Cosmological Tests of Gravity: A Future Perspective
Abstract
1. Introduction
2. Testing Gravity at Cosmological Scales
2.1. Examples of Modified Gravity Models: and Jordan–Brans–Dicke
2.2. General Scalar-Tensor Models
2.3. The -Parametrization in Modified Gravity
2.4. Impact on Cosmological Observables
2.5. Codes and Tools to Compute Cosmological Observables
3. Current Constraints on Modified Gravity
4. Upcoming Constraints
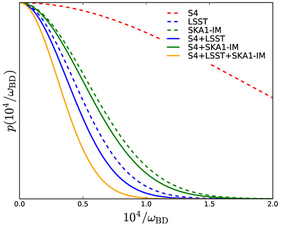
4.1. LSS Forecast
4.2. CMB
4.3. CMB-LSS Cross Correlation
4.4. New Probes of Gravity
5. New Challenges
6. Summary
Author Contributions
Funding
Acknowledgments
Conflicts of Interest
| 1 | https://camb.info, accessed on 15 December 2021 |
| 2 | https://lesgourg.github.io/class_public/class.html, accessed on 15 December 2021 |
| 3 | https://labs.utdallas.edu/mishak/isitgr/, accessed on 15 December 2021 |
| 4 | https://github.com/sfu-cosmo/MGCAMB, accessed on 15 December 2021 |
| 5 | http://miguelzuma.github.io/hi_class_public/, accessed on 15 December 2021 |
| 6 | http://eftcamb.org/, accessed on 15 December 2021 |
References
- Kennefick, D. Not only because of theory: Dyson, Eddington and the competing myths of the 1919 eclipse expedition. Einstein Stud. 2012, 12, 201–232. [Google Scholar] [CrossRef]
- Abbott, B.P.; Abbott, R.; Abbott, T.D.; Abernathy, M.R.; Acernese, F.; Ackley, K.; Adams, C.; Adams, T.; Addesso, P.; Adhikari, R.X.; et al. Observation of Gravitational Waves from a Binary Black Hole Merger. Phys. Rev. Lett. 2016, 116, 061102. [Google Scholar] [CrossRef]
- Akiyama, K.; Alberdi, A.; Alef, W.; Asada, K.; Azulay, R.; Baczko, A.K.; Ball, D.; Balokovic, M.; Barrett, J.; Bintley, D.; et al. First M87 Event Horizon Telescope Results. I. The Shadow of the Supermassive Black Hole. Astrophys. J. Lett. 2019, 875, L1. [Google Scholar] [CrossRef]
- Corbelli, E.; Salucci, P. The Extended Rotation Curve and the Dark Matter Halo of M33. MNRAS 2000, 311, 441–447. [Google Scholar] [CrossRef]
- Markevitch, M.; Gonzalez, A.H.; Clowe, D.; Vikhlinin, A.; David, L.; Forman, W.; Jones, C.; Murray, S.; Tucker, W. Direct constraints on the dark matter self-interaction cross-section from the merging galaxy cluster 1E0657-56. Astrophys. J. 2004, 606, 819–824. [Google Scholar] [CrossRef]
- Aghanim, N.; Akrami, Y.; Ashdown, M.; Aumont, J.; Baccigalupi, C.; Ballardini, M.; Banday, A.J.; Barreiro, R.B.; Bartolo, N.; Basak, S.; et al. Planck 2018 results. VI. Cosmological parameters. Astron Astrophys 2020, 641, A6, Erratum in Astron Astrophys 2021, 652, C4. [Google Scholar] [CrossRef]
- Riess, A.G.; Filippenko, A.V.; Challis, P.; Clocchiatti, A.; Diercks, A.; Garnavich, P.M.; Gillil, R.L.; Hogan, C.J.; Jha, S.; Kirshner, R.P.; et al. Observational evidence from supernovae for an accelerating universe and a cosmological constant. Astron. J. 1998, 116, 1009–1038. [Google Scholar] [CrossRef]
- Perlmutter, S.; Aldering, G.; Goldhaber, G.; Knop, R.A.; Nugent, P.; Castro, P.G.; Deustua, S.; Fabbro, S.; Goobar, A.; Groom, D.E.; et al. Measurements of Ω and Λ from 42 high redshift supernovae. Astrophys. J. 1999, 517, 565–586. [Google Scholar] [CrossRef]
- Weinberg, S. The cosmological constant problem. Rev. Mod. Phys. 1989, 61, 1–23. [Google Scholar] [CrossRef]
- Velten, H.E.S.; vom Marttens, R.F.; Zimdahl, W. Aspects of the cosmological “coincidence problem”. Eur. Phys. J. C 2014, 74, 3160. [Google Scholar] [CrossRef]
- Perivolaropoulos, L.; Skara, F. Challenges for ΛCDM: An update. arXiv 2021, arXiv:2105.05208. [Google Scholar]
- Di Valentino, E.; Mena, O.; Pan, S.; Visinelli, L.; Yang, W.; Melchiorri, A.; Mota, D.F.; Riess, A.G.; Silk, J. In the realm of the Hubble tension—a review of solutions. Class. Quant. Grav. 2021, 38, 153001. [Google Scholar] [CrossRef]
- Ma, C.P.; Bertschinger, E. Cosmological Perturbation Theory in the Synchronous and Conformal Newtonian Gauges. Astrophys. J. 1995, 455, 7. [Google Scholar] [CrossRef]
- Noller, J.; von Braun-Bates, F.; Ferreira, P.G. Relativistic scalar fields and the quasistatic approximation in theories of modified gravity. PRD 2014, 89, 023521. [Google Scholar] [CrossRef]
- Bellini, E.; Sawicki, I. Maximal freedom at minimum cost: Linear large-scale structure in general modifications of gravity. JCAP 2014, 7, 050. [Google Scholar] [CrossRef]
- Pogosian, L.; Silvestri, A. What can cosmology tell us about gravity? Constraining Horndeski gravity with Σ and μ. PRD 2016, 94, 104014. [Google Scholar] [CrossRef]
- Sawicki, I.; Bellini, E. Limits of quasistatic approximation in modified-gravity cosmologies. Phys. Rev. D 2015, 92, 084061. [Google Scholar] [CrossRef]
- Llinares, C.; Mota, D.F. Cosmological simulations of screened modified gravity out of the static approximation: Effects on matter distribution. Phys. Rev. D 2014, 89, 084023. [Google Scholar] [CrossRef]
- Caldwell, R.; Cooray, A.; Melchiorri, A. Constraints on a new post-general relativity cosmological parameter. PRD 2007, 76, 023507. [Google Scholar] [CrossRef]
- Zhao, G.B.; Pogosian, L.; Silvestri, A.; Zylberberg, J. Searching for modified growth patterns with tomographic surveys. PRD 2009, 79, 083513. [Google Scholar] [CrossRef]
- Amendola, L.; Kunz, M.; Sapone, D. Measuring the dark side (with weak lensing). JCAP 2008, 2008, 013. [Google Scholar] [CrossRef]
- Hojjati, A.; Zhao, G.B.; Pogosian, L.; Silvestri, A. MGCAMB: Modification of Growth with CAMB. Astrophys. Source Code Libr. 2011, 2011, ascl-1106. [Google Scholar]
- Bernardeau, F.; Colombi, S.; Gaztanaga, E.; Scoccimarro, R. Large-scale structure of the Universe and cosmological perturbation theory. Phys. Rep. 2002, 367, 1–248. [Google Scholar] [CrossRef]
- Linder, E.V. Cosmic growth history and expansion history. PRD 2005, 72, 043529. [Google Scholar] [CrossRef]
- Lahav, O.; Lilje, P.B.; Primack, J.R.; Rees, M.J. Dynamical effects of the cosmological constant. MNRAS 1991, 251, 128–136. [Google Scholar] [CrossRef]
- Mueller, E.M.; Percival, W.; Linder, E.; Alam, S.; Zhao, G.B.; Sánchez, A.G.; Beutler, F.; Brinkmann, J. The clustering of galaxies in the completed SDSS-III Baryon Oscillation Spectroscopic Survey: Constraining modified gravity. MNRAS 2018, 475, 2122–2131. [Google Scholar] [CrossRef]
- Zhang, P.; Liguori, M.; Bean, R.; Dodelson, S. Probing Gravity at Cosmological Scales by Measurements which Test the Relationship between Gravitational Lensing and Matter Overdensity. Phys. Rev. Lett. 2007, 99, 141302. [Google Scholar] [CrossRef]
- Leonard, C.D.; Ferreira, P.G.; Heymans, C. Testing gravity with EG: Mapping theory onto observations. JCAP 2015, 12, 051. [Google Scholar] [CrossRef]
- Ghosh, B.; Durrer, R. The observable Eg statistics. JCAP 2019, 06, 010. [Google Scholar] [CrossRef]
- Ferreira, P.G. Cosmological Tests of Gravity. Ann. Rev. Astron. Astrophys. 2019, 57, 335–374. [Google Scholar] [CrossRef]
- Blake, C.; Amon, A.; Asgari, M.; Bilicki, M.; Dvornik, A.; Erben, T.; Giblin, B.; Glazebrook, K.; Heymans, C.; Hildebrandt, H.; et al. Testing gravity using galaxy-galaxy lensing and clustering amplitudes in KiDS-1000, BOSS and 2dFLenS. Astron. Astrophys. 2020, 642, A158. [Google Scholar] [CrossRef]
- Nunes, R.C.; Vagnozzi, S. Arbitrating the S8 discrepancy with growth rate measurements from redshift-space distortions. Mon. Not. Roy. Astron. Soc. 2021, 505, 5427. [Google Scholar] [CrossRef]
- Starobinsky, A.A. A new type of isotropic cosmological models without singularity. Phys. Lett. B 1980, 91, 99–102. [Google Scholar] [CrossRef]
- Catena, R.; Pietroni, M.; Scarabello, L. Einstein and Jordan frames reconciled: A frame-invariant approach to scalar-tensor cosmology. PRD 2007, 76, 084039. [Google Scholar] [CrossRef]
- Will, C.M. The confrontation between general relativity and experiment. Living Rev. Relativ. 2014, 17, 1–117. [Google Scholar] [CrossRef] [PubMed]
- Clifton, T.; Ferreira, P.G.; Padilla, A.; Skordis, C. Modified gravity and cosmology. Phys. Rep. 2012, 513, 1–189. [Google Scholar] [CrossRef]
- Brans, C.; Dicke, R.H. Mach’s principle and a relativistic theory of gravitation. Phys. Rev. 1961, 124, 925. [Google Scholar] [CrossRef]
- Sawicki, I.; Hu, W. Stability of cosmological solutions in f (R) models of gravity. PRD 2007, 75, 127502. [Google Scholar] [CrossRef]
- Alonso, D.; Bellini, E.; Ferreira, P.G.; Zumalacarregui, M. Observational future of cosmological scalar-tensor theories. PRD 2017, 95, 063502. [Google Scholar] [CrossRef]
- Joudaki, S.; Ferreira, P.G.; Lima, N.A.; Winther, H.A. Testing Gravity on Cosmic Scales: A Case Study of Jordan-Brans-Dicke Theory. arXiv 2020, arXiv:2010.15278. [Google Scholar]
- Horndeski, G.W. Second-order scalar-tensor field equations in a four-dimensional space. Int. J. Theor. Phys. 1974, 10, 363–384. [Google Scholar] [CrossRef]
- Deffayet, C.; Deser, S.; Esposito-Farese, G. Generalized Galileons: All scalar models whose curved background extensions maintain second-order field equations and stress tensors. PRD 2009, 80, 064015. [Google Scholar] [CrossRef]
- Deffayet, C.; Gao, X.; Steer, D.A.; Zahariade, G. From k-essence to generalized Galileons. PRD 2011, 84, 064039. [Google Scholar] [CrossRef]
- Kobayashi, T.; Yamaguchi, M.; Yokoyama, J. Generalized G-Inflation: —Inflation with the Most General Second-Order Field Equations—. Prog. Theor. Phys. 2011, 126, 511–529. [Google Scholar] [CrossRef]
- Abbott, B.P.; Abbott, R.; Abbott, T.D.; Acernese, F.; Ackley, K.; Adams, C.; Adams, T.; Addesso, P.; Adhikari, R.X.; Adya, V.B.; et al. GW170817: Observation of Gravitational Waves from a Binary Neutron Star Inspiral. Phys. Rev. Lett. 2017, 119, 161101. [Google Scholar] [CrossRef]
- Goldstein, A.; Veres, P.; Burns, E.; Briggs, M.S.; Hamburg, R.; Kocevski, D.; Wilson-Hodge, C.A.; Preece, R.D.; Poolakkil, S.; Roberts, O.J.; et al. An Ordinary Short Gamma-Ray Burst with Extraordinary Implications: Fermi-GBM Detection of GRB 170817A. Astrophys. J. Lett. 2017, 848, L14. [Google Scholar] [CrossRef]
- Abbott, B.P.; Abbott, R.; Abbott, T.D.; Acernese, F.; Ackley, K.; Adams, C.; Adams, T.; Addesso, P.; Adhikari, R.X.; Adya, V.B.; et al. Gravitational Waves and Gamma-rays from a Binary Neutron Star Merger: GW170817 and GRB 170817A. Astrophys. J. Lett. 2017, 848, L13. [Google Scholar] [CrossRef]
- Baker, T.; Bellini, E.; Ferreira, P.G.; Lagos, M.; Noller, J.; Sawicki, I. Strong constraints on cosmological gravity from GW170817 and GRB 170817A. PRL 2017, 119, 251301. [Google Scholar] [CrossRef]
- Langlois, D.; Saito, R.; Yamauchi, D.; Noui, K. Scalar-tensor theories and modified gravity in the wake of GW170817. PRD 2018, 97, 061501. [Google Scholar] [CrossRef]
- Ezquiaga, J.M.; Zumalacárregui, M. Dark Energy After GW170817: Dead Ends and the Road Ahead. Phys. Rev. Lett. 2017, 119, 251304. [Google Scholar] [CrossRef]
- Creminelli, P.; Vernizzi, F. Dark Energy after GW170817 and GRB170817A. PRL 2017, 119, 251302. [Google Scholar] [CrossRef] [PubMed]
- McManus, R.; Lombriser, L.; Peñarrubia, J. Finding Horndeski theories with Einstein gravity limits. JCAP 2016, 2016, 006. [Google Scholar] [CrossRef]
- Sakstein, J.; Jain, B. Implications of the neutron star merger GW170817 for cosmological scalar-tensor theories. PRL 2017, 119, 251303. [Google Scholar] [CrossRef] [PubMed]
- Ishak, M. Testing general relativity in cosmology. Living Rev. Relativ. 2019, 22, 1–204. [Google Scholar] [CrossRef] [PubMed]
- Koyama, K. Cosmological tests of modified gravity. Rep. Prog. Phys. 2016, 79, 046902. [Google Scholar] [CrossRef] [PubMed]
- Pogosian, L.; Silvestri, A.; Koyama, K.; Zhao, G.B. How to optimally parametrize deviations from general relativity in the evolution of cosmological perturbations. PRD 2010, 81, 104023. [Google Scholar] [CrossRef]
- Nojiri, S.; Odintsov, S.D.; Oikonomou, V.K. Modified Gravity Theories on a Nutshell: Inflation, Bounce and Late-time Evolution. Phys. Rept. 2017, 692, 1–104. [Google Scholar] [CrossRef]
- Saridakis, E.N.; Lazkoz, R.; Salzano, V.; Moniz, P.V.; Capozziello, S.; Jimenez, J.B.; De Laurentis, M.; Olmo, G.J.; Akrami, Y.; Bahamonde, S.; et al. Modified Gravity and Cosmology: An Update by the CANTATA Network. arXiv 2021, arXiv:2105.12582. [Google Scholar]
- Gubitosi, G.; Piazza, F.; Vernizzi, F. The Effective Field Theory of Dark Energy. JCAP 2013, 02, 032. [Google Scholar] [CrossRef]
- Bloomfield, J.K.; Flanagan, E.E.; Park, M.; Watson, S. Dark energy or modified gravity? An effective field theory approach. JCAP 2013, 08, 010. [Google Scholar] [CrossRef]
- Piazza, F.; Vernizzi, F. Effective Field Theory of Cosmological Perturbations. Class. Quant. Grav. 2013, 30, 214007. [Google Scholar] [CrossRef]
- Brax, P.; Valageas, P. The effective field theory of K-mouflage. JCAP 2016, 01, 020. [Google Scholar] [CrossRef]
- Ballinger, W.; Peacock, J.; Heavens, A. Measuring the cosmological constant with redshift surveys. MNRAS 1996, 282, 877–888. [Google Scholar] [CrossRef]
- Baldauf, T.; Mirbabayi, M.; Simonović, M.; Zaldarriaga, M. Equivalence principle and the baryon acoustic peak. PRD 2015, 92, 043514. [Google Scholar] [CrossRef]
- Wang, Y.; Percival, W.; Cimatti, A.; Mukherjee, P.; Guzzo, L.; Baugh, C.M.; Carbone, C.; Franzetti, P.; Garilli, B.; Geach, J.E.; et al. Designing a space-based galaxy redshift survey to probe dark energy. MNRAS 2010, 409, 737–749. [Google Scholar] [CrossRef]
- Taruya, A.; Nishimichi, T.; Saito, S. Baryon acoustic oscillations in 2D: Modeling redshift-space power spectrum from perturbation theory. PRD 2010, 82, 063522. [Google Scholar] [CrossRef]
- Kaiser, N. Clustering in real space and in redshift space. MNRAS 1987, 227, 1–21. [Google Scholar] [CrossRef]
- Scoccimarro, R.; Frieman, J. Loop corrections in non-linear cosmological perturbation theory. arXiv 1995, arXiv:astro-ph/9509047. [Google Scholar]
- Carrasco, J.J.M.; Hertzberg, M.P.; Senatore, L. The effective field theory of cosmological large scale structures. J. High Energy Phys. 2012, 2012, 1–40. [Google Scholar] [CrossRef]
- Blanchard, A.; Camera, S.; Carbone, C.; Cardone, V.F.; Casas, S.; Clesse, S.; Ilic, S.; Kilbinger, M.; Kitching, T.; Kunz, M.; et al. Euclid preparation: VII. Forecast validation for Euclid cosmological probes. A&A 2020, 642, A191. [Google Scholar] [CrossRef]
- Sachs, R.K.; Wolfe, A.M. Perturbations of a Cosmological Model and Angular Variations of the Microwave Background. ApJ 1967, 147, 73. [Google Scholar] [CrossRef]
- Kofman, L.A.; Starobinskii, A.A. Effect of the Cosmological Constant on Largescale Anisotropies in the Microwave Background. Sov. Astron. Lett. 1985, 11, 271–274. [Google Scholar]
- Acquaviva, V.; Baccigalupi, C. Dark energy records in lensed cosmic microwave background. PRD 2006, 74, 103510. [Google Scholar] [CrossRef]
- Carbone, C.; Baldi, M.; Pettorino, V.; Baccigalupi, C. Maps of CMB lensing deflection from N-body simulations in Coupled Dark Energy Cosmologies. JCAP 2013, 9, 004. [Google Scholar] [CrossRef]
- Ade, P.A.; Aghanim, N.; Arnaud, M.; Ashdown, M.; Aumont, J.; Baccigalupi, C.; Banday, A.J.; Barreiro, R.B.; Bartolo, N.; Battaner, E.; et al. Planck 2015 results. XIV. Dark energy and modified gravity. A&A 2016, 594, A14. [Google Scholar] [CrossRef]
- Sahni, V.; Saini, T.D.; Starobinsky, A.A.; Alam, U. Statefinder: A New geometrical diagnostic of dark energy. JETP Lett. 2003, 77, 201–206. [Google Scholar] [CrossRef]
- Alam, U.; Sahni, V.; Saini, T.D.; Starobinsky, A.A. Exploring the expanding universe and dark energy using the Statefinder diagnostic. Mon. Not. Roy. Astron. Soc. 2003, 344, 1057. [Google Scholar] [CrossRef]
- Capozziello, S.; D’Agostino, R.; Luongo, O. Extended Gravity Cosmography. Int. J. Mod. Phys. D 2019, 28, 1930016. [Google Scholar] [CrossRef]
- Capozziello, S.; Izzo, L. Cosmography by GRBs. Astron. Astrophys. 2008, 490, 31. [Google Scholar] [CrossRef]
- Rezaei, M.; Pour-Ojaghi, S.; Malekjani, M. A Cosmography Approach to Dark Energy Cosmologies: New Constraints Using the Hubble Diagrams of Supernovae, Quasars, and Gamma-Ray Bursts. Astrophys. J. 2020, 900, 70. [Google Scholar] [CrossRef]
- Bargiacchi, G.; Benetti, M.; Capozziello, S.; Lusso, E.; Risaliti, G.; Signorini, M. Quasar cosmology: Dark energy evolution and spatial curvature. arXiv 2021, arXiv:astro-ph.CO/2111.02420. [Google Scholar]
- Lewis, A.; Challinor, A.; Lasenby, A. Efficient computation of CMB anisotropies in closed FRW models. Astrophys. J. 2000, 538, 473–476. [Google Scholar] [CrossRef]
- Howlett, C.; Lewis, A.; Hall, A.; Challinor, A. CMB power spectrum parameter degeneracies in the era of precision cosmology. JCAP 2012, 2012, 027. [Google Scholar] [CrossRef]
- Lesgourgues, J. The cosmic linear anisotropy solving system (CLASS) I: Overview. arXiv 2011, arXiv:1104.2932. [Google Scholar]
- Blas, D.; Lesgourgues, J.; Tram, T. The cosmic linear anisotropy solving system (CLASS). Part II: Approximation schemes. JCAP 2011, 2011, 034. [Google Scholar] [CrossRef]
- Dossett, J.N.; Ishak, M.; Moldenhauer, J. Testing general relativity at cosmological scales: Implementation and parameter correlations. PRD 2011, 84. [Google Scholar] [CrossRef]
- Dossett, J.N.; Ishak, M. Spatial curvature and cosmological tests of general relativity. PRD 2012, 86. [Google Scholar] [CrossRef]
- Zucca, A.; Pogosian, L.; Silvestri, A.; Zhao, G.B. MGCAMB with massive neutrinos and dynamical dark energy. JCAP 2019, 2019, 001. [Google Scholar] [CrossRef]
- Pace, F.; Battye, R.A.; Bellini, E.; Lombriser, L.; Vernizzi, F.; Bolliet, B. Comparison of different approaches to the quasi-static approximation in Horndeski models. JCAP 2021, 2021, 017. [Google Scholar] [CrossRef]
- Zumalacárregui, M.; Bellini, E.; Sawicki, I.; Lesgourgues, J.; Ferreira, P.G. Hi_class: Horndeski in the cosmic linear anisotropy solving system. JCAP 2017, 2017, 019. [Google Scholar] [CrossRef]
- Hu, B.; Raveri, M.; Silvestri, A.; Frusciante, N. EFTCAMB/EFTCosmoMC: Massive neutrinos in dark cosmologies. arXiv 2014, arXiv:1410.5807. [Google Scholar] [CrossRef]
- Hu, B.; Raveri, M.; Frusciante, N.; Silvestri, A. EFTCAMB/EFTCosmoMC: Numerical Notes v3.0. arXiv 2014, arXiv:1405.3590v4. [Google Scholar]
- Aghanim, N.; Akrami, Y.; Arroja, F.; Ashdown, M.; Aumont, J.; Baccigalupi, C.; Ballardini, M.; Banday, A.J.; Barreiro, R.B.; Bartolo, N.; et al. Planck 2018 results. I. Overview and the cosmological legacy of Planck. A&A 2020, 641, A1. [Google Scholar] [CrossRef]
- Calabrese, E.; Slosar, A.; Melchiorri, A.; Smoot, G.F.; Zahn, O. Cosmic Microwave Weak lensing data as a test for the dark universe. PRD 2008, 77, 123531. [Google Scholar] [CrossRef]
- Lee, S.; Huff, E.M.; Ross, A.J.; Choi, A.; Hirata, C.; Honscheid, K.; MacCrann, N.; Troxel, M.A.; Davis, C.; Eifler, T.F.; et al. Producing a BOSS-CMASS sample with DES imaging. MNRAS 2019, 489, 2887–2906. [Google Scholar] [CrossRef]
- Chuang, C.H.; Pellejero-Ibanez, M.; Rodriguez-Torres, S.; Ross, A.J.; Zhao, G.B.; Wang, Y.; Cuesta, A.J.; Rubino-Martin, J.A.; Prada, F.; Alam, S.; et al. The clustering of galaxies in the completed SDSS-III Baryon Oscillation Spectroscopic Survey: Single-probe measurements from DR12 galaxy clustering – towards an accurate model. MNRAS 2017, 471, 2370–2390. [Google Scholar] [CrossRef]
- Lee, S.; Huff, E.M.; Choi, A.; Elvin-Poole, J.; Hirata, C.; Honscheid, K.; Maccrann, N.; Ross, A.J.; Troxel, M.A.; Eifler, T.F.; et al. Probing gravity with the DES-CMASS sample and BOSS spectroscopy. arXiv 2021, arXiv:astro-ph.CO/2104.14515. [Google Scholar] [CrossRef]
- Joudaki, S.; Mead, A.; Blake, C.; Choi, A.; de Jong, J.; Erben, T.; Conti, I.F.; Herbonnet, R.; Heymans, C.; Hildebrandt, H.; et al. KiDS-450: Testing extensions to the standard cosmological model. MNRAS 2017, 471, 1259–1279. [Google Scholar] [CrossRef]
- Abbott, T.M.C.; Abdalla, F.B.; Avila, S.; Banerji, M.; Baxter, E.; Bechtol, K.; Becker, M.R.; Bertin, E.; Blazek, J.; Bridle, S.L.; et al. Dark Energy Survey Year 1 Results: Constraints on Extended Cosmological Models from Galaxy Clustering and Weak Lensing. PRD 2019, 99, 123505. [Google Scholar] [CrossRef]
- Benitez, N.; Dupke, R.; Moles, M.; Sodre, L.; Cenarro, J.; Marin-Franch, A.; Taylor, K.; Cristobal, D.; Fernandez-Soto, A.; de Oliveira, C.M.; et al. J-PAS: The Javalambre-Physics of the Accelerated Universe Astrophysical Survey. arXiv 2014, arXiv:astro-ph.CO/1403.5237. [Google Scholar]
- Collaboration, D.; Aghamousa, A.; Aguilar, J.; Ahlen, S.; Alam, S.; Allen, L.E.; Prieto, C.A.; Annis, J.; Bailey, S.; Balland, C.; et al. The DESI Experiment Part I: Science, Targeting, and Survey Design; University of California: Berkeley, CA, USA, 2018. [Google Scholar]
- Amendola, L.; Appleby, S.; Avgoustidis, A.; Bacon, D.; Baker, T.; Baldi, M.; Bartolo, N.; Blanchard, A.; Bonvin, C.; Borgani, S.; et al. Cosmology and fundamental physics with the Euclid satellite. Living Rev. Relativ. 2018, 21, 1–345. [Google Scholar] [CrossRef] [PubMed]
- Laureijs, R.; Amiaux, J.; Arduini, S.; Augueres, J.L.; Brinchmann, J.; Cole, R.; Cropper, M.; Dabin, C.; Duvet, L.; Ealet, A.; et al. Euclid definition study report. arXiv 2011, arXiv:1110.3193. [Google Scholar]
- Ivezić, Ž.; Kahn, S.M.; Tyson, J.A.; Abel, B.; Acosta, E.; Allsman, R.; Alonso, D.; AlSayyad, Y.; Anderson, S.F.; Andrew, J.; et al. LSST: From Science Drivers to Reference Design and Anticipated Data Products. ApJ 2019, 873, 111. [Google Scholar] [CrossRef]
- Spergel, D.; Gehrels, N.; Baltay, C.; Bennett, D.; Breckinridge, J.; Donahue, M.; Dressler, A.; Gaudi, B.S.; Greene, T.; Guyon, O.; et al. Wide-Field InfrarRed Survey Telescope-Astrophysics Focused Telescope Assets WFIRST-AFTA 2015 Report. arXiv 2015, arXiv:1503.03757. [Google Scholar]
- Bacon, D.J.; Battye, R.A.; Bull, P.; Camera, S.; Ferreira, P.G.; Harrison, I.; Parkinson, D.; Pourtsidou, A.; Santos, M.G.; Wolz, L.; et al. Cosmology with Phase 1 of the Square Kilometre Array: Red Book 2018: Technical specifications and performance forecasts. Publ. Astron. Soc. Austral. 2020, 37, e007. [Google Scholar] [CrossRef]
- Spergel, D.; Gehrels, N.; Breckinridge, J.; Donahue, M.; Dressler, A.; Gaudi, B.; Greene, T.; Guyon, O.; Hirata, C.; Kalirai, J.; et al. WFIRST-2.4: What every astronomer should know. arXiv 2013, arXiv:1305.5425. [Google Scholar]
- Levi, M.; Bebek, C.; Beers, T.; Blum, R.; Cahn, R.; Eisenstein, D.; Flaugher, B.; Honscheid, K.; Kron, R.; Lahav, O.; et al. The DESI Experiment, a whitepaper for Snowmass 2013. arXiv 2013, arXiv:1308.0847. [Google Scholar]
- Abell, P.A.; Allison, J.; Anderson, S.F.; Andrew, J.R.; Angel, J.R.P.; Armus, L.; Arnett, D.; Asztalos, S.; Axelrod, T.S.; Bailey, S.; et al. Lsst science book, version 2.0. arXiv 2009, arXiv:0912.0201. [Google Scholar]
- Vogeley, M.S.; Szalay, A.S. Eigenmode analysis of galaxy redshift surveys I. theory and methods. arXiv 1996, arXiv:astro-ph/9601185. [Google Scholar] [CrossRef]
- Tegmark, M. Measuring cosmological parameters with galaxy surveys. PRL 1997, 79, 3806. [Google Scholar] [CrossRef]
- Tegmark, M.; Taylor, A.N.; Heavens, A.F. Karhunen-Loeve eigenvalue problems in cosmology: How should we tackle large data sets? ApJ 1997, 480, 22. [Google Scholar] [CrossRef]
- Carron, J. On the assumption of Gaussianity for cosmological two-point statistics and parameter dependent covariance matrices. Astron. Astrophys. 2013, 551, A88. [Google Scholar] [CrossRef]
- Casas, S.; Kunz, M.; Martinelli, M.; Pettorino, V. Linear and non-linear Modified Gravity forecasts with future surveys. Phys. Dark Univ. 2017, 18, 73–104. [Google Scholar] [CrossRef]
- Aparicio Resco, M.; Maroto, A.L.; Alcaniz, J.S.; Abramo, L.R.; Hernandez-Monteagudo, C.; Benitez, N.; Carneiro, S.; Cenarro, A.J.; Cristobal-Hornillos, D.; Dupke, R.A.; et al. J-PAS: Forecasts on dark energy and modified gravity theories. MNRAS 2020, 493, 3616–3631. [Google Scholar] [CrossRef]
- Asaba, S.; Hikage, C.; Koyama, K.; Zhao, G.B.; Hojjati, A.; Pogosian, L. Principal Component Analysis of Modified Gravity using Weak Lensing and Peculiar Velocity Measurements. JCAP 2013, 08, 029. [Google Scholar] [CrossRef]
- Hojjati, A.; Pogosian, L.; Silvestri, A.; Zhao, G.B. Observable physical modes of modified gravity. PRD 2014, 89, 083505. [Google Scholar] [CrossRef]
- Goodfellow, I.; Bengio, Y.; Courville, A. Machine learning basics. Deep Learn. 2016, 1, 98–164. [Google Scholar]
- Silvestri, A.; Pogosian, L.; Buniy, R.V. Practical approach to cosmological perturbations in modified gravity. PRD 2013, 87, 104015. [Google Scholar] [CrossRef]
- Spurio Mancini, A.; Reischke, R.; Pettorino, V.; Schäfer, B.M.; Zumalacárregui, M. Testing (modified) gravity with 3D and tomographic cosmic shear. MNRAS 2018, 480, 3725–3738. [Google Scholar] [CrossRef]
- Laszlo, I.; Bean, R.; Kirk, D.; Bridle, S. Disentangling dark energy and cosmic tests of gravity from weak lensing systematics. MNRAS 2012, 423, 1750–1765. [Google Scholar] [CrossRef]
- Ferté, A.; Kirk, D.; Liddle, A.R.; Zuntz, J. Testing gravity on cosmological scales with cosmic shear, cosmic microwave background anisotropies, and redshift-space distortions. PRD 2019, 99, 083512. [Google Scholar] [CrossRef]
- Aghanim, N.; Akrami, Y.; Ashdown, M.; Aumont, J.; Baccigalupi, C.; Ballardini, M.; Banday, A.J.; Barreiro, R.B.; Bartolo, N.; Basak, S.; et al. Planck 2018 results. VIII. Gravitational lensing. A&A 2020, 641, A8. [Google Scholar] [CrossRef]
- Ade, P.; Aguirre, J.; Ahmed, Z.; Aiola, S.; Ali, A.; Alonso, D.; Alvarez, M.A.; Arnold, K.; Ashton, P.; Austermann, J.; et al. The Simons Observatory: Science goals and forecasts. JCAP 2019, 2, 056. [Google Scholar] [CrossRef]
- Abazajian, K.N.; Adshead, P.; Ahmed, Z.; Allen, S.W.; Alonso, D.; Arnold, K.S.; Baccigalupi, C.; Bartlett, J.G.; Battaglia, N.; Benson, B.A.; et al. CMB-S4 Science Book, 1st ed.; Cornell University: Ithaca, NY, USA, 2016. [Google Scholar]
- Giannantonio, T.; Martinelli, M.; Silvestri, A.; Melchiorri, A. New constraints on parametrised modified gravity from correlations of the CMB with large scale structure. JCAP 2010, 4, 030. [Google Scholar] [CrossRef]
- Ilić, S.; Aghanim, N.; Baccigalupi, C.; Bermejo-Climent, J.R.; Fabbian, G.; Legr, L.; Paoletti, D.; Ballardini, M.; Archidiacono, M.; Douspis, M.; et al. Euclid preparation: XV. Forecasting cosmological constraints for the Euclid and CMB joint analysis. arXiv 2021, arXiv:2106.08346. [Google Scholar]
- Ezquiaga, J.M.; Zumalacárregui, M. Dark Energy in light of Multi-Messenger Gravitational-Wave astronomy. Front. Astron. Space Sci. 2018, 5, 44. [Google Scholar] [CrossRef]
- Belgacem, E.; Dirian, Y.; Foffa, S.; Maggiore, M. Gravitational-wave luminosity distance in modified gravity theories. PRD 2018, 97, 104066. [Google Scholar] [CrossRef]
- Belgacem, E.; Dirian, Y.; Foffa, S.; Maggiore, M. Modified gravitational-wave propagation and standard sirens. PRD 2018, 98, 023510. [Google Scholar] [CrossRef]
- Amaro-Seoane, P.; Audley, H.; Babak, S.; Baker, J.; Barausse, E.; Bender, P.; Berti, E.; Binetruy, P.; Born, M.; Bortoluzzi, D.; et al. Laser Interferometer Space Antenna. arXiv 2017, arXiv:1702.00786. [Google Scholar]
- Maggiore, M.; Van Den Broeck, C.; Bartolo, N.; Belgacem, E.; Bertacca, D.; Bizouard, M.A.; Branchesi, M.; Clesse, S.; Foffa, S.; Garcia-Bellido, J.; et al. Science Case for the Einstein Telescope. JCAP 2020, 3, 050. [Google Scholar] [CrossRef]
- Belgacem, E.; Calcagni, G.; Crisostomi, M.; Dalang, C.; Dirian, Y.; Ezquiaga, J.M.; Fasiello, M.; Foffa, S.; Ganz, A.; Garcia-Bellido, J.; et al. Testing modified gravity at cosmological distances with LISA standard sirens. JCAP 2019, 7, 024. [Google Scholar] [CrossRef]
- Dalang, C.; Lombriser, L. Limitations on Standard Sirens tests of gravity from screening. JCAP 2019, 10, 013. [Google Scholar] [CrossRef]
- Dalang, C.; Fleury, P.; Lombriser, L. Horndeski gravity and standard sirens. PRD 2020, 102, 044036. [Google Scholar] [CrossRef]
- Hogg, N.B.; Martinelli, M.; Nesseris, S. Constraints on the distance duality relation with standard sirens. JCAP 2020, 12, 019. [Google Scholar] [CrossRef]
- Martinelli, M.; Martins, C.J.A.P.; Nesseris, S.; Sapone, D.; Tutusaus, I.; Avgoustidis, A.; Camera, S.; Carbone, C.; Casas, S.; Ilic, S.; et al. Euclid: Forecast constraints on the cosmic distance duality relation with complementary external probes. A&A 2020, 644, A80. [Google Scholar] [CrossRef]
- Birrer, S.; Shajib, A.J.; Galan, A.; Millon, M.; Treu, T.; Agnello, A.; Auger, M.; Chen, G.F.; Christensen, L.; Collett, T.; et al. TDCOSMO-IV. Hierarchical time-delay cosmography – joint inference of the Hubble constant and galaxy density profiles. A&A 2020, 643, A165. [Google Scholar] [CrossRef]
- Jyoti, D.; Munoz, J.B.; Caldwell, R.R.; Kamionkowski, M. Cosmic Time Slip: Testing Gravity on Supergalactic Scales with Strong-Lensing Time Delays. PRD 2019, 100, 043031. [Google Scholar] [CrossRef]
- Yang, T.; Birrer, S.; Hu, B. The first simultaneous measurement of Hubble constant and post-Newtonian parameter from Time-Delay Strong Lensing. MNRAS 2020, 497, L56–L61. [Google Scholar] [CrossRef]
- Shiralilou, B.; Martinelli, M.; Papadomanolakis, G.; Peirone, S.; Renzi, F.; Silvestri, A. Strong Lensing Time Delay Constraints on Dark Energy: A Forecast. JCAP 2020, 04, 057. [Google Scholar] [CrossRef]
- Yang, T.; Hu, B.; Cai, R.G.; Wang, B. New probe of gravity: Strongly lensed gravitational wave multi-messenger approach. Astrophys. J. 2019, 880, 50. [Google Scholar] [CrossRef]
- Takahashi, R.; Sato, M.; Nishimichi, T.; Taruya, A.; Oguri, M. Revising the Halofit Model for the Nonlinear Matter Power Spectrum. Astrophys. J. 2012, 761, 152. [Google Scholar] [CrossRef]
- Mead, A.; Brieden, S.; Tröster, T.; Heymans, C. HMcode-2020: Improved modelling of non-linear cosmological power spectra with baryonic feedback. MNRAS 2021, 502, 1401–1422. [Google Scholar] [CrossRef]
- Martinelli, M.; Tutusaus, I.; Archidiacono, M.; Camera, S.; Cardone, V.F.; Clesse, S.; Casas, S.; Casarini, L.; Mota, D.F.; Hoekstra, H.; et al. Euclid: Impact of non-linear and baryonic feedback prescriptions on cosmological parameter estimation from weak lensing cosmic shear. A&A 2021, 649, A100. [Google Scholar] [CrossRef]
- Safi, S.; Farhang, M. Sensitivity of Cosmological Parameter Estimation to Nonlinear Prescription from Galaxy Clustering. Astrophys. J. 2021, 914, 65. [Google Scholar] [CrossRef]
- Audren, B.; Lesgourgues, J.; Bird, S.; Haehnelt, M.G.; Viel, M. Neutrino masses and cosmological parameters from a Euclid-like survey: Markov Chain Monte Carlo forecasts including theoretical errors. JCAP 2013, 2013, 026. [Google Scholar] [CrossRef]
- Sprenger, T.; Archidiacono, M.; Brinckmann, T.; Clesse, S.; Lesgourgues, J. Cosmology in the era of Euclid and the Square Kilometre Array. JCAP 2019, 02, 047. [Google Scholar] [CrossRef]
- Knabenhans, M.; Brinckmann, T.; Stadel, J.; Schneider, A.; Teyssier, R. Parameter inference with non-linear galaxy clustering: Accounting for theoretical uncertainties. arXiv 2021, arXiv:2110.01488. [Google Scholar]
- Winther, H.A.; Koyama, K.; Manera, M.; Wright, B.S.; Zhao, G.B. COLA with scale-dependent growth: Applications to screened modified gravity models. JCAP 2017, 2017, 006. [Google Scholar] [CrossRef]
- Li, B.; Zhao, G.B.; Teyssier, R.; Koyama, K. ECOSMOG: An efficient code for simulating modified gravity. JCAP 2012, 2012, 051. [Google Scholar] [CrossRef]
- Braden, J.; Burrage, C.; Elder, B.; Saadeh, D. φenics: Vainshtein screening with the finite element method. JCAP 2021, 2021, 010. [Google Scholar] [CrossRef]
- Puchwein, E.; Baldi, M.; Springel, V. Modified-Gravity-GADGET: A new code for cosmological hydrodynamical simulations of modified gravity models. MNRAS 2013, 436, 348–360. [Google Scholar] [CrossRef]
- Reverberi, L.; Daverio, D. fRevolution—relativistic cosmological simulations in f (R) gravity. Part I. Methodology. JCAP 2019, 2019, 35. [Google Scholar] [CrossRef]
- Baldi, M.; Villaescusa-Navarro, F.; Viel, M.; Puchwein, E.; Springel, V.; Moscardini, L. Cosmic degeneracies–I. Joint N-body simulations of modified gravity and massive neutrinos. MNRAS 2014, 440, 75–88. [Google Scholar] [CrossRef]
- Valogiannis, G.; Bean, R. Efficient simulations of large scale structure in modified gravity cosmologies with comoving Lagrangian acceleration. PRD 2017, 95, 103515. [Google Scholar] [CrossRef]
- Hassani, F.; Lombriser, L. N-body simulations for parametrized modified gravity. MNRAS 2020, 497, 1885–1894. [Google Scholar] [CrossRef]
- Winther, H.; Casas, S.; Baldi, M.; Koyama, K.; Li, B.; Lombriser, L.; Zhao, G.B. Emulators for the nonlinear matter power spectrum beyond ΛCDM. PRD 2019, 100, 123540. [Google Scholar] [CrossRef]
- Arnold, C.; Li, B.; Giblin, B.; Harnois-Déraps, J.; Cai, Y.C. FORGE–the f (R) gravity cosmic emulator project I: Introduction and matter power spectrum emulator. arXiv 2021, arXiv:2109.04984. [Google Scholar]
- Ramachandra, N.; Valogiannis, G.; Ishak, M.; Heitmann, K. Matter Power Spectrum Emulator for f(R) Modified Gravity Cosmologies. PRD 2021, 103, 123525. [Google Scholar] [CrossRef]
- Mancini, A.S.; Pourtsidou, A. KiDS-1000 Cosmology: Machine learning -accelerated constraints on Interacting Dark Energy with CosmoPower. arXiv 2021, arXiv:2110.07587. [Google Scholar]
- Bose, B.; Cataneo, M.; Tröster, T.; Xia, Q.; Heymans, C.; Lombriser, L. On the road to percent accuracy IV: ReACT - computing the non-linear power spectrum beyond ΛCDM. MNRAS 2020, 498, 4650–4662. [Google Scholar] [CrossRef]
- Cataneo, M.; Lombriser, L.; Heymans, C.; Mead, A.; Barreira, A.; Bose, S.; Li, B. On the road to percent accuracy: Non-linear reaction of the matter power spectrum to dark energy and modified gravity. MNRAS 2019, 488, 2121–2142. [Google Scholar] [CrossRef]
- Yoo, J. General Relativistic Description of the Observed Galaxy Power Spectrum: Do We Understand What We Measure? PRD 2010, 82, 083508. [Google Scholar] [CrossRef]
- Challinor, A.; Lewis, A. The linear power spectrum of observed source number counts. PRD 2011, 84, 043516. [Google Scholar] [CrossRef]
- Bonvin, C.; Durrer, R. What galaxy surveys really measure. PRD 2011, 84, 063505. [Google Scholar] [CrossRef]
- Limber, D.N. The Analysis of Counts of the Extragalactic Nebulae in Terms of a Fluctuating Density Field. ApJ 1953, 117, 134. [Google Scholar] [CrossRef]
- Limber, D.N. The Analysis of Counts of the Extragalactic Nebulae in Terms of a Fluctuating Density Field. II. ApJ 1954, 119, 655. [Google Scholar] [CrossRef]
- Kaiser, N. Weak Gravitational Lensing of Distant Galaxies. ApJ 1992, 388, 272. [Google Scholar] [CrossRef]
- Martinelli, M.; Dalal, R.; Majidi, F.; Akrami, Y.; Camera, S.; Sellentin, E. Ultra-large-scale approximations and galaxy clustering: Debiasing constraints on cosmological parameters. arXiv 2021, arXiv:2106.15604. [Google Scholar] [CrossRef]
- Baker, T.; Bull, P. Observational Signatures of Modified Gravity on Ultra-large Scales. ApJ 2015, 811, 116. [Google Scholar] [CrossRef]
- Villa, E.; Di Dio, E.; Lepori, F. Lensing convergence in galaxy clustering in ΛCDM and beyond. JCAP 2018, 04, 033. [Google Scholar] [CrossRef]
- Assassi, V.; Simonović, M.; Zaldarriaga, M. Efficient evaluation of angular power spectra and bispectra. JCAP 2017, 2017, 054. [Google Scholar] [CrossRef][Green Version]
- Campagne, J.E.; Neveu, J.; Plaszczynski, S. Angpow: A software for the fast computation of accurate tomographic power spectra. A&A 2017, 602, A72. [Google Scholar] [CrossRef]
- Grasshorn Gebhardt, H.S.; Jeong, D. Fast and accurate computation of projected two-point functions. PRD 2018, 97, 023504. [Google Scholar] [CrossRef]
- Sellentin, E.; Heymans, C.; Harnois-Déraps, J. The skewed weak lensing likelihood: Why biases arise, despite data and theory being sound. MNRAS 2018, 477, 4879–4895. [Google Scholar] [CrossRef]
- Alsing, J.; Charnock, T.; Feeney, S.; Wandelt, B. Fast likelihood-free cosmology with neural density estimators and active learning. MNRAS 2019, 488, 4440–4458. [Google Scholar] [CrossRef]
- Jeffrey, N.; Alsing, J.; Lanusse, F. Likelihood-free inference with neural compression of DES SV weak lensing map statistics. MNRAS 2021, 501, 954–969. [Google Scholar] [CrossRef]










Publisher’s Note: MDPI stays neutral with regard to jurisdictional claims in published maps and institutional affiliations. |
© 2021 by the authors. Licensee MDPI, Basel, Switzerland. This article is an open access article distributed under the terms and conditions of the Creative Commons Attribution (CC BY) license (https://creativecommons.org/licenses/by/4.0/).
Share and Cite
Martinelli, M.; Casas, S. Cosmological Tests of Gravity: A Future Perspective. Universe 2021, 7, 506. https://doi.org/10.3390/universe7120506
Martinelli M, Casas S. Cosmological Tests of Gravity: A Future Perspective. Universe. 2021; 7(12):506. https://doi.org/10.3390/universe7120506
Chicago/Turabian StyleMartinelli, Matteo, and Santiago Casas. 2021. "Cosmological Tests of Gravity: A Future Perspective" Universe 7, no. 12: 506. https://doi.org/10.3390/universe7120506
APA StyleMartinelli, M., & Casas, S. (2021). Cosmological Tests of Gravity: A Future Perspective. Universe, 7(12), 506. https://doi.org/10.3390/universe7120506

