On the Energy of a Non-Singular Black Hole Solution Satisfying the Weak Energy Condition
Abstract
1. Introduction
2. The Non-Singular Black Hole Solution Satisfying the Weak Energy Condition
3. Einstein and Møller Prescriptions
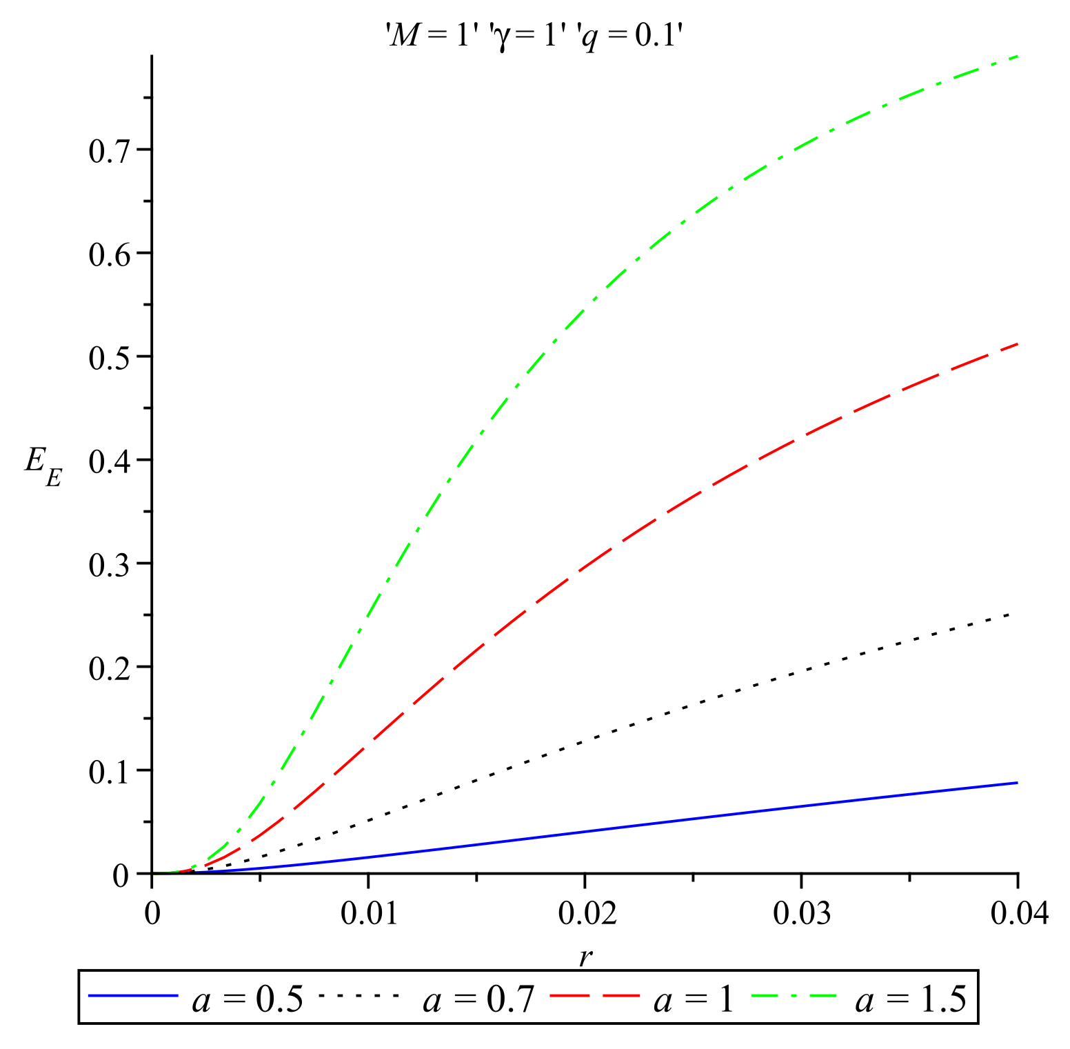
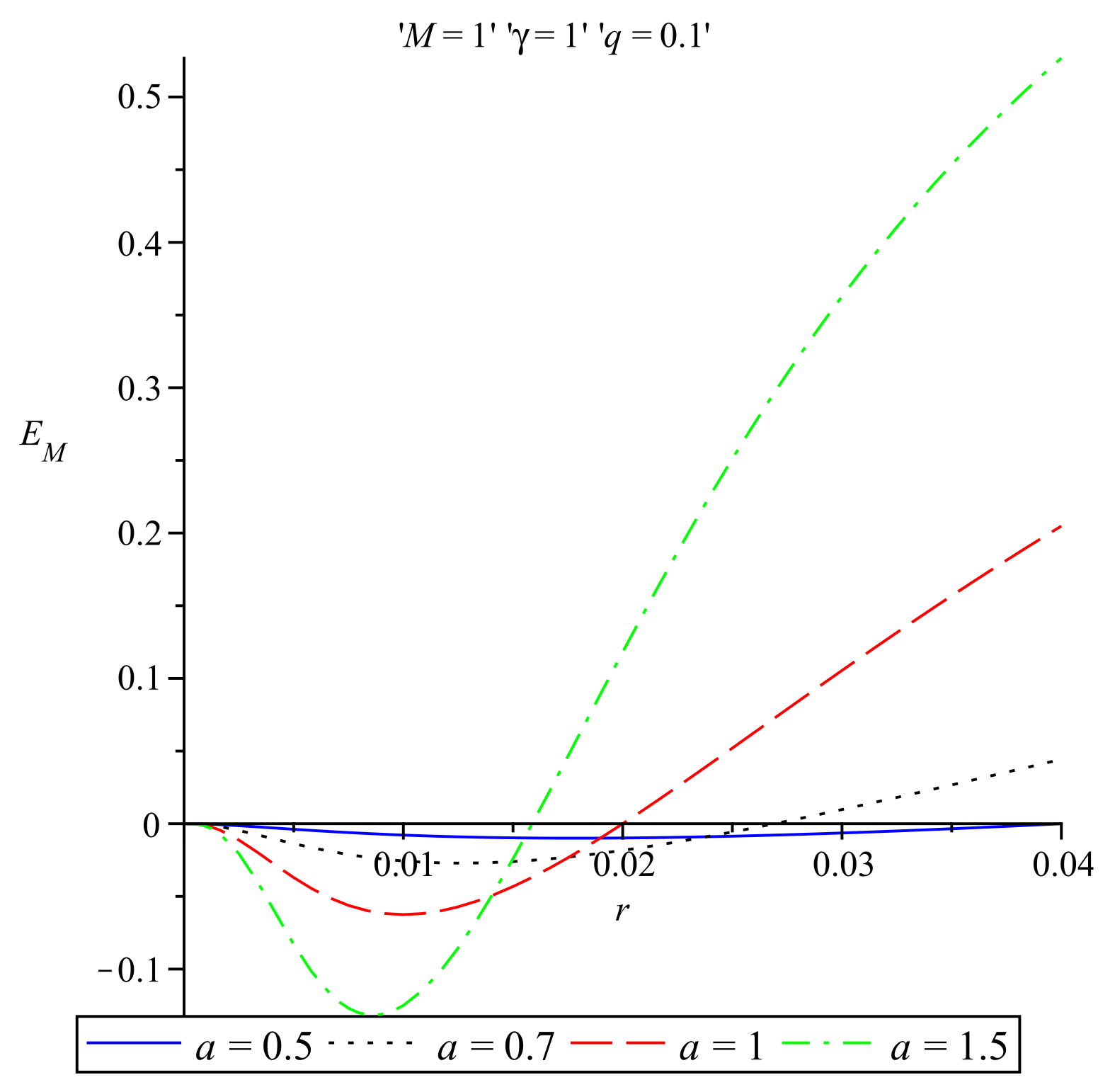
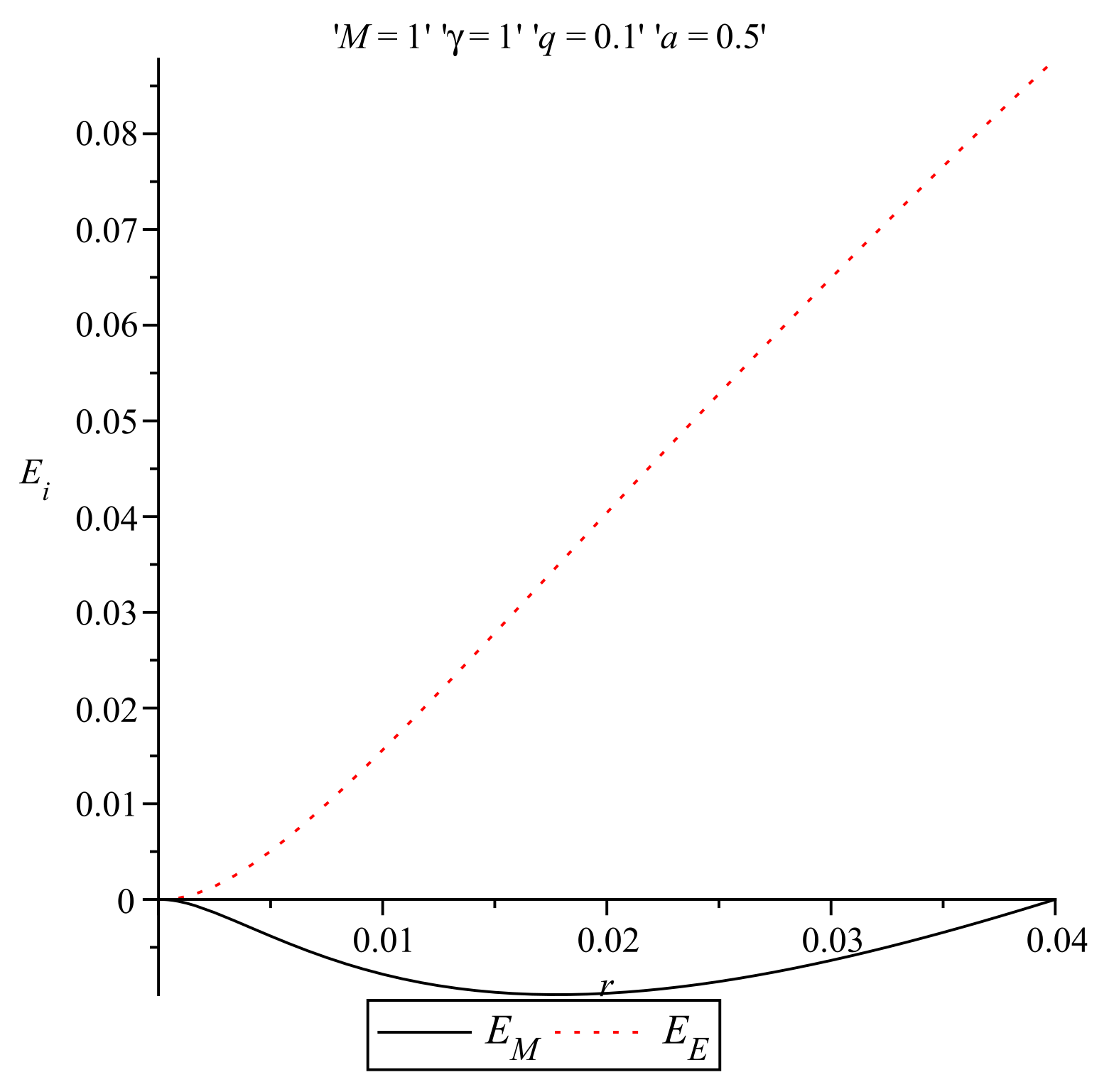
4. Energy-Momentum Distribution of the Non-Singular Black Hole Solution Satisfying the Weak Energy Condition
5. Results and Discussion
Author Contributions
Funding
Conflicts of Interest
References
- Bel, L. Définition d’une densité d’énergie et d’un état de radiation totale généralisée. Comptes Rendus Hebd. Séances Acad. Sci. 1958, 246, 3015–3018. [Google Scholar]
- Bonilla, M.A.G.; Senovilla, J.M.M. Some properties of the Bel and Bel-Robinson tensors. Gen. Relativ. Gravit. 1997, 29, 91–116. [Google Scholar] [CrossRef]
- Senovilla, J.M. Super-energy tensors. Class. Quantum Gravity 2000, 17, 2799–2841. [Google Scholar] [CrossRef]
- Brown, J.D.; York, J.W., Jr. Quasilocal energy and conserved charges derived from the gravitational action. Phys. Rev. D 1993, 47, 1407. [Google Scholar] [CrossRef] [PubMed]
- Hayward, S.A. Quasilocal gravitational energy. Phys. Rev. D 1994, 49, 831. [Google Scholar] [CrossRef]
- Chen, C.-M.; Liu, J.-L.; Nester, J.M. Quasi-local energy for cosmological models. Mod. Phys. Lett. A 2007, 22, 2039–2046. [Google Scholar] [CrossRef]
- Balart, L. Quasilocal energy, Komar charge and horizon for regular black holes. Phys. Lett. B 2010, 687, 280–285. [Google Scholar] [CrossRef]
- Einstein, A. Sitzungsberichte der Königlich Preussischen Akademie der Wissenschaften zu Berlin. Verlag der Königlichen Akademie der Wissenschaften, 1915; Volume 47, p. 778, Addendum: Sitzungsberichte der Königlich Preussischen Akademie der Wissenschaften. 1915; Volume 47, p. 799. Available online: https://einsteinpapers.press.princeton.edu/vol6-doc/ (accessed on 2 April 2020).
- Trautman, A. Conservation laws in general relativity. In Gravitation: An Introduction to Current Research; Witten, L., Ed.; John Wiley & Sons: New York, NY, USA, 1962; p. 169. [Google Scholar]
- Landau, L.D.; Lifshitz, E.M. The Classical Theory of Fields; Pergamon Press: New York, NY, USA, 1987; p. 280. [Google Scholar]
- Papapetrou, A. Einstein’s theory of gravitation and flat space. Proc. Roy. Ir. Acad. A 1948, 52, 11–23. [Google Scholar]
- Bergmann, P.G.; Thomson, R. Spin and angular momentum in general relativity. Phys. Rev. 1953, 89, 400. [Google Scholar] [CrossRef]
- Møller, C. On the localization of the energy of a physical system in the general theory of relativity. Ann. Phys. 1958, 4, 347–371. [Google Scholar] [CrossRef]
- Weinberg, S. Gravitation and Cosmology: Principles and Applications of General Theory of Relativity; John Wiley & Sons: New York, NY, USA, 1972; p. 165. [Google Scholar]
- Vagenas, E.C. Effective mass of a radiating charged particle in Einstein’s universe. Mod. Phys. Lett. A 2004, 19, 213–222. [Google Scholar] [CrossRef]
- Multamaki, T.; Putaja, A.; Vilja, I.; Vagenas, E.C. Energy-momentum complexes in f(R) theories of gravity. Class. Quantum Gravity 2008, 25, 075017. [Google Scholar] [CrossRef]
- Rosen, N.; Virbhadra, K.S. Energy and momentum of cylindrical gravitational waves. Gen. Relativ. Gravit. 1993, 25, 429. [Google Scholar] [CrossRef]
- Virbhadra, K.S.; Parikh, J.C. A conformal scalar dyon black hole solution. Phys. Lett. B 1994, 331, 302–304. [Google Scholar] [CrossRef]
- Radinschi, I. Energy associated with the Bianchi type VI0 Universe. Chin. J. Phys. 2001, 39, 393. [Google Scholar]
- Sahoo, P.K.; Mahanta, K.L.; Goit, D.; Sinha, A.K.; Xulu, S.S.; Das, U.R.; Prasad, A.; Prasad, R. Einstein energy-momentum complex for a phantom black hole metric. Chin. Phys. Lett. 2015, 32, 020402. [Google Scholar] [CrossRef][Green Version]
- Tripathy, S.K.; Mishra, B.; Pandey, G.K.; Singh, A.K.; Kumar, T.; Xulu, S.S. Energy and Momentum of Bianchi Type Universes. Adv. High Energy Phys. 2015, 2015, 705262. [Google Scholar] [CrossRef]
- Yang, I.-C.; Radinschi, I. On the difference of energy between the Einstein and Møller prescription. Chin. J. Phys. 2004, 42, 40. [Google Scholar]
- Radinschi, I.; Grammenos, T. Møller’s energy-momentum complex for a spacetime geometry on a noncommutative curved D3-brane. Int. J. Theor. Phys. 2008, 47, 1363–1372. [Google Scholar] [CrossRef]
- Yang, I.-C.; Lin, C.-L.; Radinschi, I. The energy of a regular black hole in general relativity coupled to nonlinear electrodynamics. Int. J. Theor. Phys. 2009, 48, 248–255. [Google Scholar] [CrossRef]
- Radinschi, I.; Rahaman, F.; Ghosh, A. On the energy of charged black holes in generalized dilaton-axion gravity. Int. J. Theor. Phys. 2010, 49, 943–956. [Google Scholar] [CrossRef][Green Version]
- Radinschi, I.; Rahaman, F.; Banerjee, A. On the Energy of Hořava-Lifshitz black holes. Int. J. Theor. Phys. 2011, 50, 2906–2916. [Google Scholar] [CrossRef]
- Radinschi, I.; Rahaman, F.; Banerjee, A. The energy distribution of Hořava-Lifshitz black hole solutions. Int. J. Theor. Phys. 2012, 51, 1425–1434. [Google Scholar] [CrossRef]
- Abdel-Megied, M.; Gad, R.M. “Møller’s energy in the Kantowski-Sachs space-time. Adv. High Energy Phys. 2010, 2010, 379473. [Google Scholar] [CrossRef]
- Sharif, M.; Azam, M. Energy-momentum distribution: Some examples. Int. J. Mod. Phys. A 2007, 22, 1935. [Google Scholar] [CrossRef]
- Vagenas, E.C. Energy distribution in 2D stringy black hole backgrounds. Int. J. Mod. Phys. A 2003, 18, 5781. [Google Scholar] [CrossRef]
- Vagenas, E.C. Energy distribution in a BTZ black hole spacetime. Int. J. Mod. Phys. D 2005, 14, 573. [Google Scholar] [CrossRef]
- Vagenas, E.C. Energy distribution in the dyadosphere of a Reissner-Nordström black hole in Møller’s prescription. Mod. Phys. Lett. A 2006, 21, 1947. [Google Scholar] [CrossRef]
- Balart, L. Energy distribution of (2 + 1)-dimensional black holes with nonlinear electrodynamics. Mod. Phys. Lett. A 2009, 24, 2777. [Google Scholar] [CrossRef]
- Abbassi, A.M.; Mirshekari, S.; Abbassi, A.H. Energy-momentum distribution in static and nonstatic cosmic string space-times. Phys. Rev. D 2008, 78, 064053. [Google Scholar] [CrossRef]
- Matyjasek, J. Some remarks on the Einstein and Møller pseudotensors for static and spherically-symmetric configurations. Mod. Phys. Lett. A 2008, 23, 591–601. [Google Scholar] [CrossRef]
- Aguirregabiria, J.M.; Chamorro, A.; Virbhadra, K.S. Energy and angular momentum of charged rotating black holes. Gen. Relativ. Gravit. 1996, 28, 1393. [Google Scholar] [CrossRef]
- Xulu, S.S. Bergmann-Thomson Energy-Momentum Complex for Solutions More General than the Kerr-Schild Class. Int. J. Theor. Phys. 2007, 46, 2915–2922. [Google Scholar] [CrossRef]
- Virbhadra, K.S. Naked singularities and Seifert’s conjecture. Phys. Rev. D 1999, 60, 104041. [Google Scholar] [CrossRef]
- Møller, C. The four-momentum of an insular system in general relativity. Nucl. Phys. 1964, 57, 330–338. [Google Scholar] [CrossRef]
- Hayashi, K.; Shirafuji, T. New general relativity. Phys. Rev. D 1979, 19, 3524. [Google Scholar] [CrossRef]
- Nester, J.M.; So, L.L.; Vargas, T. Energy of homogeneous cosmologies. Phys. Rev. D 2008, 78, 044035. [Google Scholar] [CrossRef]
- Nashed, G.G.L. Energy of spherically symmetric space-times on regularizing teleparallelism. Int. J. Mod. Phys. A 2010, 25, 28–83. [Google Scholar] [CrossRef]
- Sharif, M.; Jawad, A. Energy contents of some well-known solutions in teleparallel gravity. Astrophys. Space Sci. 2011, 331, 257–263. [Google Scholar] [CrossRef]
- Maluf, J.W.; Veiga, M.V.O.; da Rocha-Neto, J.F. Regularized expression for the gravitational energy-momentum in teleparallel gravity and the principle of equivalence. Gen. Relativ. Gravit. 2007, 39, 227. [Google Scholar] [CrossRef]
- Sousa, A.; Pereira, R.B.; Silva, A.C. Energy and angular momentum densities in a Gödel-type universe in teleparallel geometry. Gravit. Cosmol. 2010, 16, 25–33. [Google Scholar] [CrossRef]
- Aygün, S.; Baysal, H.; Aktaş, C.; Yılmaz, I.; Sahoo, P.K.; Tarhan, I. Teleparallel energy-momentum distribution of various black hole and wormhole metrics. Int. J. Mod. Phys. A 2018, 33, 1850184. [Google Scholar] [CrossRef]
- Ganiou, M.G.; Houndjo, M.J.S.; Tossa, J. f(T) gravity and energy distribution in Landau-Lifshitz prescription. Int. J. Mod. Phys. D 2018, 27, 1850039. [Google Scholar] [CrossRef]
- Penrose, R. Quasi-local mass and angular momentum in general relativity. Proc. R. Soc. Lond. A Math. Phys. Sci. 1982, 381, 53–63. [Google Scholar]
- Tod, K.P. Some examples of Penrose’s quasi-local mass construction. Proc. R. Soc. Lond. A Math. Phys. Sci. 1983, 388, 457–477. [Google Scholar]
- Szabados, L.B. Quasi-local energy-momentum and angular momentum in general relativity. Living Rev. Relativ. 2009, 12, 4. [Google Scholar] [CrossRef]
- Wang, M.T.; Yau, S.T. Quasilocal mass in general relativity. Phys. Rev. Lett. 2009, 102, 021101. [Google Scholar] [CrossRef]
- Wang, M.T.; Yau, S.T. Isometric embeddings into the Minkowski space and new quasi-local mass. Commun. Math. Phys. 2019, 288, 919–942. [Google Scholar] [CrossRef]
- Chen, C.M.; Liu, J.L.; Nester, J.M. Gravitational energy is well defined. Int. J. Mod. Phys. D 2018, 27, 1847017. [Google Scholar] [CrossRef]
- Chen, C.M.; Liu, J.L.; Nester, J.M. Quasi-local energy from a Minkowski reference. Gen. Relativ. Gravit. 2018, 50, 158. [Google Scholar] [CrossRef]
- Balart, L.; Vagenas, E.C. Regular black holes with a nonlinear electrodynamics source. Phys. Rev. D 2014, 90, 124045. [Google Scholar] [CrossRef]
- Dagum, C. A new model of personal income distribution: Specification and estimation. Econ. Appl. 1977, 30, 413–437. [Google Scholar]
- Balart, L.; Vagenas, E.C. Regular black hole metrics and the weak energy condition. Phys. Lett. B 2014, 730, 14–17. [Google Scholar] [CrossRef]
- Virbhadra, K.S.; Ellis, G.F. Schwarzschild black hole lensing. Phys. Rev. D 2000, 62, 084003. [Google Scholar] [CrossRef]
- Virbhadra, K.S. Relativistic images of Schwarzschild black hole lensing. Phys. Rev. D 2009, 79, 083004. [Google Scholar] [CrossRef]
- Radinschi, I.; Grammenos, T.; Rahaman, F.; Spanou, A.; Islam, S.; Chattopadhyay, S.; Pasqua, A. Energy-momentum for a charged nonsingular black hole solution with a nonlinear mass function. Adv. High Energy Phys. 2017, 2017, 7656389. [Google Scholar] [CrossRef]
- Radinschi, I.; Rahaman, F.; Grammenos, T.; Islam, S. Einstein and Møller energy-momentum complexes for a new regular black hole solution with a nonlinear electrodynamics source. Adv. High Energy Phys. 2016, 2016, 9049308. [Google Scholar] [CrossRef]









| Case | , | |||
|---|---|---|---|---|
| 0 | M | M | ||
| 0 | M | M |
© 2020 by the authors. Licensee MDPI, Basel, Switzerland. This article is an open access article distributed under the terms and conditions of the Creative Commons Attribution (CC BY) license (http://creativecommons.org/licenses/by/4.0/).
Share and Cite
Radinschi, I.; Grammenos, T.; Rahaman, F.; Cazacu, M.-M.; Spanou, A.; Chakraborty, J. On the Energy of a Non-Singular Black Hole Solution Satisfying the Weak Energy Condition. Universe 2020, 6, 169. https://doi.org/10.3390/universe6100169
Radinschi I, Grammenos T, Rahaman F, Cazacu M-M, Spanou A, Chakraborty J. On the Energy of a Non-Singular Black Hole Solution Satisfying the Weak Energy Condition. Universe. 2020; 6(10):169. https://doi.org/10.3390/universe6100169
Chicago/Turabian StyleRadinschi, Irina, Theophanes Grammenos, Farook Rahaman, Marius-Mihai Cazacu, Andromahi Spanou, and Joydeep Chakraborty. 2020. "On the Energy of a Non-Singular Black Hole Solution Satisfying the Weak Energy Condition" Universe 6, no. 10: 169. https://doi.org/10.3390/universe6100169
APA StyleRadinschi, I., Grammenos, T., Rahaman, F., Cazacu, M.-M., Spanou, A., & Chakraborty, J. (2020). On the Energy of a Non-Singular Black Hole Solution Satisfying the Weak Energy Condition. Universe, 6(10), 169. https://doi.org/10.3390/universe6100169

