Effect of High-Pressure Processed Apples on Phenolic Metabolites, Short-Chain Fatty Acids, and Human Gut Microbiota Using a Dynamic In Vitro Colonic Fermentation System
Abstract
1. Introduction
2. Materials and Methods
2.1. Reagents
2.2. Raw Material
2.3. High-Pressure Processing (HPP) and Lyophilization
2.4. Characterization of the HPP-Apple Ingredient
2.5. In Vitro Gastrointestinal Dynamic Digestion and Colonic Fermentation (GID-CF) of the HPP-Apple Ingredient
2.6. HPLC-ESI-QTOF-MS/MS Analysis of Phenolic Compounds and Metabolites
2.6.1. Extraction of the HPP-Apple Ingredient Before Digestion
2.6.2. Colonic Fermentation Slurry Extraction
2.6.3. HPLC-ESI-QTOF-MS/MS Analysis of Phenolic Compounds and Metabolites
2.7. Analysis of Short-Chain Fatty Acids (SCFAs)
2.8. Microbial Analysis
2.9. Statistical Analysis and Metabolomic Analysis Using a Targeted Approach
3. Results and Discussion
3.1. Characterization of the Undigested HPP-Apple Ingredient
3.1.1. Physicochemical, Chemical, and Biochemical Characteristics
3.1.2. Phenolic Compound Content
3.2. Phenolic Compound Precursors and Metabolites in the Colon Fermentation Products of the HPP-Apple Ingredient: Metabolomic Analysis by a Targeted Approach
3.2.1. Evolution of Phenolic Compound Precursors During Colonic Fermentation
3.2.2. Evolution of Phenolic Compound Metabolites During Colonic Fermentation
3.2.3. Multivariate Analysis of the HPLC-ESI-QTOF-MS/MS Data
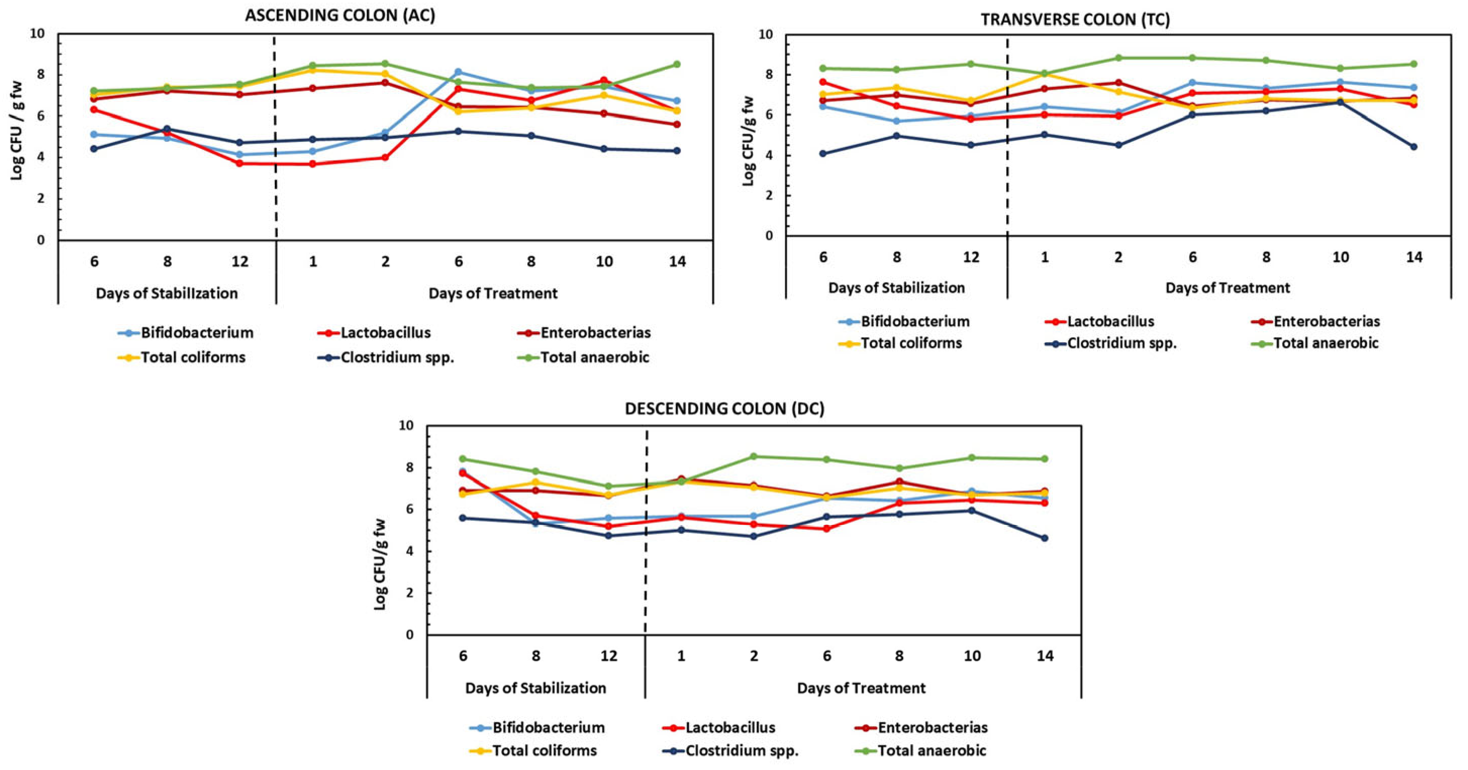
3.3. Effects of the HPP-Apple Ingredient on the Gut Microbiota
3.4. Effects of the HPP-Apple Ingredient on Short-Chain Fatty Acids (SCFAs)
3.5. Interaction Patterns Between Phenolic Metabolites, Gut Microbial Groups, and SCFA Production
4. Conclusions
Supplementary Materials
Author Contributions
Funding
Institutional Review Board Statement
Informed Consent Statement
Data Availability Statement
Acknowledgments
Conflicts of Interest
References
- Jakobek, L.; Matic, P. Phenolic compounds from apples: From natural fruits to the beneficial effects in the digestive system. Molecules 2024, 29, 568. [Google Scholar] [CrossRef]
- Zhang, F.; Wang, T.; Wang, X.; Lü, X. Apple pomace as a potential valuable resource for full-components utilization: A review. J. Clean. Prod. 2021, 329, 129676. [Google Scholar] [CrossRef]
- Bondonno, N.P.; Bondonno, C.P.; Ward, N.C.; Hodgson, J.M.; Croft, K.D. The cardiovascular health benefits of apples: Whole fruit vs. isolated compounds. Trends Food Sci. Technol. 2017, 69, 243–256. [Google Scholar] [CrossRef]
- Feng, S.; Yi, J.; Li, S.; Wu, X.; Zhao, Y.; Ma, Y.; Bi, J. Systematic review of phenolic compounds in apple fruits: Composition, distribution, absorption, metabolism and processing stability. J. Agric. Food Chem. 2021, 69, 7–27. [Google Scholar] [CrossRef] [PubMed]
- Bator, P.; Razik, M.; Rozwadowska, P.; Ramian, J.; Rybak, J.; Magiera, B.; Magiera, K.; Grabowska-Szczurek, M.; Grabarczyk, A.; Razik, W. An apple a day keeps the doctor away?—A review of health benefits of apples. J. Educ. Health Sport 2024, 55, 73–86. [Google Scholar] [CrossRef]
- Liddle, D.M.; Lin, X.; Cox, L.C.; Ward, E.M.; Ansari, R.; Wright, A.J.; Robinson, L.E. Daily apple consumption reduces plasma and peripheral blood mononuclear cell–secreted inflammatory biomarkers in adults with overweight and obesity: A 6-week randomized, controlled, parallel-arm trial. Am. J. Clin. Nutr. 2021, 114, 752–763. [Google Scholar] [CrossRef]
- Mierczak, K.; Garus-Pakowska, A. An Overview of apple varieties and theimportance of apple consumption in the prevention of non-communicable diseases—A narrative review. Nutrients 2024, 16, 3307. [Google Scholar] [CrossRef]
- Patocka, J.; Bhardwaj, K.; Klimova, B.; Nepovimova, E.; Wu, Q.; Landi, M.; Kuca, K.; Valis, M.; Wu, W. Malus domestica: A review on nutritional features, chemical composition, traditional and medicinal value. Plants 2020, 9, 1408. [Google Scholar] [CrossRef]
- Teixeira, J.D.; de Sousa, M.L.; Barros, S.C.; Parport, P.; Almeida, C.; Sanches-Silva, A. Phenolic profile and antioxidant properties of thirty one apple cultivars grown under the same edaphoclimatic condition. Food Chem. 2025, 497, 147008. [Google Scholar] [CrossRef]
- Macià, A.; Romero, M.P.; Yuste, S.; Ludwig, I.; Pedret, A.; Valls, R.M.; Salamanca, P.; Solà, R.; José Motilva, M.; Rubió, L. Phenol metabolic fingerprint and selection of intake biomarkers after acute and sustained consumption of red-fleshed apple versus common apple in humans. The AppleCOR study. Food Chem. 2022, 384, 132612. [Google Scholar] [CrossRef]
- Salazar-Orbea, G.L.; García-Villalba, R.; Bernal, M.J.; Hernández, A.; Tomás-Barberán, F.A.; Sánchez-Siles, L.M. Stability of phenolic compounds in apple and strawberry: Effect of different processing techniques in industrial set up. Food Chem. 2023, 401, 134099. [Google Scholar] [CrossRef]
- Vollmannová, A.; Bojnanská, T.; Musilová, J.; Lidiková, J.; Cifrová, M. Quercetin as one of the most abundant represented biological valuable plant components with remarkable chemoprotective effects—A review. Heliyon 2024, 10, e33342. [Google Scholar] [CrossRef] [PubMed]
- Zalewska, K.; Kulawik, M.; Gierszewska, J.; Gramala, Z.; Kalus, O.; Karpinski, M.; Mackowiak, J.; Staniewski, A.; Szyma’nska, Z.; Zalewska, B.; et al. Chlorogenic acid’s role in metabolic health: Mechanisms and therapeutic potential. Nutrients 2025, 17, 3303. [Google Scholar] [CrossRef] [PubMed]
- Kevers, C.; Pincemail, J.; Tabart, J.; Defraigne, J.O.; Dommes, J. Influence of cultivar, harvest time, storage conditions, and peeling on the antioxidant capacity and phenolic and ascorbic acid contents of apples and pears. J. Agric. Food Chem. 2011, 59, 6165–6171. [Google Scholar] [CrossRef] [PubMed]
- Carbonell-Capella, J.M.; Buniowska, M.; Barba, F.J.; Esteve, M.J.; Frigola, A. Analytical methods for determining bioavailability and bioaccessibility of bioactive compounds from fruits and vegetables: A Review. Compr. Rev. Food Sci. Food Saf. 2014, 13, 155–171. [Google Scholar] [CrossRef]
- Jakobek, L. Interactions of polyphenols with carbohydrates, lipids and proteins. Food Chem. 2015, 175, 556–567. [Google Scholar] [CrossRef]
- Briones-Labarca, V.; Venegas-Cubillos, G.; Ortiz-Portilla, S.; Chacana-Ojeda, M.; Maureira, H. Effects of high hydrostatic pressure (HHP) on bioaccessibility, as well as antioxidant activity, mineral and starch contents in Granny Smith apple. Food Chem. 2014, 128, 520–529. [Google Scholar] [CrossRef]
- Mao, T.; Zhang, Y.; Kaushik, R.; Mohan, M.S. Effects of polyphenols on gut microbiota and inflammatory markers in individuals with overweight or obesity: A systematic review and meta-analysis of randomized controlled trials. Crit. Rev. Food Sci. Nutr. 2024, 65, 6158–6175. [Google Scholar] [CrossRef]
- Lippolis, T.; Cofano, M.; Caponio, G.R.; De Nunzio, V.; Notarnicola, M. Bioaccessibility and bioavailability of diet polyphenols and their modulation of gut microbiota. Int. J. Mol. Sci. 2023, 24, 3813. [Google Scholar] [CrossRef]
- Garrido-Romero, M.; Díez-Municio, M.; Moreno, F.J. Exploring the Impact of Olive-Derived Bioactive Components on Gut Microbiota: Implications for Digestive Health. Foods 2025, 14, 2413. [Google Scholar] [CrossRef]
- Murphy, L.; Wan, Y.; Co, V.A.; El-Nezami, H. Dietary polyphenol impact on gut health and microbiota. Crit. Rev. Food Sci. Nutr. 2021, 61, 690–711. [Google Scholar]
- Anghel, A.C.; Țăranu, I.; Orțan, A.; Marcu Spinu, S.; Dragoi Cudalbeanu, M.; Rosu, P.M.; Băbeanu, N.E. Polyphenols and microbiota modulation: Insights from swine and other animal models for human therapeutic strategies. Molecules 2024, 29, 6026. [Google Scholar] [CrossRef]
- Ji, X.; Wang, J.; Lan, T.; Zhao, D.; Xu, P. Gut microbial metabolites and the brain-gut axis in Alzheimer’s disease: A review. Biomol. Biomed. 2025, 26, 240–250. [Google Scholar] [CrossRef]
- Gyriki, D.; Nikolaidis, C.G.; Bezirtzoglou, E.; Voidarou, C.; Stavropoulou, E.; Tsigalou, C. The gut microbiota and aging: Interactions, implications, and interventions. Front. Aging 2025, 6, 1452917. [Google Scholar] [CrossRef]
- Wang, X.; Liu, F.; Cui, Y.; Yin, Y.; Li, S.; Li, X. Apple polyphenols extracts ameliorate high carbohydrate diet- induced body weight gain by regulating the gut microbiota and appetite. J. Agric. Food Chem. 2022, 70, 196–210. [Google Scholar] [CrossRef] [PubMed]
- Mukhopadhya, I.; Louis, P. Gut microbiota-derived short-chain fatty acids and their role in human health and disease. Nat. Rev. Microbiol. 2025, 23, 635–651. [Google Scholar] [CrossRef] [PubMed]
- Feng, W.; Liu, J.; Cheng, H.; Zhang, D.; Tan, Y.; Peng, C. Dietary compounds in modulation of gut microbiota-derived metabolites. Front. Nutr. 2022, 9, 939571. [Google Scholar] [CrossRef] [PubMed]
- Koutsos, A.; Lima, M.; Conterno, L.; Gasperotti, M.; Bianchi, M.; Fava, F.; Vrhovsek, U.; Lovegrove, J.A.; Tuohy, K.M. Effects of commercial apple varieties on human gut microbiota composition and metabolic output using an in vitro colonic model. Nutrients 2017, 9, 23. [Google Scholar] [CrossRef]
- Ribas-Agustí, A.; Martín-Belloso, O.; Soliva-Fortuny, R.; Elez-Martínez, P. Food processing strategies to enhance phenolic compounds bioaccessibility and bioavailability in plant-based foods. Crit. Rev. Food Sci. Nutr. 2018, 58, 2531–2548. [Google Scholar] [CrossRef]
- Pizarro-Oteíza, S.; Salazar, F.; Cea, R.; Cavieres, O.; Meenu, M. Impact of high hydrostatic pressure, ultrasound, and pulsed electric field in beverages fermentation: A Review of nutritional, functional, and sensory aspects and the future. Foods 2025, 14, 3576. [Google Scholar] [CrossRef]
- Arshad, R.N.; Abdul-Malek, Z.; Roobab, U.; Ranjha, M.M.A.R.; Jambrak, A.R.; Qureshi, M.I.; Khan, N.; Lorenzo, J.M.; Aadil, R.M. Nonthermal food processing: A step towards a circular economy to meet the sustainable development goals. Food Chem. X 2022, 16, 100516. [Google Scholar] [CrossRef]
- Fernández-Jalao, I.; Balderas, C.; Sánchez-Moreno, C.; de Ancos, B. Impact of an in vitro dynamic gastrointestinal digestion on phenolic compounds and antioxidant capacity of apple treated by high-pressure processing. Innov. Food Sci. Emerg. Technol. 2020, 66, 102486. [Google Scholar] [CrossRef]
- López-Gámez, G.; Elez-Martínez, P.; Martín-Belloso, O.; Soliva-Fortuny, R. Recent advances toward the application of non-thermal technologies in food processing: An insight on the bioaccessibility of health-related constituents in plant-based products. Foods 2021, 10, 1538. [Google Scholar] [CrossRef] [PubMed]
- Fernández-Jalao, I.; Sánchez-Moreno, C.; de Ancos, B. Effect of high-pressure processing on flavonoids, hydroxycinnamic acids, dihydrochalcones and antioxidant activity of apple ‘Golden Delicious’ from different geographical origin. Innov. Food Sci. Emerg. Technol. 2019, 51, 20–31. [Google Scholar] [CrossRef]
- Colina-Coca, C.; Rodríguez-Alcala, L.M.; Fontecha, J.; González-Peña, D.; de Ancos, B.; Sánchez-Moreno, C. Effects of hypercholesterolemic diet enriched with onion as functional ingredient on fatty acid metabolism in Wistar rats. Food Res. Int. 2014, 64, 546–552. [Google Scholar] [CrossRef]
- Minekus, M.; Alminger, M.; Alvito, P.; Ballance, S.; Bohn, T.O.R.; Bourlieu, C.; Carrière, F.; Boutrou, R.; Corredig, M.; Dupont, D.; et al. A standardised static in vitro digestion method suitable for food-an international consensus. Food Funct. 2014, 5, 1113–1124. [Google Scholar] [CrossRef]
- Fernández-Jalao, I. Influence of Food Matrix and Processing on the Stability, Bioavailability, and Metabolism of Natural Phenolic Compounds in a Dynamic Model of Gastrointestinal Digestion and Colonic Fermentation. Ph.D. Thesis, Faculty of Farmacy, Complutense University of Madrid, Madrid, Spain, 2020. [Google Scholar]
- Fernández-Jalao, I.; Balderas, C.; Calvo, M.V.; Fontecha, J.; Sánchez-Moreno, C.; de Ancos, B. Impact of high-pressure processed onion on colonic metabolism using a dynamic gastrointestinal digestion simulator. Metabolites 2021, 11, 262. [Google Scholar] [CrossRef]
- Fernández-Jalao, I.; Sanchez-Moreno, C.; de Ancos, B. Influence of food matrix and high-pressure processing on onion flavonols and antioxidant activity during gastrointestinal digestion. J. Food Eng. 2017, 213, 60–68. [Google Scholar] [CrossRef]
- Primec, M.; Micetic-Turk, D.; Langerholc, T. Analysis of short-chain fatty acids in human feces: A scoping review. Anal. Biochem. 2017, 526, 921. [Google Scholar] [CrossRef]
- Pang, Z.; Chong, J.; Li, S.; Xia, J. MetaboAnalystR 3.0: Toward an optimized workflow for global metabolomics. Metabolites 2020, 10, 186. [Google Scholar] [CrossRef]
- Tsao, R.; Yang, R.; Christopher, J.; Zhu, Y.; Zhu, H.H. Polyphenolic profiles in eight apple cultivars using high-performance liquid chromatography (HPLC). J. Agric. Food Chem. 2003, 51, 6347–6353. [Google Scholar] [CrossRef]
- Navarro-Baez, J.E.; Martínez, L.M.; Welti-Chanes, J.; Buitimea-Cantúa, G.V.; Escobedo-Avellaneda, Z. High hydrostatic pressure to increase the biosynthesis and extraction of phenolic compounds in food: A review. Molecules 2022, 27, 1502. [Google Scholar] [CrossRef]
- Rinaldi, M.; Dhenge, R.; Rodolfi, M.; Littardi, P.; Lacey, K.; Cavazza, A.; Grimaldi, M.; Lolli, V.; Cirlini, M.; Chiancone, B.; et al. The effects of high-pressure processing pre-treatment on apple fruit for juice production. Foods 2024, 13, 2182. [Google Scholar] [CrossRef] [PubMed]
- Kim, H.K.; Leem, K.H.; Lee, S.; Kim, B.Y.; Hahm, Y.T.; Cho, H.Y.; Lee, J.Y. Effect of high hydrostatic pressure on immunomodulatory activity of cloudy apple juice. Food Sci. Biotechnol. 2012, 21, 175–181. [Google Scholar] [CrossRef]
- Abid, M.; Jabbar, S.; Hu, B.; Hashim, M.M.; Wu, T.; Wu, Z.W.; Khan, M.A.; Zeng, X.X. Synergistic impact of sonication and high hydrostatic pressure on microbial and enzymatic inactivation of apple juice. LWT-Food Sci. Technol. 2014, 59, 70–76. [Google Scholar] [CrossRef]
- Rechner, A.R.; Smith, M.A.; Kuhnle, G.; Gibson, G.R.; Debnam, E.S.; Srai, S.K.S.; Moore, K.P.; Rice-Evans, C.A. Colonic metabolism of dietary polyphenols: Influence of structure on microbial fermentation products. Free Radic. Biol. Med. 2004, 36, 212–225. [Google Scholar] [CrossRef]
- Stoupi, S.; Williamson, G.; Drynan, J.W.; Barron, D.; Clifford, M.N. A comparison of the in vitro biotransformation of (-)-epicatechin and procyanidin B2 by human faecal microbiota. Mol. Nutr. Food Res. 2010, 54, 747–759. [Google Scholar] [CrossRef]
- Serra, A.; Macia, A.; Romero, M.P.; Reguant, J.; Ortega, N.; Motilva, M.J. Metabolic pathways of the colonic metabolism of flavonoids (flavonols, flavones and flavanones) and phenolic acids. Food Chem. 2012, 130, 383–393. [Google Scholar] [CrossRef]
- Juaniz, I.; Ludwig, I.A.; Bresciani, L.; Dall’Asta, M.; Mena, P.; Del Rio, D.; Cid, C.; de Pena, M.P. Catabolism of raw and cooked green pepper (Capsicum annuum) (poly)phenolic compounds after simulated gastrointestinal digestion and faecal fermentation. J. Funct. Foods 2016, 27, 201–213. [Google Scholar] [CrossRef]
- Rowland, I.; Gibson, G.; Heinken, A.; Scott, K.; Swann, J.; Thiele, I.; Tuohy, K. Gut microbiota functions: Metabolism of nutrients and other food components. Eur. J. Nutr. 2018, 57, 1–24. [Google Scholar] [CrossRef]
- Tomás-Barberán, F.A.; Espín, J.C. Effect of food structure and processing on (poly)phenol-gut microbiota interactions and the effects on human health. Annu. Rev. Food Sci. Technol. 2019, 10, 221–238. [Google Scholar] [CrossRef] [PubMed]
- Souza, E.L.D.; Albuquerque, T.M.R.; Santos, A.S.D.; Massa, N.M.L.; Alves, J.L.D.B. Potential interactions among phenolic compounds and probiotics for mutual boosting of their health-promoting properties and food functionalities: A review. Crit. Rev. Food Sci. Nutr. 2019, 59, 1645–1659. [Google Scholar] [CrossRef] [PubMed]
- Stalmach, A.; Edwards, C.A.; Wightman, J.D.; Crozier, A. Colonic catabolism of dietary phenolic and polyphenolic compounds from Concord grape juice. Food Funct. 2013, 4, 52–62. [Google Scholar] [CrossRef] [PubMed]
- Williamson, G.; Kay, C.D.; Crozier, A. The Bioavailability, Transport, and Bioactivity of Dietary Flavonoids: A Review from a Historical Perspective. Compr. Rev. Food Sci. Food Saf. 2018, 17, 1054–1112. [Google Scholar] [CrossRef]
- Mosele, J.I.; Macià, A.; Romero, M.P.; Motilva, M.J. Stability and metabolism of Arbutus unedo bioactive compounds (phenolics and antioxidants) under in vitro digestion and colonic fermentation. Food Chem. 2016, 201, 120–130. [Google Scholar] [CrossRef]
- Mosele, J.I.; Macia, A.; Motilva, M.J. Metabolic and microbial modulation of the large intestine ecosystem by non-absorbed diet phenolic compounds: A review. Molecules 2015, 20, 17429–17468. [Google Scholar] [CrossRef]
- Ludwig, I.A.; de Peña, M.P.; Concepcion, C.; Alan, C. Catabolism of coffee chlorogenic acids by human colonic microbiota. BioFactors 2013, 39, 623–632. [Google Scholar] [CrossRef]
- Vollmer, M.; Esders, S.; Farquharson, F.M.; Neugart, S.; Duncan, S.H.; Schreiner, M.; Louis, P.; Maul, R.; Rohn, S. Mutual interaction of phenolic compounds and microbiota: Metabolism of complex phenolic apigenin-C and kaempferol-O-derivatives by human faecal samples. J. Agric. Food Chem. 2018, 66, 485–497. [Google Scholar] [CrossRef]
- Tang, Y.; Nakashima, S.; Saiki, S.; Myoi, Y.; Abe, N.; Kuwazuru, S.; Zhu, B.W.; Ashida, H.; Murata, Y.; Nakamura, Y. 3,4-Dihydroxyphenylacetic acid is a predominant biologically-active catabolite of quercetin glycosides. Food Res. Int. 2016, 89, 716–723. [Google Scholar] [CrossRef]
- Xue, H.T.; Xie, W.Y.; Jiang, Z.H.; Wang, M.; Wang, J.; Zhao, H.Q.; Zhang, X.Y. 3,4-Dihydroxyphenylacetic acid, a microbiota-derived metabolite of quercetin, attenuates acetaminophen (APAP)-induced liver injury through activation of Nrf-2. Xenobiotica 2016, 46, 931–939. [Google Scholar] [CrossRef]
- Gao, Y.; Ma, S.; Wang, M.; Feng, X.Y. Characterization of free, conjugated, and bound phenolic acids in seven commonly consumed vegetables. Molecules 2017, 22, 1878. [Google Scholar] [CrossRef] [PubMed]
- Ekbatan, S.S.; Sleno, L.; Sabally, K.; Khairallah, J.; Azadi, B.; Rodes, L.; Prakash, S.; Donnelly, D.J.; Kubow, S. Biotransformation of polyphenols in a dynamic multistage gastrointestinal model. Food Chem. 2016, 204, 453–462. [Google Scholar] [CrossRef] [PubMed]
- Gross, G.; Jacobs, D.M.; Peters, S.; Possemiers, S.; van Duynhoven, J.; Vaughan, E.E.; van de Wiele, T. In vitro bioconversion of polyphenols from black tea and red wine/grape juice by human intestinal microbiota displays strong interindividual variability. J. Agric. Food Chem. 2010, 58, 10236–10246. [Google Scholar] [CrossRef] [PubMed]
- Najmanova, I.; Pourova, J.; Voprsalova, M.; Pilarova, V.; Semecky, V.; Novakova, L.; Mladenka, P. Flavonoid metabolite 3-(3-hydroxyphenyl)propionic acid formed by human microflora decreases arterial blood pressure in rats. Mol. Nutr. Food Res. 2016, 60, 981–991. [Google Scholar] [CrossRef]
- Sánchez-Patán, F.; Barroso, E.; van de Wiele, T.; Jiménez-Girón, A.; Martín-Alvarez, P.J.; Moreno-Arribas, M.V.; Martínez-Cuesta, M.C.; Peláez, C.; Requena, T.; Bartolomé, B. Comparative in vitro fermentations of cranberry and grape seed polyphenols with colonic microbiota. Food Chem. 2015, 183, 273–282. [Google Scholar] [CrossRef]
- Rechner, A.R.; Spencer, J.P.E.; Kuhnle, G.; Hahn, U.; Rice-Evans, C.A. Novel biomarkers of the metabolism of caffeic acid derivatives in vivo. Free Radic. Biol. Med. 2001, 30, 1213–1222. [Google Scholar] [CrossRef]
- Serra, A.; Macia, A.; Romero, M.P.; Angles, N.; Morello, J.R.; Motilva, M.J. Metabolic pathways of the colonic metabolism of procyanidins (monomers and dimers) and alkaloids. Food Chem. 2011, 126, 1127–1137. [Google Scholar] [CrossRef]
- Mena, P.; Bresciani, L.; Brindani, N.; Ludwig, I.A.; Pereira-Caro, G.; Angelino, D.; Llorach, R.; Calani, L.; Brighenti, F.; Clifford, M.N.; et al. Phenyl-gamma-valerolactones and phenylvaleric acids, the main colonic metabolites of flavan-3-ols: Synthesis, analysis, bioavailability and bioactivity. Nat. Prod. Rep. 2019, 36, 714–752. [Google Scholar] [CrossRef]
- Fernández-Jalao, I.; Siles-Sánchez, M.N.; Santoyo, S.; Tamargo, A.; Relaño de la Guía, E.; Molinero, N.; Moreno-Arribas, V.; Jaime, L. Modulation of gut microbiota composition and microbial phenolic catabolism of phenolic compounds from Achillea millefolium L. and Origanum majorana L. J. Agric. Food Chem. 2024, 73, 478–494. [Google Scholar] [CrossRef]
- Rocchetti, G.; Gregorio, R.P.; Lorenzo, J.M.; Barba, F.J.; Oliveira, P.G.; Prieto, M.A.; Simal-Gandara, J.; Mosele, J.I.; Motilva, M.J.; Tomas, M.; et al. Functional implications of bound phenolic compounds and phenolics–food interaction: A review. Compr. Rev. Food Sci. Food Saf. 2022, 21, 811–842. [Google Scholar] [CrossRef]
- Yang, L.; Gao, Y.; Farag, M.A.; Gong, J.; Su, Q.; Cao, H.; Zhang, W.; Zhao, Y.; Wang, H. Dietary flavonoids and gut microbiota interaction: A focus on animal and human studies to maximize their health benefits. Food Front. 2023, 4, 1794–1809. [Google Scholar] [CrossRef]
- Nemzer, B.V.; Al-Taher, F.; Kalita, D.; Yashin, A.Y.; Yashin, Y.I. Health-improving effects of polyphenols on the human intestinal microbiota: A review. Int. J. Mol. Sci. 2025, 26, 1335. [Google Scholar] [CrossRef] [PubMed]
- Marino, M.; Venturi, S.; Gargari, G.; Del Bo, G.; Martini, D.; Porrini, M.; Guglielmetti, S.; Riso, P. Berries-gut microbiota interaction and impact on human health: A systematic review of randomized controlled trials. Food Rev. Int. 2024, 40, 2618–2640. [Google Scholar] [CrossRef]
- Sorrenti, V.; Ali, S.; Mancin, L.; Davinelli, S.; Paoli, A.; Scapagnini, G. Cocoa polyphenols and gut microbiota interplay: Bioavailability, prebiotic effect, and impact on human health. Nutrients 2020, 27, 1908. [Google Scholar] [CrossRef] [PubMed]
- Hou, C.; Shi, H.; Xiao, J.; Song, X.; Luo, Z.; Ma, X.; Shi, L.; Wei, H.; Li, J. Pomegranate juice supplemented with inulin modulates gut microbiota and promotes the production of microbiota-associated metabolites in overweight/obese individuals: A randomized, double-blind, placebo-controlled trial. J. Agric. Food Chem. 2024, 72, 14663–14677. [Google Scholar] [CrossRef]
- Wang, L.Y.; He, L.H.; Xue, L.J.; Li, S.B. Short-chain fatty acids: Bridges between diet, gut microbiota, and health. J. Gastroenterol. Hepatol. 2024, 39, 1728–1736. [Google Scholar] [CrossRef]
- Cuciniello, R.; Di Meo, F.; Filosa, S.; Crispi, S.; Bergamo, P. The antioxidant effect of dietary bioactives arises from the interplay between the physiology of the host and the gut microbiota: Involvement of short-chain fatty acids. Antioxidants 2023, 12, 1073. [Google Scholar] [CrossRef]
- Pérez-Burillo, S.; Mehta, T.; Esteban-Muñoz, A.; Pastoriza, S.; Paliy, O.; Rufián-Henares, J.A. Effect of in vitro digestion-fermentation on green and roasted coffee bioactivity: The role of the gut microbiota. Food Chem. 2019, 279, 252–259. [Google Scholar] [CrossRef]








| Daily Quercetin Supply (µg) | 8.62 | |
|---|---|---|
| Colon Region | Day | Quercetin (µg/100 g fw) |
| AC 1 | 4 d | 27.19 ± 0.84 c |
| 9 d | 5.05 ± 0.28 c | |
| 14 d | 3.82 ± 0.37 c | |
| TC 1 | 4 d | 6.97 ± 0.44 a |
| 9 d | 1.79 ± 0.02 b | |
| 14 d | 2.56 ± 0.17 b | |
| DC 1 | 4 d | 23.12 ± 0.09 b |
| 9 d | 1.28 ± 0.14 a | |
| 14 d | 0.99 ± 0.09 a | |
Disclaimer/Publisher’s Note: The statements, opinions and data contained in all publications are solely those of the individual author(s) and contributor(s) and not of MDPI and/or the editor(s). MDPI and/or the editor(s) disclaim responsibility for any injury to people or property resulting from any ideas, methods, instructions or products referred to in the content. |
© 2025 by the authors. Licensee MDPI, Basel, Switzerland. This article is an open access article distributed under the terms and conditions of the Creative Commons Attribution (CC BY) license (https://creativecommons.org/licenses/by/4.0/).
Share and Cite
de Ancos, B.; Fernández-Jalao, I.; Balderas, C.; Giménez, L.; Sánchez-Moreno, C. Effect of High-Pressure Processed Apples on Phenolic Metabolites, Short-Chain Fatty Acids, and Human Gut Microbiota Using a Dynamic In Vitro Colonic Fermentation System. Metabolites 2025, 15, 775. https://doi.org/10.3390/metabo15120775
de Ancos B, Fernández-Jalao I, Balderas C, Giménez L, Sánchez-Moreno C. Effect of High-Pressure Processed Apples on Phenolic Metabolites, Short-Chain Fatty Acids, and Human Gut Microbiota Using a Dynamic In Vitro Colonic Fermentation System. Metabolites. 2025; 15(12):775. https://doi.org/10.3390/metabo15120775
Chicago/Turabian Stylede Ancos, Begoña, Irene Fernández-Jalao, Claudia Balderas, Lucía Giménez, and Concepción Sánchez-Moreno. 2025. "Effect of High-Pressure Processed Apples on Phenolic Metabolites, Short-Chain Fatty Acids, and Human Gut Microbiota Using a Dynamic In Vitro Colonic Fermentation System" Metabolites 15, no. 12: 775. https://doi.org/10.3390/metabo15120775
APA Stylede Ancos, B., Fernández-Jalao, I., Balderas, C., Giménez, L., & Sánchez-Moreno, C. (2025). Effect of High-Pressure Processed Apples on Phenolic Metabolites, Short-Chain Fatty Acids, and Human Gut Microbiota Using a Dynamic In Vitro Colonic Fermentation System. Metabolites, 15(12), 775. https://doi.org/10.3390/metabo15120775

