Solar Activity Spikes: A Comparative Analysis of Monthly Smoothed and Unsmoothed Sunspot Numbers
Abstract
1. Introduction
2. Data and Methodology
3. Analysis and Discussion
3.1. Statistical Overview of SNm − SNsm Differences
3.2. Distribution of SNm − SNsm Differences
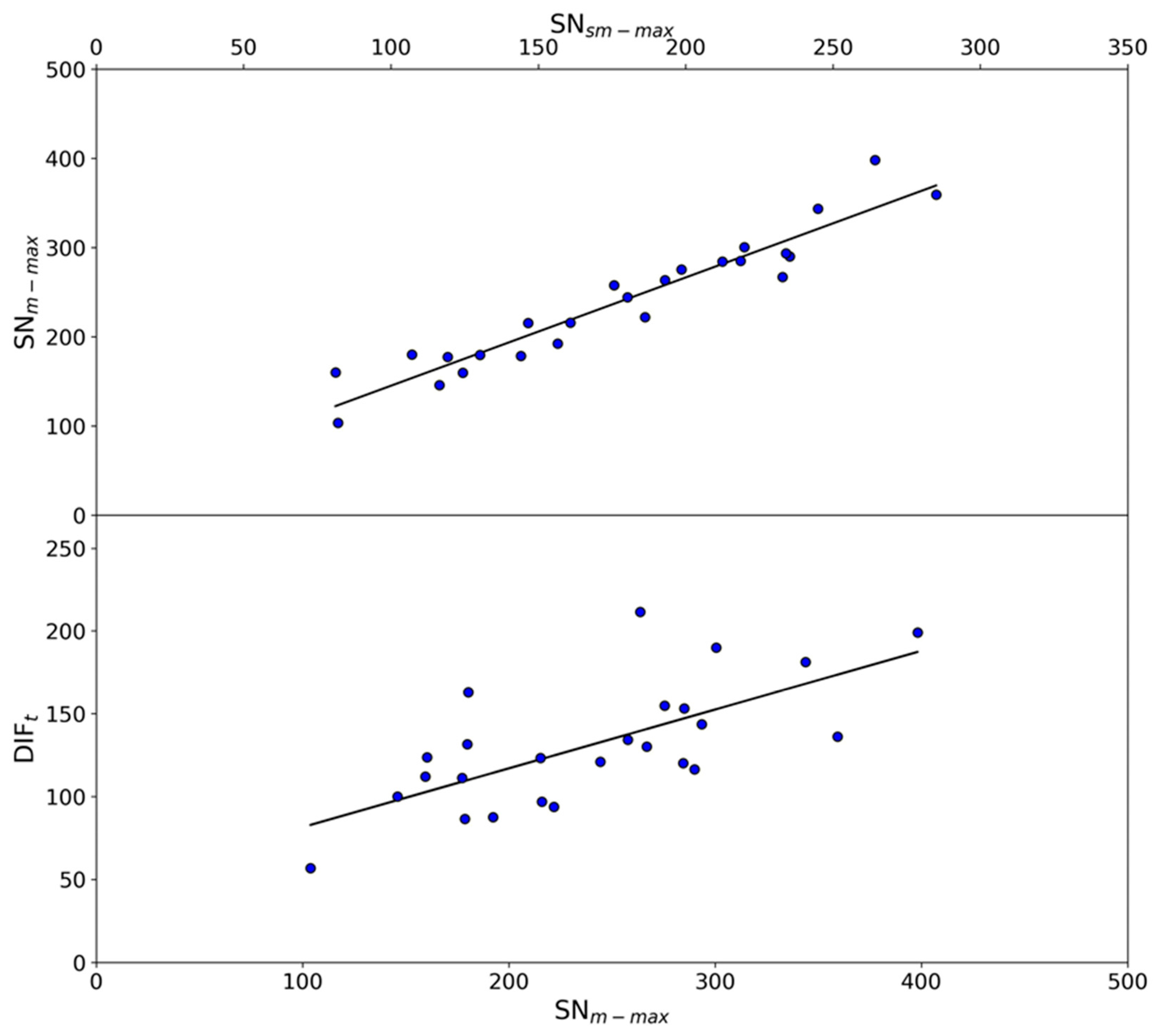
3.3. SNm − SNsm Differences in Solar Cycles
3.4. Definition and Distribution of Spikes
4. The Case of August 2024
5. Conclusions
Author Contributions
Funding
Data Availability Statement
Conflicts of Interest
References
- Bray, R.J.; Loughhead, R.E. Sunspots; Wiley: New York, NY, USA, 1965. [Google Scholar]
- Vaquero, J.M.; Vázquez, M. The Sun Recorded Through History; Springer: Berlin/Heidelberg, Germany, 2009. [Google Scholar] [CrossRef]
- Clette, F.; Lefèvre, L. The New Sunspot Number: Assembling All Corrections. Sol. Phys. 2016, 291, 2629. [Google Scholar] [CrossRef]
- Clette, F.; Lefèvre, L.; Chatzistergos, T.; Hayakawa, H.; Carrasco, V.M.S.; Arlt, R.; Cliver, E.W.; Dudok de Wit, T.; Friedli, T.K.; Karachik, N.; et al. Recalibration of the Sunspot-Number: Status Report. Sol. Phys. 2023, 298, 44. [Google Scholar] [CrossRef]
- Chatzistergos, T.; Krivova, N.A.; Sundermann, H.; Usoskin, I.G. Assessment of sunspot number cross-calibration approaches. Astron. Astrophys. 2025, 699, A157. [Google Scholar] [CrossRef]
- Hoyt, D.V.; Schatten, K.H. Group Sunspot Numbers: A New Solar Activity Reconstruction. Sol. Phys. 1998, 179, 189. [Google Scholar] [CrossRef]
- Vaquero, J.M.; Svalgaard, L.; Carrasco, V.M.S.; Clette, F.; Lefèvre, L.; Gallego, M.C.; Arlt, R.; Aparicio, A.J.P.; Richard, J.-G.; Howe, R. A Revised Collection of Sunspot Group Numbers. Sol. Phys. 2016, 291, 3061. [Google Scholar] [CrossRef]
- Arlt, R.; Vaquero, J.M. Historical sunspot records. Living Rev. Sol. Phys. 2020, 17, 1. [Google Scholar] [CrossRef]
- Hathaway, D.H. The Solar Cycle. Living Rev. Sol. Phys. 2015, 12, 4. [Google Scholar] [CrossRef]
- Biesecker, D.A.; Upton, L. Solar Cycle 25 Consensus Prediction Update; AGU Fall Meeting, Abstract SH13B–03; American Geophysical Union: Washington, DC, USA, 2019. [Google Scholar]
- Charbonneau, P. Dynamo models of the solar cycle. Living Rev. Sol. Phys. 2020, 17, 4. [Google Scholar] [CrossRef]
- Pesnell, W.D. Lessons learned from predictions of Solar Cycle 24. J. Space Weather Space Clim. 2020, 10, 60. [Google Scholar] [CrossRef]
- Nandy, D. Progress in Solar Cycle Predictions: Sunspot Cycles 24–25 in Perspective. Sol. Phys. 2021, 296, 54. [Google Scholar] [CrossRef]
- Usoskin, I.G. A history of solar activity over millennia. Living Rev. Sol. Phys. 2023, 20, 2. [Google Scholar] [CrossRef]
- Gleissberg, W. A long-periodic fluctuation of the sun-spot numbers. Observatory 1939, 62, 158. [Google Scholar]
- Gurgenashvili, E.; Zaqarashvili, T.V.; Kukhianidze, V.; Oliver, R.; Ballester, J.L.; Ramishvili, G.; Shergelashvili, B.; Hanslmeier, A.; Poedts, S. Rieger-type periodicity during solar cycles 14–24: Estimation of dynamo magnetic field strength in the solar interior. Astrophys. J. 2016, 826, 55. [Google Scholar] [CrossRef]
- Rieger, E.; Share, G.H.; Forrest, D.J.; Kanbach, G.; Reppin, C.; Chupp, E.L. A 154-day periodicity in the occurrence of hard solar flares? Nature 1984, 312, 623. [Google Scholar] [CrossRef]
- Vaquero, J.M.; Trigo, R.M.; Vázquez, M.; Gallego, M.C. 155-day Periodicity in Solar Cycles 3 and 4. New Astron. 2010, 15, 385. [Google Scholar] [CrossRef]
- Gnevyshev, M.N.; Ohl, A.I. On the 22-Year Cycle of Solar Activity. Astron. Zhurnal 1948, 25, 18. [Google Scholar]
- Hathaway, D.H.; Wilson, R.M.; Reichmann, E.J. Group Sunspot Numbers: Sunspot Cycle Characteristics. Sol. Phys. 2002, 211, 357. [Google Scholar] [CrossRef]
- Solanki, S.K.; Krivova, N.A.; Schüssler, M.; Fligge, M. Search for a relationship between solar cycle amplitude and length. Astron. Astrophys. 2002, 396, 1029. [Google Scholar] [CrossRef]
- Kane, R.P. How useful is the Waldmeier effect for prediction of a sunspot cycle? J. Atmos. Sol.-Terr. Phys. 2008, 70, 1533. [Google Scholar] [CrossRef]
- Carrasco, V.M.S.; Aparicio, A.J.P.; Vaquero, J.M.; Gallego, M.C. The New Sunspot-Number Index and Solar-Cycle Characteristics. Sol. Phys. 2016, 291, 3045. [Google Scholar] [CrossRef]
- Li, F.Y.; Kong, D.F.; Xie, J.L.; Xiang, N.B.; Xu, J.C. Solar cycle characteristics and their application in the prediction of cycle 25. J. Atmos. Sol.-Terr. Phys. 2018, 181, 110. [Google Scholar] [CrossRef]
- McIntosh, S.W.; Chapman, S.; Leamon, R.J.; Egeland, R.; Watkins, N.W. Overlapping Magnetic Activity Cycles and the Sunspot Number: Forecasting Sunspot Cycle 25 Amplitude. Sol. Phys. 2020, 295, 163. [Google Scholar] [CrossRef]
- Bonnet, D.G.; Wright, T.A. Sample size requirements for estimating pearson, kendall and spearman correlations. Psychometrika 2020, 65, 23. [Google Scholar] [CrossRef]
- Muñoz-Jaramillo, A.; Vaquero, J.M. Visualization of the challenges and 304 limitations of the long-term sunspot number record. Nature Astron. 2019, 3, 205. [Google Scholar] [CrossRef]
- Hayakawa, H.; Besser, B.P.; Iju, T.; Arlt, R.; Uneme, S.; Imada, S.; Bourdin, P.A.; Kraml, A. Thaddäus Derfflinger’s sunspot observations during 1802–1824: A primary reference to understand the Dalton Minimum. Astrophys. J. 2020, 890, 98. [Google Scholar] [CrossRef]
- Carrasco, V.M.S. Number of sunspot groups and individual sunspots recorded by Tevel for the period 1816–1836 in the Dalton minimum. Astrophys. J. 2021, 922, 58. [Google Scholar] [CrossRef]








| Cycle | SNm-max | SNsm-max | SNm-max − SNsm-max | DIFmax | DIFmin | ||||
|---|---|---|---|---|---|---|---|---|---|
| Value | Date | Value | Date | Value | Date | Value | Date | ||
| 1 | 178.7 | May 1761 | 144.1 | Jun 1761 | 34.6 | 39.9 | Dec 1762 | −46.5 | Jul 1762 |
| 2 | 263.7 | Oct 1769 | 193.0 | Sep 1769 | 70.7 | 115.4 | May 1771 | −96.1 | Jan 1771 |
| 3 | 398.2 | May 1778 | 264.3 | May 1778 | 133.9 | 133.9 | May 1778 | −65.2 | Feb 1778 |
| 4 | 290.0 | Dec 1787 | 235.3 | Feb 1788 | 54.7 | 60.3 | Dec 1787 | −56.0 | Nov 1788 |
| 5 | 103.8 | Oct 1804 | 82.0 | Feb 1805 | 21.8 | 26.3 | Dec 1800 | −30.5 | Jul 1804 |
| 6 | 160.3 | Mar 1817 | 81.2 | May 1816 | 79.1 | 85.3 | Mar 1817 | −38.3 | Aug 1816 |
| 7 | 177.3 | Apr 1830 | 119.2 | Nov 1829 | 58.1 | 66.4 | Apr 1830 | −44.7 | Jul 1830 |
| 8 | 343.8 | Dec 1836 | 244.9 | Mar 1837 | 98.9 | 111.4 | Dec 1836 | −69.7 | Sep 1836 |
| 9 | 300.6 | Oct 1847 | 219.9 | Feb 1848 | 80.7 | 106.3 | Oct 1847 | −83.7 | Jul 1847 |
| 10 | 221.9 | Jul 1860 | 186.2 | Feb 1860 | 35.7 | 44.7 | Oct 1858 | −49.0 | Jan 1861 |
| 11 | 293.6 | May 1870 | 234.0 | Aug 1870 | 59.6 | 70.2 | May 1870 | −73.5 | Jan 1871 |
| 12 | 159.6 | Apr 1882 | 124.4 | Dec 1883 | 35.2 | 63.2 | Apr 1882 | −48.8 | May 1883 |
| 13 | 215.4 | Aug 1893 | 146.5 | Jan 1894 | 68.9 | 71.6 | Aug 1893 | −51.6 | Mar 1894 |
| 14 | 180.3 | Feb 1907 | 107.1 | Feb 1906 | 73.2 | 88.7 | Feb 1907 | −74.3 | Oct 1906 |
| 15 | 257.7 | Aug 1917 | 175.7 | Aug 1917 | 82.0 | 82.0 | Aug 1917 | −52.2 | Oct 1917 |
| 16 | 179.9 | Dec 1929 | 130.2 | Apr 1928 | 49.7 | 84.2 | Dec 1929 | −47.4 | Sep 1929 |
| 17 | 275.6 | Jul 1938 | 198.6 | Apr 1937 | 77.0 | 94.2 | Jul 1938 | −60.7 | Nov 1937 |
| 18 | 285.0 | May 1947 | 218.7 | May 1947 | 66.3 | 72.8 | Apr 1948 | −80.3 | Feb 1948 |
| 19 | 359.4 | Oct 1957 | 285.0 | Mar 1958 | 74.4 | 76.9 | Oct 1957 | −59.3 | Feb 1957 |
| 20 | 192.3 | Mar 1969 | 156.6 | Nov 1968 | 35.7 | 50.8 | Jan 1967 | −36.8 | Apr 1968 |
| 21 | 266.9 | Sep 1979 | 232.9 | Dec 1979 | 34.0 | 60.7 | Jan 1979 | −69.3 | Jun 1981 |
| 22 | 284.5 | Jun 1989 | 212.5 | Nov 1989 | 72.0 | 72.4 | Jun 1989 | −47.8 | May 1992 |
| 23 | 244.3 | Jul 2000 | 180.3 | Nov 2001 | 64.0 | 70.9 | Jun 1999 | −50.0 | Feb 2003 |
| 24 | 146.1 | Feb 2014 | 116.4 | Apr 2014 | 29.7 | 49.7 | Nov 2011 | −50.3 | Feb 2012 |
| 25 | 216.0 | Aug 2024 | 160.9 | Oct 2024 | 55.1 | 59.2 | Aug 2024 | −37.7 | Mar 2024 |
Disclaimer/Publisher’s Note: The statements, opinions and data contained in all publications are solely those of the individual author(s) and contributor(s) and not of MDPI and/or the editor(s). MDPI and/or the editor(s) disclaim responsibility for any injury to people or property resulting from any ideas, methods, instructions or products referred to in the content. |
© 2026 by the authors. Licensee MDPI, Basel, Switzerland. This article is an open access article distributed under the terms and conditions of the Creative Commons Attribution (CC BY) license.
Share and Cite
Carrasco, V.M.S.; Aparicio, A.J.P.; Bautista, L.; Gallego, M.C.; Vaquero, J.M. Solar Activity Spikes: A Comparative Analysis of Monthly Smoothed and Unsmoothed Sunspot Numbers. Universe 2026, 12, 28. https://doi.org/10.3390/universe12020028
Carrasco VMS, Aparicio AJP, Bautista L, Gallego MC, Vaquero JM. Solar Activity Spikes: A Comparative Analysis of Monthly Smoothed and Unsmoothed Sunspot Numbers. Universe. 2026; 12(2):28. https://doi.org/10.3390/universe12020028
Chicago/Turabian StyleCarrasco, Víctor M. S., Alejandro J. P. Aparicio, Lucía Bautista, María Cruz Gallego, and José M. Vaquero. 2026. "Solar Activity Spikes: A Comparative Analysis of Monthly Smoothed and Unsmoothed Sunspot Numbers" Universe 12, no. 2: 28. https://doi.org/10.3390/universe12020028
APA StyleCarrasco, V. M. S., Aparicio, A. J. P., Bautista, L., Gallego, M. C., & Vaquero, J. M. (2026). Solar Activity Spikes: A Comparative Analysis of Monthly Smoothed and Unsmoothed Sunspot Numbers. Universe, 12(2), 28. https://doi.org/10.3390/universe12020028

