Behavior of the impurity atom in a weakly-interacting Bose gas. Cond. Matt. Phys. 2017, 20, 13604. [Google Scholar] [CrossRef]
- Astrakharchik, G.E.; Pitaevskii, L.P. Motion of a heavy impurity through a Bose-Einstein condensate. Phys. Rev. A 2004, 70, 013608. [Google Scholar] [CrossRef]
- Novikov, A.; Ovchinnikov, M. A diagrammatic calculation of the energy spectrum of quantum impurity in degenerate Bose–Einstein condensate. J. Phys. A Math. Theor. 2009, 42, 135301. [Google Scholar] [CrossRef]
- Christensen, R.S.; Levinsen, J.; Bruun, G.M. Quasiparticle Properties of a Mobile Impurity in a Bose-Einstein Condensate. Phys. Rev. Lett. 2015, 115, 160401. [Google Scholar] [CrossRef]
- Panochko, G.; Pastukhov, V.; Vakarchuk, I. Impurity self-energy in the strongly-correlated Bose systems. Int. J. Mod. Phys. B 2018, 32, 1850053. [Google Scholar] [CrossRef]
- Rath, S.P.; Schmidt, R. Field-theoretical study of the Bose polaron. Phys. Rev. A 2013, 88, 053632. [Google Scholar] [CrossRef]
- Li, W.; Sarma, S.D. Variational study of polarons in Bose-Einstein condensate. Phys. Rev. A 2014, 90, 013618. [Google Scholar] [CrossRef]
- Levinsen, J.; Massignan, P.; Parish, M.M. Efimov Trimers under Strong Confinement. Phys. Rev. X 2014, 4, 031020. [Google Scholar] [CrossRef]
- Naidon, P.; Endo, S. Efimov physics: A review. Rep. Prog. Phys. 2017, 80, 056001. [Google Scholar] [CrossRef]
- Levinsen, J.; Parish, M.M.; Bruun, G.M. Impurity in a Bose-Einstein Condensate and the Efimov Effect. Phys. Rev. Lett. 2015, 115, 125302. [Google Scholar] [CrossRef] [PubMed]
- Sun, M.; Zhai, H.; Cui, X. Visualizing the Efimov Correlation in Bose Polarons. Phys. Rev. Lett. 2017, 119, 013401. [Google Scholar] [CrossRef] [PubMed]
- Wang, Y.; Laing, W.B.; Stecher, J.; Esry, B.D. Efimov Physics in Heteronuclear Four-Body Systems. Phys. Rev. Lett. 2012, 108, 073201. [Google Scholar] [CrossRef] [PubMed]
- Casteels, W.; Tempere, J.; Devreese, J.T. Bipolarons and multipolarons consisting of impurity atoms in a Bose-Einstein condensate. Phys. Rev. A 2013, 88, 013613. [Google Scholar] [CrossRef]
- Blume, D.; Yan, Y. Generalized Efimov Scenario for Heavy-Light Mixtures. Phys. Rev. Lett. 2014, 113, 213201. [Google Scholar] [CrossRef]
- Shi, Z.Y.; Yoshida, S.M.; Parish, M.M.; Levinsen, J. Impurity-Induced Multibody Resonances in a Bose Gas. Phys. Rev. Lett. 2018, 121, 243401. [Google Scholar] [CrossRef] [PubMed]
- Yoshida, S.M.; Shi, Z.Y.; Levinsen, J.; Parish, M.M. Few-body states of bosons interacting with a heavy quantum impurity. Phys. Rev. A 2018, 98, 062705. [Google Scholar] [CrossRef]
- Blume, D. Few-boson system with a single impurity: Universal bound states tied to Efimov trimers. Phys. Rev. A 2019, 99, 013613. [Google Scholar] [CrossRef]
- Jorgensen, N.B.; Wacker, L.; Skalmstang, K.T.; Parish, M.M.; Levinsen, J.; Christensen, R.S.; Bruun, G.M.; Arlt, J.J. Observation of Attractive and Repulsive Polarons in a Bose-Einstein Condensate. Phys. Rev. Lett. 2016, 117, 055302. [Google Scholar] [CrossRef] [PubMed]
- Hu, M.-G.; de Graaff, M.J.V.; Kedar, D.; Corson, J.P.; Cornell, E.A.; Jin, D.S. Bose Polarons in the Strongly Interacting Regime. Phys. Rev. Lett. 2016, 117, 055301. [Google Scholar] [CrossRef] [PubMed]
- Yan, Z.Z.; Ni, Y.; Robens, C.; Zwielein, M.W. Bose polarons near quantum criticality. Science 2020, 368, 190. [Google Scholar] [CrossRef] [PubMed]
- Levinsen, J.; Parish, M.M.; Christensen, R.S.; Arlt, J.J.; Bruun, G.M. Finite-temperature behavior of the Bose polaron. Phys. Rev. A 2017, 96, 063622. [Google Scholar] [CrossRef]
- Guenther, N.-E.; Massignan, P.; Lewenstein, M.; Bruun, G.M. Bose Polarons at Finite Temperature and Strong Coupling. Phys. Rev. Lett. 2018, 120, 050405. [Google Scholar] [CrossRef]
- Pastukhov, V. Polaron in the dilute critical Bose condensate. J. Phys. A Math. Theor. 2018, 51, 195003. [Google Scholar] [CrossRef]
- Liu, W.E.; Levinsen, J.; Paris, M.M. Variational Approach for Impurity Dynamics at Finite Temperature. Phys. Rev. Lett. 2019, 122, 205301. [Google Scholar] [CrossRef]
- Field, B.; Levinsen, J.; Parish, M.M. Fate of the Bose polaron at finite temperature. Phys. Rev. A 2020, 101, 013623. [Google Scholar] [CrossRef]
- Pascual, G.; Boronat, J. Quasiparticle Nature of the Bose Polaron at Finite Temperature. Phys. Rev. Lett. 2021, 127, 205301. [Google Scholar] [CrossRef]
- Zinner, N.T. Efimov states of heavy impurities in a Bose-Einstein condensate. Europhys. Phys. Lett. 2013, 101, 60009. [Google Scholar] [CrossRef]
- Zinner, N.T. Spectral flow of trimer states of two heavy impurities and one light condensed boson. Europhys. Phys. J. D 2014, 68, 216. [Google Scholar] [CrossRef]
- Camacho-Guardian, A.; Ardila, L.A.P.; Pohl, T.; Bruun, G.M. Bipolarons in a Bose-Einstein Condensate. Phys. Rev. Lett. 2018, 121, 013401. [Google Scholar] [CrossRef] [PubMed]
- Camacho-Guardian, A.; Bruun, G.M. Landau Effective Interaction between Quasiparticles in a Bose-Einstein Condensate. Phys. Rev. X 2018, 8, 031042. [Google Scholar] [CrossRef]
- Brauneis, F.; Hammer, H.-W.; Lemeshko, M.; Volosniev, A.G. Impurities in a one-dimensional Bose gas: The flow equation approach. SciPost Phys. 2021, 11, 008. [Google Scholar] [CrossRef]
- Petcovich, A.; Ristivojevic, Z. Mediated interaction between polarons in a one-dimensional Bose gas. arXiv 2021, arXiv:2103.08772. [Google Scholar]
- Pasek, M.; Orso, G. Induced pairing of fermionic impurities in a one-dimensional strongly correlated Bose gas. Phys. Rev. B 2019, 100, 245419. [Google Scholar] [CrossRef]
- Will, M.; Astrakharchik, G.E.; Fleischhauer, M. Polaron Interactions and Bipolarons in One-Dimensional Bose Gases in the Strong Coupling Regime. Phys. Rev. Lett. 2021, 127, 103401. [Google Scholar] [CrossRef]
- Dehkharghani, A.S.; Volosniev, A.G.; Zinner, N.T. Coalescence of Two Impurities in a Trapped One-dimensional Bose Gas. Phys. Rev. Lett. 2018, 121, 080405. [Google Scholar] [CrossRef]
- Mistakidis, S.I.; Volosniev, A.G.; Schmelcher, P. Induced correlations between impurities in a one-dimensional quenched Bose gas. Phys. Rev. Res. 2020, 2, 023154. [Google Scholar] [CrossRef]
- Naidon, P. Two Impurities in a Bose–Einstein Condensate: From Yukawa to Efimov Attracted Polarons. J. Phys. Soc. Jpn. 2018, 87, 043002. [Google Scholar] [CrossRef]
- Pastukhov, V. Polaron in dilute 2D Bose gas at low temperatures. J. Phys. B At. Mol. Opt. Phys. 2018, 51, 155203. [Google Scholar] [CrossRef]
- Isaule, F.; Morera, I.; Massignan, P.; Juliá-Díaz, B. Renormalization-group study of Bose polarons. Phys. Rev. A 2021, 104, 023317. [Google Scholar] [CrossRef]
- Akaturk, E.; Tanatary, B. Two-dimensional Bose polaron using diffusion Monte Carlo method. Int. J. Mod. Phys. B 2019, 33, 1950238. [Google Scholar] [CrossRef]
- Ardila, L.A.P.; Astrakharchik, G.E.; Giorgini, S. Strong coupling Bose polarons in a two-dimensional gas. Phys. Rev. Res. 2020, 2, 023405. [Google Scholar] [CrossRef]
- Khan, M.M.; Tercas, H.; Mendonca, J.T.; Wehr, J.; Charalambous, C.; Lewenstein, M.; Garcia-March, M.A. Quantum dynamics of a Bose polaron in a d-dimensional Bose-Einstein condensate. Phys. Rev. A 2021, 103, 023303. [Google Scholar] [CrossRef]
- Kain, B.; Ling, H.Y. Analytical study of static beyond-Frohlich Bose polarons in one dimension. Phys. Rev. A 2018, 98, 033610. [Google Scholar] [CrossRef]
- Reichert, B.; Ristivojevic, Z.; Petkovic, A. The Casimir-like effect in a one-dimensional Bose gas. New J. Phys. 2019, 21, 053024. [Google Scholar] [CrossRef]
- Reichert, B.; Ristivojevic, Z.; Petkovic, A. Field-theoretical approach to the Casimir-like interaction in a one-dimensional Bose gas. Phys. Rev. B 2019, 99, 205414. [Google Scholar] [CrossRef]
- Panochko, G.; Pastukhov, V. Two- and three-body effective potentials between impurities in ideal BEC. J. Phys A Math. Theor. 2021, 54, 085001. [Google Scholar] [CrossRef]
- Drescher, M.; Salmhofer, M.; Enss, T. Quench Dynamics of the Ideal Bose Polaron at Zero and Nonzero Temperatures. Phys. Rev. A 2021, 103, 033317. [Google Scholar] [CrossRef]
- Levinsen, J.; Ardila, L.A.P.; Yoshida, S.M.; Parish, M.M. Quantum Behavior of a Heavy Impurity Strongly Coupled to a Bose Gas. Phys. Rev. Lett. 2021, 127, 033401. [Google Scholar] [CrossRef]
- Volosniev, A.G.; Hammer, H.-W.; Zinner, N.T. Real-time dynamics of an impurity in an ideal Bose gas in a trap. Phys. Rev. A 2015, 92, 023623. [Google Scholar] [CrossRef]
- Andersen, J.O. Theory of the weakly interacting Bose gas. Rev. Mod. Phys. 2004, 76, 599. [Google Scholar] [CrossRef]
- Salasnich, L.; Toigo, F. Zero-point energy of ultracold atoms. Phys. Rep. 2016, 640, 1. [Google Scholar] [CrossRef]
- Volosniev, A.G.; Hammer, H.-W. Analytical approach to the Bose-polaron problem in one dimension. Phys. Rev. A 2017, 96, 031601(R). [Google Scholar] [CrossRef]
- Pastukhov, V. Mean-field properties of impurity in Bose gas with three-body forces. Phys. Lett. A 2019, 383, 2610. [Google Scholar] [CrossRef]
- Panochko, G.; Pastukhov, V. Mean-field construction for spectrum of one-dimensional Bose polaron. Ann. Phys. 2019, 409, 167933. [Google Scholar] [CrossRef]
- Hryhorchak, O.; Panochko, G.; Pastukhov, V. Mean-field study of repulsive 2D and 3D Bose polarons. J. Phys. B At. Mol. Opt. Phys. 2020, 53, 205302. [Google Scholar] [CrossRef]
- Hryhorchak, O.; Panochko, G.; Pastukhov, V. Impurity in a three-dimensional unitary Bose gas. Phys. Lett. A 2020, 384, 126934. [Google Scholar] [CrossRef]
- Massignan, P.; Yegovtsev, N.; Gurarie, V. Universal Aspects of a Strongly Interacting Impurity in a Dilute Bose Condensate. Phys. Rev. Lett. 2021, 126, 123403. [Google Scholar] [CrossRef] [PubMed]
- Jager, J.; Barnett, R.; Will, M.; Fleischhauer, M. Strong-coupling Bose polarons in one dimension: Condensate deformation and modified Bogoliubov phonons. Phys. Rev. Res. 2020, 2, 033142. [Google Scholar] [CrossRef]
- Mora, C.; Castin, Y. Ground State Energy of the Two-Dimensional Weakly Interacting Bose Gas: First Correction Beyond Bogoliubov Theory. Phys. Rev. Lett. 2009, 102, 180404. [Google Scholar] [CrossRef] [PubMed]
- Abramowitz, M.; Stegun, I. Handbook of Mathematical Functions with Formulas, Graphs, and Mathematical Tables; US Government Printing Office: Washington, DC, USA, 1964.
- Schmidt, R.; Enss, T. Self-stabilized Bose polarons. arXiv 2021, arXiv:2102.13616. [Google Scholar]
Publisher’s Note: MDPI stays neutral with regard to jurisdictional claims in published maps and institutional affiliations. |
© 2022 by the authors. Licensee MDPI, Basel, Switzerland. This article is an open access article distributed under the terms and conditions of the Creative Commons Attribution (CC BY) license (https://creativecommons.org/licenses/by/4.0/).