Holographic Thermodynamics of Higher-Dimensional AdS Black Holes with CFT Rescaling
Abstract
1. Introduction
2. Conformal Holographic Extended Thermodynamic
3. Charged Higher Dimensional AdS Black Holes
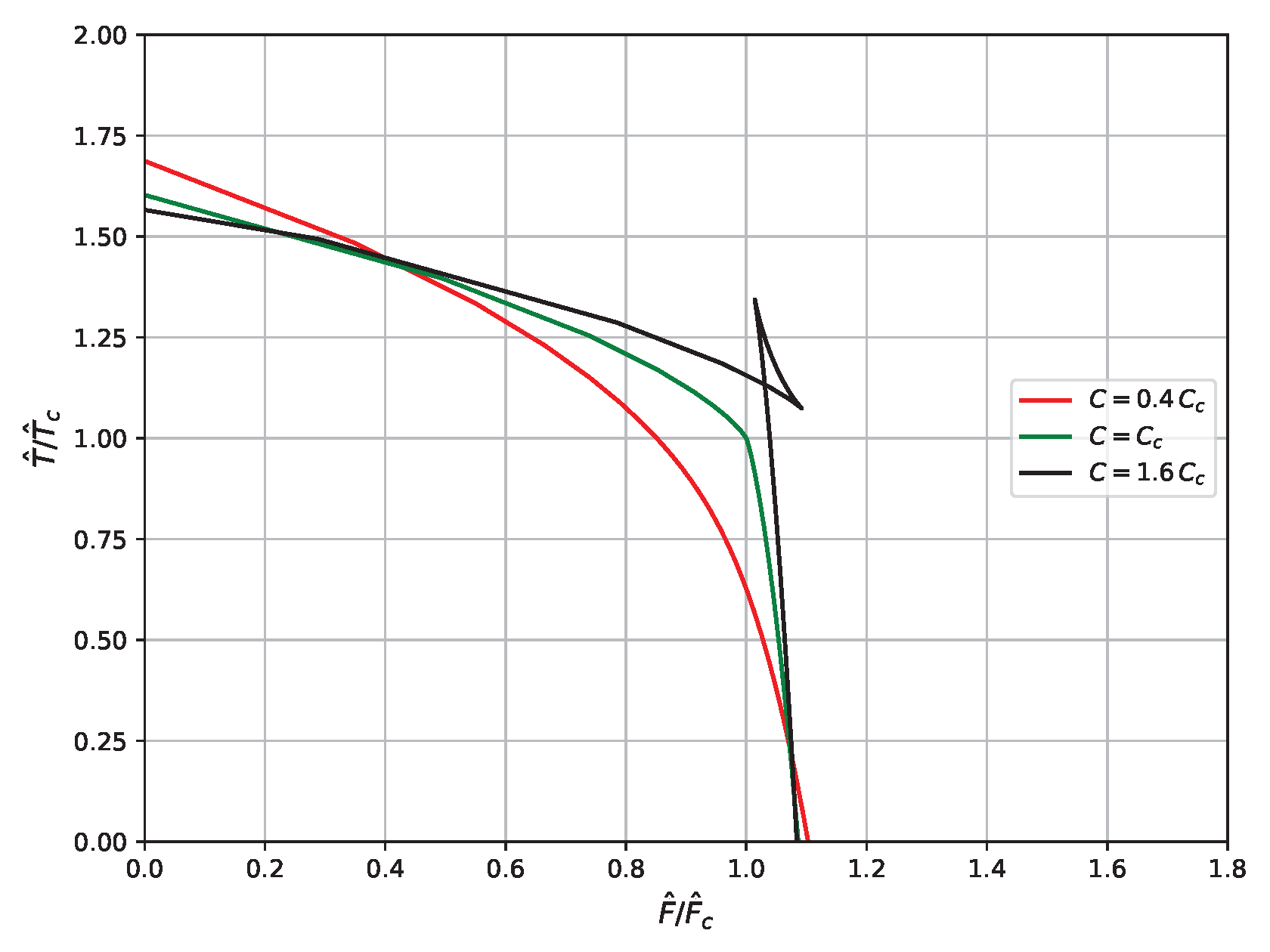
3.1. 5D Charged AdS Black Holes
3.2. 6D Charged AdS Black Holes
4. Conclusions and Discussion
Author Contributions
Funding
Data Availability Statement
Acknowledgments
Conflicts of Interest
References
- Hawking, S.W. Particle Creation by Black Holes. Commun. Math. Phys. 1975, 43, 199–220. [Google Scholar] [CrossRef]
 - Bekenstein, J.D. Black Holes and Entropy. Phys. Rev. D 1973, 7, 2333–2346. [Google Scholar] [CrossRef]
 - Bardeen, J.; Carter, B.; Hawking, S.W. The Four Laws of Black Hole Mechanics. Commun. Math. Phys. 1973, 31, 161–170. [Google Scholar] [CrossRef]
 - Kastor, D.; Ray, S.; Traschen, J. Enthalpy and the Mechanics of AdS Black Holes. Class. Quantum Gravity 2009, 26, 195011. [Google Scholar] [CrossRef]
 - Kubizňák, D.; Mann, R.B. Black Hole Chemistry. Can. J. Phys. 2015, 93, 999–1002. [Google Scholar] [CrossRef]
 - Kubizňák, D.; Mann, R.B. P–V Criticality of Charged AdS Black Holes. J. High Energy Phys. 2012, 2012, 33. [Google Scholar] [CrossRef]
 - Wei, S.W.; Liu, Y.X. Extended Thermodynamics and Microstructures of Four-Dimensional Charged Gauss–Bonnet Black Hole in AdS Space. Phys. Rev. D 2020, 101, 104018. [Google Scholar] [CrossRef]
 - Rajagopal, A.; Kubizňák, D.; Mann, R.B. Van der Waals Black Hole. Phys. Lett. B 2014, 737, 277–279. [Google Scholar] [CrossRef]
 - Cai, R.G.; Cao, L.M.; Li, L.; Yang, R.Q. P–V Criticality in the Extended Phase Space of Gauss–Bonnet Black Holes in AdS Space. J. High Energy Phys. 2013, 2013, 5. [Google Scholar] [CrossRef]
 - Altamirano, N.; Kubizňák, D.; Mann, R.B. Reentrant Phase Transitions in Rotating Anti–de Sitter Black Holes. Phys. Rev. D 2013, 88, 101502. [Google Scholar] [CrossRef]
 - Ladghami, Y.; Asfour, B.; Bargach, A.; Errahmani, A.; Ouali, T. Spacetime Foam Effects on Charged AdS Black Hole Thermodynamics. Ann. Phys. 2020, 460, 169575. [Google Scholar] [CrossRef]
 - Ökcü, O.; Aydıner, E. Joule–Thomson Expansion of Kerr–AdS Black Holes. Eur. Phys. J. C 2018, 78, 123. [Google Scholar] [CrossRef]
 - Mo, J.X.; Li, G.Q.; Lan, S.Q.; Xu, X.B. Joule–Thomson Expansion of D-Dimensional Charged AdS Black Holes. Phys. Rev. D 2018, 98, 124032. [Google Scholar] [CrossRef]
 - Sekhmani, Y.; Dahbi, Z.; Najim, A.; Waqdim, A. Joule–Thomson Expansion of 5-Dimensional R-Charged Black Holes. Ann. Phys. 2022, 444, 169060. [Google Scholar] [CrossRef]
 - Sekhmani, Y.; Myrzakulov, R.; Ali, R. Joule–Thomson Expansion of Black Holes in STU Supergravity. Int. J. Mod. Phys. A 2023, 38, 2350176. [Google Scholar] [CrossRef]
 - Ökcü, O.; Aydıner, E. Joule–Thomson Expansion of the Charged AdS Black Holes. Eur. Phys. J. C 2017, 77, 24. [Google Scholar] [CrossRef]
 - Wu, J.; Mann, R.B. Multicritical Phase Transitions in Multiply Rotating Black Holes. Class. Quantum Gravity 2023, 40, 06LT01. [Google Scholar] [CrossRef]
 - Wu, X.N. Multicritical Phenomena of Reissner–Nordström Anti–de Sitter Black Holes. Phys. Rev. D 2000, 62, 124023. [Google Scholar] [CrossRef]
 - Maldacena, J. The Large-N Limit of Superconformal Field Theories and Supergravity. Int. J. Theor. Phys. 1999, 38, 1113–1133. [Google Scholar] [CrossRef]
 - Lowe, D.A.; Thorlacius, L. AdS–CFT Correspondence and the Information Paradox. Phys. Rev. D 1999, 60, 104012. [Google Scholar] [CrossRef]
 - Almheiri, A.; Engelhardt, N.; Marolf, D.; Maxfield, H. The Entropy of Bulk Quantum Fields and the Entanglement Wedge of an Evaporating Black Hole. J. High Energy Phys. 2019, 2019, 63. [Google Scholar] [CrossRef]
 - Visser, M.R. Holographic Thermodynamics Requires a Chemical Potential for Color. Phys. Rev. D 2022, 105, 106014. [Google Scholar] [CrossRef]
 - Gao, Z.; Zhao, L. Restricted Phase Space Thermodynamics for AdS Black Holes via Holography. Class. Quantum Gravity 2022, 39, 075019. [Google Scholar] [CrossRef]
 - Ladghami, Y.; Asfour, B.; Bouali, A.; Errahmani, A.; Ouali, T. Barrow Entropy and AdS Black Holes in RPS Thermodynamics. Phys. Dark Universe 2024, 44, 101470. [Google Scholar] [CrossRef]
 - Ladghami, Y.; Asfour, B.; Bouali, A.; Errahmani, A.; Ouali, T. 4D-EGB Black Holes in RPS Thermodynamics. Phys. Dark Universe 2023, 41, 101261. [Google Scholar] [CrossRef]
 - Sadeghi, J.; Shokri, M.; Gashti, S.N.; Alipour, M.R. RPS Thermodynamics of Taub–NUT AdS Black Holes in the Presence of Central Charge and the Weak Gravity Conjecture. Gen. Relativ. Gravity 2022, 54, 129. [Google Scholar] [CrossRef]
 - Sadeghi, J.; Afshar, M.A.S.; Gashti, S.N.; Alipour, M.R. Thermodynamic Topology of Black Holes from Bulk–Boundary, Extended, and Restricted Phase Space Perspectives. Ann. Phys. 2024, 460, 169569. [Google Scholar] [CrossRef]
 - Kong, X.; Zhang, Z.; Zhao, L. Restricted Phase Space Thermodynamics of Charged AdS Black Holes in Conformal Gravity. Chin. Phys. C 2023, 47, 095105. [Google Scholar] [CrossRef]
 - Ladghami, Y.; Asfour, B.; Bouali, A.; Errahmani, A.; Ouali, T. Thermodynamics of Bardeen Black Holes in Restricted Phase Space. Phys. Lett. B 2025, 864, 139418. [Google Scholar] [CrossRef]
 - Ahmed, M.B.; Cong, W.; Kubizňák, D.; Mann, R.B.; Visser, M.R. Holographic Dual of Extended Black Hole Thermodynamics. Phys. Rev. Lett. 2023, 130, 181401. [Google Scholar] [CrossRef]
 - Ahmed, M.B.; Cong, W.; Kubizňák, D.; Mann, R.B.; Visser, M.R. Holographic CFT Phase Transitions and Criticality for Rotating AdS Black Holes. J. High Energy Phys. 2023, 2023, 142. [Google Scholar] [CrossRef]
 - Ladghami, Y.; Ouali, T. Black Holes Thermodynamics with CFT Re-Scaling. Phys. Dark Universe 2024, 44, 101471. [Google Scholar] [CrossRef]
 - Yang, S.J.; Ali, M.S.; Wei, S.W.; Liu, Y.X. Holographic Thermodynamics of a Five-Dimensional Neutral Gauss–Bonnet AdS Black Hole. Eur. Phys. J. C 2025, 85, 420. [Google Scholar] [CrossRef]
 - Ladghami, Y.; Asfour, B.; Bouali, A.; Ouali, T.; Mustafa, G. Holographic Thermodynamics of BTZ Black Holes and Tsallis Entropy. Phys. Dark Universe 2024, 46, 101724. [Google Scholar] [CrossRef]
 - Accetta, F.S.; Gleiser, M. Thermodynamics of Higher Dimensional Black Holes. Ann. Phys. 1987, 176, 278–300. [Google Scholar] [CrossRef]
 - Åman, J.E.; Pidokrajt, N. Geometry of Higher-Dimensional Black Hole Thermodynamics. Phys. Rev. D 2006, 73, 024017. [Google Scholar] [CrossRef]
 - Ishibashi, A.; Kodama, H. Stability of Higher-Dimensional Schwarzschild Black Holes. Prog. Theor. Phys. 2003, 110, 901–919. [Google Scholar] [CrossRef]
 - Konoplya, R.A. Gravitational Quasinormal Radiation of Higher-Dimensional Black Holes. Phys. Rev. D 2003, 68, 124017. [Google Scholar] [CrossRef]
 - Sheykhi, A. Higher-Dimensional Charged f(R) Black Holes. Phys. Rev. D 2012, 86, 024013. [Google Scholar] [CrossRef]
 - Ladghami, Y.; Asfour, B.; Bouali, A.; Errahmani, A.; Ouali, T. Thermodynamic Topology of Black Holes within Tsallis Statistics. Phys. Lett. B 2025, 139720. [Google Scholar] [CrossRef]
 - Gubser, S.S.; Klebanov, I.R.; Polyakov, A.M. Gauge Theory Correlators from Non-Critical String Theory. Phys. Lett. B 1998, 428, 105–114. [Google Scholar] [CrossRef]
 - Witten, E. Anti–de Sitter Space and Holography. Adv. Theor. Math. Phys. 1998, 2, 253–291. [Google Scholar] [CrossRef]
 - Chamblin, A.; Emparan, R.; Johnson, C.V.; Myers, R.C. Charged AdS Black Holes and Catastrophic Holography. Phys. Rev. D 1999, 60, 064018. [Google Scholar] [CrossRef]
 






Disclaimer/Publisher’s Note: The statements, opinions and data contained in all publications are solely those of the individual author(s) and contributor(s) and not of MDPI and/or the editor(s). MDPI and/or the editor(s) disclaim responsibility for any injury to people or property resulting from any ideas, methods, instructions or products referred to in the content.  | 
© 2025 by the authors. Licensee MDPI, Basel, Switzerland. This article is an open access article distributed under the terms and conditions of the Creative Commons Attribution (CC BY) license (https://creativecommons.org/licenses/by/4.0/).
Share and Cite
Ladghami, Y.; Ouali, T. Holographic Thermodynamics of Higher-Dimensional AdS Black Holes with CFT Rescaling. Universe 2025, 11, 337. https://doi.org/10.3390/universe11100337
Ladghami Y, Ouali T. Holographic Thermodynamics of Higher-Dimensional AdS Black Holes with CFT Rescaling. Universe. 2025; 11(10):337. https://doi.org/10.3390/universe11100337
Chicago/Turabian StyleLadghami, Yahya, and Taoufik Ouali. 2025. "Holographic Thermodynamics of Higher-Dimensional AdS Black Holes with CFT Rescaling" Universe 11, no. 10: 337. https://doi.org/10.3390/universe11100337
APA StyleLadghami, Y., & Ouali, T. (2025). Holographic Thermodynamics of Higher-Dimensional AdS Black Holes with CFT Rescaling. Universe, 11(10), 337. https://doi.org/10.3390/universe11100337
        
