Abstract
Neutron star is an important object for us to verify the equation of state of hadronic matter. For a specific choice of equations of state, mass and radius of a neutron star are determined, for which there are constraints from observations. According to some previous studies, since the strong magnetic field acts as a repulsive force, there is a possibility that neutron stars with strong magnetic fields may have relatively heavier masses than other non-magnetized neutron stars. In this paper, the structure of a neutron star with a strong internal magnetic field is investigated by changing its internal functional form to see how much the neutron star can be massive and also how radius of a neutron star can be within a certain range.
1. Introduction
To study a neutron star (NS) is an interesting and important subject in nuclear physics as it is a unique object of superdense hadronic matter, where its central density might be several times larger than the nuclear saturation density. Equation of state (EoS) for the nuclear matter that depends on the energy density functional is often utilized to discuss various properties of NSs, for instance, the mass–radius (MR) relation.
Historically, Oppenheimer and Volkoff (independently, Tolman) were the first who estimated its maximum mass of solar mass () by employing a noninteracting strongly degenerate relativistic gas of neutrons in 1939 [1,2]. Discoveries of NSs with masses around twice the solar mass have made a strong impact on the nuclear physics community who had once believed that the maximum mass of an NS should not exceed 1.56 due to the occurrence of kaon condensation [3,4]. Indeed, several NSs with around 2 have been confirmed since 2010. The NS PSR J1614-2230 has the observed mass of 1.97 ± 0.04 [5] and the NS PSR J0348+0432 has mass of 2.01 ± 0.04 [6]. In 2021, the mass and equatorial radius of the millisecond-pulsar (MSP) J0740+6620 was constrained to be and km, respectively [7,8,9,10]. If NS matter consists of only nucleons with strong two- or three-body repulsive forces, massive NSs more than 2 can be easily described. However, hyperons are energetically favorable when the baryon chemical potential is large enough in the inner core of an NS. This leads to a reduction in the Fermi pressure to soften the EoS and to a reduction in the predicted maximum mass less than 2 . This is called the hyperon puzzle. Since discoveries of massive NSs, many people have searched for the optimal EoSs that can achieve masses over 2 . To obtain NS masses more than 2 is one of the goals to be achieved for the optimal EoSs.
There are some characteristic NSs: millisecond-pulsar, which has a short rotational period of less than 10 ms, and magnetar, which has a powerful magnetic field on its surface. As a part of external conditions to support over 2 , the extremely rapid rotation and powerful magnetic field should be considered in the EoS study. In our recent studies [11,12], EoSs for a rapidly rotating NS with some deformation and a fixed magnetic field have been investigated. Although an unrealistically rapid rotation can modify the NS mass from 1.89 to 2 , the rotational effects on the mass increase were found to be not so significant for the realistic frequency range of the observed millisecond-pulsars.
A magnetar is a type of the NS that has a strong magnetic field on the surface. Recently, up to 30 magnetars have been observed [13,14]. Maximumly, about G of the magnetic field on the surface has been found by the observation [13], but we do not yet know the generation mechanism of the strong magnetic fields, where and how they come from.
Another constraint on the EoS comes from the NS radius. From the observation of the GW170817 gravitational wave event, the upper limit radius is km [15] at the mass of M = 1.4 . Moreover, another reports the upper limit radius km [16] at M = 1.4 . The lower limit radius was reported as km [17] at M = 1.6 . The upper limit of radius by NICER observations of PSR J0030+0451 is km [18] at .
In this paper, the internal structure and MR relation of NS, including hyperon populations, are investigated by changing the functional form of a strong magnetic field. The strength of the magnetic field is fixed constant as G on the surface and over G near the center. The shape of the magnetic field is parametrized by two parameters and . We first formulate the relativistic mean field (RMF) theory, including hyperons. Here, we introduce 12 different EoSs [19,20] depending on the different coupling constants between baryons and mesons. These EoSs have similar saturation properties at nuclear saturation density. This RMF includes a strong magnetic field, which has a functional form of baryon number density . In this work, we solve the Tolman–Oppenheimer–Volkov (TOV) equations to obtain masses and radii for various EoSs by changing and parameters freely. Here, the MR relations are verified with respect to the constraints that maximum masses are within the range of observed masses and the radii at 1.4 solar mass are less than 13.76 km.
2. Formulations
2.1. Equation of State
We adopt the relativistic mean field (RMF) theory based on the nonlinear Walecka model in this work. We assume that the NS matter is static and uniform in the high density region. The Lagrangian reads [19,20,21,22,23,24,25,26]
where
Here, , and indicate baryons, mesons, leptons, and photons, respectively. The field strengths are explicitly given as
Here, represents the isospin operator and , where is Dirac matrix. Characters in bold font represent isovector fields. The baryon octet p, n, , , , , , the electron (0.511 MeV), the muon (105.7 MeV), and the tauon (1777 MeV) are considered for fermions [27]. The scalar-meson , the vector-meson , and the vector-isovector-meson with masses of MeV, MeV, and MeV are considered for mesons, respectively. In addition, hidden-strangeness mesons, and with masses of MeV, MeV are introduced. The coupling constants of nucleons with these mesons, , , and , and some self-interactions among mesons are determined by fitting the physical quantities at the saturation density [19,21,22].
For seven kinds of EoSs employed in the present study, nuclear properties at saturation number density are given in Table 1. Here, TM1 and TM2 are different with respect to the slope parameter L, where L is closely related to the radius of an NS. The NL3 parametrization is fitted to the ground-state properties of both stable and unstable nuclei. This parametrization predicts very large, purely nucleonic NS maximum masses, but a symmetry energy slope parameter L is too large. Thus, we also consider the parametrization NL3 with a softer density dependence of the symmetry energy due to the inclusion of the nonlinear term.
Table 1.
Nuclear properties at saturation number density ( (fm)) predicted by seven kinds of EoSs used in this study [20,28]: energy per nucleon ( (MeV)), incompressibility (K (MeV)), symmetry energy (J (MeV)), its slope parameter (L (MeV)), and curvature ( (MeV)) at the saturation point of uniform symmetric nuclear matter [29].
The parameterizations of twelve EoSs (GM1, GM3, TM1-a, TM1-b, TM2-a, TM2-b, NL3-a, NL3-b, NL3-a, NL3-b, DDME2-a, and DDME2-b) are given as follows. The coupling constants of hyperons with mesons are determined by fitting the properties of hypernuclei in the quark model [20]. In the GM1 parameter set, coupling ratios, , , and are adopted. In the GM3 parameter set, coupling ratios, , , and are adopted. The GM3 EoS leads to neutron star with compactness smaller than GM1 EoS. As for other couplings of hyperons with the vector and the vector-isovector mesons, the following SU(6) values are adopted in the a-parameter sets (TM1-a, TM2-a, NL3-a, NL3-a, and DDME2-a):
The difference of a- and b-parametrizations are as follows: (a) SU(6), i.e., , (b) , obtained for equal to its SU(6) value and and are calibrated to hypernuclear data with MeV. The values of hyperon potentials in symmetric nuclear matter, MeV, MeV, and MeV [20], are used to determine the value of . Thus, ratios of the - coupling, the - coupling, and the - coupling in EoS parameter sets except GM1 and GM3, are adopted as in Table 2.
Table 2.
Adopted ratios of - coupling, - coupling, and - coupling in EoS parameter sets.
Here, those EoSs with high incompressibility more than MeV are considered. All other details are given in [12].
2.2. Magnetic Fields
The neutron stars can be massive because of the pressure from magnetic fields. In this work, we investigate an NS with a strong magnetic field inside the NS. From observations, only the strength of the magnetic field on the surface is known and we need to assume the strength and the functional form of the magnetic field inside the NS.
In the following, a density-dependent magnetic field strength is adopted in this study [26,30],
where indicates the strength in a denser region than that of the saturation number density (0.153 fm) and indicates the strength of magnetic fields on the surface. Here, we adopt G.
Since Equation (13) does not satisfy in general, this form of the magnetic fields must be used with caution as a simple way to implement magnetic fields in an NS. With this problem in mind, however, it should be emphasized that for particles in a very small region of an NS, they feel almost a constant magnetic field, for which is practically satisfied. For more realistic magnetic fields, different equations might be used [31].
Even if one assumes the form of Equation (13), one has free parameters , , and . Up to now, there is no work of changing and parameters freely. In this work, we arbitrarily change and to investigate their effects on the radii and masses of NSs.
2.3. EoS of Hadronic Matter with Magnetic Fields
The energy density and the pressure of hadronic matter in the presence of the magnetic fields are given as
respectively, where and are the energy density and the pressure of hadrons where the contribution from the magnetic fields are neglected. However, it should be noted that, without , the effects of the magnetic fields to and are included through the interaction between the magnetic field and each particle’s magnetic moment. All other details are given in Appendix A of Reference [12].
3. Results
3.1. Comparison of the Case without Magnetic Fields
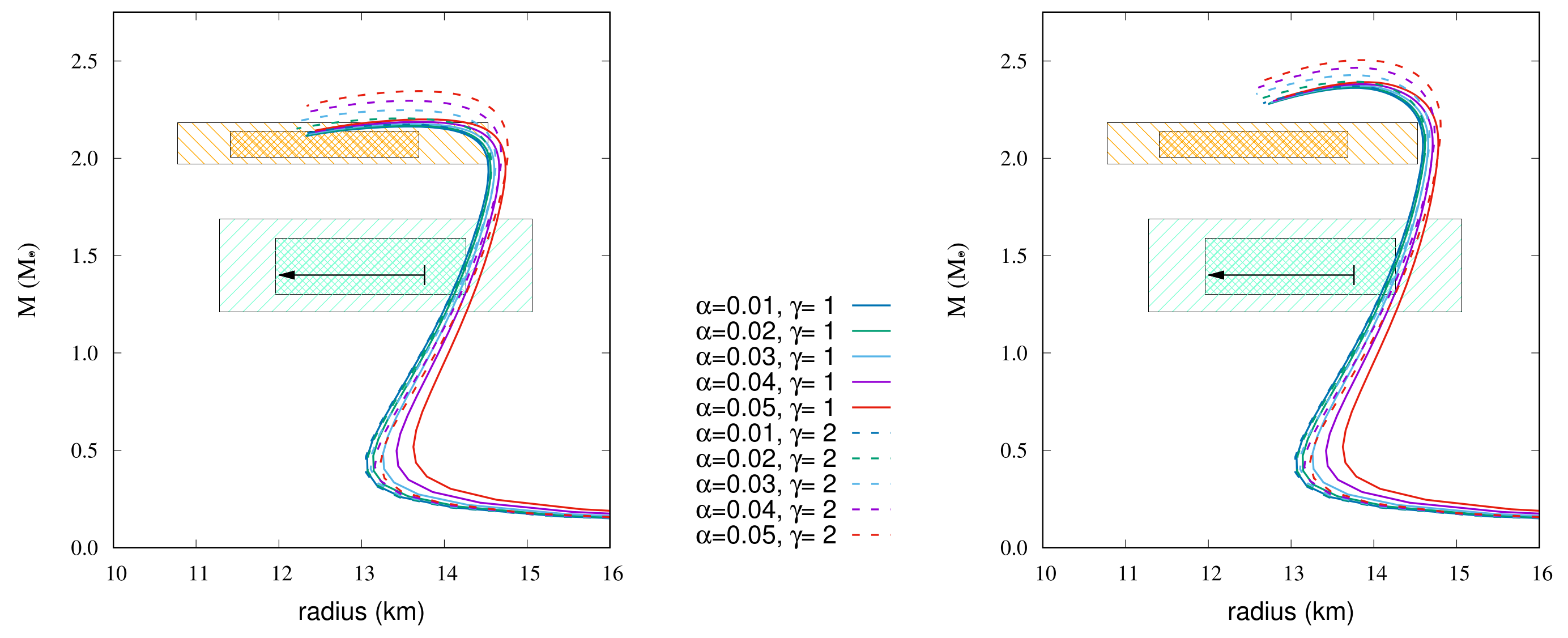
Figure 1 shows the MR relations of 12 EoSs without assuming any magnetic fields. The orange and light green dashed areas indicate pulsars PSR J0740+6620 and PSR J0030+ 0451, respectively. The thick area shows the one within 68% credibility and the thinner area shows the one within 90% credibility. Each EoS curve must go through these areas if they satisfy the observational constraints. The arrow indicates the upper limit of radius for 1.4 from the gravitational wave event GW170817.
Figure 1.
MR relations of 12 EoSs without magnetic fields. The unstable region in each EoS is not shown. The orange and light green dashed areas indicate pulsars PSR J0740+6620 and PSR J0030+0451 (68% (thick) and 90% (thin) credibility), respectively. The arrow indicates the upper limit of radius for 1.4 from the gravitational wave event GW170817. The colored lines represent the following: black (solid line), GM1 EoS; green (solid line), TM1-a EoS; green (dashed line), TM1-b EoS; light blue (solid line), TM2-a EoS; light blue (dashed line), TM2-b EoS; purple (solid line), NL3-a EoS; purple (dashed line), NL3-b EoS; dark blue (solid line), NL3-a EoS; dark blue (dashed line), NL3-b EoS; red (solid line), DDME2-a EoS; red (dashed line), DDME2-b EoS.
Only three EoSs (NL3a, NL3-a, and DDME2-a) barely satisfy the MR constraints (within 90% credibility for the maximum mass), but among them, only NL3-a (K = 271.8 MeV) satisfies the radius constraint at 1.4 . It should be noted that DDME2 (K = 250.9 MeV) is a relatively soft EoS at nuclear saturation density, but it becomes harder in a higher density region.
Table 3 summarizes the maximum masses, radius at 1.4 , and radius at 2.072 for 12 EoSs without magnetic fields. Only three kinds of EoSs (NL3, NL3, and DDME2) give masses of twice the solar mass.
Table 3.
Maximum masses, radius at M = 1.4 , and radius at M = 2.072 for 12 EoSs without magnetic fields.
As general features, the maximum mass becomes smaller when hyperons are included, but the maximum mass increases when the magnetic field is implemented. The average radius increases when a strong magnetic field is implemented.
3.2. Changing and Parameters of the Magnetic Field Function
In this section, the magnetic field in Equation (13) is also implemented, where and parameters are changed as free parameters.
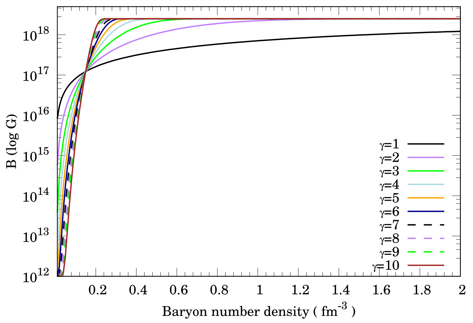
The as a function of baryon number density for various parameters is shown in Figure 2. Each line indicates a magnetic field with G and . In Figure 2, as becomes larger, the strength of the magnetic field B changes more abruptly. Even at baryon number density fm and (black solid line), the strength of magnetic field is G. This indicates that parameter strongly affects the strength of the magnetic field near the surface of an NS. Furthermore, the radius at 1.4 becomes larger when becomes larger.
Figure 2.
B() as a function of baryon number density for various parameters with G and . The colored lines represent the following: black (solid line), magnetic fields with ; purple (solid line), magnetic fields with ; green (solid line), magnetic fields with ; light blue (solid line), magnetic fields with ; orange (solid line), magnetic fields with ; dark blue (solid line), magnetic fields with ; black (dashed line), magnetic fields with ; purple (dashed line), magnetic fields with ; green (dashed line), magnetic fields with ; brown (solid line), magnetic fields with .
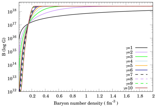
Next, the magnetic field as a function of baryon number density for various parameters is shown in Figure 3. Each line indicates a magnetic field with G and . For fm, is almost constant G. Here, magnetic field strengths at saturation density are given as G for any value of . Magnetic field strengths at saturation density for various parameters are shown in Table 4.
Figure 3.
B() as a function of baryon number density for various parameters with G and . The colored lines represent the following: black (solid line), magnetic fields with ; purple (solid line), magnetic fields with ; green (solid line), magnetic fields with ; light blue (solid line), magnetic fields with ; orange (solid line), magnetic fields with ; yellow (solid line), magnetic fields with ; dark blue (solid line), magnetic fields with ; red (solid line), magnetic fields with ; purple (dashed line), magnetic fields with ; brown (solid line), magnetic fields with .
Table 4.
Strengths of the magnetic field at saturation density fm ( in unit of Gauss) for 12 EoSs with G.
The maximum mass, radius at 1.4, and radius at 2.072 by changing and in Equation (13) are shown in Table 5, Table 6, Table 7, Table 8, Table 9, Table 10, Table 11 and Table 12 for each EoSs. The MR relations by changing and are given in Figure 4, Figure 5, Figure 6, Figure 7, Figure 8, Figure 9 and Figure 10 for those EoSs with various incompressibilities, which satisfy the observational constraints.
Figure 4 shows the MR relations of GM1 EoS with magnetic fields. The following EoSs go through 68% credibility with respect to the maximum mass and the radius at 1.4 .
- For , 0.05, 0.06, and 0.07;
- For , 0.02, 0.03, and 0.04;
- For , 0.01.
Figure 4.
MR relations of GM1 EoS with magnetic fields. The strength of surface magnetic field strength is G, and the central magnetic field strength is G. The arrow and colored hatched areas are the same as in Figure 1.
Figure 4.
MR relations of GM1 EoS with magnetic fields. The strength of surface magnetic field strength is G, and the central magnetic field strength is G. The arrow and colored hatched areas are the same as in Figure 1.

Figure 5 shows the MR relations of GM3 EoS with magnetic fields. The following EoSs go through 68% credibility with respect to the maximum mass and the radius at 1.4 .
- For , = 0.09;
- For , = 0.03, 0.04, and 0.05;
- For , = 0.01 and 0.02;
- For , = 0.01.
Figure 6 shows the MR relations of NL3-a EoS with magnetic fields. The following EoSs go through 68% credibility with respect to the maximum mass and the radius at 1.4 .
- For , 0.01;
- For , 0.01.
Figure 7 shows the MR relations of NL3-b EoS with magnetic fields. In this case, no EoSs go through 68% credibility with respect to the maximum mass and the radius at 1.4 .
Table 5.
Maximum mass () in unit of and radius (km) at () and radius (km) at () for GM1 EoS with magnetic fields ( G, G).
Table 5.
Maximum mass () in unit of and radius (km) at () and radius (km) at () for GM1 EoS with magnetic fields ( G, G).
| 2 | 3 | ||||||
|---|---|---|---|---|---|---|---|
| 0.01 | 1.810 | 13.50 | − | 0.01 | 1.977 | 13.54 | − |
| 0.02 | 1.867 | 13.57 | − | 0.02 | 2.130 | 13.68 | 12.62 |
| 0.03 | 1.927 | 13.66 | − | 0.03 | 2.245 | 13.82 | 13.37 |
| 0.04 | 1.989 | 13.78 | − | 0.04 | 2.339 | 13.96 | 13.81 |
| 0.05 | 2.049 | 13.90 | − | 0.05 | 2.421 | 14.09 | 14.13 |
| 0.06 | 2.107 | 14.03 | 12.93 | 0.06 | 2.493 | 14.22 | 14.40 |
| 0.07 | 2.161 | 14.16 | 13.47 | 0.07 | 2.558 | 14.35 | 14.62 |
| 0.08 | 2.214 | 14.30 | 13.85 | 0.08 | 2.619 | 14.47 | 14.82 |
| 0.09 | 2.265 | 14.44 | 14.16 | 0.09 | 2.671 | 14.59 | 15.00 |
| 0.10 | 2.313 | 14.59 | 14.43 | 0.10 | 2.719 | 14.71 | 15.15 |
| 4 | 5 | ||||||
| 0.01 | 2.247 | 13.64 | 13.07 | 0.01 | 2.494 | 13.76 | 13.82 |
| 0.02 | 2.431 | 13.83 | 13.81 | 0.02 | 2.679 | 13.98 | 14.35 |
| 0.03 | 2.557 | 13.99 | 14.22 | 0.03 | 2.799 | 14.15 | 14.66 |
| 0.04 | 2.653 | 14.14 | 14.51 | 0.04 | 2.889 | 14.29 | 14.88 |
| 0.05 | 2.732 | 14.27 | 14.73 | 0.05 | 2.960 | 14.42 | 15.07 |
| 0.06 | 2.800 | 14.40 | 14.92 | 0.05 | 3.020 | 14.53 | 15.23 |
| 0.07 | 2.862 | 14.51 | 15.08 | 0.07 | 3.072 | 14.63 | 15.37 |
| 0.08 | 2.915 | 14.62 | 15.23 | 0.08 | 3.118 | 14.72 | 15.50 |
| 0.09 | 2.962 | 14.71 | 15.37 | 0.09 | 3.160 | 14.80 | 15.61 |
| 0.10 | 3.005 | 14.81 | 15.49 | 0.10 | 3.197 | 14.88 | 15.71 |
Figure 5.
MR relations of GM3 EoS with magnetic fields. The strength of surface magnetic field strength is G, and the central magnetic field strength is G. The arrow and colored hatched areas are the same as in Figure 1.
Figure 5.
MR relations of GM3 EoS with magnetic fields. The strength of surface magnetic field strength is G, and the central magnetic field strength is G. The arrow and colored hatched areas are the same as in Figure 1.

Table 6.
Maximum mass () in unit of and radius (km) at () and radius (km) at () for GM3 EoS with magnetic fields ( G, G).
Table 6.
Maximum mass () in unit of and radius (km) at () and radius (km) at () for GM3 EoS with magnetic fields ( G, G).
| 2 | 3 | ||||||
|---|---|---|---|---|---|---|---|
| 0.01 | 1.357 | − | − | 0.01 | 1.660 | 12.31 | − |
| 0.02 | 1.458 | 11.63 | − | 0.02 | 1.863 | 13.00 | − |
| 0.03 | 1.557 | 12.46 | − | 0.03 | 2.011 | 13.38 | − |
| 0.04 | 1.647 | 12.95 | − | 0.04 | 2.130 | 13.64 | 12.92 |
| 0.05 | 1.730 | 13.30 | − | 0.05 | 2.233 | 13.85 | 13.54 |
| 0.06 | 1.808 | 13.58 | − | 0.06 | 2.322 | 14.03 | 13.95 |
| 0.07 | 1.881 | 13.82 | − | 0.07 | 2.402 | 14.19 | 14.27 |
| 0.08 | 1.951 | 14.03 | − | 0.08 | 2.473 | 14.34 | 14.54 |
| 0.09 | 2.018 | 14.22 | − | 0.09 | 2.536 | 14.48 | 14.77 |
| 0.10 | 2.081 | 14.40 | 13.19 | 0.10 | 2.594 | 14.61 | 14.96 |
| 4 | 5 | ||||||
| 0.01 | 2.021 | 13.04 | 0.01 | 2.768 | 13.84 | 14.36 | |
| 0.02 | 2.252 | 13.49 | 13.22 | 0.02 | 2.949 | 14.13 | 14.80 |
| 0.03 | 2.404 | 13.76 | 13.83 | 0.03 | 3.060 | 14.31 | 15.07 |
| 0.04 | 2.520 | 13.96 | 14.22 | 0.04 | 3.139 | 14.45 | 15.27 |
| 0.05 | 2.614 | 14.13 | 14.51 | 0.05 | 3.201 | 14.57 | 15.42 |
| 0.06 | 2.694 | 14.28 | 14.74 | 0.06 | 3.253 | 14.66 | 15.55 |
| 0.07 | 2.763 | 14.42 | 14.94 | 0.07 | 3.297 | 14.75 | 15.66 |
| 0.08 | 2.824 | 14.54 | 15.11 | 0.08 | 3.336 | 14.82 | 15.76 |
| 0.09 | 2.878 | 14.65 | 15.26 | 0.09 | 3.370 | 14.89 | 15.85 |
| 0.10 | 2.927 | 14.75 | 15.40 | 0.10 | 3.401 | 14.95 | 15.93 |
Figure 6.
MR relations of NL3-a EoS with magnetic fields. The strength of surface magnetic field strength is G, and the central magnetic field strength is G. The arrow and colored hatched areas are the same as in Figure 1.
Figure 6.
MR relations of NL3-a EoS with magnetic fields. The strength of surface magnetic field strength is G, and the central magnetic field strength is G. The arrow and colored hatched areas are the same as in Figure 1.

Table 7.
Maximum mass () in unit of and radius (km) at () and radius (km) at () for NL3-a EoS with magnetic fields ( G, G).
Table 7.
Maximum mass () in unit of and radius (km) at () and radius (km) at () for NL3-a EoS with magnetic fields ( G, G).
| 1 | 2 | ||||||
|---|---|---|---|---|---|---|---|
| 0.01 | 2.177 | 13.63 | 14.07 | 0.01 | 2.188 | 13.63 | 14.08 |
| 0.02 | 2.182 | 13.66 | 14.10 | 0.02 | 2.220 | 13.65 | 14.14 |
| 0.03 | 2.190 | 13.71 | 14.15 | 0.03 | 2.262 | 13.69 | 14.21 |
| 0.04 | 2.200 | 13.78 | 14.21 | 0.04 | 2.310 | 13.74 | 14.29 |
| 0.05 | 2.212 | 13.87 | 14.29 | 0.05 | 2.359 | 13.81 | 14.38 |
| 0.06 | 2.227 | 13.98 | 14.39 | 0.06 | 2.409 | 13.88 | 14.47 |
| 0.07 | 2.244 | 14.10 | 14.49 | 0.07 | 2.457 | 13.96 | 14.55 |
| 0.08 | 2.262 | 14.25 | 14.61 | 0.08 | 2.503 | 14.05 | 14.65 |
| 0.09 | 2.282 | 14.42 | 14.75 | 0.09 | 2.549 | 14.16 | 14.75 |
| 0.10 | 2.303 | 14.61 | 14.88 | 0.10 | 2.592 | 14.26 | 14.86 |
| 3 | 4 | ||||||
| 0.01 | 2.268 | 13.63 | 14.13 | 0.01 | 2.485 | 13.64 | 14.22 |
| 0.02 | 2.394 | 13.67 | 14.24 | 0.02 | 2.664 | 13.70 | 14.37 |
| 0.03 | 2.500 | 13.72 | 14.34 | 0.03 | 2.782 | 13.78 | 14.50 |
| 0.04 | 2.589 | 13.79 | 14.44 | 0.04 | 2.869 | 13.86 | 14.63 |
| 0.05 | 2.665 | 13.86 | 14.55 | 0.05 | 2.939 | 13.95 | 14.75 |
| 0.06 | 2.731 | 13.94 | 14.65 | 0.06 | 2.997 | 14.04 | 14.87 |
| 0.07 | 2.789 | 14.03 | 14.76 | 0.07 | 3.047 | 14.12 | 14.98 |
| 0.08 | 2.841 | 14.12 | 14.87 | 0.08 | 3.089 | 14.21 | 15.09 |
| 0.09 | 2.887 | 14.21 | 14.97 | 0.09 | 3.127 | 14.29 | 15.19 |
| 0.10 | 2.930 | 14.30 | 15.08 | 0.10 | 3.161 | 14.37 | 15.29 |
Figure 7.
MR relations of NL3-b EoS with magnetic fields. The strength of surface magnetic field strength is G, and the central magnetic field strength is G. The arrow and colored hatched areas are the same as in Figure 1.
Figure 7.
MR relations of NL3-b EoS with magnetic fields. The strength of surface magnetic field strength is G, and the central magnetic field strength is G. The arrow and colored hatched areas are the same as in Figure 1.

Table 8.
Maximum mass () in unit of and radius (km) at () and radius (km) at () for NL3-b EoS with magnetic fields ( G, G).
Table 8.
Maximum mass () in unit of and radius (km) at () and radius (km) at () for NL3-b EoS with magnetic fields ( G, G).
| 1 | 2 | ||||||
|---|---|---|---|---|---|---|---|
| 0.01 | 2.373 | 13.63 | 14.19 | 0.01 | 2.381 | 13.63 | 14.19 |
| 0.02 | 2.377 | 13.66 | 14.21 | 0.02 | 2.405 | 13.65 | 14.23 |
| 0.03 | 2.383 | 13.71 | 14.25 | 0.03 | 2.438 | 13.69 | 14.27 |
| 0.04 | 2.390 | 13.78 | 14.30 | 0.04 | 2.475 | 13.74 | 14.33 |
| 0.05 | 2.400 | 13.87 | 14.37 | 0.05 | 2.512 | 13.81 | 14.39 |
| 0.06 | 2.411 | 13.98 | 14.45 | 0.06 | 2.551 | 13.88 | 14.47 |
| 0.07 | 2.424 | 14.10 | 14.54 | 0.07 | 2.588 | 13.96 | 14.56 |
| 0.08 | 2.438 | 14.25 | 14.65 | 0.08 | 2.625 | 14.05 | 14.65 |
| 0.09 | 2.453 | 14.42 | 14.77 | 0.09 | 2.661 | 14.16 | 14.75 |
| 0.10 | 2.469 | 14.61 | 14.90 | 0.10 | 2.696 | 14.26 | 14.86 |
| 3 | 4 | ||||||
| 0.01 | 2.440 | 13.63 | 14.21 | 0.01 | 2.606 | 13.64 | 14.25 |
| 0.02 | 2.536 | 13.67 | 14.27 | 0.02 | 2.751 | 13.70 | 14.37 |
| 0.03 | 2.620 | 13.72 | 14.35 | 0.03 | 2.848 | 13.78 | 14.50 |
| 0.04 | 2.691 | 13.79 | 14.45 | 0.04 | 2.924 | 13.86 | 14.63 |
| 0.05 | 2.754 | 13.86 | 14.55 | 0.05 | 2.984 | 13.95 | 14.75 |
| 0.06 | 2.808 | 13.94 | 14.65 | 0.06 | 3.033 | 14.04 | 14.87 |
| 0.07 | 2.855 | 14.03 | 14.76 | 0.07 | 3.076 | 14.12 | 14.98 |
| 0.08 | 2.900 | 14.12 | 14.87 | 0.08 | 3.114 | 14.21 | 15.09 |
| 0.09 | 2.940 | 14.21 | 14.97 | 0.09 | 3.149 | 14.29 | 15.19 |
| 0.10 | 2.977 | 14.30 | 15.08 | 0.10 | 3.180 | 14.37 | 15.29 |
Figure 8 shows the MR relations of TM2-a EoS with magnetic fields. The following EoSs go through 68% credibility with respect to the maximum mass and the radius 1.4 .
- For , 0.05 and 0.06;
- For , 0.02, 0.03, and 0.04;
- For , 0.01.
Figure 8.
MR relations of TM2-a EoS with magnetic fields. The strength of surface magnetic field strength is G, and the central magnetic field strength is G. The arrow and colored hatched areas are the same as in Figure 1.
Figure 8.
MR relations of TM2-a EoS with magnetic fields. The strength of surface magnetic field strength is G, and the central magnetic field strength is G. The arrow and colored hatched areas are the same as in Figure 1.

Figure 9 shows the MR relations of TM2-b EoS with magnetic fields. The following EoSs go through 68% credibility with respect to the maximum mass and the radius at 1.4 .
- 1.
- For , 0.03, 0.04, 0.05, and 0.06;
- 2.
- For , 0.01, 0.02, 0.03, and 0.04;
Table 9.
Maximum mass () in unit of and radius (km) at () and radius (km) at () for TM2-a EoS with magnetic fields ( G, G).
Table 9.
Maximum mass () in unit of and radius (km) at () and radius (km) at () for TM2-a EoS with magnetic fields ( G, G).
| 2 | 0.05 | 1.983 | 13.59 | − |
| 2 | 0.06 | 2.048 | 13.71 | 12.56 |
| 3 | 0.02 | 2.072 | 13.38 | 12.12 |
| 3 | 0.03 | 2.210 | 13.51 | 13.35 |
| 3 | 0.04 | 2.320 | 13.65 | 13.75 |
| 4 | 0.01 | 2.212 | 13.35 | 13.06 |
| 4 | 0.02 | 2.425 | 13.53 | 13.73 |
| 4 | 0.03 | 2.561 | 13.71 | 14.06 |
| 5 | 0.01 | 2.497 | 13.46 | 13.73 |
| 5 | 0.02 | 2.691 | 13.71 | 14.16 |
| 6 | 0.01 | 2.711 | 13.61 | 14.08 |
- 3.
- For , 0.01.
Figure 9.
MR relations of TM2-b EoS with magnetic fields. The strength of surface magnetic field strength is G, and the central magnetic field strength is G. The arrow and colored hatched areas are the same as in Figure 1.
Figure 9.
MR relations of TM2-b EoS with magnetic fields. The strength of surface magnetic field strength is G, and the central magnetic field strength is G. The arrow and colored hatched areas are the same as in Figure 1.

Table 10.
Maximum mass () in unit of and radius (km) at () and radius (km) at () for TM2-b EoS with magnetic fields ( G, G).
Table 10.
Maximum mass () in unit of and radius (km) at () and radius (km) at () for TM2-b EoS with magnetic fields ( G, G).
| 2 | 0.03 | 2.018 | 13.38 | − |
| 2 | 0.04 | 2.077 | 13.47 | 12.51 |
| 2 | 0.05 | 2.135 | 13.59 | 13.18 |
| 2 | 0.06 | 2.192 | 13.71 | 13.52 |
| 3 | 0.01 | 2.056 | 13.28 | − |
| 3 | 0.02 | 2.207 | 13.38 | 13.15 |
| 3 | 0.03 | 2.321 | 13.51 | 13.55 |
| 3 | 0.04 | 2.416 | 13.65 | 13.81 |
| 4 | 0.01 | 2.322 | 13.35 | 13.32 |
| 4 | 0.02 | 2.503 | 13.53 | 13.76 |
| 4 | 0.03 | 2.620 | 13.71 | 14.06 |
| 5 | 0.01 | 2.565 | 13.46 | 13.74 |
| 5 | 0.02 | 2.731 | 13.71 | 14.16 |
| 6 | 0.01 | 2.748 | 13.61 | 14.08 |
Figure 10.
MR relations of DDME2-a (left) and DDME2-b (right) EoSs with magnetic fields. The strength of surface magnetic field strength is G, and the central magnetic field strength is G. The arrow and colored hatched areas are the same as in Figure 1.
Figure 10.
MR relations of DDME2-a (left) and DDME2-b (right) EoSs with magnetic fields. The strength of surface magnetic field strength is G, and the central magnetic field strength is G. The arrow and colored hatched areas are the same as in Figure 1.

Table 11.
Maximum mass () in unit of and radius (km) at () and radius (km) at () for DDME2-a EoS with magnetic fields ( G, G).
Table 11.
Maximum mass () in unit of and radius (km) at () and radius (km) at () for DDME2-a EoS with magnetic fields ( G, G).
| 0.01 | 2.163 | 14.18 | 14.43 | 0.01 | 2.174 | 14.18 | 14.45 |
| 0.02 | 2.168 | 14.22 | 14.47 | 0.02 | 2.205 | 14.21 | 14.51 |
| 0.03 | 2.176 | 14.27 | 14.52 | 0.03 | 2.247 | 14.24 | 14.59 |
| 0.04 | 2.187 | 14.34 | 14.59 | 0.04 | 2.295 | 14.30 | 14.68 |
| 0.05 | 2.200 | 14.44 | 14.68 | 0.05 | 2.345 | 14.36 | 14.76 |
Table 12.
Maximum mass () in unit of and radius (km) at () and radius (km) at () for DDME2-b EoS with magnetic fields ( G, G).
Table 12.
Maximum mass () in unit of and radius (km) at () and radius (km) at () for DDME2-b EoS with magnetic fields ( G, G).
| 1 | 2 | ||||||
|---|---|---|---|---|---|---|---|
| 0.01 | 2.362 | 14.18 | 14.59 | 0.01 | 2.370 | 14.18 | 14.60 |
| 0.02 | 2.366 | 14.22 | 14.62 | 0.02 | 2.394 | 14.21 | 14.62 |
| 0.03 | 2.372 | 14.27 | 14.66 | 0.03 | 2.427 | 14.24 | 14.67 |
| 0.04 | 2.381 | 14.34 | 14.71 | 0.04 | 2.465 | 14.30 | 14.73 |
| 0.05 | 2.391 | 14.44 | 14.78 | 0.05 | 2.505 | 14.36 | 14.79 |
Figure 10 shows the MR relations of DDME2-a (left) and DDME2-b (right) EoSs with magnetic fields. The following EoSs for DDME2-a go through 68% credibility with respect to the maximum mass and the radius at 1.4 .
- For , 0.01, 0.02, and 0.03;
- For , 0.01.
4. Summary
In this work, the MR relations for magnetized neutron stars (NSs) have been investigated using twelve EoSs (seven kinds of EoSs). The NSs consist of nucleons and hyperons. They are implemented with magnetic fields, whose forms are changed by the shape parameters and . The and are the damping factor and the exponent of the density dependence of a magnetic field, respectively.
First, we have found that, without any magnetic fields, only NL3-a EoS satisfies the constraint for mass and radius from observations. Second, we have found that many varieties of EoSs with the implement of strong magnetic fields give maximum masses over 2 and satisfy the constraints from the observations at the same time.
To summarize, using different shapes of the magnetic field, in this work, we have demonstrated that many kinds of EoSs with strong magnetic fields can satisfy the constraints on the maximum mass and the radius within the range by observations. Other EoSs with lower incompressibility ( MeV) than those EoSs examined in this work will be studied in future work.
Author Contributions
Data curation, C.W.; Visualization, C.W.; Methodology C.W., N.Y. and S.E.; writing original draft preparation, C.W.; writing review and editing, C.W., N.Y. and S.E. All authors have read and agreed to the published version of the manuscript.
Funding
This research received no external funding.
Institutional Review Board Statement
Not applicable.
Informed Consent Statement
Not applicable.
Data Availability Statement
Not applicable.
Acknowledgments
This work was supported by a Grant-in-Aid for Scientific Research (C) (Grants No. 20K03925 and 20K03943) from the Japan Society for the Promotion of Science (JSPS), and also supported by Leading Initiative for Excellent Young Researchers, MEXT, Japan.
Conflicts of Interest
The author declares no conflict of interest.
References
- Oppenheimer, J.R.; Volkoff, G.M. On Massive Neutron Cores. Phys. Rev. 1939, 55, 374. [Google Scholar] [CrossRef]
- Tolman, R.C. Static Solutions of Einstein’s Field Equations for Spheres of Fluid. Phys. Rev. 1939, 55, 364. [Google Scholar] [CrossRef]
- Bethe, H.A.; Brown, G.E. Observational Constraints on the Maximum Neutron Star Mass. Astrophys. J. 1995, 445, L129. [Google Scholar] [CrossRef]
- Muto, T.; Maruyama, T.; Tatsumi, T. Effects of three-baryon forces on kaon condensation in hyperon-mixed matter. Phys. Lett. B 2021, 820, 136587. [Google Scholar] [CrossRef]
- Demorest, P.B.; Pennucci, T.; Ransom, S.M.; Roberts, M.S.E.; Hessels, J.W.T. A two-solar-mass neutron star measured using Shapiro delay. Nature 2010, 467, 1081–1083. [Google Scholar] [CrossRef] [PubMed]
- Antoniadis, J.; Freire, P.C.C.; Wex, N.; Tauris, T.M.; Lynch, R.S.; van Kerkwijk, M.H.; Kramer, M.; Bassa, C.; Dhillon, V.S.; Driebe, T.; et al. A massive pulsar in a compact relativistic binary. Science 2013, 340, 1233232. [Google Scholar] [CrossRef] [PubMed]
- Cromartie, H.T.; Fonseca, E.; Ransom, S.M.; Demorest, P.B.; Arzoumanian, Z.; Blumer, H.; Brook, P.R.; DeCesar, M.E.; Dolch, T.; Ellis, J.A.; et al. Relativistic Shapiro delay measurements of an extremely massive millisecond pulsar. Nat. Astron. 2020, 4, 72–76. [Google Scholar] [CrossRef]
- Fonseca, E.; Cromartie, H.T.; Pennucci, T.T.; Ray, P.S.; Kirichenko, A.Y.; Ransom, S.M.; Demorest, P.B.; Stairs, I.H.; Arzoumanian, Z.; Guillemot, L.; et al. Refined Mass and Geometric Measurements of the High-Mass PSR J0740+6620. arXiv 2021, arXiv:2104.00880v2. [Google Scholar] [CrossRef]
- Riley, T.E.; Watts, A.L.; Ray, P.S.; Bogdanov, S.; Guillot, S.; Morsink, S.M.; Bilous, A.V.; Arzoumanian, Z.; Choudhury, D.; Deneva, J.S.; et al. A NICER View of the Massive Pulsar PSR J0740+6620 Informed by Radio Timing and XMM-Newton Spectroscopy. Astrop. J. Lett. 2021, 918, L27. [Google Scholar] [CrossRef]
- Miller, M.C.; Lamb, F.K.; Dittmann, A.J.; Bogdanov, S.; Arzoumanian, Z.; Gendreau, K.C.; Guillot, S.; Ho, W.C.G.; Lattimer, J.M.; Loewenstein, M.; et al. The radius of psr J0740+6620 from nicer and XMM-Newton data. arXiv 2021, arXiv:2105.06979v1. [Google Scholar] [CrossRef]
- Yanase, K.; Yoshinaga, N.; Nakano, E.; Watanabe, C. Deformation of neutron stars due to poloidal magnetic fields. Prog. Theor. Exp. Phys. 2019, 8, 083E01. [Google Scholar] [CrossRef]
- Watanabe, C.; Yanase, K.; Yoshinaga, N. Searching optimum equations of state of neutron star matter in strong magnetic fields with rotation. Prog. Theor. Exp. Phys. 2020, 10, 103E04. [Google Scholar] [CrossRef]
- Olausen, S.A.; Kaspi, V.M. The McGill Magnetar Catalog. Astrophys. J. Suppl. 2014, 212, 22. [Google Scholar] [CrossRef]
- McGill Online Magnetar Catalog. Available online: http://www.physics.mcgill.ca/pulsar/magnetar/main.html (accessed on 8 May 2012).
- Annala, E.; Gorda, T.; Kurkela, A.; Vuorinen, A. Gravitational-Wave Constraints on the Neutron-Star-Matter Equation of State. Phys. Rev. Lett. 2018, 120, 172703. [Google Scholar] [CrossRef]
- Fattoyev, F.J.; Piekarewicz, J.; Horowitz, C. Neutron Skins and Neutron Stars in the Multimessenger Era. Phys. Rev. Lett. 2018, 120, 172702. [Google Scholar] [CrossRef]
- Bauswein, A.; Just, O.; Janka, H.-T.; Stergioulas, N. Neutron-star radius constraints from GW170817 and future detections. Astrop. Jour. Lett. 2017, 850, L34. [Google Scholar] [CrossRef]
- Miller, M.C.; Lamb, F.K.; Dittmann, A.J.; Bogdanov, S.; Arzoumanian, Z.; Gendreau, K.C.; Guillot, S.; Harding, A.K.; Ho, W.C.G.; Lattimer, J.M.; et al. PSR J0030+0451 Mass and Radius from NICER Data and Implications for the Properties of Neutron Star Matter. Astrop. J. Lett. 2019, 887, L24. [Google Scholar] [CrossRef]
- Glendenning, N.K. Compact Stars; Springer Science & Business Media: Berlin/Heidelberg, Germany, 2012. [Google Scholar]
- Fortin, M.; Avancini, S.S.; Providência, C.; Vidaña, I. Hypernuclei and massive neutron stars. Phys. Rev. C 2017, 95, 065803. [Google Scholar] [CrossRef]
- Glendenning, N.K. Vacuum polarization effects on nuclear matter and neutron stars. Nucl. Phys. A 1989, 493, 521–548. [Google Scholar] [CrossRef][Green Version]
- Glendenning, N.K.; Moszkowski, S.A. Reconciliation of neutron-star masses and binding of the Λ in hypernuclei. Phys. Rev. Lett. 1991, 67, 2414. [Google Scholar] [CrossRef]
- Sugahara, Y.; Toki, H. Relativistic mean-field theory for unstable nuclei with non-linear σ and ω terms. Nucl. Phys. A 1994, 579, 557–572. [Google Scholar] [CrossRef]
- Broderick, A.; Prakash, M.; Lattimer, J.M. The Equation of State of Neutron Star Matter in Strong Magnetic Fields. Astrophys. J. 2000, 537, 351. [Google Scholar] [CrossRef]
- Rabhi, A.; Perez-Garcia, M.A.; Providência, C.; Vidaña, I. Magnetic susceptibility and magnetization properties of asymmetric nuclear matter in a strong magnetic field. Phys. Rev. C 2015, 91, 045803. [Google Scholar] [CrossRef]
- Casali, R.H.; Castro, L.B.; Menezes, D.P. Hadronic and hybrid stars subject to density-dependent magnetic fields. Phys. Rev. C 2014, 89, 015805. [Google Scholar] [CrossRef]
- Particle Data Group. Available online: http://pdg.lbl.gov/ (accessed on 8 May 2012).
- Ducoin, C.; Margueron, J.; Providência, C.; Vidaẽa, I. Core-crust transition in neutron stars: Predictivity of density developments. Phys. Rev. C 2011, 83, 045810. [Google Scholar] [CrossRef]
- Baldo, M.; Burgio, G.F. The nuclear symmetry energy. Prog. Part. Nucl. Phys. 2016, 91, 203. [Google Scholar] [CrossRef]
- Bandyopadhyay, D.; Chakrabarty, S.; Pal, S. Quantizing Magnetic Field and Quark-Hadron Phase Transition in a Neutron Star. Phys. Rev. Lett. 1997, 79, 2176. [Google Scholar] [CrossRef]
- Menezes, D.P.; Alloy, M.D. Maxwell equation violation by density dependent magnetic fields in neutron stars. arXiv 2016, arXiv:1607.07687. [Google Scholar]
Publisher’s Note: MDPI stays neutral with regard to jurisdictional claims in published maps and institutional affiliations. |
© 2022 by the authors. Licensee MDPI, Basel, Switzerland. This article is an open access article distributed under the terms and conditions of the Creative Commons Attribution (CC BY) license (https://creativecommons.org/licenses/by/4.0/).


