Theoretical Study on Spin-Selective Coherent Electron Transfer in a Quantum Dot Array
Abstract
1. Introduction
2. Spin-Selective Electron Transfer with a Single -Pulse
2.1. Step I
2.2. Step II
3. Adiabatic and Shortcuts-To-Adiabaticity Controls
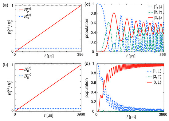
3.1. Spin-Selective STIRAP with Constant
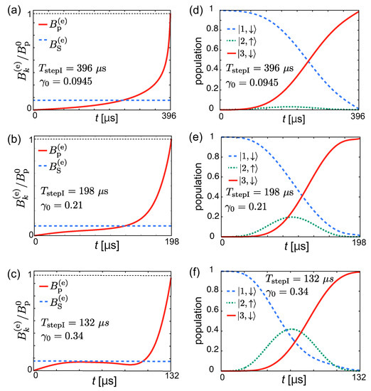
3.2. Shortcuts to Adiabaticity
4. Robustness of Control
4.1. The Effect of the Error of the Pulse Amplitude
4.2. The Effect of the Relaxation of Excited States
4.3. Effect of Dephasing of Spin
5. Conclusions
Author Contributions
Funding
Conflicts of Interest
Abbreviations
| STIRAP | stimulated Raman adiabatic passage |
| STA | shortcuts to adiabaticity |
| RWA | rotating wave approximation |
Appendix A. End of Step I

References
- Loss, D.; DiVincenzo, D.P. Quantum computation with quantum dots. Phys. Rev. A 1998, 57, 120–126. [Google Scholar] [CrossRef]
- Fowler, A.G.; Mariantoni, M.; Martinis, J.M.; Cleland, A.N. Surface codes: Towards practical large-scale quantum computation. Phys. Rev. A 2012, 86, 032324–032371. [Google Scholar] [CrossRef]
- Morello, A.; Pla, J.J.; Zwanenburg, F.A.; Chan, K.W.; Tan, K.Y.; Huebl, H.; Möttönen, M.; Nugroho, C.D.; Yang, C.; van Donkelaar, J.A.; et al. Single-shot readout of an electron spin in silicon. Nature 2010, 467, 687–691. [Google Scholar] [CrossRef] [PubMed]
- Pla, J.J.; Tan, K.Y.; Dehollain, J.P.; Lim, W.H.; Morton, J.J.L.; Jamieson, D.N.; Dzurak, A.S.; Morello, A. A single-atom electron spin qubit in silicon. Nature 2012, 489, 541–545. [Google Scholar] [CrossRef] [PubMed]
- Muhonen, J.T.; Dehollain, J.P.; Laucht, A.; Hudson, F.E.; Kalra, R.; Sekiguchi, T.; Itoh, K.M.; Jamieson, D.N.; McCallum, J.C.; Dzurak, A.S.; et al. Storing quantum information for 30 seconds in a nanoelectronic device. Nat. Nanotech. 2014, 9, 986–991. [Google Scholar] [CrossRef] [PubMed]
- Maune, B.M.; Borselli, M.G.; Huang, B.; Ladd, T.D.; Deelman, P.W.; Holabird, K.S.; Kiselev, A.A.; Alvarado-Rodriguez, I.; Ross, R.S.; Schmitz, A.E.; et al. Coherent singlet-triplet oscillations in a silicon-based double quantum dot. Nature 2012, 481, 344–347. [Google Scholar] [CrossRef]
- Veldhorst, M.; Hwang, J.C.C.; Yang, C.H.; Leenstra, A.W.; de Ronde, B.; Dehollain, J.P.; Muhonen, J.T.; Hudson, F.E.; Itoh, K.M.; Morello, A.; et al. An addressable quantum dot qubit with fault-tolerant control-fidelity. Nat. Nanotechnol. 2014, 9, 981–985. [Google Scholar] [CrossRef]
- Kawakami, E.; Scarlino, P.; Ward, D.R.; Braakman, F.R.; Savage, D.E.; Lagally, M.G.; Friesen, M.; Coppersmith, S.N.; Eriksson, M.A.; Vandersypen, L.M.K. Electrical control of a long-lived spin qubit in a Si/SiGe quantum dot. Nat. Nanotechnol. 2014, 9, 666–670. [Google Scholar] [CrossRef]
- Itoh, K.M.; Watanabe, H. Isotope engineering of silicon and diamond for quantum computing and sensing applications. MRS Commun. 2014, 4, 143–157. [Google Scholar] [CrossRef]
- Urdampilleta, M.; Niegemann, D.J.; Chanrion, E.; Jadot, B.; Spence, C.; Mortemousque, P.; Bäuerle, C.; Hutin, L.; Bertrand, B.; Barraud, S.; et al. Gate-based high fidelity spin readout in a CMOS device. Nat. Nanotechnol. 2019, 14, 737–741. [Google Scholar] [CrossRef]
- Yang, C.H.; Leon, R.C.C.; Hwang, J.C.C.; Saraiva, A.; Tanttu, T.; Huang, W.; Lemyre, J.C.; Chan, K.W.; Tan, K.Y.; Hudson, F.E.; et al. Silicon quantum processor unit cell operation above one Kelvin. arXiv 2019, arXiv:1902.09126. [Google Scholar]
- Masuda, S.; Tan, K.Y.; Nakahara, M. Spin-selective electron transfer in a quantum dot array. Phys. Rev. B 2018, 97, 045418–045431. [Google Scholar] [CrossRef]
- Noiri, A.; Yoneda, J.; Nakajima, T.; Otsuka, T.; Delbecq, M.R.; Takeda, K.; Amaha, S.; Allison, G.; Ludwig, A.; Wieck, A.D.; et al. Coherent electron-spin-resonance manipulation of three individual spins in a triple quantum dot. Appl. Phys. Lett. 2016, 108, 153101–153105. [Google Scholar] [CrossRef]
- Takeda, K.; Kamioka, J.; Otsuka, T.; Yoneda, J.; Nakajima, T.; Delbecq, M.R.; Amaha, S.; Allison, G.; Kodera, T.; Oda, S.; et al. A fault-tolerant addressable spin qubit in a natural silicon quantum dot. Sci. Adv. 2016, 2, e1600694–e1600699. [Google Scholar] [CrossRef] [PubMed]
- Harvey-Collard, P.; Tobias Jacobson, N.; Rudolph, M.; Dominguez, J.; Ten Eyck, G.A.; Wendt, J.R.; Pluym, T.; King Gamble, J.; Lilly, M.P.; Pioro-Ladriére, M.; et al. Coherent coupling between a quantum dot and a donor in silicon. Nat. Commun. 2017, 8, 1029–1034. [Google Scholar] [CrossRef]
- Veldhorst, M.; Yang, C.H.; Hwang, J.C.C.; Huang, W.; Dehollain, J.P.; Muhonen, J.T.; Simmons, S.; Laucht, A.; Hudson, F.E.; Itoh, K.M.; et al. A two-qubit logic gate in silicon. Nature 2015, 526, 410–414. [Google Scholar] [CrossRef]
- Kouwenhoven, L.P.; Johnson, A.T.; van der Vaart, N.C.; Harmans, C.J.P.M.; Foxon, C.T. Quantized current in a quantum-dot turnstile using oscillating tunnel barriers. Phys. Rev. Lett. 1991, 67, 1626–1629. [Google Scholar] [CrossRef]
- Blumenthal, M.D.; Kaestner, B.; Li, L.; Giblin, S.; Janssen, T.J.B.M.; Pepper, M.; Anderson, D.; Jones, G.; Ritchie, D.A. Gigahertz quantized charge pumping. Nat. Phys. 2007, 3, 343–347. [Google Scholar] [CrossRef]
- Jehl, X.; Voisin, B.; Charron, T.; Clapera, P.; Ray, S.; Roche, B.; Sanquer, M.; Djordjevic, S.; Devoille, L.; Wacquez, R.; et al. Hybrid Metal-Semiconductor Electron Pump for Quantum Metrology. Phys. Rev. X 2013, 3, 021012–021023. [Google Scholar] [CrossRef]
- Connolly, M.R.; Chiu, K.L.; Giblin, S.P.; Kataoka, M.; Fletcher, J.D. Chua, C.; Griffiths, J.P.; Jones, G.A.C.; Fal’ko, V.I.; Smith C.G.; et al. Gigahertz quantized charge pumping in graphene quantum dots. Nat. Nanotechnol. 2013, 8, 417–420. [Google Scholar] [CrossRef]
- Rossi, A.; Tanttu, T.; Tan, K.Y.; Iisakka, I.; Zhao, R.; Chan, K.W.; Tettamanzi, G.C.; Rogge, S.; Dzurak, A.S.; Möttönen, M. An Accurate Single-Electron Pump Based on a Highly Tunable Silicon Quantum Dot. Nano Lett. 2014, 14, 3405–3411. [Google Scholar] [CrossRef] [PubMed]
- Pekola, J.; Saira, O.-P.; Maisi, V.F.; Kemppinen, A.; Möttönen, M.; Pashkin, Y.A.; Averin, D.V. Single-electron current sources: Toward a refined definition of the ampere. Rev. Mod. Phys. 2013, 86, 1421–1472. [Google Scholar] [CrossRef]
- Tanttu, T.; Rossi, A.; Tan, K.Y.; Huhtinen, K.-E.; Chan, K.W.; Möttönen, M.; Dzurak, A.S. Electron counting in a silicon single-electron pump. New J. Phys. 2015, 17, 103030–103035. [Google Scholar] [CrossRef]
- Chan, K.W.; Möttönen, M.; Kemppinen, A.; Lai, N.S.; Tan, K.Y.; Lim, W.H.; Dzurak, A.S. Single-electron shuttle based on a silicon quantum dot. Appl. Phys. Lett. 2011, 98, 212103–212105. [Google Scholar] [CrossRef]
- Baart, T.A.; Shafiei, M.; Fujita, T.; Reichl, C.; Wegscheider, W.; Vandersypen, L.M.K. Single-spin CCD. Nat. Nanotechnol. 2016, 11, 330–334. [Google Scholar] [CrossRef] [PubMed]
- Flentje, H.; Mortemousque, P.-A.; Thalineau, R.; Ludwig, A.; Wieck, A.D.; Bäuerle, C.; Meunier, T. Coherent long-distance displacement of individual electron spins. Nat. Commun. 2017, 8, 501. [Google Scholar] [CrossRef] [PubMed]
- Jaksch, D.; Briegel, H.-J.; Cirac, J.I.; Gardiner, C.W.; Zoller, P. Entanglement of Atoms via Cold Controlled Collisions. Phys. Rev. Lett. 1999, 82, 1975–1978. [Google Scholar] [CrossRef]
- Lapasar, E.H.; Kasamatsu, K.; Kondo, Y.; Nakahara, M.; Ohmi, T. Scalable Neutral Atom Quantum Computer with Interaction on Demand: Proposal for Selective Application of Two-Qubit Gate. J. Phys. Soc. Jpn. 2011, 80, 114003–114012. [Google Scholar] [CrossRef]
- Lapasar, E.H.; Kasamatsu, K.; Nic Chormaic, S.; Takui, T.; Kondo, Y.; Nakahara, M.; Ohmi, T. Two-Qubit Gate Operation on Selected Nearest-Neighbor Neutral Atom Qubits. J. Phys. Soc. Jpn. 2014, 83, 044005–044010. [Google Scholar] [CrossRef]
- Sarovar, M.; Young, K.C.; Schenkel, T.; Whaley, K.B. Quantum nondemolition measurements of single donor spins in semiconductors. Phys. Rev. B 2008, 78, 245302–245309. [Google Scholar] [CrossRef]
- Puri, S.; McMahon, P.L.; Yamamoto, Y. Single-shot quantum nondemolition measurement of a quantum-dot electron spin using cavity exciton-polaritons. Phys. Rev. B 2014, 90, 155421–155425. [Google Scholar] [CrossRef]
- Nakajima, T.; Noiri, A.; Yoneda, J.; Delbecq, M.R.; Stano, P.; Otsuka, T.; Takeda, K.; Amaha, S.; Allison, G.; Kawasaki, K.; et al. Quantum non-demolition measurement of an electron spin qubit. Nat. Nanotechnol. 2019, 14, 555–560. [Google Scholar] [CrossRef] [PubMed]
- Gaubatz, U.; Rudecki, P.; Schiemann, S.; Bergmann, K. Population transfer between molecular vibrational levels by stimulated Raman scattering with partially overlapping laser fields. A new concept and experimental results. J. Chem. Phys. 1990, 92, 5363–5376. [Google Scholar] [CrossRef]
- Bergmann, K.; Theuer, H.; Shore, B.W. Coherent population transfer among quantum states of atoms and molecules. Rev. Mod. Phys. 1998, 70, 1003–1025. [Google Scholar] [CrossRef]
- Vitanov, N.V.; Halfmann, T.; Shore, B.W.; Bergmann, K. Laser-Induced Population Transfer by Adiabatic Passage Techniques. Ann. Rev. Phys. Chem. 2001, 52, 763–809. [Google Scholar] [CrossRef]
- Greentree, A.D.; Cole, J.H.; Hamilton, A.R.; Hollenberg, L.C.L. Coherent electronic transfer in quantum dot systems using adiabatic passage. Phys. Rev. B 2004, 70, 235317–235322. [Google Scholar] [CrossRef]
- Jong, L.M.; Greentree, A.D.; Conrad, V.I.; Hollenberg, L.C.L.; Jamieson, D.N. Coherent tunneling adiabatic passage with the alternating coupling scheme. Nanotechnology 2009, 20, 405402–405409. [Google Scholar] [CrossRef][Green Version]
- Eckert, K.; Lewenstein, M.; Corbalán, R.; Birkl, G.; Ertmer, W.; Mompart, J. Three-level atom optics via the tunneling interaction. Phys. Rev. A 2004, 70, 023606–023610. [Google Scholar] [CrossRef]
- Eckert, K.; Mompart, J.; Corbalán, R.; Lewenstein, M.; Birkl, G. Three level atom optics in dipole traps and waveguides. Opt. Commun. 2006, 264, 264–270. [Google Scholar] [CrossRef]
- Opatrný, T.; Das, K.K. Conditions for vanishing central-well population in triple-well adiabatic transport. Phys. Rev. A 2009, 79, 012113–012119. [Google Scholar] [CrossRef]
- O’Sullivan, B.; Morrissey, P.; Morgan, T.; Busch, T. Using adiabatic coupling techniques in atom-chip waveguide structures. Phys. Scr. 2010, 140, 014029–014034. [Google Scholar] [CrossRef]
- Morgan, T.; O’Sullivan, B.; Busch, T. Coherent adiabatic transport of atoms in radio-frequency traps. Phys. Rev. A 2011, 83, 053620–053625. [Google Scholar] [CrossRef]
- Morgan, T.; O’Riordan, L.J.; Crowley, N.; O’Sullivan, B.; Busch, T. Coherent transport by adiabatic passage on atom chips. Phys. Rev. A 2013, 88, 053618–053623. [Google Scholar] [CrossRef]
- Graefe, E.M.; Korsch, H.J.; Witthaut, D. Mean-field dynamics of a Bose-Einstein condensate in a time-dependent triple-well trap: Nonlinear eigenstates, Landau-Zener models, and stimulated Raman adiabatic passage. Phys. Rev. A 2006, 73, 013617–013622. [Google Scholar] [CrossRef]
- Rab, M.; Cole, J.H.; Parker, N.G.; Greentree, A.D.; Hollenberg, L.C.L.; Martin, A.M. Spatial coherent transport of interacting dilute Bose gases. Phys. Rev. A 2008, 77, 061602–061605. [Google Scholar] [CrossRef]
- Nesterenko, V.O.; Novikov, A.N.; de Souza Cruz, F.F.; Lapolli, E.L. Tunneling and transport dynamics of trapped Bose-Einstein condensates. Laser Phys. 2009, 19, 616–624. [Google Scholar] [CrossRef]
- Rab, M.; Hayward, A.L.C.; Cole, J.H.; Greentree, A.D.; Martin, A.M. Interferometry using adiabatic passage in dilute-gas Bose-Einstein condensates. Phys. Rev. A 2012, 86, 063605–063614. [Google Scholar] [CrossRef]
- Coulston, G.W.; Bergmann, K. Population transfer by stimulated Raman scattering with delayed pulses: Analytical results for multilevel systems. J. Chem. Phys. 1994, 96, 3467–3475. [Google Scholar] [CrossRef]
- Martin, J.; Shore, B.W.; Bergmann, K. Coherent population transfer in multilevel systems with magnetic sublevels. III. Experimental results. Phys. Rev. A 1996, 54, 1556–1569. [Google Scholar] [CrossRef]
- Halfmann, T.; Bergmann, K. Coherent population transfer and dark resonances in SO2. J. Chem. Phys. 1996, 104, 7068–7072. [Google Scholar] [CrossRef]
- Malinovsky, V.S.; Tannor, D.J. Simple and robust extension of the stimulated Raman adiabatic passage technique to N-level systems. Phys. Rev. A 1997, 56, 4929–4937. [Google Scholar] [CrossRef]
- Kobrak, M.N.; Rice, S.A. Selective photochemistry via adiabatic passage: An extension of stimulated Raman adiabatic passage for degenerate final states. Phys. Rev. A 1998, 57, 2885–2894. [Google Scholar] [CrossRef]
- Kurkal, V.; Rice, S.A. Sequential STIRAP-based control of the HCN→CNH isomerization. Chem. Phys. Lett. 2001, 344, 125–137. [Google Scholar] [CrossRef]
- Cheng, T.; Darmawan, H.; Brown, A. Stimulated Raman adiabatic passage in molecules: The effects of background states. Phys. Rev. A 2007, 75, 013411–013421. [Google Scholar] [CrossRef]
- Jakubetz, W. Limitations of STIRAP-like population transfer in extended systems: The three-level system embedded in a web of background states. J. Chem. Phys. 2012, 137, 224312–224327. [Google Scholar] [CrossRef]
- Kumar, K.S.; Vepsäläinen, A.; Danilin, S.; Paraoanu, G.S. Stimulated Raman adiabatic passage in a three-level superconducting circuit. Nat. Commun. 2016, 7, 10628. [Google Scholar] [CrossRef]
- Dittmann, P.; Pesl, F.P.; Martin, J.; Coulston, G.W.; He, G.Z.; Bergmann, K. The effect of vibrational excitation (3≤v′≤19) on the reaction Na2(v′)+Cl→ NaCl+Na*. J. Chem. Phys. 1992, 97, 9472–9475. [Google Scholar] [CrossRef]
- Kulin, S.; Saubamea, B.; Peik, E.; Lawall, J.; Hijmans, T.W.; Leduc, M.; Cohen-Tannoudji, C. Coherent Manipulation of Atomic Wave Packets by Adiabatic Transfer. Phys. Rev. Lett. 1997, 78, 4185–4188. [Google Scholar] [CrossRef]
- Longhi, S.; Della Valle, G.; Ornigotti, M.; Laporta, P. Coherent tunneling by adiabatic passage in an optical waveguide system. Phys. Rev. B 2007, 76, 201101–201104. [Google Scholar] [CrossRef]
- Lahini, Y.; Pozzi, F.; Sorel, M.; Morandotti, R.; Christodoulides, D.N.; Silberberg, Y. Effect of Nonlinearity on Adiabatic Evolution of Light. Phys. Rev. Lett. 2008, 101, 193901–193904. [Google Scholar] [CrossRef]
- Menchon-Enrich, R.; Llobera, A.; Cadarso, V.J.; Mompart, J.; Ahufinger, V. Adiabatic Passage of Light in CMOS-Compatible Silicon Oxide Integrated Rib Waveguides. IEEE Photonics Technol. Lett. 2012, 24, 536–538. [Google Scholar] [CrossRef]
- Menchon-Enrich, R.; Llobera, A.; Vila-Planas, J.; Cadarso, V.J.; Mompart, J.; Ahufinger, V. Light spectral filtering based on spatial adiabatic passage. Light Sci. Appl. 2013, 2, e90–e97. [Google Scholar] [CrossRef]
- Menchon-Enrich, R.; Mompart, J.; Ahufinger, V. Spatial adiabatic passage processes in sonic crystals with linear defects. Phys. Rev. B 2014, 89, 094304–094313. [Google Scholar] [CrossRef]
- Hollenberg, L.C.L.; Greentree, A.D.; Fowler, A.G.; Wellard, C.J. Two-dimensional architectures for donor-based quantum computing. Phys. Rev. B 2006, 74, 045311–045318. [Google Scholar] [CrossRef]
- Torrontegui, E.; Ibáñez, S.; Martínez-Garaot, S.; Modugno, M.; del Campo, A.; Guéry-Odelin, D.; Ruschhaupt, A.; Chen, X.; Muga, J.G. Shortcuts to Adiabaticity. Adv. Atom. Mol. Opt. Phys. 2013, 62, 117–169. [Google Scholar]
- Masuda, S.; Rice, S.A. Controlling Quantum Dynamics with Assisted Adiabatic Processes. Adv. Chem. Phys. 2016, 159, 51–135. [Google Scholar]
- Berry, M. Transitionless quantum driving. J. Phys. A Math.Gen. 2009, 42, 365303–365311. [Google Scholar] [CrossRef]
- del Campo, A.; Rams, M.M.; Zurek, W.H. Assisted Finite-Rate Adiabatic Passage Across a Quantum Critical Point: Exact Solution for the Quantum Ising Model. Phys. Rev. Lett. 2012, 109, 115703–115707. [Google Scholar] [CrossRef]
- Fasihi, M.-A.; Wan, Y.; Nakahara, M. Non-adiabatic Fast Control of Mixed States Based on Lewis-Riesenfeld Invariant. J. Phys. Soc. Jpn. 2012, 81, 024007–024014. [Google Scholar] [CrossRef]
- Takahashi, K. Transitionless quantum driving for spin systems. Phys. Rev. E 2013, 87, 062117–062125. [Google Scholar] [CrossRef]
- Setiawan, I.; Gunara, B.E.; Masuda, S.; Nakamura, K. Fast forward of the adiabatic spin dynamics of entangled states. Phys. Rev. A 2017, 96, 052106–052116. [Google Scholar] [CrossRef]
- Zhang, J.; Shim, J.H.; Niemeyer, I.; Taniguchi, T.; Teraji, T.; Abe, H.; Onoda, S.; Yamamoto, T.; Ohshima, T.; Isoya, J.; et al. Experimental Implementation of Assisted Quantum Adiabatic Passage in a Single Spin. Phys. Rev. Lett. 2013, 110, 240501–240505. [Google Scholar] [CrossRef] [PubMed]
- Zhou, B.B.; Baksic, A.; Ribeiro, H.; Yale, C.G.; Joseph Heremans, F.; Jerger, P.C.; Auer, A.; Burkard, G.; Clerk, A.A.; Awschalom, D.D. Accelerated quantum control using superadiabatic dynamics in a solid-state lambda system. Nat. Phys. 2016, 13, 330–334. [Google Scholar] [CrossRef]
- Demirplak, M.; Rice, S.A. Adiabatic Population Transfer with Control Fields. J. Phys. Chem. A 2003, 107, 9937–9945. [Google Scholar] [CrossRef]
- Chen, X.; Lizuain, I.; Ruschhaupt, A.; Guéry-Odelin, D.; Muga, J.G. Shortcut to Adiabatic Passage in Two- and Three-Level Atoms. Phys. Rev. Lett. 2010, 105, 123003–123006. [Google Scholar] [CrossRef] [PubMed]
- Masuda, S.; Rice, S.A. Selective Vibrational Population Transfer using Combined Stimulated Raman Adiabatic Passage and Counter-Diabatic Fields. J. Phys. Chem. C 2014, 119, 14513–14523. [Google Scholar] [CrossRef]
- Du, Y.-X.; Liang, Z.-T.; Li, Y.-C.; Yue, X.-X.; Lv, Q.-X.; Huang, W.; Chen, X.; Yan, H.; Zhu, S.-L. Experimental realization of stimulated Raman shortcut-to-adiabatic passage with cold atoms. Nat. Commun. 2016, 7, 12479–12485. [Google Scholar] [CrossRef]
- An, S.L.; del Campo, A.; Kim, K. Experimental realization of stimulated Raman shortcut-to-adiabatic passage with cold atoms. Nat. Commun. 2016, 7, 12479. [Google Scholar]
- Masuda, S.; Nakamura, K. Fast-forward of adiabatic dynamics in quantum mechanics. Proc. R. Soc. A 2009, 466, 1135–1154. [Google Scholar] [CrossRef]
- Muga, J.G.; Chen, X.; Ruschhaupt, A.; Guéry-Odelin, D. Frictionless dynamics of Bose-Einstein condensates under fast trap variations. J. Phys. B At. Mol. Opt. Phys. 2009, 42, 241001–241004. [Google Scholar] [CrossRef]
- Schaff, J.-F.; Song, X.-L.; Capuzzi, P.; Vignolo, P.; Labeyrie, G. Shortcut to adiabaticity for an interacting Bose-Einstein condensate. Europhys. Lett. 2011, 93, 23001–23031. [Google Scholar] [CrossRef]
- Bason, M.G.; Viteau, M.; Malossi, N.; Huillery, P.; Arimondo, E.; Ciampini, D.; Fazio, R.; Giovannetti, V.; Mannella, R.; Morsch, O. High-fidelity quantum driving. Nat. Phys. 2011, 8, 147–152. [Google Scholar] [CrossRef]
- Masuda, S. Acceleration of adiabatic transport of interacting particles and rapid manipulations of a dilute Bose gas in the ground state. Phys. Rev. A 2012, 86, 063624–063630. [Google Scholar] [CrossRef]
- Torrontegui, E.; Martínez-Garaot, S.; Ruschhaupt, A.; Muga, J.G. Shortcuts to adiabaticity: Fast-forward approach. Phys. Rev. A 2012, 86, 013601–013606. [Google Scholar] [CrossRef]
- Deffner, S.; Jarzynski, C.; del Campo, A. Classical and Quantum Shortcuts to Adiabaticity for Scale-Invariant Driving. Phys. Rev. X 2014, 4, 021013–021031. [Google Scholar] [CrossRef]
- Masuda, S.; Nakamura, K.; del Campo, A. High-Fidelity Rapid Ground-State Loading of an Ultracold Gas into an Optical Lattice. Phys. Rev. Lett. 2014, 113, 063003–063007. [Google Scholar] [CrossRef]
- Ollikainen, T.; Masuda, S.; Möttönen, M.; Nakahara, M. Counterdiabatic vortex pump in spinor Bose-Einstein condensates. Phys. Rev. A 2017, 95, 013615–013621. [Google Scholar] [CrossRef]
- Ollikainen, T.; Masuda, S.; Möttönen, M.; Nakahara, M. Quantum knots in Bose-Einstein condensates created by counterdiabatic control. Phys. Rev. A 2017, 96, 063609–063615. [Google Scholar] [CrossRef]
- Unanyan, R.G.; Yatsenko, L.P.; Bergmann, K.; Shore, B.W. Population inversion using laser and quasistatic magnetic field pulses. Opt. Commun. 1997, 139, 48–54. [Google Scholar] [CrossRef]
- Masuda, S.; Rice, S.A. Fast-Forward Assisted STIRAP. J. Phys. Chem. A 2015, 119, 3479–3487. [Google Scholar] [CrossRef]
- Chen, X.; Muga, J.G. Engineering of fast population transfer in three-level systems. Phys. Rev. A 2012, 86, 033405–033410. [Google Scholar] [CrossRef]
- Walls, D.F.; Milburn, G.J. Quantum Optics; Springer-Verlag: Berlin/Heidelberg, Germany, 2008. [Google Scholar]
- Kuhn, A.; Hennrich, M.; Bondo, T.; Rempe, G. Controlled generation of single photons from a strongly coupled atom-cavity system. Appl. Phys. B 1999, 69, 373–377. [Google Scholar] [CrossRef]
- Wallraff, A.; Schuster, D.I.; Blais, A.; Frunzio, L.; Huang, R.S.; Majer, J.; Kumar, S.; Girvin, S.M.; Schoelkopf, R.J. Strong coupling of a single photon to a superconducting qubit using circuit quantum electrodynamics. Nature 2004, 431, 162–167. [Google Scholar] [CrossRef] [PubMed]
- Sandberg, M.; Wilson, C.M.; Persson, F.; Bauch, T.; Johansson, G.; Shumeiko, V.; Duty, T.; Delsing, P. Tuning the field in a microwave resonator faster than the photon lifetime. Appl. Phys. Lett. 2008, 92, 203501–203504. [Google Scholar] [CrossRef]
- Malinowski, F.K.; Wilson, C.M.; Persson, F.; Bauch, T.; Johansson, G.; Shumeiko, V.; Duty, T.; Delsing, P. Fast spin exchange across a multielectron mediator. Nat. Commun. 2019, 10, 1196. [Google Scholar] [CrossRef]
- Sigillito, A.J.; Gullans, M.J.; Edge, L.F.; Borselli, M.; Petta, J.R. Coherent transfer of quantum information in a silicon double quantum dot using resonant SWAP gates. Nature 2018, 555, 633–637. [Google Scholar] [CrossRef]
- Harvey-Collard, P.; Jacobson, N.T.; Bureau-Oxton, C.; Jock, R.M.; Srinivasa, V.; Mounce, A.M.; Ward, D.R.; Anderson, J.M.; Manginell, R.P.; Wendt, J.R.; et al. Spin-orbit Interactions for Singlet-Triplet Qubits in Silicon. Phys. Rev. Lett. 2019, 122, 217702–217707. [Google Scholar] [CrossRef]









© 2019 by the authors. Licensee MDPI, Basel, Switzerland. This article is an open access article distributed under the terms and conditions of the Creative Commons Attribution (CC BY) license (http://creativecommons.org/licenses/by/4.0/).
Share and Cite
Masuda, S.; Tan, K.Y.; Nakahara, M. Theoretical Study on Spin-Selective Coherent Electron Transfer in a Quantum Dot Array. Universe 2020, 6, 2. https://doi.org/10.3390/universe6010002
Masuda S, Tan KY, Nakahara M. Theoretical Study on Spin-Selective Coherent Electron Transfer in a Quantum Dot Array. Universe. 2020; 6(1):2. https://doi.org/10.3390/universe6010002
Chicago/Turabian StyleMasuda, Shumpei, Kuan Yen Tan, and Mikio Nakahara. 2020. "Theoretical Study on Spin-Selective Coherent Electron Transfer in a Quantum Dot Array" Universe 6, no. 1: 2. https://doi.org/10.3390/universe6010002
APA StyleMasuda, S., Tan, K. Y., & Nakahara, M. (2020). Theoretical Study on Spin-Selective Coherent Electron Transfer in a Quantum Dot Array. Universe, 6(1), 2. https://doi.org/10.3390/universe6010002

