Abstract
Making use of the higher dimensional global embedding Minkowski spacetime (GEMS), we embed (3 + 1)-dimensional Schwarzschild and Reissner-Nordström (RN) black holes written by the Painlevé-Gullstrand (PG) spacetimes, which have off-diagonal components in metrics, into (5 + 1)- and (5 + 2)-dimensional flat ones, respectively. As a result, we have shown the equivalence of the GEMS embeddings of the spacetimes with the diagonal and off-diagonal terms in metrics. Moreover, with the aid of their geodesic equations satisfying various boundary conditions in the flat embedded spacetimes, we directly obtain freely falling temperatures. We also show that freely falling temperatures in the PG spacetimes are well-defined beyond the event horizons, while they are equivalent to the Hawking temperatures, which are obtained in the original curved ones in the ranges between the horizon and the infinity. These will be helpful to study GEMS embeddings of more realistic Kerr, or rotating BTZ black holes.
Keywords:
Schwarzschild; Reissner-Nordström; Painlevé-Gullstrand spacetimes; global flat embedding; Unruh effect PACS:
04.20.-q; 04.50.-h; 04.70.-s
1. Introduction
Any low dimensional Riemannian manifold can be locally isometrically embedded in a higher dimensional flat one [1,2,3]. To be specific, by using isometric embedding, it is expected that it may be possible to find the higher dimensional flat manifold than the original curved one with singularity. Moreover, this global embedding Minkowski spacetime (GEMS) method can be used to show their equivalence of Hawking [4] and Unruh effects [5]. Deser and Levin [6,7,8] showed that the Hawking temperature for a fiducial observer in a curved spacetime can be considered as the Unruh one for a uniformly accelerated observer in a higher-dimensional flat spacetime. Since then, there have been a lot of works on the GEMS approach to confirm these ideas in various other spacetimes [9,10,11,12,13,14,15,16,17,18,19,20,21,22,23,24] and an interesting extension to embedding gravity [25,26,27,28]. Later, Brynjolfsson and Thorlacius (BT) [29] introduced a local temperature measured by a freely falling observer in the GEMS method. The local free fall temperature they obtained remains finite at the event horizon and it approaches the Hawking temperature at spatial infinity. Here, a freely falling local temperature is defined at special turning points of radial geodesics where a freely falling observer is momentarily at rest with respect to a black hole. Following the BT’s approach, we have extended the methods to various interesting curved spacetimes [30,31,32,33,34,35] to investigate local temperatures of corresponding spacetimes and their equivalence to Hawking ones. Meanwhile, radial geodesics can be categorized into drip, rain, and hail frames according to which initial states observers or objects are following [36]. Observers are said to be in a drip frame when they are freely falling from rest at a finite initial radius . In particular, when observers are freely falling at rest from infinitely far away or , they are said to be in a rain frame. Observers in a hail frame are hurled inward with initial velocity toward black holes at infinity. In this classification scheme, freely falling local temperature of the BT’s method is the one seen by an observer in a drip frame. It is interesting to extend the BT’s work to the other two frames.
On the other hand, the PG coordinates [37,38] have been newly recognized as an alternative to the Schwarzschild coordinates to avoid the singularity at the event horizon. The PG spacetime remains regular across the horizon. It describes stationary, but not static spacetimes. Observers falling into a black hole in the PG spacetime use their own proper times with spatial flat hypersurfaces flowing radially inward. The importance of the PG spacetime was newly received attention related to the Hawking radiation as a tunnelling process [39,40,41]. In this scenario, when self-gravitation of particles is taken into account, positive energy virtual particles triggered by vacuum fluctuations just inside an event horizon can tunnel out across the horizon. It was extended to more general spherical spacetimes with interesting physical interpretations [42,43,44,45]. Laboratory analogues of gravity [46,47,48,49] can also be recast in the PG spacetime coordinates by conformal transformations. Moreover, the PG spacetime used to describe gravitational collapse dynamically both inside and outside the horizon in a single coordinate patch [50], compared to the standard model of Oppenheimer and Snyder [51,52] which uses two different spacetimes corresponding to the interior and exterior regions of the collapsing body. From a modern point of view, several of the subtle features of the PG spacetime are under investigation [53,54,55,56].
The main goal of this paper is the construction and analysis of the GEMS embeddings of spacetimes with off-diagonal components in metric, whose embedding is extremely difficult to carry out, and actually there are no such GEMS embedding models as far as we know. Since the more physically realistic Kerr, or rotating BTZ holes have the off-diagonal terms in metrics, it would be interesting enough in itself if their GEMS embeddings can be found. If then, one can further find various thermodynamic functions including freely falling temperatures seen by a freely falling observer beyond event horizons. As a preliminary to such a road, in this paper, we will study first GEMS embeddings of the Schwarzschild and the Reissner-Nordström (RN) black holes described by the PG spacetimes, which are also known to be nontrivial due to the existence of off-diagonal terms in metrics. We will also show that their Hawking and Unruh temperatures are the exactly same with the ones in the original GEMS approach. Moreover, by following BT’s method and full geodesic equations satisfying various boundary conditions, we will find freely falling temperatures seen by observers in the PG-embedded Schwarzschild and RN black holes, which can be extended smoothly through the future event horizon. The remainder of the paper is organized as follows. In Section 2, we will construct GEMS embeddings and various temperatures of the Schwarzschild black hole in the PG spacetime and compare them with the ones of the Schwarzschild black hole in the original spherically symmetric spacetime. In Section 3, we also present GEMS embeddings of the RN black hole in the PG spacetime and study various temperatures in drip, rain and hail frames. Conclusions are drawn in Section 4.
2. GEMS Embedding of the Schwarzschild Black Hole in the PG Spacetime
2.1. GEMS Embedding of the Schwarzschild Black Hole in the Spherically Symmetric Spacetime
In this subsection, we briefly recapitulate the GEMS embeddings [1,2,3] and their way of finding Hawking, Unruh, freely falling temperatures at rest [29] of the Schwarzschild black hole in the spherically symmetric spacetime. The spherically symmetric Schwarzschild black hole is described by the metric
with
From the metric, one can find the surface gravity [57] as
where is a Killing vector and the event horizon is given by . Then, the Hawking temperature seen by an asymptotic observer is given by
Moreover, a local fiducial temperature measured by an observer who rests at a distance from the black hole is given by
Note that the fiducial temperature diverges at the event horizon, while it becomes the Hawking temperature to an asymptotic observer.
Now, by following the GEMS approach [1,2,3], the (3 + 1)-dimensional spherically symmetric Schwarzschild spacetime (1) can be embedded in a (5 + 1)-dimensional flat one as
where embedding coordinates are given by
Note the analyticity of in . This helps the embedding coordinates (7) to cover the region by analytic extension.
In static detectors () described by a fixed point in the () plane on the GEMS embedded spacetime, an observer who is uniformly accelerated in the (5 + 1)-dimensional flat spacetime, follows a hyperbolic trajectory in () described by
Thus, one can arrive at the Unruh temperature for the uniformly accelerated observer in the (5 + 1)-dimensional flat spacetime
This corresponds to the fiducial temperature (5) for the observer located at a distance from the Schwarzschild black hole. The Hawking temperature seen by an asymptotic observer can be obtained as
As a result, one can see that the Hawking effect for a fiducial observer in a black hole spacetime is equal to the Unruh effect for a uniformly accelerated observer in a higher-dimensional flat spacetime.
It is appropriate to comment that the static detectors following a timelike Killing vector with the same condition () in the original (3 + 1)-dimensional spacetime have constant 4-acceleration as
where the constant 4-acceleration is given by with . Comparing this with the acceleration (9) in the (5 + 1)-dimensional embedded spacetime, one can have
On the other hand, before finding freely falling accelerations in the embedded spacetime, let us first consider the geodesic Equation [57]
where . Here, the Christoffel symbol is given by
From the metric (1), the geodesic equation gives us explicitly as follows
where denotes the four velocity vector. Without loss of generality, one can consider the geodesics on the equatorial plane given by . Then, one has and the geodesic equations are reduced to
One can easily integrate Equations (19) and (21) as
respectively, where and are integration constants [58].
Note that for the Killing vectors and , two conserved quantities of E and L are given by
Comparing these relations with Equations (22) and (23), one can fix the integration constants
in terms of the conserved quantities E and L. Finally, by letting in Equation (1) and making use of Equations (22)–(26), one can obtain
where the sign is for inward (outward) motion and is for a timelike (nulllike) geodesic.
Now, let us find a freely falling acceleration and corresponding temperature in the (5 + 1)-dimensional embedded flat spacetime, which is described by Equation (7). For simplicity, we assume that an observer is moving along a timelike geodesic with zero angular momentum. Thus, we choose and in the geodesic equations, which read as follows
(a) A drip frame: for an observer who is freely falling from rest at , one has . Since this case was already obtained, let us briefly summarize it [29,30,31,32,33]. The equations of motion are reduced to
where we have chosen the sign in E. Then, making use of the embedding coordinates in Equation (7) and the geodesic equations in Equation (30), one can explicitly find a freely falling acceleration as
This gives us the freely falling temperature measured by the freely falling observer in the drip frame as
Note that is replaced with r in Equation (31). As , the freely falling temperature is reduced to the Hawking temperature (4). Note also that at the event horizon the freely falling temperature (32) is finite, while the fiducial temperature (5) diverges [29,30].
(b) A rain frame: for an observer who is freely falling from rest at the asymptotic infinity, one has . Then, the equations of motion are reduced to
Then, in this case, making use of the embedding coordinates in Equation (7) and the geodesic equations in Equation (30), one can obtain a freely falling acceleration
and thus the freely falling temperature as
Note that the acceleration is only defined at spatial infinity. Thus, is the freely falling temperature in Equation (32) with . Therefore, one can see that the Hawking temperature in a curved spacetime is equal to the Unruh temperature in a higher-dimensional flat spacetime having a freely falling acceleration starting from rest at the asymptotic infinity.
(c) A hail frame: finally, if an observer starts to fall with an inward non-zero velocity at the asymptotic infinity as
where the sign is for the inward direction, one has . Then, the equations of motion are reduced to
It seems to appropriate to comment that the equations of motion (37) give
at the event horizon, which shows that the velocity of the observer does not exceed the speed of light [36], independent of how fast the observer is hurled at the asymptotic infinity given by (36).
Now, by making use of the embedding coordinates in Equation (7) and the geodesic equations in Equation (37), we can obtain an acceleration as
Thus, the freely falling temperature in the hail frame is obtained as
Note that when , this temperature in the hail frame is reduced to the freely falling one in the rain frame as expected. The freely falling temperature in the hail frame can also be rewritten as
in terms of the energy per unit mass. It is appropriate to comment that even though we may have the freely falling temperature in the hail frame, it would not be actually well-defined in the hail frame since the observer is not at rest even momentarily.
2.2. GEMS of the Schwarzschild Black Hole in the PG Spacetime
In this subsection, we newly find GEMS embeddings of the (3 + 1)-dimensional Schwarzschild black hole in the PG spacetime, comparing with the previous results of the Schwarzschild black hole in the spherically symmetric spacetime. In the PG spacetime, GEMS embedding is obtained by redefining the PG time [42] as
where is the Schwarzschild time written in the metric (1) and
This integral can be easily performed and one has
with the definition
Thus, the Schwarzschild black hole in the PG spacetime is described by the metric
which has an off-diagonal term. This PG spacetime is stationary, but not static. Note also that there is no coordinate singularity at , which is the Schwarzschild radius. Unlike the Schwarzschild coordinate, it is possible to define an effective vacuum state of a quantum field with this well-behaved coordinate system at the horizon by requiring that it annihilates negative frequency modes with respect to the PG time t. Moreover, positive energy particles can tunnel out through a barrier set by the energies of outgoing particles themselves [39,40,41]. Observers in this PG spacetime, who are freely falling from rest at infinity and see nothing abnormal at the horizon, carry their own proper times. Each spatial slice of the metric with corresponds to the flat metric in the spherical coordinates. Thus, the spacetime curvature information is contained in the off-diagonal component of the metric (46), which structure we will study in the following GEMS method in detail.
Inspired by the previous GEMS scheme of the Schwarzschild spacetime, the (3 + 1)-dimensional Schwarzschild black hole in the PG spacetime can be embedded into a (5 + 1)-dimensional flat one described as
with
where is denoted in Equation (2) and can be calculated directly from the metric (46) with the definition of (3). Note that compared with the GEMS embeddings in Equation (7), the coordinates and are transformed to include the PG time t, which partly lead to the off-diagonal term in the PG metric (46). On the other hand, the coordinates , , and constitute the spatial hypersurface, which is the same with the constant time spacial slice of the metric (46).
Now, in static detectors (r, , constant) described by a fixed point in the (, , , ) plane, a uniformly accelerated observer in the (5 + 1)-dimensional flat spacetime, follows a hyperbolic trajectory in (,) described by a proper acceleration as follows
Thus, we arrive at the Unruh temperature for the uniformly accelerated observer in the (5 + 1)-dimensional flat spacetime
It is also appropriate to comment that the static detectors having the same condition () in this PG spacetime following timelike Killing vector have the same constant 4-acceleration (11) and thus satisfy the same relation (12).
Now, let us consider the geodesic Equation (13) in the Schwarzschild black hole in the PG spacetime. From the metric (46), one can obtain the geodesic equations explicitly as
As before, for simplicity, one can consider the geodesics on the equatorial plane . Then, the geodesic equations are reduced to
First of all, one can easily integrate (57) as
where is an integration constant. Note that as before, for the Killing vectors and , one can have conserved quantities of E and L given by
Comparing (60) with Equation (58), one can fix the integration constant as
in terms of the conserved quantity L. Also, by letting in Equation (46) and making use of Equations (58) and (59), one can obtain
where the sign is for inward (outward) motion and is for a timelike (nulllike) geodesic. Finally, making use of Equation (62), one can obtain
Here, we have used the sign for describing the inward motion for later convenience.
Now, let us find a freely falling acceleration and corresponding temperature in the (5 + 1)-dimensional embedded flat spacetime. As in the previous subsection, for simplicity, we assume that an observer is moving along a timelike geodesic with zero angular momentum. Thus, we choose and in the geodesic equations, which read as follows
(a) A drip frame: for an observer who is freely falling from rest at [29,30,31,32,33], one has . Then, the equations of motion are reduced to
Note that we have chosen the sign in E.
Now, by exploiting the embedding coordinates in Equation (48) and the equations of motion in Equation (66), one can easily obtain a freely falling acceleration in the (5 + 1)-dimensional GEMS embedded spacetime as
which is exactly the same with the freely falling acceleration (31) as expected. Thus, the freely falling temperature at rest measured by the freely falling observer can be written as
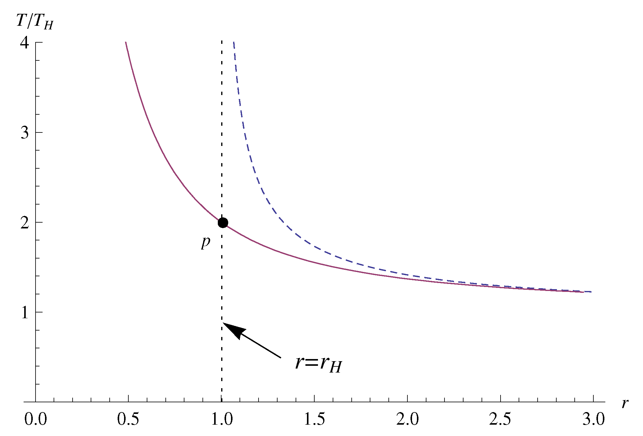
In Figure 1, we have drawn the freely falling and fiducial temperatures in the unit of the Hawking temperature. For fiducial observers at rest from a distance in the PG coordinates, freely falling temperature is seen to diverge at the event horizon. However, for freely falling observers in the PG coordinates, freely falling temperature is well-defined at the horizon and moreover is continuously increased to the singularity by passing through the horizon. It is appropriate to comment that if the observers are at rest from a distance in the usual Schwarzschild coordinates as in the previous subsection, this freely falling temperature would be ended at finite temperature at the event horizon which is denoted by the point p in Figure 1.
Figure 1.
Freely falling temperature in a drip frame (solid line) and fiducial temperature (dashed line) in the PG coordinates in the unit of the Hawking temperature with . For fiducial observers, freely falling temperature is seen to diverge at the event horizon. However, for freely falling observers in a drip frame, freely falling temperature is well-defined at the horizon and increased to the singularity.
(b) A rain frame: for an observer who is freely falling from rest at the asymptotic infinity, one has . Then, the equations of motion are reduced to
Thus, one can obtain a freely falling acceleration as
and the freely falling temperature at rest at the asymptotic infinity as
which is exactly the same with the Hawking temperature (4) as before.
It is appropriate to comment that four velocity in the rain frame can be obtained from the drip frame by taking limit of , which is given by
which shows that the observer’s time is given by the proper time. Then, the velocity seen by the observer in the asymptotic infinity becomes
which is the escape velocity. Thus, one can see that the observer is freely falling with the flat space slicing which is flowing radially inwards at the escape velocity. Note that at the event horizon , it becomes the speed of light.
(c) A hail frame: for an observer who has thrown with a velocity at the asymptotic infinity as
one has . Then, the equations of motion are reduced to
In this case, one can obtain an acceleration by making use of the embedding coordinates in Equation (48) as
Thus, the freely falling-like temperature in the hail frame is obtained as
Note that for the case of , reduces to at infinity and as the throwing velocity is increased, is also increased. As before, the freely falling temperature in the hail frame can also be rewritten as
in terms of the energy per unit mass.
3. GEMS of the RN Black Hole in the PG Spacetime
Let us consider the RN black hole in the spherically symmetric spacetime
with
It was well-known that this RN spacetime can be embedded into the (5 + 2)-dimensional flat spacetime [8,10,14,22,29,30]. So, we do not repeat it. Instead, in the following, we will concentrate on GEMS embedding of the RN black hole in the PG spacetime.
Now, by defining a new time in the PG coordinates as
where is the time in the usual RN spacetime and
one can obtain the RN black hole in the PG spacetime as
which also has an off-diagonal term as before.
First of all, it seems appropriate to comment on the integral (82). By redefining
let us rewrite as
with . Then, through tedious calculations, we have newly obtained the exact solution of the nontrivial form
where
Note that in one should require the condition of . Otherwise, there is an obstruction to implement spatially flat PG hypersurfaces [59]. In the limit of , becomes in Equation (44) as expected.
Now, exploiting the GEMS approach, we can embed the (3 + 1)-dimensional RN black hole in the PG spacetime into one in a (5 + 2)-dimensional flat spacetime as
where the embedding coordinates are explicitly given by
Here, is given by
with . Again, compared with the previous GEMS embeddings of the RN black hole in the spherically symmetric spacetime [8,10,14,22,29,30], the coordinates and include the new PG time t, which partly lead to the off-diagonal term in the PG metric (83). And the coordinates , , and constitute the flat spatial hypersurfaces as far as we keep the condition of .
In static detectors () described by a fixed point in the () plane, a uniformly accelerated observer in the (5 + 2)-dimensional flat spacetime, follows a hyperbolic trajectory in () described by
Thus, we arrive at the Unruh temperature for a uniformly accelerated observer in the (5 + 2)-dimensional flat spacetime
It is also appropriate to comment that the static detectors having the same condition () in the original (3 + 1)-dimensional spacetime following the timelike Killing vector have the constant 4-acceleration as
Comparing this with the acceleration (91) in the (5 + 2)-dimensional embedded spacetime, one can have
In the Schwarzschild limit of and , the acceleration becomes , while becomes (11) so that the relation (12) is recovered as expected.
Now, as in the previous section, let us consider the geodesic equation (13) in the RN black hole in the PG spacetime. First of all, non-vanishing independent components of the Christoffel symbols are given by
As before, for simplicity, one can consider the geodesics on the equatorial plane . Then, the geodesic equations are reduced to
Firstly, one can easily integrate (102) as
where is an integration constant. Now, for the Killing vectors and , one can have conserved quantities of E and L given by
Comparing (105) with Equation (103), one can fix the integration constant as
in terms of the conserved quantity L. Also, by letting in Equation (79) and making use of Equations (103) and (104), one can obtain
where the sign is for inward (outward) motion and is for a timelike (nulllike) geodesic. Finally, making use of (107), one can obtain
As before, we have here used the sign for describing the inward motion for later convenience.
Now, let us find a freely falling acceleration and corresponding temperature in the (5 + 2)-dimensional embedded flat spacetime. As in the previous section, for simplicity, we assume that an observer is moving along a timelike geodesic with zero angular momentum. Thus, we choose and in the geodesic equations, which read as follows
(a) A drip frame: for an observer who is freely falling from rest at [29,30,31,32,33], one has . Then, the equations of motion are reduced to
Note that we have chosen the sign in E.
Now, by exploiting the embedding coordinates in Equation (89) and the equations of motion in Equation (111), one can easily obtain a freely falling acceleration in the (5 + 2)-dimensional GEMS embedded spacetime as
In the last expression, we have replaced with r. Thus, the freely falling temperature at rest measured by the freely falling observer can be written as
In the limit of , the above is reduced to the Hawking temperature
For the case of (, ), becomes the Schwarzschild one in Equation (68). It also seems appropriate to comment that when the observer approaches to the event horizon, does not diverge but is finite as
while the fiducial temperature (92) diverges.
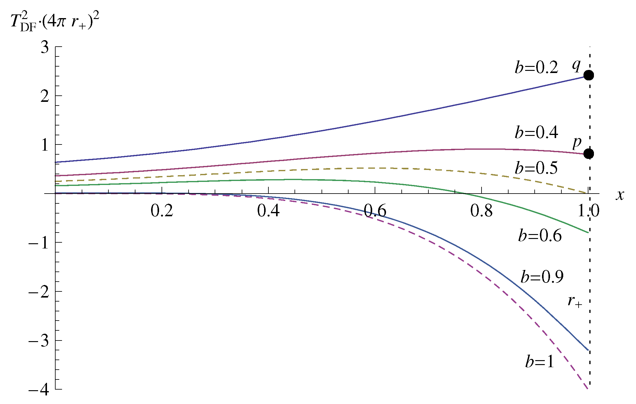
In Figure 2, we have drawn squared freely falling temperatures in a drip frame, which can be rewritten in terms of a dimensionless variable and a parameter as
Figure 2.
Squared freely falling temperatures in a drip frame, along for , where . The dotted line at is for the horizon .
Here, the event horizon of () corresponds to and the parameter b lies between . Note that at the horizon (), this is reduced to
Thus, as seen in Figure 2, when , squared freely falling temperatures are finitely well-defined in the whole range of x. On the other hand, when , there is a region with no thermal radiation surrounding the horizon, where becomes imaginary. These are exactly the same with the ones in the BT’s work [29]. However, as stated before, the freely falling temperatures in the PG coordinates are defined beyond the horizon, while they are not in the original RN spacetime coordinates. To understand this situation better, we have drawn freely falling temperatures in the unit of the Hawking temperature in a drip frame in Figure 3. Then, one can see that the freely falling temperatures in a drip frame, which are obtained from the PG spacetimes, are increased, reached at a peak, and then decreased to zero as the observers fall into the singularity after passing through the horizon. Note that if they are obtained from the original RN coordinates having the spherical symmetric spacetime (79), freely falling temperatures are ended at finite values, such as p and q, at the horizon in Figure 2 and Figure 3. Finally, in Figure 3, the regions of no thermal radiation are in between the singularity and the positions where the freely falling temperatures vanish.
Figure 3.
Freely falling temperatures in the unit of the Hawking temperature in a drip frame (lower curves) and fiducial temperatures (upper curves) along r for . The dotted line at is for the horizon . Note that there is no freely falling temperature for , which is imaginary for all x as easily seen in Equation (116). Freely falling temperatures for can be drawn beyond the horizon (over p and q in the figure) by freely falling observers who are described by the PG coordinates, while fiducial temperatures described by the original RN coordinates cannot be drawn due to divergences at the horizon.
(b) A rain frame: for an observer who is freely falling from rest at the asymptotic infinity, one has . Then, the equations of motion are reduced to
Again, by exploiting the embedding coordinates in Equation (89), one can obtain a freely falling acceleration
Thus, the freely falling temperature at rest at the asymptotic infinity is
which is exactly the same with the Hawking temperature.
(c) A hail frame: if an observer starts to fall with a velocity at the asymptotic infinity as
one has . Then, the equations of motion are reduced to
In this case, one can obtain an acceleration in the hail frame by making use of the embedding coordinates in Equation (89) as
Thus, the hail frame temperature is obtained as
As in the case of the Schwarzschild black hole in the PG spacetime, when , reduces to . Finally, the freely falling temperature in the hail frame can also be rewritten as
in terms of the energy per unit mass.
4. Discussion
In summary, we have globally embedded the (3 + 1)-dimensional Schwarzschild and RN black holes in the PG spacetimes into (5 + 1)- and (5 + 2)-dimensional flat ones, respectively, which were made by the introduction of the PG time. The advantage of introducing the PG time in the GEMS embeddings is that hypersurfaces constructed by , and either for the Schwarzschild and the RN black holes remain flat spacelike as in the original spacetimes. As a result, making use of the embedding coordinates, we have directly obtained the Hawking, Unruh, and freely falling temperatures in the drip, rain, and hail frames. Moreover, we have shown that the Hawking effect for a fiducial observer in a curved spacetime is exactly equal to the Unruh effect for a uniformly accelerated observer in higher-dimensionally embedded flat spacetimes.
On the other hand, the Hawking, Unruh, and freely falling temperatures in the drip frame in the Schwarzschild and RN black holes in the PG spacetime have been shown to be well-defined to the singularity by passing through the event horizon, while to the event horizon they are exactly the same as the ones obtained from the previous GEMS embeddings of the spherically symmetric Schwarzschild and RN spacetimes. We have also shown that the freely falling temperatures in the rain frame, which are seen by an observer who is released freely from the asymptotic infinity, are nothing but the Hawking ones.
Finally, it seems appropriate to comment that we have shown the equivalence of the GEMS embeddings of the spacetimes with the diagonal and off-diagonal terms in metrics. Therefore, through further investigation, it would be very interesting to construct and analyze the GEMS embeddings of the more realistic Kerr, or rotating BTZ holes by using inverse PG type transformations.
Author Contributions
Conceptualization, S.-T.H., Y.-W.K. and Y.-J.P.; Formal analysis, S.-T.H., Y.-W.K. and Y.-J.P.; Funding acquisition, S.-T.H. and Y.-W.K.; Writing-original draft, S.-T.H., Y.-W.K. and Y.-J.P.; Writing-review & editing, S.-T.H., Y.-W.K. and Y.-J.P. All authors have read and agreed to the published version of the manuscript.
Funding
S.-T.H. was supported by Basic Science Research Program through the National Research Foundation of Korea funded by the Ministry of Education, NRF-2019R1I1A1A01058449. Y.-W.K. was supported by the National Research Foundation of Korea (NRF) grant funded by the Korea government (MSIT) (No. 2020R1H1A2102242).
Conflicts of Interest
The authors declare no conflict of interest.
References
- Fronsdal, C. Completion and Embedding of the Schwarzschild Solution. Phys. Rev. 1959, 116, 778–781. [Google Scholar] [CrossRef]
- Rosen, J. Embedding of Various Relativistic Riemannian Spaces in Pseudo-Euclidean Spaces. Rev. Mod. Phys. 1965, 37, 204–214. [Google Scholar] [CrossRef]
- Goenner, H.F. Local isometric embedding of Riemannian manifolds and Einstein’s theory of gravitation. In General Relativity and Gravitation: One Hundred Years after the Birth of Albert Einstein; Held, A., Ed.; Plenum: New York, NY, USA, 1980; Volume 1, pp. 441–468. [Google Scholar]
- Hawking, S.W. Particle Creation by Black Holes. Commun. Math. Phys. 1975, 43, 199–220, Erratum in Commun. Math. Phys. 1976, 46, 206. [Google Scholar] [CrossRef]
- Unruh, W.G. Notes on black hole evaporation. Phys. Rev. D 1976, 14, 870–892. [Google Scholar] [CrossRef]
- Deser, S.; Levin, O. Accelerated detectors and temperature in (anti)-de Sitter spaces. Class. Quant. Grav. 1997, 14, L163–L168. [Google Scholar] [CrossRef]
- Deser, S.; Levin, O. Equivalence of Hawking and Unruh temperatures through flat space embeddings. Class. Quant. Grav. 1998, 15, L85–L87. [Google Scholar] [CrossRef]
- Deser, S.; Levin, O. Mapping Hawking into Unruh thermal properties. Phys. Rev. D 1999, 59, 064004. [Google Scholar] [CrossRef]
- Hong, S.-T.; Kim, Y.-W.; Park, Y.-J. Higher dimensional flat embeddings of (2 + 1)-dimensional black holes. Phys. Rev. D 2000, 62, 024024. [Google Scholar] [CrossRef]
- Kim, Y.-W.; Park, Y.-J.; Soh, K.-S. Reissner-Nordström AdS black hole in the GEMS approach. Phys. Rev. D 2000, 62, 104020. [Google Scholar] [CrossRef]
- Hong, S.-T. Complete higher dimensional global embedding structures of various black holes. Gen. Rel. Grav. 2004, 36, 1919–1929. [Google Scholar] [CrossRef]
- Chen, H.Z.; Tian, Y.; Gao, Y.H.; Song, X.C. The GEMS approach to stationary motions in the spherically symmetric spacetimes. J. High Energy Phys. 2004, 410, 11. [Google Scholar] [CrossRef]
- Santos, N.L.; Dias, O.J.C.; Lemos, J.P.S. Global embedding of D-dimensional black holes with a cosmological constant in Minkowskian spacetimes: Matching between Hawking temperature and Unruh temperature. Phys. Rev. D 2004, 70, 124033. [Google Scholar] [CrossRef]
- Banerjee, R.; Majhi, B.R. A New Global Embedding Approach to Study Hawking and Unruh Effects. Phys. Lett. B 2010, 690, 83–86. [Google Scholar] [CrossRef]
- Cai, R.G.; Myung, Y.S. Hawking temperature for constant curvature black bole and its analogue in de Sitter space. Phys. Rev. D 2011, 83, 107502. [Google Scholar] [CrossRef]
- Hu, B.; Li, H.F. Mapping Hawking temperature in the spinning constant curvature black hole spaces into Unruh temperature. Mod. Phys. Lett. A 2012, 27, 1250002. [Google Scholar]
- Hong, S.-T.; Kim, W.T.; Kim, Y.-W.; Park, Y.-J. Global embeddings of scalar-tensor theories in (2+1)-dimensions. Phys. Rev. D 2000, 62, 064021. [Google Scholar] [CrossRef]
- Hong, S.-T.; Kim, W.T.; Oh, J.J.; Park, Y.-J. Higher dimensional flat embeddings of black strings in (2+1) dimensions. Phys. Rev. D 2001, 63, 127502. [Google Scholar] [CrossRef]
- Hong, S.-T. Thermodynamics of (1+1) dilatonic black holes in global flat embedding scheme. Phys. Lett. B 2005, 623, 135–140. [Google Scholar] [CrossRef]
- Hong, S.-T. SO(3,2)/Sp(2) symmetries in BTZ black holes. Phys. Lett. B 2004, 578, 187–194. [Google Scholar] [CrossRef]
- Hong, S.-T.; Kim, S.-W. Can wormholes have negative temperatures? Mod. Phys. Lett. A 2006, 21, 789–794. [Google Scholar] [CrossRef]
- Paston, S.A.; Sheykin, A.A. Global Embedding of the Reissner-Nordström Metric in the Flat Ambient Space. SIGMA 2014, 10, 3. [Google Scholar] [CrossRef]
- Paston, S.A. Hawking into Unruh mapping for embeddings of hyperbolic type. Class. Quant. Grav. 2015, 32, 145009. [Google Scholar] [CrossRef][Green Version]
- Sheykin, A.A.; Solovyev, D.P.; Paston, S.A. Global embeddings of BTZ and Schwarzschild-AdS type black holes in a flat space. Symmetry 2019, 11, 841. [Google Scholar] [CrossRef]
- Paston, S.A.; Sheykin, A.A. From the Embedding Theory to General Relativity in a result of inflation. Int. J. Mod. Phys. D 2012, 21, 1250043. [Google Scholar] [CrossRef]
- Paston, S.A.; Sheykin, A.A. Embedding theory as new geometrical mimetic gravity. Eur. Phys. J. C 2018, 78, 989. [Google Scholar] [CrossRef]
- Paston, S.A. Dark matter from non-relativistic embedding gravity. Mod. Phys. Lett. A 2021, 36, 2150101. [Google Scholar] [CrossRef]
- Paston, S.A. Non-Relativistic Limit of Embedding Gravity as General Relativity with Dark Matter. Universe 2020, 6, 163. [Google Scholar] [CrossRef]
- Brynjolfsson, E.J.; Thorlacius, L. Taking the Temperature of a Black Hole. J. High Energy Phys. 2008, 809, 66. [Google Scholar] [CrossRef]
- Kim, Y.-W.; Choi, J.; Park, Y.-J. Local free-fall temperature of a RN-AdS black hole. Int. J. Mod. Phys. A 2010, 25, 3107–3120. [Google Scholar] [CrossRef]
- Kim, Y.-W.; Choi, J.; Park, Y.-J. Local free-fall temperature of Gibbons-Maeda-Garfinkle-Horowitz-Strominger black holes. Phys. Rev. D 2014, 89, 044004. [Google Scholar] [CrossRef]
- Kim, Y.-W.; Park, Y.-J. Local free-fall Temperature of modified Schwarzschild black hole in rainbow spacetime. Mod. Phys. Lett. A 2016, 31, 1650106. [Google Scholar] [CrossRef]
- Hong, S.-T. Free fall temperature of Schwarzschild-Tangherlini-AdS black hole. arXiv 2015, arXiv:1510.05511. [Google Scholar]
- Hong, S.-T.; Kim, Y.-W.; Park, Y.-J. Local free-fall temperatures of charged BTZ black holes in massive gravity. Phys. Rev. D 2019, 99, 024047. [Google Scholar] [CrossRef]
- Hong, S.-T.; Kim, Y.-W.; Park, Y.-J. GEMS embeddings and freely falling temperatures of Schwarzschild(-AdS) black holes in massive gravity. Phys. Lett. B 2020, 800, 135116. [Google Scholar] [CrossRef]
- Taylor, E.; Wheeler, J.A. Exploring Black Holes: Introduction to General Relativity; Addison Wesley Longman: San Francisco, CA, USA, 2000. [Google Scholar]
- Painlevé, P. La mécanique classique et la théorie de la relativité. C. R. Acad. Sci. 1921, 173, 677–680. [Google Scholar]
- Gullstrand, A. Allgemeine Lösung des statischen Einkörperproblems in der Einsteinschen Gravitationstheorie. Ark. Mat. Astron. Fys. 1922, 16, 1–15. [Google Scholar]
- Kraus, P.; Wilczek, F. Some applications of a simple stationary line element for the Schwarzschild geometry. Mod. Phys. Lett. A 1994, 9, 3713–3719. [Google Scholar] [CrossRef]
- Parikh, M.K.; Wilczek, F. Hawking radiation as tunneling. Phys. Rev. Lett. 2000, 85, 5042–5045. [Google Scholar] [CrossRef]
- Parikh, M.K. A Secret tunnel through the horizon. Int. J. Mod. Phys. D 2004, 13, 2351–2354. [Google Scholar] [CrossRef]
- Martel, K.; Poisson, E. Regular coordinate systems for Schwarzschild and other spherical space-times. Am. J. Phys. 2001, 69, 476–480. [Google Scholar] [CrossRef]
- Francis, M.R.; Kosowsky, A. Geodesics in the generalized Schwarzschild solution. Am. J. Phys. 2004, 72, 1204–1209. [Google Scholar] [CrossRef]
- Hamilton, A.J.S.; Lisle, J.P. The River model of black holes. Am. J. Phys. 2008, 76, 519–532. [Google Scholar] [CrossRef]
- Finch, T.K. Coordinate families for the Schwarzschild geometry based on radial timelike geodesics. Gen. Rel. Grav. 2015, 47, 56. [Google Scholar] [CrossRef]
- Unruh, W.G. Experimental black hole evaporation. Phys. Rev. Lett. 1981, 46, 1351–1353. [Google Scholar] [CrossRef]
- Visser, M. Acoustic black holes: Horizons, ergospheres, and Hawking radiation. Class. Quant. Grav. 1998, 15, 1767–1791. [Google Scholar] [CrossRef]
- Volovik, G.E. The Universe in a Helium Droplet; Oxford University Press: Oxford, UK, 2003. [Google Scholar]
- Barcelo, C.; Liberati, S.; Visser, M. Analogue gravity. Living Rev. Rel. 2005, 8, 12, Living Rev. Rel.2011, 14, 3. [Google Scholar] [CrossRef]
- Kanai, Y.; Siino, M.; Hosoya, A. Gravitational collapse in Painlevé-Gullstrand coordinates. Prog. Theor. Phys. 2011, 125, 1053–1065. [Google Scholar] [CrossRef]
- Oppenheimer, J.R.; Snyder, H. On Continued Gravitational Contraction. Phys. Rev. 1939, 56, 455–459. [Google Scholar] [CrossRef]
- Misner, C.W.; Thorne, K.S.; Wheeler, J.A. Gravitation; Pinceton University Press: Princeton, NJ, USA; Oxford, UK, 2017. [Google Scholar]
- Visser, M. Heuristic approach to the Schwarzschild geometry. Int. J. Mod. Phys. D 2005, 14, 2051–2068. [Google Scholar] [CrossRef]
- Perez-Roman, I.; Breton, N. The region interior to the event horizon of the Regular Hayward Black Hole. Gen. Rel. Grav. 2018, 50, 64. [Google Scholar] [CrossRef]
- Faraoni, V.; Vachon, G. When Painlev/’e-Gullstrand coordinates fail. Eur. Phys. J. C 2020, 80, 771. [Google Scholar] [CrossRef] [PubMed]
- Baines, J.; Berry, T.; Simpson, A.; Visser, M. Unit-lapse versions of the Kerr spacetime. Class. Quant. Grav. 2021, 38, 055001. [Google Scholar] [CrossRef]
- Wald, R.M. General Relativity; University of Chicago: Chicago, IL, USA, 1984. [Google Scholar]
- Hong, S.-T.; Kim, Y.-W.; Park, Y.-J. Tidal effects in Schwarzschild black hole in holographic massive gravity. Phys. Lett. B 2020, 811, 135967. [Google Scholar] [CrossRef]
- Lin, C.Y.; Soo, C. Generalized Painlevé-Gullstrand metrics. Phys. Lett. B 2009, 671, 493–495. [Google Scholar] [CrossRef]
Publisher’s Note: MDPI stays neutral with regard to jurisdictional claims in published maps and institutional affiliations. |
© 2021 by the authors. Licensee MDPI, Basel, Switzerland. This article is an open access article distributed under the terms and conditions of the Creative Commons Attribution (CC BY) license (https://creativecommons.org/licenses/by/4.0/).


