Scalar Perturbations of Black Holes in the Model
Abstract
:1. Introduction
2. The Klein–Gordon Equation
3. QNMs
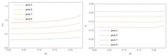
3.1. Frequency Domain
3.2. Time Domain
4. Superradiant Scattering
5. Superradiant Instability
6. Further Discussion
6.1. Deficit Angle
6.2. The Frequency Condition of Superradiance
7. Conclusions
Author Contributions
Funding
Acknowledgments
Conflicts of Interest
Appendix A. Proof of B > 0 When C > 0
Appendix A.1. Case(I): 2Mr− − 2M2 − < 0
Appendix A.2. Case(II): 2Mr− − 2M2 − ≥ 0
References
- Capozziello, S.; Laurentis, M.D. Extended Theories of Gravity. Phys. Rept. 2011, 509, 167. [Google Scholar] [CrossRef] [Green Version]
- Starobinsky, A.A. A New Type of Isotropic Cosmological Models without Singularity. Phys. Lett. B 1980, 91, 99. [Google Scholar] [CrossRef]
- Nojiri, S.; Odintsov, S.D. Modified gravity with negative and positive powers of the curvature: Unification of the inflation and of the cosmic acceleration. Phys. Rev. D 2003, 68, 123512. [Google Scholar] [CrossRef] [Green Version]
- Nojiri, S.; Odintsov, S.D. Modified gravity with ln R terms and cosmic acceleration. Gen. Rel. Grav. 2004, 36, 1765. [Google Scholar] [CrossRef] [Green Version]
- Capozziello, S. Curvature Quintessence. Int. J. Mod. Phys. D 2002, 11, 483–492. [Google Scholar] [CrossRef] [Green Version]
- Capozziello, S.; Cardone, V.F.; Carloni, S.; Troisi, A. Curvature quintessence matched with observational data. Int. J. Mod. Phys. D 2003, 12, 1969. [Google Scholar] [CrossRef] [Green Version]
- Carroll, S.M.; Duvvuri, V.; Trodden, M.; Turner, M.S. Is Cosmic Speed-Up Due to New Gravitational Physics? Phys. Rev. D 2004, 70, 043528. [Google Scholar] [CrossRef] [Green Version]
- Hu, W.; Sawicki, I. Models of f(R) Cosmic Acceleration that Evade Solar-System Tests. Phys. Rev. D 2007, 76, 064004. [Google Scholar] [CrossRef] [Green Version]
- Nojiri, S.; Odintsov, S.D. Unifying inflation with ΛCDM epoch in modified f(R) gravity consistent with Solar System tests. Phys. Lett. B 2007, 657, 238. [Google Scholar] [CrossRef] [Green Version]
- Nojiri, S.; Odintsov, S.D. Modified f(R) gravity unifying Rm inflation with ΛCDM epoch. Phys. Rev. D 2008, 77, 026007. [Google Scholar] [CrossRef] [Green Version]
- Nojiri, S.; Odintsov, S.D. Unified cosmic history in modified gravity: From F(R) theory to Lorentz non-invariant models. Phys. Rept. 2011, 505, 59. [Google Scholar] [CrossRef] [Green Version]
- Nojiri, S.; Odintsov, S.D.; Oikonomou, V.K. Modified Gravity Theories on a Nutshell: Inflation, Bounce and Late-time Evolution. Phys. Rept. 2017, 692, 1. [Google Scholar] [CrossRef] [Green Version]
- Multamaki, T.; Vilja, I. Spherically symmetric solutions of modified field equations in f(R) theories of gravity. Phys. Rev. D 2006, 74, 064022. [Google Scholar] [CrossRef]
- Multamaki, T.; Vilja, I. Static spherically symmetric perfect fluid solutions in f(R) theories of gravity. Phys. Rev. D 2007, 76, 064021. [Google Scholar] [CrossRef] [Green Version]
- Capozziello, S.; Stabile, A.; Troisi, A. Spherically symmetric solutions in f(R)-gravity via Noether Symmetry Approach. Class. Quant. Grav. 2007, 24, 2153–2166. [Google Scholar] [CrossRef] [Green Version]
- Capozziello, S.; Laurentis, M.D.; Stabile, A. Axially symmetric solutions in f(R)-gravity. Class. Quant. Grav. 2010, 27, 165008. [Google Scholar] [CrossRef] [Green Version]
- Hollenstein, L.; Lobo, F.S.N. Exact solutions of f(R) gravity coupled to nonlinear electrodynamics. Phys. Rev. D 2008, 78, 124007. [Google Scholar] [CrossRef] [Green Version]
- Saffari, R.; Rahvar, S. Consistency Condition of Spherically Symmetric Solutions in f(R) Gravity. Mod. Phys. Lett. A 2009, 24, 305. [Google Scholar] [CrossRef] [Green Version]
- Sebastiani, L.; Zerbini, S. Static Spherically Symmetric Solutions in F(R) Gravity. Eur. Phys. J. C 2011, 71, 1591. [Google Scholar] [CrossRef] [Green Version]
- Nashed, G.G.L.; Capozziello, S. Charged spherically symmetric black holes in f(R) gravity and their stability analysis. Phys. Rev. D 2019, 99, 104018. [Google Scholar] [CrossRef] [Green Version]
- Nashed, G.G.L.; Nojiri, S. Non-trivial black hole solutions in f(R) gravitational theory. Phys. Rev. D 2020, 102, 124022. [Google Scholar] [CrossRef]
- Nashed, G.G.L.; Hanafy, W.E.; Odintsov, S.D.; Oikonomou, V.K. Thermodynamical correspondence of f(R) gravity in the Jordan and Einstein frames. Int. J. Mod. Phys. D 2020, 29, 2050090. [Google Scholar] [CrossRef]
- Elizalde, E.; Nashed, G.G.L.; Nojiri, S.; Odintsov, S.D. Spherically symmetric black holes with electric and magnetic charge in extended gravity: Physical properties, causal structure, and stability analysis in Einstein’s and Jordan’s frames. Eur. Phys. J. C 2020, 80, 109. [Google Scholar] [CrossRef] [Green Version]
- Nashed, G.G.L. Uniqueness of non-trivial spherically symmetric black hole solution in special classes of F(R) gravitational theory. Phys. Lett. B 2021, 812, 136012. [Google Scholar] [CrossRef]
- Nashed, G.G.L.; Nojiri, S. Specific neutral and charged black holes in f(R) gravitational theory. Phys. Lett. B 2021, 820, 136475. [Google Scholar] [CrossRef]
- Karakasis, T.; Papantonopoulos, E.; Tang, Z.Y.; Wang, B. Exact Black Hole Solutions with a Conformally Coupled Scalar Field and Dynamic Ricci Curvature in f(R) Gravity Theories. Eur. Phys. J. C 2021, 81, 897. [Google Scholar] [CrossRef]
- Regge, T.; Wheeler, J.A. Stability of a Schwarzschild Singularity. Phys. Rev. 1957, 108, 1063–1069. [Google Scholar] [CrossRef]
- Vishveshwara, C. Scattering of Gravitational Radiation by a Schwarzschild Black-hole. Nature 1970, 227, 936. [Google Scholar] [CrossRef]
- Press, W.H. Long Wave Trains of Gravitational Waves from a Vibrating Black Hole. Astrophys. J. 1971, 170, L105. [Google Scholar] [CrossRef]
- Schutz, B.F.; Will, C.M. Black hole normal modes—A semianalytic approach. Astrophys. J. Lett. 1985, 291, L33–L36. [Google Scholar] [CrossRef] [Green Version]
- Iyer, S. Black-hole normal modes: A WKB approach. II. Schwarzschild black holes. Phys. Rev. D 1987, 35, 3632. [Google Scholar] [CrossRef]
- Iyer, S.; Will, C.M. Black-hole normal modes: A WKB approach. I. Foundations and application of a higher-order WKB analysis of potential-barrier scattering. Phys. Rev. D 1987, 35, 3621. [Google Scholar] [CrossRef]
- Seidel, E.; Iyer, S. Black-hole normal modes: A WKB approach. IV. Kerr black holes. Phys. Rev. D 1990, 41, 374. [Google Scholar] [CrossRef]
- Konoplya, R.A. Quasinormal behavior of the D-dimensional Schwarzshild black hole and higher order WKB approach. Phys. Rev. D 2003, 68, 024018. [Google Scholar] [CrossRef] [Green Version]
- Gundlach, C.; Price, R.H.; Pullin, J. Late time behavior of stellar collapse and explosions: 1. Linearized perturbations. Phys. Rev. D 1994, 49, 883. [Google Scholar] [CrossRef] [PubMed] [Green Version]
- Gundlach, C.; Price, R.H.; Pullin, J. Late time behavior of stellar collapse and explosions: 2. Nonlinear evolution. Phys. Rev. D 1994, 49, 890. [Google Scholar] [CrossRef] [PubMed] [Green Version]
- Press, W.H.; Teukolsky, S.A. Perturbations of a Rotating Black Hole. II. Dynamical Stability of the Kerr Metric. Astrophys. J. 1973, 185, 649. [Google Scholar] [CrossRef]
- Whiting, B.F. Mode stability of the Kerr black hole. J. Math. Phys. 1989, 30, 1301. [Google Scholar] [CrossRef]
- Starobinsky, A.A.; Churilov, S.M. Amplification of electromagnetic and gravitational waves scattered by a rotating black hole. Zh. Eksp. Teor. Fiz. 1973, 65, 3. [Google Scholar]
- Menza, L.D.; Nicolas, J.P. Superradiance on the Reissner-Nordström metric. Class. Quant. Grav. 2015, 32, 145013. [Google Scholar] [CrossRef] [Green Version]
- Benone, C.L.; Crispino, L.C.B. Superradiance in static black hole spacetimes. Phys. Rev. D 2016, 93, 024028. [Google Scholar] [CrossRef] [Green Version]
- Bekenstein, J. Extraction of energy and charge from a black hole. Phys. Rev. D 1973, 7, 949. [Google Scholar] [CrossRef]
- Press, W.H.; Teukolsky, S.A. Floating Orbits, Superradiant Scattering and the Black-hole Bomb. Nature 1972, 238, 211. [Google Scholar] [CrossRef]
- Bardeen, J.M.; Press, W.H.; Teukolsky, S.A. Rotating black holes: Locally nonrotating frames, energy extraction, and scalar synchrotron radiation. Astrophys. J. 1972, 178, 347. [Google Scholar] [CrossRef]
- Pani, P.; Cardoso, V.; Gualtieri, L.; Berti, E.; Ishibashi, A. Black hole bombs and photon mass bounds. Phys. Rev. Lett. 2012, 109, 131102. [Google Scholar] [CrossRef] [PubMed] [Green Version]
- Huang, Y.; Liu, D.J.; Zhai, X.H.; Li, X.Z. Massive charged Dirac fields around Reissner-Nordström black holes: Quasibound states and long-lived modes. Phys. Rev. D 2019, 96, 065002. [Google Scholar] [CrossRef] [Green Version]
- Huang, Y.; Liu, D.J.; Zhai, X.H.; Li, X.Z. Scalar clouds around Kerr-Sen black holes. Class. Quantum. Grav. 2017, 34, 155002. [Google Scholar] [CrossRef] [Green Version]
- Huang, Y.; Liu, D.J.; Zhai, X.H.; Li, X.Z. Instability for massive scalar fields in Kerr-Newman spacetime. Phys. Rev. D 2018, 98, 025021. [Google Scholar] [CrossRef] [Green Version]
- Huang, Y.; Liu, D.J.; Li, X.Z. Superradiant instability of D-dimensional Reissner-Nordström-anti-de Sitter black hole mirror system. Int. J. Mod. Phys. D 2017, 26, 1750141. [Google Scholar] [CrossRef] [Green Version]
- Hod, S. Stability of the extremal Reissner-Nordström black hole to charged scalar perturbations. Phys. Lett. B 2012, 713, 505. [Google Scholar] [CrossRef] [Green Version]
- Hod, S. No-bomb theorem for charged Reissner-Nordström black holes. Phys. Lett. B 2013, 718, 1489. [Google Scholar] [CrossRef] [Green Version]
- Hod, S. Stability of highly-charged Reissner-Nordström black holes to charged scalar perturbations. Phys. Rev. D 2015, 91, 044047. [Google Scholar] [CrossRef] [Green Version]
- Degollado, J.C.; Herdeiro, C.; Runarsson, H.F. Rapid growth of superradiant instabilities for charged black holes in a cavity. Phys. Rev. D 2013, 88, 063003. [Google Scholar] [CrossRef] [Green Version]
- Dolan, S.R.; Ponglertsakul, S.; Winstanley, E. Stability of black holes in Einstein-charged scalar field theory in a cavity. Phys. Rev. D 2015, 92, 124047. [Google Scholar] [CrossRef] [Green Version]
- Sanchis-Gual, N.; Degollado, J.C.; Montero, P.J.; Font, J.A.; Herdeiro, C. Explosion and Final State of an Unstable Reissner-Nordström Black Hole. Phys. Rev. Lett. 2016, 116, 141101. [Google Scholar] [CrossRef]
- Sanchis-Gual, N.; Degollado, J.C.; Herdeiro, C.; Font, J.A.; Montero, P.J. Dynamical formation of a Reissner-Nordström black hole with scalar hair in a cavity. Phys. Rev. D 2016, 94, 044061. [Google Scholar] [CrossRef] [Green Version]
- Santos, E.C.; Fabris, J.C.; de Pacheco, J.A. Quasi-normal modes of black holes and naked singularities: Revisiting the WKB method. arXiv 2019, arXiv:1903.04874. [Google Scholar]
- Berti, E.; Cardoso, V.; Gonzalez, J.A.; Sperhake, U. Mining information from binary black hole mergers: A Comparison of estimation methods for complex exponentials in noise. Phys. Rev. D 2007, 75, 124017. [Google Scholar] [CrossRef] [Green Version]
- Li, X.Z.; Xi, P.; Zhang, Q. Gravitating tensor monopole in a Lorentz-violating field theory. Phys. Rev. D 2012, 85, 085030. [Google Scholar] [CrossRef] [Green Version]
- Vinet, J.; Cline, J.M. Can codimension-two branes solve the cosmological constant problem? Phys. Rev. D 2004, 70, 083514. [Google Scholar] [CrossRef] [Green Version]
- Li, P.; Li, X.Z.; Xi, P. Analytical expression for a class of spherically symmetric solutions in Lorentz breaking massive gravity. Class. Quant. Grav. 2016, 33, 115004. [Google Scholar] [CrossRef] [Green Version]





| Q = 0 | Q = 0.5 | Q = 1 | |
|---|---|---|---|
| 0.05 | 0.0506405–0.00723841i | 0.0507361–0.00724286i | 0.0510277–0.00725603i |
| 0.10 | 0.101281–0.0144768i | 0.102055–0.0145121i | 0.104545–0.0146107i |
| 0.15 | 0.151921–0.0217152i | 0.154592–0.0218319i | 0.164079–0.0220981i |
| 0.20 | 0.202562–0.0289536i | 0.209090–0.0292214i | 0.236908–0.0292890i |
| 0.25 | 0.253202–0.0361920i | 0.266504–0.0366856i | |
| 0.30 | 0.303843–0.0434305i | 0.328158–0.0441963i | |
| 0.35 | 0.354483–0.0506689i | 0.396082–0.0516327i | |
| 0.40 | 0.405124–0.0579073i | 0.473815–0.0585780i | |
| 0.45 | 0.455764–0.0651457i | 0.568936–0.0632737i | |
| 0.50 | 0.506405–0.0723841i |
Publisher’s Note: MDPI stays neutral with regard to jurisdictional claims in published maps and institutional affiliations. |
© 2022 by the authors. Licensee MDPI, Basel, Switzerland. This article is an open access article distributed under the terms and conditions of the Creative Commons Attribution (CC BY) license (https://creativecommons.org/licenses/by/4.0/).
Share and Cite
Li, P.; Jiang, R.; Lv, J.; Zhai, X.
Scalar Perturbations of Black Holes in the
Li P, Jiang R, Lv J, Zhai X.
Scalar Perturbations of Black Holes in the
Li, Ping, Rui Jiang, Jian Lv, and Xianghua Zhai.
2022. "Scalar Perturbations of Black Holes in the
Li, P., Jiang, R., Lv, J., & Zhai, X.
(2022). Scalar Perturbations of Black Holes in the

