Abstract
The search for the Lepton Flavor Violating decay exploits the most intense continuous muon beams, which can currently deliver ∼ muons per second. In the next decade, accelerator upgrades are expected in various facilities, making it feasible to have continuous beams with an intensity of or even muons per second. We investigate the experimental limiting factors that will define the ultimate performances, and hence the sensitivity, in the search for with a continuous beam at these extremely high rates. We then consider some conceptual detector designs and evaluate the corresponding sensitivity as a function of the beam intensity.
1. Introduction
In the Standard Model (SM), if the neutrino masses are neglected, three families (or flavors) of leptons exist, and, in any process, the number of leptons of each family is separately conserved. Lepton flavor conservation is anyway an accidental symmetry: a mere consequence of the particle content of the model, following namely from the absence of right handed neutrinos. Actually, this symmetry is not exact, as already demonstrated by the discovery of neutrino oscillations, but the impact on charged lepton decays is negligible, giving for instance a predicted branching ratio (BR) for the decay around , well below the current experimental limit, BR [1].
On the other hand, the accidental nature of this symmetry makes it very sensitive to new physics (NP) processes beyond the SM. In many models, lepton flavor violation (LFV) in the charged lepton sector arises in a measure that is already strongly constrained by the present experimental limits.
These features make the search for LFV very attractive because negative results are able to strongly constrain the development of NP models, while an observation would be unambiguous evidence of physics beyond the SM.
In this work, we investigate the potential of the next generation of searches for the LFV decay , in the view of the possible availability of high intensity muon beams, delivering a number of muons per second up to two orders of magnitude larger than what is presently possible at the Paul Scherrer Institut (PSI, Switzerland), where the most intense continuous muon beam line in the world is operated, with up to muons per second. Projects to reach a muon beam rate of or even muons per second are under considerations at the PSI [2] and elsewhere [3,4]. In these kinds of facilities, muons come from the decay of pions produced by a proton beam impinging on a fixed target. At the PSI, a high intensity muon beam line (HiMB) is studied, which should be able to increase by a factor >4 the muon capture efficiency at the production target, thanks to a new design of the solenoid magnets used to convey the muons into the beam line, and by a factor ∼7 the transport efficiency from the production target to the experimental halls, thanks to an improved beam optics. The main limitation at the PSI comes from the fact that the proton beam needs to be mostly preserved to serve a neutron spallation source downstream of the muon production target. Hence, a thin target is used and only 18% of the original 2 mA beam is used to produce muons. At RCNP (Japan), the MuSIC project aims to use a thicker target in order to get a similar production rate with a much lower proton beam intensity. It requires a magnetic field at the production target to collect pions and muons with a large acceptance and a magnetic field adiabatically changing from 3.5 T at the center of the target to 2 T at the exit of the capture solenoid to improve the acceptance of the beamline. The tests already performed showed that ∼ muons per Watt of proton beam power can be produced. Some studies are also ongoing for the production of continuous muon beams in the context of the PIP-II project at Fermilab (Batavia, IL, USA).
2. Materials and Methods
Our discussion of the sensitivity reach of future experiments looking for considered the typical features of these kinds of searches. Positive muons were used in these experiments, in order to avoid their capture in the target nuclei, which would distort the energy spectrum of the decay products. In order to get an intense muon beam with low contamination of pions and electrons, the beam lines were tuned to transport particles of about 28 MeV/c of momentum, corresponding to muons produced by pions decaying at rest just at the surface of the production target. Muons of such a low momentum can be stopped by thin targets, and typically a few hundred microns of plastic material are sufficient for that purpose. The muons decay at rest and the two-body kinematics is exploited, by looking for a positron and a photon emitted back to back, with equal energies (neglecting the electron mass), MeV.
There is a physics background coming from the radiative muon decay (RMD), , when the two neutrinos carry off a small fraction of the energy. The dominant background, when high beam rates are used, is anyway the accidental coincidence of a positron from a muon decay, , with a high energy photon from an RMD or emitted by a positron annihilating in flight (AIF) with an electron in the detector material. The rate of accidental coincidences is proportional to the square of the muon beam rate , and hence it becomes dominant over RMDs at very high muon beam rates. In order to discriminate against accidental coincidences, the difference between the positron and photon emission time, , is required to be zero.
If a signal region is defined in the parameter space given by the photon and positron energies, the relative stereo angle and the relative time, with dimensions proportional to the detector resolutions , , and , the accidental rate is found to be [5]:
It indicates that, if a significant background yield is expected during the lifetime of the experiment, a further increase of the beam intensity is useless because the sensitivity, depending on the ratio of the signal yield over the square root of the background yield remains constant, unless the resolutions are improved. Equivalently, given an experimental setup running for a given time, there is an ideal muon beam rate: the one giving only very few expected background events.
We analyzed in detail the experimental factors that will limit the sensitivity of the future searches for . We considered different detector options, both for the positron and the photon, and performed simulations to determine the performances that could be reasonably reached. We made this exercise considering different experimental approaches.
In particular, we studied the two different techniques that can be used to detect the photon. In a calorimetric approach, a fast and luminous inorganic scintillating material is used to measure the photon energy, time and position at the detector. Alternatively, thin layers of dense material can be used to produce a photon conversion to , and the two charged particles are tracked in a magnetic field to determine the photon energy and conversion point. The first approach, used in the last several decades by the CrystalBox [6] and MEG [7] experiments, gives a relatively high efficiency (>60% in MEG), while the resolutions are determined by the physical properties of the scintillating material. The MEG experiment, and its upgrade MEG II [8] (currently under construction) have a liquid Xe (LXe) calorimeter, with an homogeneous volume of , giving very good energy (∼2%) and time (∼60 ps) resolutions. The second approach, adopted for the MEGA experiment [9], suffers from a very low efficiency (a few percent per conversion layer) due to the low conversion probability, but allows for reaching extremely good resolutions, which, according to the discussion above, can allow for exploiting a higher beam rate to recover the loss of efficiency. Neither techniques provide a precise determination of the photon direction. It is more precisely determined by tracking the positron back to the target, assuming that the photon comes from the same place, and taking the line joining this point to the photon conversion point as the photon direction. Nonetheless, the conversion technique gives some information about the photon direction, as the combination of the directions of the pair. This supplementary information can be used to require the photon and the positron to come approximately from the same point, and it helps to reduce the accidental background.
We also considered the best performances that could be reached in the positron reconstruction, which is typically carried on with a magnetic spectrometer, which provides high efficiency and the best resolutions in momentum and direction.
The impact of the target and other detector materials is also taken into account. Due to the low positron momentum, the multiple Coulomb scattering (MS) plays a dominant role in the determination of the positron kinematics, and the target itself, as thin as it can be, still gives non negligible contributions. Moreover, materials on the positron trajectory increase the probability of producing AIF photons and hence increase the accidental background.
In Figure 1, the conceptual design of a detector searching for is shown, for the calorimetric and the conversion techniques.
Figure 1.
Two possible approaches for the search: calorimetric reconstruction of photons (left) and conversion of photons to in a layer of dense material (right), followed by a spectrometer to track the charged particle pair. In both cases, the positron is tracked in a magnetic spectrometer.
3. Results
3.1. Experimental Limiting Factors
3.1.1. Efficiency
The positron and photon reconstruction efficiencies, indicated hereafter as and , determine the signal efficiency. The geometrical acceptance is the first factor to be considered. It is typically constrained by the cost of the photon detector. The acceptance of the MEG experiment was, for instance, ∼10%, determined by the angular coverage of the LXe calorimeter. The innovative crystals we will discuss in Section 3.1.2 would mitigate this issue, but it would still be a relevant one in future experiments.
If the calorimetric technique is used, the efficiency is limited by the number of photons converting before reaching the calorimeter, typically in the material of the magnet of the positron spectrometer. A reconstruction efficiency of ∼60% was obtained in MEG.
The photon conversion technique requires thin converters to guarantee very good resolutions. In Figure 2, the conversion probability for 52.8 MeV photons in lead and tungsten for different thicknesses are shown. A few percent is typical if this approach is adopted.
Figure 2.
Conversion probability (black) and energy loss fluctuations in the converter (red) for Lead (full lines) and Tungsten (dashed line), as a function of the converter thickness (in units of radiation length, ). The conversion probability for high energy photons, , is also shown (dash-dotted line).
Concerning the positron from the muon decay, tracking in a spectrometer usually provides a very low reconstruction inefficiency, below a few 10%.
3.1.2. Photon Energy
Photon statistics dominate the resolution. The scintillator to be used is primarily determined by the requirement of a high light yield, but a fast response is also needed to obtain a very good time resolution. The properties of some common scintillating materials are quoted in Table 1. LaBr(Ce) crystals are a good candidate for future experiments, thanks to the high light yield, which should guarantee a good energy resolution and the low decay time, which is necessary to get a very good time resolution.
Table 1.
Properties of state-of-the-art scintillators relevant for the application on searches.
If the pair conversion method is used, the and the interact in the coverter, and the energy resolution is deteriorated by the energy loss fluctuations, because is estimated as the sum of the and energies. We performed simulations with GEANT4 [10] showing that a 280 m Pb layer (∼5% ) would give a resolution of ∼240 keV in the limit of perfect tracking of the pair. Figure 2 also shows the contribution of the material effects to the resolution.
3.1.3. Positron Energy
The positron energy and positron angular resolutions in a spectrometer are ultimately determined by MS and energy loss fluctuations. For this reason, gaseous detectors give the best performances and have been used in the latest experiments. The Mu3e collaboration use a silicon vertex tracker for the search of [11], and a similar design has been suggested for future searches [12], considering that very thin sensors are now available, with a thickness of 50 m Si + 25 m Kapton per layer [13], for a total of ∼ radiation lengths per layer. For comparison, in MEG or MEG II, the material seen by a typical track in the spectrometer is less than radiation lengths, and nonetheless the contribution to the resolution from the multiple Coulomb scattering is a significant factor in MEG and will almost be dominant in MEG II. As a consequence, no more than a few silicon layers could be used. According to simulations [12], an energy resolution of ∼200 keV could be reached, while gaseous detectors can perform much better [8].
The Mu3e collaboration is considering the possibility of adding a conversion layer to their detector in the last phase of the experiment, which is designed to run at HiMB between and /s, with the goal of reaching a sensitivity below .
3.1.4. Relative Angle
The relative angle is measured by combining the positron angle, the photon conversion point and the positron vertex on the target, which has to be as thin as possible to reduce the MS affecting the positron angle measurement. On the other hand, the thickness of the target is dictated by the necessity of stopping a large fraction of the incoming muons. A good strategy to optimize the resolutions and the stopping power consists in slanting the target with respect to the beam axis. If the normal vector to the target plane forms an angle with the beam axis, muons see an effective thickness enlarged by , while the typical thickness seen by positrons is magnified only by a factor . An angle was used in MEG and will be used in MEG II. Nonetheless, if a 90% stopping efficiency is required, simulations suggest that the contribution to the angular resolutions is always larger than 3 mrad, even with Beryllium, the material which gives the best performances. In addition, reducing the thickness by accepting a loos off stopping efficiency is not feasible: the target has to be placed at the Bragg peak to have a reasonable stopping efficiency, and muons not stopped in the target would decay in the gas just after the target, giving a contribution to the background without increasing the signal rate. Hence, a positron angle resolution better than a few mrad cannot be obtained with conventional techniques.
There are alternative options that would allow for overcoming these limitations. First, it is not necessary to use surface muons if an intense beam can be obtained by slowing down a higher energy beam. Second, the beam could be stopped in a large volume of gas. It would prevent applying the relative angle reconstruction as it is usually done, but alternative approaches should be developed. These options are under consideration and will be the subject of future studies.
The photon conversion technique allows for measuring the conversion point with an extreme precision, approximately the single hit resolution of the tracker. Hence, the positron vertex measurement dominates the photon angle resolution. With calorimetry, the granularity of the detector determines the resolution, but it is reasonable to assume a resolution below 1 cm. In both cases, the positron angle resolution is dominant and defines the ultimate resolution.
3.1.5. Relative Time
A good resolution has been guaranteed in the MEG experiments by the use of scintillation detectors placed at the end of the positron trajectory, in combination with the good time resolution of the LXe calorimeter. Replicating these performances in future experiments will require either the use of a calorimetric approach with very fast crystals or the inclusion of scintillators on the trajectory if the photon conversion is used.
3.1.6. Summary
Table 2 shows a summary of the limiting factors for the efficiency and resolutions of future searches, as derived from simulations and analysis of past experiments. More details can be found in [14].
Table 2.
Limiting factors for the efficiency and resolutions of future searches.
3.2. Sensitivity Reach
We considered a conceptual detector based on the photon conversion technique. In this design, a target identical to the one of MEG II is surrounded by a cylindrical gaseous positron tracker. Externally, a Lead conversion layer is placed, with a thickness. Behind it, another gaseous detector is used as an pair spectrometer.
Optionally, a small gaseous or two-layer solid state detector can be considered as a vertex tracker to improve the determination of the positron angles and the muon decay point.
The whole detector is immersed in a magnetic field. The signal positron curls before reaching the converter layer and finally reaches a set of scintillators for positron timing, while at least one of the tracks from the photon conversion goes through the whole pair spectrometer and reaches another set of scintillators for the photon timing.
We estimated the expected performances of such a detector, assuming that the ultimate resolutions of Table 2 can be reached with an incremental improvement of the present experimental techniques. We consider two scenarios for the inner vertex detector. The first scenario is conservative: having the first measured point closer to the target allows to improve the vertex position resolution, but angle and momentum measurements are still dominated by the rest of the spectrometer, with a further deterioration due to the multiple scattering in the additional inner detector. The second scenario is optimistic: the angular resolution due to the tracking becomes negligible thanks to the inner vertex detector. In this case, material effects before and inside the first layer of the inner vertex detector determine the resolution. A summary of the expected performances can be found in Table 3 and Table 4.
Table 3.
Expected performances (efficiency and resolutions) for a basic design with different options as discussed in the text.
Table 4.
Angular resolutions for different types of a vertex detector. A conservative estimate is given in parentheses.
If we consider the calorimetric technique, the design of the central part of the detector would be very similar, but a scintillation detector outside of the magnet would replace the pair tracker. With LaBr(Ce) crystals, the depth of the calorimeter could be about 20 cm. In Table 3 and Table 4, the expected performances are summarized. Here, we assume that the photon conversion point can be still determined with a negligible resolution compared to the positron vertex resolution.
With these performances and 100 weeks of data taking (three to four years at the PSI), with muon rates from to muons per second, and assuming the same photon background rate of the MEG experiment (scaled linearly with the muon beam intensity), we could estimate the the expected sensitivity of the experiment according to a frequentist approach [15].
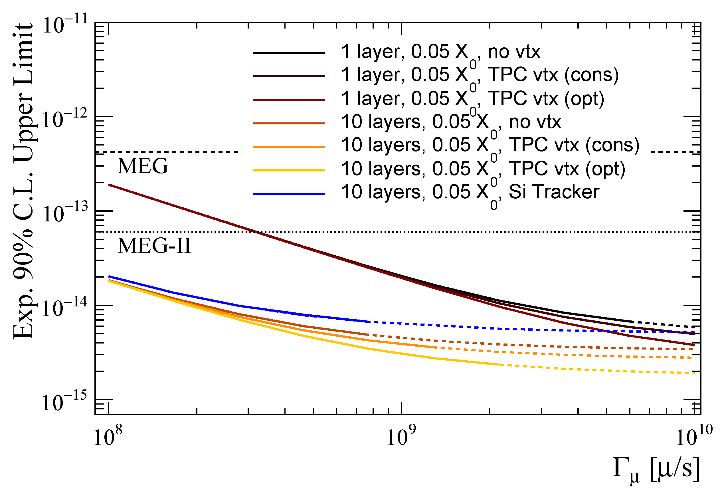
The expected sensitivity of similar experiments to the decay is illustrated in Figure 3 and Figure 4 as a function of the beam intensity. We also considered the possibility of having multiple conversion layers. In this case, the preservation of a good time resolution requires the inclusion of thin and fast detectors in the conversion layer itself [14].
Figure 3.
Expected 90% Confidence Level (C.L.) upper limit on the Branching Ratio of in different scenarios for a 3-year run. See [14] for details.
Figure 4.
Expected 90% C.L. upper limit on the Branching Ratio of in different scenarios for a 3-year run. See [14] for details.
4. Discussion
Lepton flavor violation studies represent one of the most important approaches to search for NP. Physics scenarios beyond the SM are already strongly constrained by the present limit on and the MEG II experiment should improve it by a factor 10. In this work, the future of the searches for has been investigated. In a 3-year run, a beam of /s could make it possible to push the sensitivity to down to a few , although going below this level seems anyway unfeasible without a novel approach.
For beam intensities below muons per second, the calorimetric approach gives the best prospects. If a muon beam rate exceeding muons per second is available, the much cheaper photon conversion option would be recommended and would provide similar sensitivities.
The fluctuations of the particle interactions in the materials of the detector will eventually limit the sensitivity reach of experiments performed with the current approach. A further step forward will be possible only with the development of new experimental concepts.
5. Conclusions
In this paper we presented the results of a study of the possible sensitivity of future experiments searching for the lepton flavor violating decay . We show that, at future facilities with beam intensity between and muons per second, it could be possible to reach a sensitivity of a few on the branching ratio of the decay with an incremental improvement of the experimental techniques, while going below would require a more radical rethinking of the experimental approach.
Author Contributions
Conceptualization, F.R., G.C. and C.V.; Methodology, F.R.; Software, F.R.; Validation, G.C., C.V., E.R. and A.P.; Investigation, F.R., E.R. and A.P.; Writing, F.R.
Funding
This research received no external funding.
Conflicts of Interest
The authors declare no conflict of interest.
References
- Baldini, A.M.; Bao, Y.; Baracchini, E.; Bemporad, C.; Berg, F.; Biasotti, M.; Boca, G.; Cattaneo, P.W.; Cavoto, G.; Cei, F.; et al. Search for the lepton flavour violating decay μ+ → e+γ with the full dataset of the MEG experiment. Eur. Phys. J. 2016, 76, 434. [Google Scholar] [CrossRef]
- Kettle, P.R. HiMB: Towards a new high intensity muon beam. Available online: https://indico.cern.ch/event/356972/contributions/1766761/attachments/710281/975042/FMSW2015-Kettle.pdf (accessed on 14 January 2019).
- Cook, S.; D’Arcy, R.; Edmonds, A.; Fukuda, M.; Hatanaka, K.; Hino, Y.; Kuno, Y.; Lancaster, M.; Mori, Y.; Ogitsu, T.; et al. Delivering the world’s most intense muon beam. Phys. Rev. Accel. Beams 2017, 20, 030101. [Google Scholar] [CrossRef]
- Lebedev, V. (Ed.) The PIP-II Reference Design Report; FERMILAB-DESIGN-2015-01; Fermilab: Batavia, IL, USA, 2015.
- Kuno, Y.; Okada, Y. Muon decay and physics beyond the standard model. Rev. Mod. Phys. 2001, 73, 151–202. [Google Scholar] [CrossRef]
- Bolton, R.D.; Cooper, M.D.; Frank, J.S.; Hallin, A.L.; Heusi, P.A.; Hoffman, C.M.; Hogan, G.E.; Mariam, F.G.; Matis, H.S.; Mischke, R.E.; et al. Search for Rare Muon Decays with the Crystal Box Detector. Phys. Rev. D 1988, 38, 2077. [Google Scholar] [CrossRef]
- Adam, J.; Bai, X.; Baldini, A.M.; Baracchini, E.; Bemporad, C.; Boca, G.; Cattaneo, P.W.; Cavoto, G.; Cei, F.; Cerri, C.; et al. The MEG detector for μ+ → e+γ decay search. Eur. Phys. J. 2013, 73, 2365. [Google Scholar] [CrossRef]
- Baldini, A.M.; Baracchini, E.; Bemporad, C.; Berg, F.; Biasotti, M.; Boca, G.; Cattaneo, P.W.; Cavoto, G.; Cei, F.; Chiappini, M.; et al. The design of the MEG II experiment. Eur. Phys. J. 2018, 78, 380. [Google Scholar] [CrossRef]
- Brooks, M.L.; Chen, Y.K.; Cooper, M.D.; Cooper, P.S.; Dzemidzic, M.; Empl, A.; Gagliardi, C.A.; Hogan, G.E.; Hughes, E.B.; Hungerford, E.V.; et al. New limit for the family-number non-conserving decay μ+ → e+γ. Phys. Rev. Lett. 1999, 83, 1521–1524. [Google Scholar] [CrossRef]
- Agostinelli, S.; Allison, J.; Amako, K.; Apostolakis, J.; Araujo, H.; Arce, P.; Asai, M.; Axen, D.; Banerjee, S.; Barrand, G.; et al. GEANT4: A Simulation toolkit. Nucl. Instrum. Methods A 2003, 506, 250–303. [Google Scholar] [CrossRef]
- Berger, N.; Augustin, H.; Bachmann, S.; Kiehn, M.; Perić, I.; Perrevoort, A.-K.; Philipp, R.; Schöning, A.; Stumpf, K.; Wiedner, D.; et al. A Tracker for the Mu3e Experiment based on High-Voltage Monolithic Active Pixel Sensors. Nucl. Instrum. Methods A 2013, 732, 61–65. [Google Scholar] [CrossRef]
- Cheng, C.H.; Echenard, B.; Hitlin, D.G. The next generation of μ− > eγ and μ− > 3e CLFV search experiments. arXiv, 2013; arXiv:1309.7679. Available online: http://inspirehep.net/record/1256023/plots?ln=en (accessed on 14 January 2019).
- Peric, I.; Augustin, H.; Backhaus, M.; Barbero, M.; Benoit, M.; Berger, N.; Bompard, F.; Breugnon, P.; Clemens, J.; Dannheim, D.; et al. High-voltage pixel detectors in commercial CMOS technologies for ATLAS, CLIC and Mu3e experiments. Nucl. Instrum. Methods A 2013, 731, 131–136. [Google Scholar] [CrossRef]
- Cavoto, G.; Papa, A.; Renga, F.; Ripiccini, E.; Voena, C. The quest for μ → eγ and its experimental limiting factors at future high intensity muon beams. Eur. Phys. J. 2018, 78, 37. [Google Scholar] [CrossRef]
- Feldman, G.J.; Cousins, R.D. A Unified approach to the classical statistical analysis of small signals. Phys. Rev. D 1998, 57, 3873–3889. [Google Scholar] [CrossRef]
© 2019 by the authors. Licensee MDPI, Basel, Switzerland. This article is an open access article distributed under the terms and conditions of the Creative Commons Attribution (CC BY) license (http://creativecommons.org/licenses/by/4.0/).



