Abstract
In this paper, we analyze the agegraphic dark energy from the entropy of the anti-de Sitter black hole using the age of the universe as the IR cutoff. We constrain its parameter with the Pantheon+ Type Ia supernova sample and observational Hubble parameter data, finding that the Akaike Information Criterion cannot effectively distinguish this model from the standard CDM model. The present value of Hubble constant and the model parameter are constrained to and . This model realizes the whole evolution of the universe, including the late-time accelerated expansion. Although it asymptotically approaches the standard CDM model in the future, statefinder analysis shows that late-time deviations allow the two models to be distinguished.
1. Introduction
Observations confirm that the universe is currently undergoing accelerated expansion [,,,,,], yet the underlying cause remains one of cosmology’s central mysteries. To account for this phenomenon, dark energy has been proposed, with the simplest candidate being the CDM model. Although CDM agrees well with present observations [], it suffers from fine-tuning [] and coincidence problems []. This has motivated a variety of alternative dark energy models, including quintessence [,,], quintom [,,], phantom [,], k-essence [,], agegraphic dark energy (ADE) [,,], and holographic dark energy (HDE) [,,,].
A viable dark energy model must account not only for the universe’s present accelerated expansion but also for its full evolutionary history, including the radiation-dominated era, the matter-dominated era, and the final dark energy-dominated epoch. To probe such evolutionary dynamics, phase-space analysis is employed, where critical points represent different cosmic stages: stable attractors correspond to dark energy dominance, while other fixed points trace earlier epochs []. This approach has been widely applied to HDE models with considerable success [,,,,,,,,,,,]. Although dynamical system analysis provides a powerful method for examining the theoretical viability of dark energy models, a conclusive assessment requires comparison with precise observational data, such as the Pantheon+ Type Ia supernova data (SN Ia) sample [,,] and observational Hubble parameter data (OHD) []. SN Ia, which acts as standardizable candles, allows for precise distance measurements and was instrumental in revealing the late-time cosmic acceleration. Similarly, OHD, obtained from the differential ages of galaxies or baryon acoustic oscillations, provides a direct probe of the expansion history. Comparison of dark energy models with these high-precision datasets enables us to not only test the consistency of the theoretical framework but also to place tight constraints on the key parameters. Consequently, combing Type Ia supernova data and OHD datesets has become a standard and powerful approach for constraining the parameters of cosmological models and is widely applied in cosmological research [,,,,,,,,,,,,,,,,,,,,].
The holographic dark energy (HDE) model [,,], motivated by the holographic principle that bounds a region’s entropy by its surface area [,], is a leading candidate for dark energy. The formulation of HDE models is based on the horizon entropy, and an alteration to this entropy gives rise to different models. This relationship exists because the specific form of the entropy directly determines the HDE density. For instance, the choice of the Bekenstein–Hawking entropy as the horizon entropy together with the Hubble horizon as the infrared (IR) cutoff yields the original and standard HDE model [,,]. Although the original HDE model was a significant proposal, it ultimately fails to account for the entire cosmic evolution [,]. To address this limitation, various modifications have been proposed, including alternative IR cutoffs and interactions between dark matter and dark energy, giving rise to a range of extended HDE models []. Among these extensions, the ADE model stands out by utilizing the age of the universe as the IR cutoff [], offering a distinct approach to characterizing the dark energy evolution. The model is constructed from the Károlyházy relation and the time–energy uncertainty principle, which gives it a similar energy density structure to that of HDE. While the original ADE avoids the causality problem and yields late-time acceleration, it fails to reproduce the matter-dominated era and mimic the cosmological constant at late stages. These shortcomings were later addressed by replacing cosmic time with conformal time as the IR cutoff, leading to the new ADE model []. As a result, ADE attracts extensive theoretical studies [,,,,,,,,,,,,,,,,,,,,,,].
The AdS/CFT correspondence [] is a foundational conjecture in theoretical physics, which posits a remarkable duality between a gravitational theory in a higher dimensional anti-de Sitter (AdS) space and a conformal field theory (CFT) residing on its lower dimensional boundary. This duality provides a powerful framework for studying strongly coupled quantum field theories by translating them into more manageable problems in classical gravity. It has offered profound insights into a wide range of physical systems, including the properties of quark–gluon plasma [], the mechanism of high temperature superconductivity [], and the modified Friedmann equations in cosmology [,]. Following in these footsteps, researchers have recently constructed a new HDE model using entropy calculations from AdS black holes, incorporating the Hubble horizon as the IR cutoff []. This model not only achieves late-time acceleration but also consistently describes the universe’s full evolutionary history, including natural realizations of slow-roll inflation and reheating []. Inspired by these results, we construct an ADE model using the entropy of AdS black holes with the universe’s age as the IR cutoff (ADEADS) and investigate four key inquiries: (i) whether ADEADS’s parameter space is consistent with the SN Ia and OHD datasets, (ii) whether it can realize late-time acceleration, (iii) whether it can reproduce the universe’s complete evolution, and (iv) whether it can be differentiated from the standard CDM model.
This paper is structured as follows: Section 2 introduces the ADEADS model, and Section 3 constrains its parameters. Section 4 analyzes the universe’s evolution within this framework, while Section 5 examines the corresponding Hubble diagram. Section 6 discusses the model’s dynamical behavior, and Section 7 employs statefinder diagnostics to distinguish ADEADS from CDM. Finally, Section 8 summarizes our main conclusions.
2. Model
Using the entropy of the AdS black hole, the HDE density takes the form []
where , b is a dimensionless parameter and takes the value in the range , and denotes the cosmological constant, which critically enables accelerated cosmic expansion during the universe’s later evolutionary phases. The cosmological constant in the ADEADS framework originates intrinsically from the thermodynamic geometry of the anti-de Sitter black hole, contrasting with its phenomenological introduction in the CDM model. When applying the first law of thermodynamics and Cohen’s holographic bound to the mass of the AdS black hole, the energy density is derived. The term arises directly from the AdS geometry, establishing a fundamental link between black hole thermodynamics and the cosmic acceleration, where a positive asymptotically drives de Sitter expansion despite the underlying gravitational context being anti-de Sitter. This reconceptualization, which embeds within a holographic principle, offers a quantum-gravitational perspective through the AdS/CFT duality. When vanishes, the energy density of the ADEADS framework reduces to that of the original ADE model [], thus demonstrating the latter’s inherent limitations in replicating dark energy dynamics during the late-time cosmic evolution. When choosing the age of the universe
as the IR cutoff, where a is the scale factor, t denotes cosmic time, and H represents the Hubble parameter, and the energy density of ADEADS takes the form
Considering a homogeneous and isotropic Friedmann–Robertson–Walker universe with the line element
the Friedmann equation is
where , , and represent the energy densities of pressureless matter, radiation, and ADEADS, respectively, and their conservation equations are
with as the equation of state parameter and satisfying . To analyze the dynamical evolution of the universe, we introduce three dimensionless variables
and rewrite the Friedmann Equation (5) as
Combining Equations (5)–(8) and (10), we obtain
and the deceleration parameter q is defined as
3. Observational Constraints
In this section, we utilize SN Ia sample covering [,,] and OHD spanning the redshift range collected by [] to constrain the model parameters. We exclude SN Ia with redshifts below since their redshift measurements are strongly affected by unmodeled peculiar velocities []. In the ADEADS model, the expansion rate function can be written as
where . The theoretical value of the observed quantity of SN Ia, the apparent magnitude , is expressed as
where M denotes the absolute magnitude of SN Ia and is the luminosity distance, which takes the form
To estimate the model parameters, we perform Markov Chain Monte Carlo (MCMC) sampling using the emcee library in Python 3.13.0. Since there is strong degeneracy between and , they cannot be effectively constrained at the same time. Thus, we calculate using the current observational data from the Planck 2018 results [] and constrain the remaining four parameters . The total log-likelihood is defined as
with
Here, the term for the SN Ia sample is calculated by
where represents the array of observed corrected apparent magnitude, and is the corresponding covariance matrix. For the OHD sample, the term is given by
where and are the i-th observed value and its standard deviation, respectively, and is the total number of OHD data points.
To compare the ADEADS model with the standard CDM model, we also perform a corresponding MCMC analysis of the standard CDM model using the same observational datasets. Given the different numbers of parameters in the ADEADS and CDM models, we employ the Akaike Information Criterion (AIC) [] and Bayesian Information Criterion (BIC) [,] to perform a statistical comparison between these two models, where
and
where n and N are the numbers of free parameters in the model and data points, respectively. The constraints on the model parameters for both ADEADS and CDM are summarized in Table 1, which lists their mean values and 1 confidence levels (CLs). Additionally, we present the posterior distributions for the ADEADS model parameters in Figure 1.

Table 1.
Observational constraints for ADEADS and CDM models.

Figure 1.
Confidence contours for the best-fit parameters of the ADEADS model using SN and OHD datasets.
According to the results in Table 1 and Figure 1, the SN and OHD datasets constrain the model parameters of the ADEADS model. The best-fit values are , , , and . This result, corresponding to the constrained values of , , , and , differs from the results when using the Hubble radius or the particle horizon as the IR cutoff []. Based on these results, both the ADEADS and CDM models provide an equally good fit, as indicated by their identical value of 1418. Compared to the CDM model, the AIC of the ADEADS model only increased by 2. This small difference suggests that the AIC can hardly distinguish which of the two models is better []. However, the BIC of the ADEADS model is larger than that of the CDM model by 7, indicating strong evidence against the ADEADS model []. This discrepancy arises because the BIC imposes a much heavier penalty on additional model parameters than the AIC, especially for large datasets.
4. Evolution of Universe
To study the universe’s evolution in the ADEADS model, we adopt two sets of initial conditions for comparison: (1) the Planck 2018 results [] with , , and [], and (2) the best-fit values constrained by the SN Ia and OHD datasets in this work, with , , and . After solving Equations (13)–(15) numerically for different values of and , we obtain the evolutionary curves of , , , and q, as shown in Figure 2, Figure 3 and Figure 4.

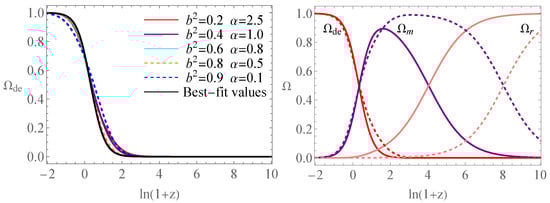
Figure 2.
Evolution curves of and versus redshift parameter .

Figure 3.
Evolution curves of versus redshift parameter and .

Figure 4.
Evolution curves of and q versus redshift parameter .
The left panel of Figure 2 illustrates the evolution of for different parameter combinations . As the redshift decreases, asymptotically approaches 1, regardless of the initial parameter choices. This behavior indicates that the late-time dominance of dark energy is an attractor solution in the ADEADS model, implying that ADEADS dominates the late-time evolution of the universe. The right panel of Figure 2 shows the evolution of , , and ; the solid line denotes the case for the best-fit values, while the dashed line represents the case for . The curves successfully reproduce the standard succession of cosmic eras, from early radiation domination to matter domination, and finally to the dark energy-dominated epoch. This evolution confirms the model’s consistency with the entire cosmic history.
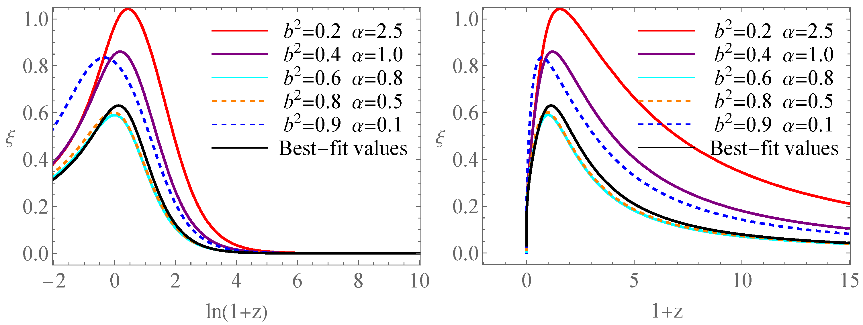
Figure 3 illustrates the evolution of as a function of redshift z, demonstrating that across the entire cosmic history. Both panels show that emerges from 0 in the early universe, undergoes a characteristic peak, and subsequently decays back to 0 in the future. The left panel, with a logarithmic scale in , effectively captures the long-term behavior across all epochs, while the right panel’s linear scale in offers a clear view of the evolution of in the more recent universe.
The left panel of Figure 4 indicates that ADEADS behaves as quintessence: starts at , evolves away from it, and eventually approaches again, mimicking a cosmological constant at late times. The right panel of Figure 4 demonstrates that late-time acceleration is realized, with a viable transition redshift (), for both of our best-fit values and cases using the Planck 2018 result as initial conditions with . In addition, for the case of the best-fit values, the deceleration parameter q deviates significantly from the other cases at , i.e., in the early universe.
Overall, as both q and asymptotically approach , the ADEADS model naturally explains the present cosmic acceleration, reproduces a CDM-like late-time phase, and provides a consistent description of the universe’s full evolutionary history, as is shown in the right panel of Figure 2.
5. Hubble Diagram
In the previous section, we analyzed the universe’s evolution in the ADEADS model for selected parameter sets. Here, we test their consistency with Hubble observational data. Figure 5 presents the evolution of the Hubble parameter , where the error bars correspond to observational measurements [,]. The black solid line represents the evolutionary curves produced by the best-fit values, which overlaps with the black dashed line representing the standard CDM model. For the cases that adopt the Planck 2018 results as initial conditions, the predicted curves deviate slightly from the CDM model while remaining in good agreement with the data. Furthermore, consistency with observations requires that a larger value of be compensated by a smaller value of .

Figure 5.
Evolution curves of H.
A turning point in was previously found in the HDE model with the future event horizon as the IR cutoff [], but was not found in the Barrow holographic dark energy model []. In the ADEADS model, such a turning point appears in the specific case of , whereas it is absent for the best-fit values and all other parameter sets analyzed in this work.
6. Dynamical Analysis
In the section preceding, we have demonstrated that the ADEADS model can reproduce the entire cosmic evolution and mimic a cosmological constant. Here, we further analyze its dynamical behavior using the dynamical system approach [,,,,,,,,,,,,,]. Critical points of the autonomous system are obtained by solving
For systems (13)–(15), seven solutions arise, but one is excluded due to the physical requirement . The remaining six critical points are listed in Table 2. Among them, points , , and require , a condition that holds asymptotically through most of the universe’s evolution, as shown in Figure 3. corresponds to the radiation-dominated decelerating epoch, to the matter-dominated decelerating epoch, and to an accelerating epoch dominated by ADEADS, which behaves like a cosmological constant since . Points , , and depend on the parameter : for , describes an ADEADS-dominated decelerating epoch, while for small , it reduces to matter domination since ; for , corresponds to ADEADS domination but approaches radiation behavior since under small .

Table 2.
Critical points and stability conditions of ADEADS.
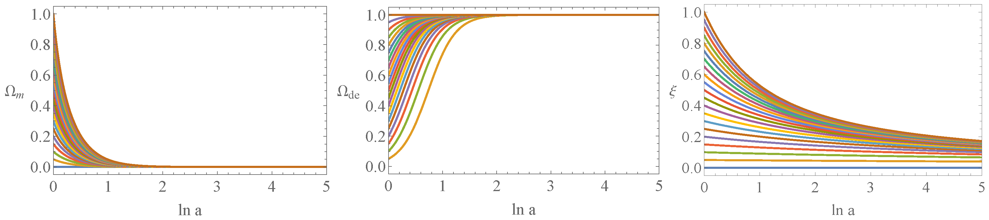
Linearizing Equations (13)–(15) yields the stability properties summarized in Table 2. Points with all negative eigenvalues are stable attractors, all positive are unstable, and mixed signs are saddles. is non-hyperbolic due to a vanishing eigenvalue. To analyze its stability, numerical methods can be employed to investigate the asymptotic behavior near this critical point [,,]. In Figure 6, we have depicted the time evolution of trajectories projected onto the , , and -axis for critical point . From this figure, under initial perturbations, the trajectories converge toward point without divergence, thereby confirming that it is a stable attractor.

Figure 6.
Time evolution of trajectories projected on , , and -axis for . These panels are plotted for .
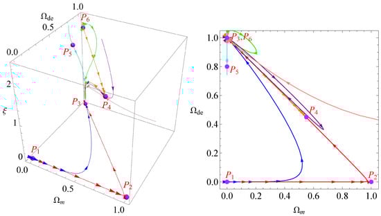
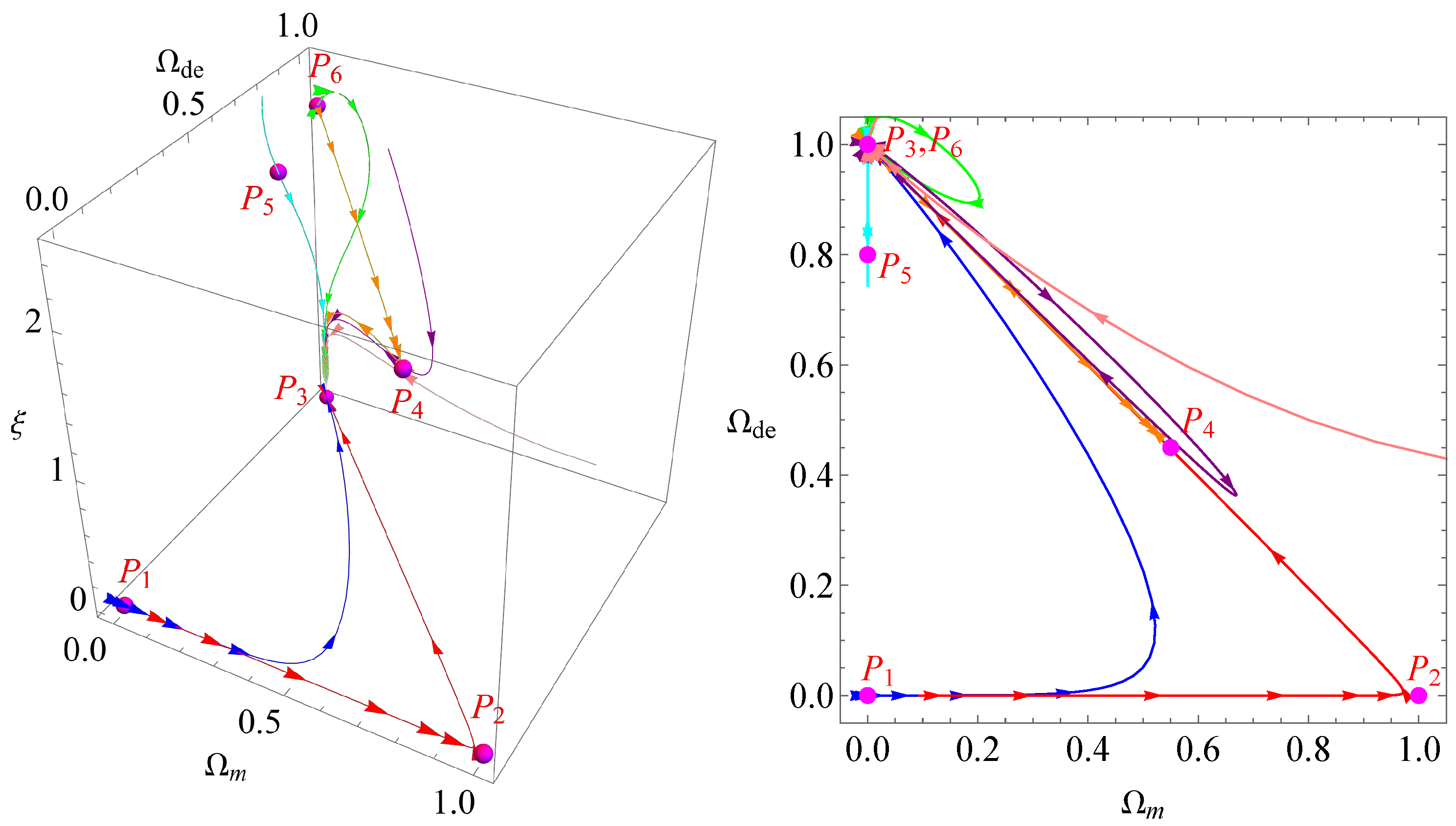
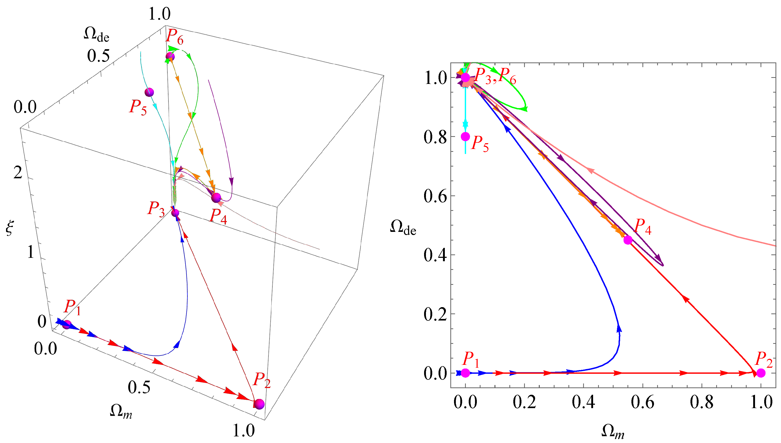
Table 2 further indicates that is unstable, is stable, and the others act as saddle points. We have plotted the phase diagram with critical points and evolutionary trajectories in Figure 7; the left panel displays the , , ) space configuration, while the right panel shows the projection onto the (, ) plane. The stability analysis of critical points presented in Table 2 and Figure 7 indicates that the universe will ultimately enter a late-time acceleration epoch dominated by ADEADS, effectively emulating the cosmological constant. If the universe initially evolves from the radiation-dominated epoch , it can shift to the pressureless matter-dominated epoch , eventually entering the late-time acceleration era dominated by ADEADS ; this scenario comprehensively describes the whole evolution trajectory of the universe and is graphically presented by the red curves in Figure 7.

Figure 7.
Phase diagram with critical points and evolutionary trajectories. The left panel is plotted for the , , ) space, while the right one is for the (, ) plane.
From Figure 7, we can see that three important critical points () exist, which describe the entire evolution of the universe and are located on the plane. To intuitively investigate the dynamics of these points, the phase diagram of (, ) on the plane is shown in Figure 8, which is plotted for ; the variation in will have no impact on the dynamic behavior of this system. In this figure, the red curve uses the Planck 2018 results as the initial conditions, and the black curve uses our best-fit values. The magenta dots mark the current values from the best-fit values, while the purple dots mark those from the Planck 2018 results. Thus, this model is suitable for describing the universe’s evolution, and the universe will ultimately enter into a phase described by the cosmological constant since ADEADS can exhibit cosmological constant behavior during late-time cosmic expansion.

Figure 8.
Phase diagram of (, ) on the plane.
7. Statefinder Analysis
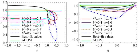
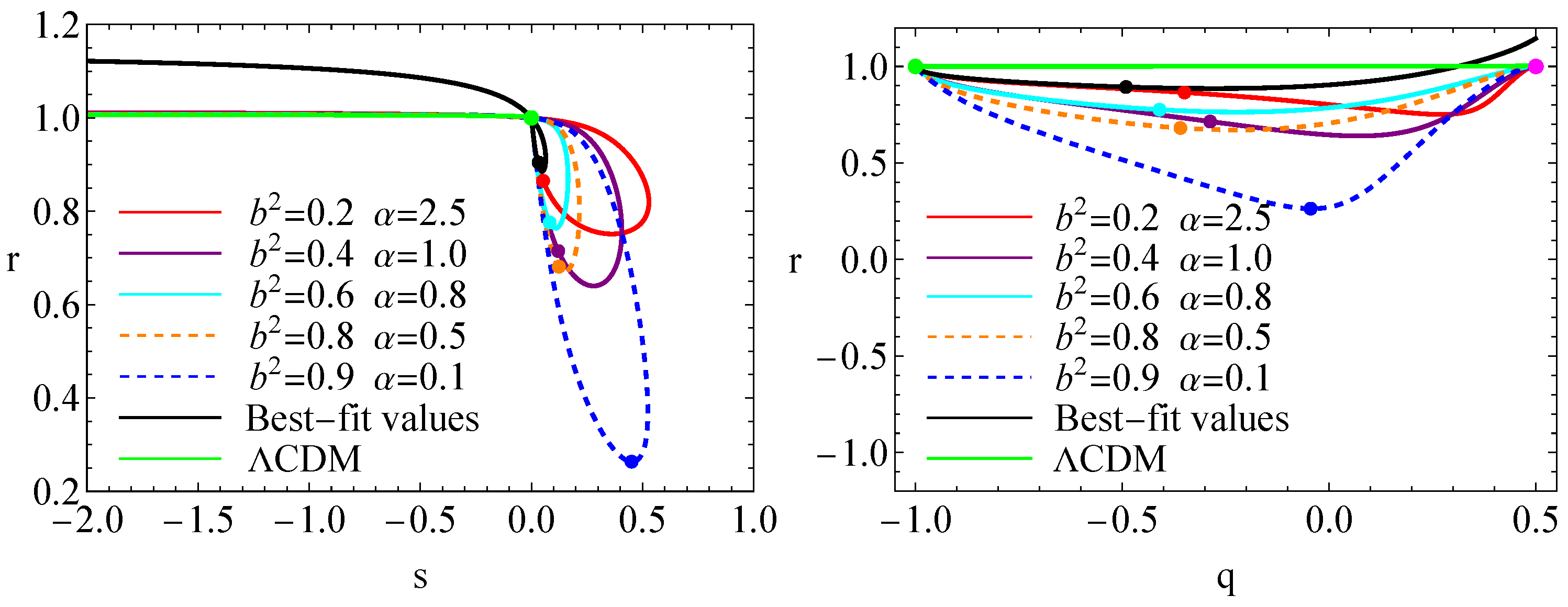
Based on the results of the previous section, we have shown that the ADEADS model can reproduce the entire cosmic evolution and has an attractor that behaves like the cosmological constant. To further differentiate ADEADS from the standard CDM scenario, we adopt the statefinder diagnostic pairs and that were originally introduced by Sahni et al. [].
The statefinder parameters r and s, defined as geometric diagnostics derived exclusively from the cosmic scale factor a, are expressed as [,]
Through differentiation of Equation (11), the statefinder parameters r and s can be calculated according to , , and . Thus, by solving Equations (13)–(15) numerically, we can obtain the evolutionary curves of the universe in the and planes.
In the left panel of Figure 9, we depict some examples of the evolutionary curves for the statefinder diagnostic pairs . The green line corresponds to the CDM model, with its fixed point marked by a green dot, while other dots represent current values from respective trajectories. The evolution curves for these examples deviate from the CDM model in the late-time evolution, enter the quintessence region, and eventually evolve to the CDM fixed point . However, the evolutionary curves for the case for the best-fit values shows a significant deviation from the CDM model. In the right panel of Figure 9, we plot another statefinder diagnostic pair in the plane, where the de Sitter expansion fixed point shown by the green dot, and the standard cold dark matter fixed point , corresponds to the magenta dot. The evolutionary curves based on the Planck 2018 results as initial conditions originate from the standard cold dark matter fixed point and eventually converge toward the de Sitter expansion fixed point . In contrast, the curves for the best-fit values not only show a significant deviation from the CDM model but also fail to originate from the standard cold dark matter fixed point. Thus, the ADEADS model can be differentiated from the standard CDM model by the statefinder diagnostic pairs and .

Figure 9.
Statefinder diagnostics in the and planes. The dots represent the corresponding current values.
8. Conclusions
Using the entropy derived from AdS black holes and adopting the Hubble horizon as the infrared cutoff, a new HDE model has been constructed, which can achieve the late-time accelerated expansion of the universe. In this paper, by choosing the age of the universe as the IR cutoff, we construct the ADEADS model and constrain its parameters using SN Ia and OHD datasets. We find that the Akaike Information Criterion cannot effectively distinguish this model from the standard CDM model, and the present value of Hubble constant and the model parameter are constrained to and , respectively. We then analyze the cosmic evolution within the ADEADS model using two sets of initial conditions: the Planck 2018 results and the best-fit values obtained in this work. The results show that the ADEADS model, which can depict the entire evolutionary history of the universe dominated by radiation, pressureless matter, and ADEADS itself, achieves late-time acceleration by mimicking the cosmological constant , as evidenced by and q approaching . When these cases are examined against the Hubble diagram, we find that the turning point in the Hubble parameter is absent in the ADEADS model for specific parameter choices. Then, applying dynamical analysis techniques to the ADEADS model, we find that the universe will ultimately enter into an epoch characterized by the standard CDM model since the attractor in the ADEADS model represents an epoch described by the cosmological constant . In order to distinguish the ADEADS model from the standard CDM model, we adopt the statefinder analysis method and find that the evolution curves for these examples deviate from the CDM model in the late-time evolution, which indicates that the ADEADS model can be distinguished from the standard CDM model. Thus, with the age of the universe as the IR cutoff, the ADEADS model successfully describes the entire cosmic evolutionary history, including the late-time acceleration. It asymptotically approaches the standard CDM model while remaining observationally distinguishable from it in the late universe.
Author Contributions
Methodology, Q.H. and Y.L.; software, Q.H. and Y.L.; formal analysis, Q.H. and H.H.; writing—original draft, Q.H.; writing—review and editing, Y.L. and H.H. All authors have read and agreed to the published version of the manuscript.
Funding
This work was supported by the National Natural Science Foundation of China under Grant Nos. 12405081, 12265019, and 11865018.
Data Availability Statement
The original data presented in the study are openly available at https://github.com/PantheonPlusSH0ES/DataRelease (accessed on 2 October 2025) and from the Planck Legacy Archive at https://pla.esac.esa.int/pla (accessed on 2 October 2025).
Conflicts of Interest
The authors declare no conflicts of interest.
References
- Perlmutter, S.; Aldering, G.; Goldhaber, G.; Knop, R.; Nugent, P.; Castro, P.; Deustua, S.; Fabbro, S.; Goobar, A.; Groom, D.; et al. Measurements of Ω and Λ from 42 High-Redshift Supernovae. Astrophys. J. 1999, 517, 565. [Google Scholar] [CrossRef]
- Riess, A.; Filippenko, A.; Challis, P.; Clocchiattia, A.; Diercks, A.; Garnavich, P.; Gilliland, R.; Hogan, C.; Jha, S.; Kirshner, R.; et al. Observational Evidence from Supernovae for an Accelerating Universe and a Cosmological Constant. Astron. J. 1998, 116, 1009–1038. [Google Scholar] [CrossRef]
- Spergel, D.; Verde, L.; Peiris, H.; Komatsu, E.; Nolta, M.; Bennett, C.; Halpern, M.; Hinshaw, G.; Jarosik, N.; Kogut, A.; et al. First Year Wilkinson Microwave Anisotropy Probe (WMAP) Observations: Determination of Cosmological Parameters. Astrophys. J. Suppl. 2003, 148, 175–194. [Google Scholar] [CrossRef]
- Spergel, D.; Bean, R.; Dore, O.; Nolta, M.; Bennett, C.; Dunkley, J.; Hinshaw, G.; Jarosik, N.; Komatsu, E.; Page, L.; et al. Wilkinson Microwave Anisotropy Probe (WMAP) Three Year Results: Implications for Cosmology. Astrophys. J. Suppl. 2007, 170, 377. [Google Scholar] [CrossRef]
- Tegmark, M.; Strauss, M.; Blanton, M.; Abazajian, K.; Dodelson, S.; Sandvik, H.; Wang, X.; Weinberg, D.; Zehavi, I.; Bahcall, N.; et al. Cosmological parameters from SDSS and WMAP. Phys. Rev. D 2004, 69, 103501. [Google Scholar] [CrossRef]
- Eisenstein, D.; Zehavi, I.; Hogg, D.; Scoccimarro, R.; Blanton, M.; Nichol, R.; Scranton, R.; Seo, H.; Tegmark, M.; Zheng, Z.; et al. Detection of the baryon acoustic peak in the large-scale correlation function of SDSS luminous red galaxies. Astron. J. 2005, 633, 560–574. [Google Scholar] [CrossRef]
- Planck Collaboration; Aghanim, N.; Akrami, Y.; Ashdown, M.; Aumont, J.; Baccigalupi, C.; Ballardini, M.; Banday, A.; Barreiro, R.; Bartolo, N.; et al. Planck 2018 results VI. Cosmological parameters. A&A 2020, 641, A6. [Google Scholar]
- Weinberg, S. The cosmological constant problem. Rev. Mod. Phys. 1989, 61, 1. [Google Scholar] [CrossRef]
- Steinhardt, P.; Wang, L.; Zlatev, I. Cosmological tracking solutions. Phys. Rev. D 1999, 59, 123504. [Google Scholar] [CrossRef]
- Wetterich, C. Cosmology and the fate of dilatation symmetry. Nucl. Phys. B 1988, 302, 668–696. [Google Scholar] [CrossRef]
- Ratra, B.; Peebles, P. Cosmological consequences of a rolling homogeneous scalar field. Phys. Rev. D 1988, 37, 3406–3427. [Google Scholar] [CrossRef] [PubMed]
- Caldwell, R.; Dave, R.; Steinhardt, P. Cosmological Imprint of an Energy Component with General Equation of State. Phys. Rev. Lett. 1998, 80, 1582–1585. [Google Scholar] [CrossRef]
- Feng, B.; Wang, X.; Zhang, X. Dark energy constraints from the cosmic age and supernova. Phys. Lett. B 2005, 607, 35–41. [Google Scholar] [CrossRef]
- Feng, B.; Li, M.; Piao, Y.; Zhang, X. Oscillating quintom and the recurrent universe. Phys. Lett. B 2006, 634, 101–105. [Google Scholar] [CrossRef]
- Guo, Z.; Piao, Y.; Zhang, X.; Zhang, Y. Cosmological evolution of a quintom model of dark energy. Phys. Lett. B 2005, 608, 177–182. [Google Scholar] [CrossRef]
- Caldwell, R. A phantom menace? Cosmological consequences of a dark energy component with super-negative equation of state. Phys. Lett. B 2002, 545, 23–29. [Google Scholar] [CrossRef]
- Caldwell, R.; Kamionkowski, M.; Weinberg, N. Phantom Energy: Dark Energy with ω < −1 Causes a Cosmic Doomsday. Phys. Rev. Lett. 2003, 91, 071301. [Google Scholar]
- Chiba, T.; Okabe, T.; Yamaguchi, M. Kinetically driven quintessence. Phys. Rev. D 2000, 62, 023511. [Google Scholar] [CrossRef]
- Armendariz-Picon, C.; Mukhanov, V.; Steinhardt, P. Essentials of k-essence. Phys. Rev. D 2001, 63, 103510. [Google Scholar] [CrossRef]
- Wei, H.; Cai, R. Statefinder diagnostic and ω – ω′ analysis for the agegraphic dark energy models without and with interaction. Phys. Lett. B 2007, 655, 1–6. [Google Scholar] [CrossRef]
- Wei, H.; Cai, R. A new model of agegraphic dark energy. Phys. Lett. B 2008, 660, 113–117. [Google Scholar] [CrossRef]
- Cai, R. A dark energy model characterized by the age of the Universe. Phys. Lett. B 2007, 657, 228–231. [Google Scholar] [CrossRef]
- Cohen, A.; Kaplan, D.; Nelson, A. Effective Field Theory, Black Holes, and the Cosmological Constant. Phys. Rev. Lett. 1999, 82, 4971–4974. [Google Scholar] [CrossRef]
- Hsu, S. Entropy bounds and dark energy. Phys. Lett. B 2004, 594, 13–16. [Google Scholar] [CrossRef]
- Li, M. A model of holographic dark energy. Phys. Lett. B 2004, 603, 1–5. [Google Scholar] [CrossRef]
- Wang, S.; Wang, Y.; Li, M. Holographic dark energy. Phys. Rep. 2017, 696, 1–57. [Google Scholar] [CrossRef]
- Bahamonde, S.; Bohmer, C.; Carloni, S.; Copeland, E.; Fang, W.; Tamanini, N. Dynamical systems applied to cosmology: Dark energy and modified gravity. Phys. Rep. 2018, 775-777, 1–122. [Google Scholar] [CrossRef]
- Setare, M.; Vagenas, E. The Cosmological Dynamics of Interacting Holographic Dark Energy Model. Int. J. Mod. Phys. D 2009, 18, 147–157. [Google Scholar] [CrossRef]
- Liu, J.; Gong, Y.; Chen, X. Dynamical behavior of the extended holographic dark energy with the Hubble horizon. Phys. Rev. D 2010, 81, 083536. [Google Scholar] [CrossRef]
- Banerjee, N.; Roy, N. Stability analysis of a holographic dark energy model. Gen. Relativ. Gravit. 2015, 47, 92. [Google Scholar] [CrossRef]
- Mahata, N.; Chakraborty, S. A dynamical system analysis of holographic dark energy models with different IR cutoff. Mod. Phys. Lett. A 2015, 30, 1550134. [Google Scholar] [CrossRef]
- Mishra, S.; Chakraborty, S. Stability analysis of an interacting holographic dark energy model. Mod. Phys. Lett. A 2019, 34, 1950147. [Google Scholar] [CrossRef]
- Bargach, A.; Bargach, F.; Ouali, T. Dynamical system approach of non-minimal coupling in holographic cosmology. Nucl. Phys. B 2019, 940, 10. [Google Scholar] [CrossRef]
- Tita, A.; Gumjudpai, B.; Srisawad, P. Dynamics of holographic dark energy with apparent-horizon cutoff and non-minimal derivative coupling gravity in non-flat FLRW universe. Phys. Dark Universe 2024, 45, 101542. [Google Scholar] [CrossRef]
- Huang, Q.; Huang, H.; Chen, J.; Zhang, L.; Tu, F. Stability analysis of a Tsallis holographic dark energy model. Class. Quantum Grav. 2019, 36, 175001. [Google Scholar] [CrossRef]
- Ebrahimi, E. A dynamical system analysis of Tsallis holographic dark energy. Astrophys. Space. Sci. 2020, 365, 92. [Google Scholar] [CrossRef]
- Astashenok, A.; Tepliakov, A. Dynamical analysis of the Tsallis holographic dark energy models with event horizon as cut-off and interaction with matter. Int. J. Mod. Phys. D 2023, 32, 2350058. [Google Scholar] [CrossRef]
- Huang, Q.; Huang, H.; Xu, B.; Tu, F.; Chen, J. Dynamical analysis and statefinder of Barrow holographic dark energy. Eur. Phys. J. C 2021, 81, 686. [Google Scholar] [CrossRef]
- Srivastava, S.; Sharma, U. Barrow holographic dark energy with hubble horizon as IR cutoff. Int. J. Geom. Methods Mod. Phys. 2021, 18, 2150014. [Google Scholar] [CrossRef]
- Riess, A.; Yuan, W.; Macri, L.; Scolnic, D.; Brout, D.; Casertano, S.; Jones, D.; Murakami, Y.; Breuval, L.; Brink, T.; et al. A Comprehensive Measurement of the Local Value of the Hubble Constant with 1 km s−1 Mpc−1 Uncertainty from the Hubble Space Telescope and the SH0ES Team. Astrophys. J. Lett. 2022, 934, L7. [Google Scholar] [CrossRef]
- Brout, D.; Scolnic, D.; Popovic, B.; Riess, A.; Zuntz, J.; Kessler, R.; Carr, A.; Davis, T.; Hinton, S.; Jones, D.; et al. The Pantheon+ Analysis: Cosmological Constraints. Astrophys. J. 2022, 938, 110. [Google Scholar] [CrossRef]
- Scolnic, D.; Brout, D.; Carr, A.; Riess, A.; Davis, T.; Dwomoh, A.; Jones, D.; Ali, N.; Charvu, P.; Chen, R.; et al. The Pantheon+ Analysis: The Full Data Set and Light-curve Release. Astrophys. J. 2022, 938, 113. [Google Scholar] [CrossRef]
- Cao, S.; Ratra, B. Using lower-redshift, non-CMB, data to constrain the Hubble constant and other cosmological parameters. MNRAS 2022, 513, 5686–5700. [Google Scholar] [CrossRef]
- Wang, J.; Yu, H.; Wu, P. Revisiting cosmic acceleration with DESI BAO. Eur. Phys. J. C 2025, 85, 853. [Google Scholar] [CrossRef]
- Liu, Y.; Yu, H.; Wu, P. Alleviating the Hubble-constant tension and the growth tension via a transition of absolute magnitude favored by the Pantheon+ sample. Phys. Rev. D 2024, 110, L021304. [Google Scholar] [CrossRef]
- Liu, Y.; Wang, B.; Yu, H.; Wu, P. Probing cosmic background dynamics with a cosmological-model-independent method. Mon. Not. R. Astron. Soc. 2024, 533, 244. [Google Scholar] [CrossRef]
- Arora, S.; Sahoo, P. Revisiting kink-like parametrization and constraints using OHD/Pantheon+/BAO samples. Phys. Dark Universe 2024, 45, 101510. [Google Scholar] [CrossRef]
- Oliveros, A.; Acero, M. Cosmological dynamics and observational constraints on a viable f(Q) nonmetric gravity model. Int. J. Mod. Phys. D 2024, 33, 2450004. [Google Scholar] [CrossRef]
- Wang, D.; Koussour, M.; Malik, A.; Myrzakulov, N.; Mustafa, G. Observational constraints on a logarithmic scalar field dark energy model and black hole mass evolution in the Universe. Eur. Phys. J. C 2023, 83, 670. [Google Scholar] [CrossRef]
- Mukherjee, P.; Banerjee, N. Revisiting a non-parametric reconstruction of the deceleration parameter from combined background and the growth rate data. Phys. Dark Universe 2022, 36, 100998. [Google Scholar] [CrossRef]
- Mukherjee, P.; Banerjee, N. Constraining the curvature density parameter in cosmology. Phys. Rev. D 2022, 105, 063516. [Google Scholar] [CrossRef]
- Cao, S.; Ryan, J.; Ratra, B. Using Pantheon and DES supernova, baryon acoustic oscillation, and Hubble parameter data to constrain the Hubble constant, dark energy dynamics, and spatial curvature. MNRAS 2021, 504, 300. [Google Scholar] [CrossRef]
- Pacif, S.; Arora, S.; Sahoo, P. Late-time acceleration with a scalar field source: Observational constraints and statefinder diagnostics. Phys. Dark Universe 2021, 32, 100804. [Google Scholar] [CrossRef]
- Cao, S.; Zhang, T.; Wang, X.; Zhang, T. Cosmological Constraints on the Coupling Model from Observational Hubble Parameter and Baryon Acoustic Oscillation Measurements. Universe 2021, 7, 57. [Google Scholar] [CrossRef]
- Akarsu, O.; Barrow, J.; Escamilla, L.; Vazquez, J. Graduated dark energy: Observational hints of a spontaneous sign switch in the cosmological constant. Phys. Rev. D 2020, 101, 063528. [Google Scholar] [CrossRef]
- Yang, Y.; Gong, Y. The evidence of cosmic acceleration and observational constraints. JCAP 2020, 6, 59. [Google Scholar] [CrossRef]
- Liu, Y.; Guo, R.; Zhang, J.; Zhang, X. Revisit of constraints on dark energy with Hubble parameter measurements including future redshift drift observations. JCAP 2019, 5, 016. [Google Scholar] [CrossRef]
- Jimenez, J.; Lazkoz, R.; Saez-Gomez, D.; Salzano, V. Observational constraints on cosmological future singularities. Eur. Phys. J. C 2016, 76, 631. [Google Scholar] [CrossRef]
- Gong, Y.; Gao, Q.; Zhu, Z. The effect of different observational data on the constraints of cosmological parameters. Mon. Not. R. Astron. Soc. 2013, 430, 3142. [Google Scholar] [CrossRef]
- Su, Q.; Tuo, Z.; Cai, R. Figure of merit and different combinations of observational data sets. Phys. Rev. D 2011, 84, 103519. [Google Scholar] [CrossRef]
- Gong, Y.; Cai, R.; Chen, Y.; Zhu, Z. Observational constraint on dynamical evolution of dark energy. JCAP 2010, 1001, 019. [Google Scholar] [CrossRef]
- Wu, P.; Yu, H. Observational constraints on f(T) theory. Phys. Lett. B 2010, 693, 415. [Google Scholar] [CrossRef]
- Gong, Y.; Wang, A. Observational constraints on the acceleration of the Universe. Phys. Rev. D 2006, 73, 083506. [Google Scholar] [CrossRef]
- Wu, P.; Yu, H. Constraints on a variable dark energy model with recent observations. Phys. Lett. B 2006, 643, 315–318. [Google Scholar] [CrossRef]
- Horvat, R. Holography and a variable cosmological constant. Phys. Rev. D 2004, 70, 087301. [Google Scholar] [CrossRef]
- Witten, E. Anti de Sitter space and holography. Adv. Theor. Math. Phys. 1998, 2, 253–291. [Google Scholar] [CrossRef]
- Bousso, R. The holographic principle. Rev. Mod. Phys. 2002, 74, 825. [Google Scholar] [CrossRef]
- Huang, H.; Huang, Q.; Zhang, R. Phase space analysis of Tsallis agegraphic dark energy. Gen. Relativ. Gravit. 2021, 53, 63. [Google Scholar] [CrossRef]
- Pankaj; Pandey, B.; Kumar, P.; Sharma, U. New Tsallis agegraphic dark energy. Int. J. Mod. Phys. 2022, 31, 2250102. [Google Scholar] [CrossRef]
- Mangoudehi, Z. Interacting Tsallis agegraphic dark energy in DGP braneworld cosmology. Astrophys. Space Sci. 2022, 367, 31. [Google Scholar] [CrossRef]
- Sharma, U.; Srivastava, S. The cosmological behavior and the statefinder diagnosis for the New Tsallis agegraphic dark energy. Mod. Phys. Lett. A 2020, 35, 2050318. [Google Scholar] [CrossRef]
- Huang, H.; Huang, Q.; Zhang, R. Phase Space Analysis of Barrow Agegraphic Dark Energy. Universe 2022, 8, 467. [Google Scholar] [CrossRef]
- Sheykhi, A.; Ghaffari, S. Note on agegraphic dark energy inspired by modified Barrow entropy. Phys. Dark Universe 2023, 41, 101241. [Google Scholar] [CrossRef]
- Sharma, U.K.; Varshney, G.; Dubey, V.C. Barrow agegraphic dark energy. Int. J. Mod. Phys. 2021, 30, 2150021. [Google Scholar] [CrossRef]
- Ravanpak, A.; Fadakar, G. Barrow agegraphic dark energy. Mod. Phys. Lett. A 2019, 34, 1950105. [Google Scholar]
- Zadeh, M.; Sheykhi, A.; Moradpour, H. Tsallis Agegraphic Dark Energy Model. Mod. Phys. Lett. A 2019, 34, 1950086. [Google Scholar] [CrossRef]
- Kumar, P.; Singh, C. New agegraphic dark energy model in Brans-Dicke theory with logarithmic form of scalar field. Astrophys. Space Sci. 2017, 362, 52. [Google Scholar] [CrossRef]
- Saha, P.; Debnath, U. Reconstructions of f(T) Gravity from Entropy Corrected Holographic and New Agegraphic Dark Energy Models in Power-law and Logarithmic Versions. Eur. Phys. J. C 2016, 76, 491. [Google Scholar]
- Zhang, J.; Zhao, L.; Zhang, X. Revisiting the interacting model of new agegraphic dark energy. Sci. China Phys. Mech. Astron. 2014, 57, 387–392. [Google Scholar]
- Zhang, J.; Li, Y.; Zhang, X. A global fit study on the new agegraphic dark energy model. Eur. Phys. J. C 2013, 73, 2280. [Google Scholar] [CrossRef]
- Farajollahi, H.; Ravanpak, A.; Fadakar, G. Interacting agegraphic dark energy model in tachyon cosmology coupled to matter. Phy. Lett. B 2012, 711, 225. [Google Scholar] [CrossRef]
- Li, Y.; Zhang, J.; Zhang, X. New initial condition of the new agegraphic dark energy model. Chin. Phys. B 2013, 22, 039501. [Google Scholar] [CrossRef]
- Saaidi, K.; Sheikhahmadi, H.; Mohammadi, A. Interacting New Agegraphic Dark Energy in a Cyclic Universe. Astrophys. Space Sci. 2022, 338, 355–361. [Google Scholar] [CrossRef]
- Farajollahi, H.; Sadeghi, J.; Pourali, M.; Salehi, A. Stability analysis of agegraphic dark energy in Brans-Dicke cosmology. Astrophys. Space Sci. 2012, 339, 79–85. [Google Scholar] [CrossRef]
- Sun, C.; Yue, R. Inflation and New Agegraphic Dark Energy. Phys. Rev. D 2011, 83, 107302. [Google Scholar] [CrossRef]
- Li, Y.; Ma, J.; Cui, J.; Wang, Z.; Zhang, X. Interacting model of new agegraphic dark energy: Observational constraints and age problem. Sci. China Phys. Mech. Astron. 2011, 54, 1367–1377. [Google Scholar] [CrossRef]
- Lemets, O.; Yerokhin, D.; Zazunov, L. Interacting agegraphic dark energy models in phase space. JCAP 2011, 1, 7. [Google Scholar] [CrossRef]
- Sun, C.; Song, Y. Inconsistences in Interacting Agegraphic Dark Energy Models. Mod. Phys. Lett. A 2011, 26, 3055–3066. [Google Scholar] [CrossRef]
- Wei, H.; Cai, R. Cosmological constraints on new agegraphic dark energy. Phys. Lett. B 2008, 663, 1–6. [Google Scholar] [CrossRef]
- Wei, H.; Cai, R. Interacting Agegraphic Dark Energy. Eur. Phys. J. C 2009, 59, 99–105. [Google Scholar] [CrossRef]
- Maldacena, J. The Large N Limit of Superconformal Field Theories and Supergravity. J. Adv. Theor. Math. Phys. 1998, 231, 2. [Google Scholar] [CrossRef]
- Policastro, G.; Son, D.; Starinets, A. Shear viscosity of strong coupled N = 4 supersymmetric Yang-Mills plasma. Phys. Rev. Lett. 2001, 87, 081601. [Google Scholar] [CrossRef]
- Hartnoll, S.; Herzog, C.; Horowitz, G. Building a Holographic Superconductor. Phys. Rev. Lett. 2008, 101, 031601. [Google Scholar] [CrossRef]
- Apostolopoulos, P.; Siopsis, G.; Tetradis, N. Cosmology from an Anti-de Sitter-Schwarzschild black hole via holography. Phys. Rev. Lett. 2009, 151301, 102. [Google Scholar] [CrossRef] [PubMed]
- Khimphun, S.; Lee, B.; Tumurtushaa, G. Generalized holographic cosmology: Low-redshift observational constraint. J. High Energy Phys. 2021, 232, 1–20. [Google Scholar] [CrossRef]
- Nakarachinda, R.; Pongkitivanichkul, C.; Samart, D.; Tannukij, L.; Wongjun, P. Holographic dark energy from the anti–de Sitter black hole. Phys. Rev. D 2022, 105, 123524. [Google Scholar] [CrossRef]
- Huang, Q.; Huang, H.; Xu, B.; Zhang, K. Holographic inflation and holographic dark energy from entropy of the anti-de Sitter black hole. Eur. Phys. J. C 2025, 85, 395. [Google Scholar] [CrossRef]
- Akaike, H. A new look at the statistical model identification. IEEE Trans. Autom. Control 1974, 19, 716–723. [Google Scholar] [CrossRef]
- Schwarz, G. Estimating the dimension of a model. Ann. Stat. 1978, 6, 461–464. [Google Scholar] [CrossRef]
- Trotta, R. Bayes in the sky: Bayesian inference and model selection in cosmology. Contemp. Phys. 2008, 49, 71–104. [Google Scholar] [CrossRef]
- Burnham, K.; Anderson, D. Multimodel Inference: Understanding AIC and BIC in Model Selection. Sociol. Methods Res. 2004, 33, 261–304. [Google Scholar] [CrossRef]
- Jeffreys, H. The Theory of Probability, 3rd ed.; Oxford University Press: New York, NY, USA, 1998. [Google Scholar]
- Akhlaghi, I.; Malekjani, M.; Basilakos, S.; Haghi, H. Model selection and constraints from Holographic dark energy scenarios. Mon. Not. R. Astron. Soc. 2018, 477, 3659. [Google Scholar] [CrossRef]
- Colgain, E.; Sheikh-Jabbari, M. A critique of holographic dark energy. Class. Quantum Grav. 2021, 38, 177001. [Google Scholar]
- Wu, P.; Yu, H. The dynamical behavior of f(T) theory. Phys. Lett. B 2010, 692, 176–179. [Google Scholar]
- Wu, P.; Zhang, S. Cosmological evolution of interacting phantom (quintessence) model in Loop Quantum Gravity. JCAP 2008, 6, 7. [Google Scholar] [CrossRef]
- Wu, P.; Yu, H. Interacting generalized Chaplygin gas. Class. Quant. Grav. 2007, 24, 4661–4668. [Google Scholar] [CrossRef]
- Dutta, J.; Khyllep, W.; Tamanini, N. Cosmological dynamics of scalar fields with kinetic corrections: Beyond the exponential potential. Phys. Rev. D 2016, 93, 063004. [Google Scholar] [CrossRef]
- Dutta, J.; Khyllep, W.; Tamanini, N. Scalar-Fluid interacting dark energy: Cosmological dynamics beyond the exponential potential. Phys. Rev. D 2017, 95, 023515. [Google Scholar] [CrossRef]
- Dutta, J.; Khyllep, W.; Zonunmawia, H. Cosmological dynamics of the general non-canonical scalar field models. Eur. Phys. J. C 2019, 79, 359. [Google Scholar] [CrossRef]
- Huang, Q.; Huang, H.; Xu, B.; Zhang, K. Evolution of the Early Universe in Einstein–Cartan Theory. Universe 2025, 11, 147. [Google Scholar] [CrossRef]
- Huang, Q.; Zhang, R.; Chen, J.; Huang, H.; Tu, F. Phase space analysis of the Umami Chaplygin model. Mod. Phys. Lett. A 2021, 36, 2150052. [Google Scholar] [CrossRef]
- Huang, Y.; Gao, Q.; Gong, Y. The Phase-space analysis of scalar fields with non-minimally derivative coupling. Eur. Phys. J. C 2015, 75, 143. [Google Scholar] [CrossRef]
- Chen, X.; Gong, Y.; Saridakis, E. Phase-space analysis of interacting phantom cosmology. JCAP 2009, 4, 1. [Google Scholar] [CrossRef]
- Chatterjee, A.; Gong, Y. Understanding curvature–matter interaction in viable f(R) dark energy models: A dynamical analysis approach. Ann. Phys. 2025, 478, 170036. [Google Scholar] [CrossRef]
- Sahni, V.; Saini, T.; Starobinsky, A.; Alam, U. Statefinder: A New geometrical diagnostic of dark energy. JETP Lett. 2003, 77, 201–206. [Google Scholar] [CrossRef]
- Wu, P.; Yu, H. Statefinder parameters for quintom dark energy model. Int. J. Mod. Phys. D 2005, 14, 1873–1881. [Google Scholar] [CrossRef]
Disclaimer/Publisher’s Note: The statements, opinions and data contained in all publications are solely those of the individual author(s) and contributor(s) and not of MDPI and/or the editor(s). MDPI and/or the editor(s) disclaim responsibility for any injury to people or property resulting from any ideas, methods, instructions or products referred to in the content. |
© 2025 by the authors. Licensee MDPI, Basel, Switzerland. This article is an open access article distributed under the terms and conditions of the Creative Commons Attribution (CC BY) license (https://creativecommons.org/licenses/by/4.0/).