Gaucher Disease—Correlation of Lyso-Gb1 with Haematology and Biochemical Parameters
Abstract
1. Introduction
2. Materials and Methods
2.1. Patients
2.2. Assessments
2.3. Data Collection and Ethical Considerations
2.4. Statistical Analysis
3. Results
3.1. Study Participants’ Characteristics
3.2. Cross-Sectional Analysis of Lyso-Gb1
3.3. Correlation with Other GD Biomarkers
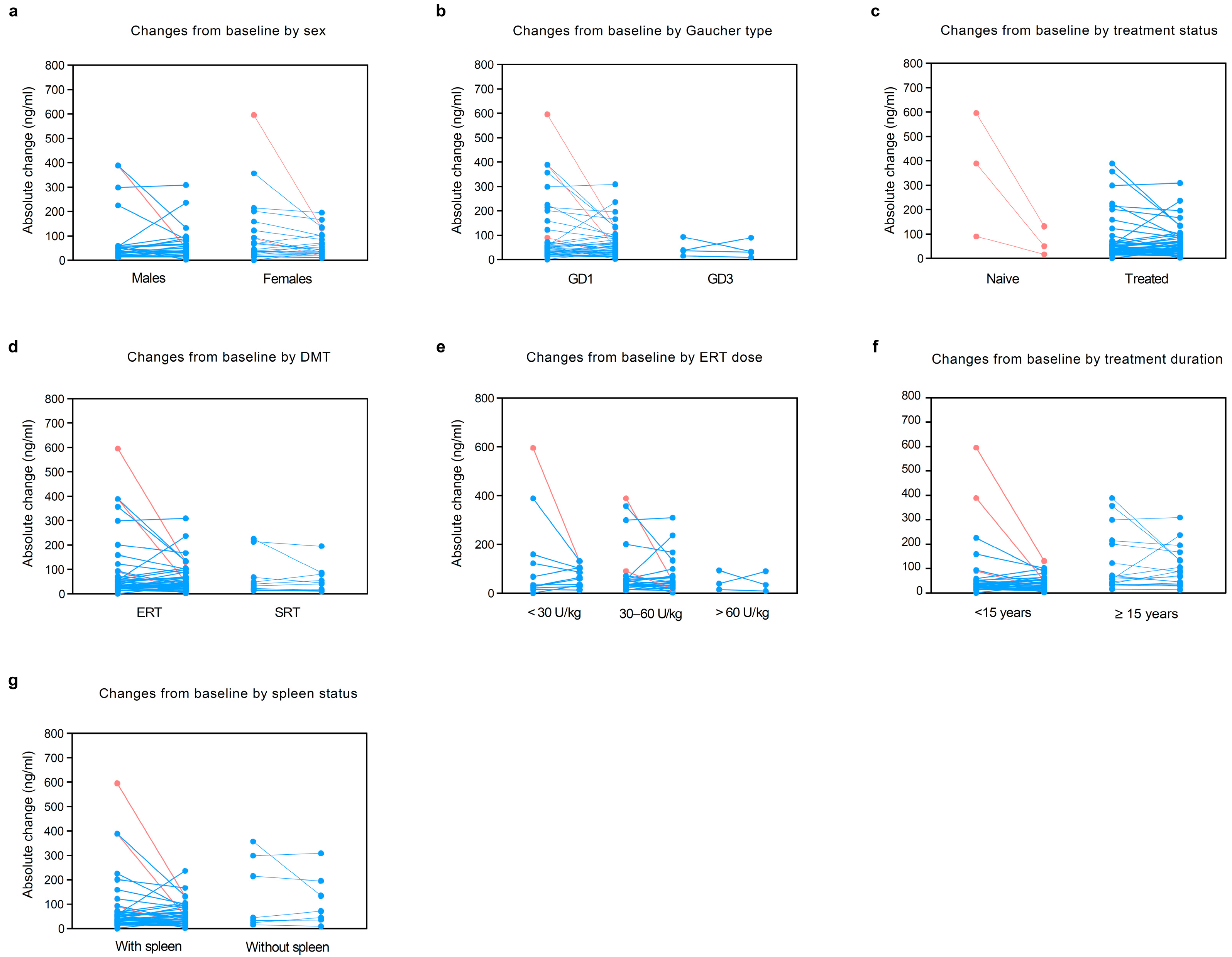
3.4. Changes in Lyso-Gb1 from Baseline to Visit
4. Discussion
5. Conclusions
Author Contributions
Funding
Institutional Review Board Statement
Informed Consent Statement
Data Availability Statement
Acknowledgments
Conflicts of Interest
References
- Hughes, D.A.; Pastores, G.M. Gaucher Disease, in GeneReviews((R)); Adam, M.P., Feldman, J., Mirzaa, G.M., Pagon, R.A., Wallace, S.E., Amemiya, A., Eds.; University of Washington: Seattle, WA, USA, 1993. [Google Scholar]
- Grabowski, G.A. Phenotype, diagnosis, and treatment of Gaucher’s disease. Lancet 2008, 372, 1263–1271. [Google Scholar] [CrossRef] [PubMed]
- Grabowski, G.A.; Petsko, G.A.; Kolodny, E.H. Gaucher Disease in the Online Metabolic and Molecular Bases of Inherited Disease. Valle, D.B., Beaudet, A.L., Vogelstein, B., Kinzler, K.W., Antonarakis, S.E., Ballabio, A., Gibson, K., Mitchell, G.A., Eds.; McGrawHill: New York, NY, USA, 2013. [Google Scholar]
- Ferraz, M.J.; Marques, A.R.A.; Appelman, M.D.; Verhoek, M.; Strijland, A.; Mirzaian, M.; Scheij, S.; Ouairy, C.M.; Lahav, D.; Wisse, P.; et al. Lysosomal glycosphingolipid catabolism by acid ceramidase: Formation of glycosphingoid bases during deficiency of glycosidases. FEBS Lett. 2016, 590, 716–725. [Google Scholar] [CrossRef]
- D’Amore, S.; Page, K.; Donald, A.; Taiyari, K.; Tom, B.; Deegan, P.; Tan, C.Y.; Poole, K.; Jones, S.A.; Mehta, A.; et al. In-depth phenotyping for clinical stratification of Gaucher disease. Orphanet J. Rare Dis. 2021, 16, 431. [Google Scholar] [CrossRef]
- D’Amore, S.; Poole, K.E.; Ramaswami, U.; Hughes, D.; Page, K.; Solimando, A.G.; Vacca, A.; Cox, T.M.; Deegan, P. Changes in Angiogenesis and Bone Turnover Markers in Patients with Gaucher Disease Developing Osteonecrosis. Metabolites 2024, 14, 601. [Google Scholar] [CrossRef]
- Biegstraaten, M.; Cox, T.M.; Belmatoug, N.; Berger, M.G.; Collin-Histed, T.; Vom Dahl, S.; Di Rocco, M.; Fraga, C.; Giona, F.; Giraldo, P.; et al. Management goals for type 1 Gaucher disease: An expert consensus document from the European working group on Gaucher disease. Blood Cells Mol. Dis. 2018, 68, 203–208. [Google Scholar] [CrossRef]
- El-Beshlawy, A.; Tylki-Szymanska, A.; Vellodi, A.; Belmatoug, N.; Grabowski, G.A.; Kolodny, E.H.; Batista, J.L.; Cox, G.F.; Mistry, P.K. Long-term hematological, visceral, and growth outcomes in children with Gaucher disease type 3 treated with imiglucerase in the International Collaborative Gaucher Group Gaucher Registry. Mol. Genet. Metab. 2017, 120, 47–56. [Google Scholar] [CrossRef]
- Sechi, A.; Deroma, L.; Dardis, A.; Ciana, G.; Bertin, N.; Concolino, D.; Linari, S.; Perria, C.; Bembi, B. Long term effects of enzyme replacement therapy in an Italian cohort of type 3 Gaucher patients. Mol. Genet. Metab. 2014, 113, 213–218. [Google Scholar] [CrossRef]
- Kamath, R.S.; Lukina, E.; Watman, N.; Dragosky, M.; Pastores, G.M.; Arreguin, E.A.; Rosenbaum, H.; Zimran, A.; Aguzzi, R.; Puga, A.C.; et al. Skeletal improvement in patients with Gaucher disease type 1: A phase 2 trial of oral eliglustat. Skeletal. Radiol. 2014, 43, 1353–1360. [Google Scholar] [CrossRef] [PubMed]
- Cox, T.M.; Drelichman, G.; Cravo, R.; Balwani, M.; Burrow, T.A.; Martins, A.M.; Lukina, E.; Rosenbloom, B.; Ross, L.; Angell, J.; et al. Eliglustat compared with imiglucerase in patients with Gaucher’s disease type 1 stabilised on enzyme replacement therapy: A phase 3, randomised, open-label, non-inferiority trial. Lancet 2015, 385, 2355–2362. [Google Scholar] [CrossRef] [PubMed]
- Mistry, P.K.; Lukina, E.; Turkia, H.B.; Amato, D.; Baris, H.; Dasouki, M.; Ghosn, M.; Mehta, A.; Packman, S.; Pastores, G.; et al. Effect of oral eliglustat on splenomegaly in patients with Gaucher disease type 1: The ENGAGE randomized clinical trial. JAMA 2015, 313, 695–706. [Google Scholar] [CrossRef]
- Cox, T.M.; Drelichman, G.; Cravo, R.; Balwani, M.; Burrow, T.A.; Martins, A.M.; Lukina, E.; Rosenbloom, B.; Goker-Alpan, O.; Watman, N.; et al. Eliglustat maintains long-term clinical stability in patients with Gaucher disease type 1 stabilized on enzyme therapy. Blood 2017, 129, 2375–2383. [Google Scholar] [CrossRef]
- Cox, T.M.; Charrow, J.; Lukina, E.; Mistry, P.K.; Foster, M.C.; Peterschmitt, M.J. Long-term effects of eliglustat on skeletal manifestations in clinical trials of patients with Gaucher disease type 1. Genet. Med. 2023, 25, 100329. [Google Scholar] [CrossRef] [PubMed]
- Hollak, C.E.; Hughes, D.; van Schaik, I.N.; Schwierin, B.; Bembi, B. Miglustat (Zavesca) in type 1 Gaucher disease: 5-year results of a post-authorisation safety surveillance programme. Pharmacoepidemiol. Drug Saf. 2009, 18, 770–777. [Google Scholar] [CrossRef]
- Giraldo, P.; Andrade-Campos, M.; Alfonso, P.; Irun, P.; Atutxa, K.; Acedo, A.; Barez, A.; Blanes, M.; Diaz-Morant, V.; Fernández-Galán, M.A.; et al. Twelve years of experience with miglustat in the treatment of type 1 Gaucher disease: The Spanish ZAGAL project. Blood Cells Mol. Dis. 2018, 68, 173–179. [Google Scholar] [CrossRef]
- Casal, J.A.; Lacerda, L.; Pérez, L.F.; Pinto, R.A.; Sá Miranda, M.C.; Tuto, J.C. Relationships between serum markers of monocyte/macrophage activation in type 1 Gaucher’s disease. Clin. Chem. Lab. Med. 2002, 40, 52–55. [Google Scholar] [CrossRef] [PubMed]
- Cabrera-Salazar, M.A.; O’Rourke, E.; Henderson, N.; Wessel, H.; Barranger, J.A. Correlation of surrogate markers of Gaucher disease. Implications for long-term follow up of enzyme replacement therapy. Clin. Chim. Acta 2004, 344, 101–107. [Google Scholar] [CrossRef]
- Aerts, J.M.; Hollak, C.E. Plasma and metabolic abnormalities in Gaucher’s disease. Baillieres Clin. Haematol. 1997, 10, 691–709. [Google Scholar] [CrossRef]
- Hollak, C.E.; van Weely, S.; van Oers, M.H.; Aerts, J.M. Marked elevation of plasma chitotriosidase activity. A novel hallmark of Gaucher disease. J. Clin. Investig. 1994, 93, 1288–1292. [Google Scholar] [CrossRef] [PubMed]
- Boot, R.G.; Renkema, G.H.; Verhoek, M.; Strijland, A.; Bliek, J.; de Meulemeester, T.M.; Mannens, M.M.; Aerts, J.M. The human chitotriosidase gene. Nature of inherited enzyme deficiency. J. Biol. Chem. 1998, 273, 25680–25685. [Google Scholar] [CrossRef]
- Rodrigues, M.R.; Sa Miranda, M.C.; Amaral, O. Allelic frequency determination of the 24-bp chitotriosidase duplication in the Portuguese population by real-time PCR. Blood Cells Mol. Dis. 2004, 33, 362–364. [Google Scholar] [CrossRef]
- Dekker, N.; van Dussen, L.; Hollak, C.E.M.; Overkleeft, H.; Scheij, S.; Ghauharali, K.; van Breemen, M.J.; Ferraz, M.J.; Groener, J.E.M.; Maas, M.; et al. Elevated plasma glucosylsphingosine in Gaucher disease: Relation to phenotype, storage cell markers, and therapeutic response. Blood 2011, 118, e118–e127. [Google Scholar] [CrossRef]
- Rolfs, A.; Giese, A.K.; Grittner, U.; Mascher, D.; Elstein, D.; Zimran, A.; Böttcher, T.; Lukas, J.; Hübner, R.; Gölnitz, U.; et al. Glucosylsphingosine is a highly sensitive and specific biomarker for primary diagnostic and follow-up monitoring in Gaucher disease in a non-Jewish, Caucasian cohort of Gaucher disease patients. PLoS ONE 2013, 8, e79732. [Google Scholar] [CrossRef] [PubMed]
- Zimran, A.; Revel-Vilk, S.; Dinur, T.; Istaiti, M.; Botha, J.; Lukina, E.; Giraldo, P.; Deegan, P.; Vom Dahl, S. Evaluation of Lyso-Gb1 as a biomarker for Gaucher disease treatment outcomes using data from the Gaucher Outcome Survey. Orphanet J. Rare Dis. 2025, 20, 43. [Google Scholar] [CrossRef]
- Pastores, G.M.; Weinreb, N.J.; Aerts, H.; Andria, G.; Cox, T.M.; Giralt, M.; Grabowski, G.A.; Mistry, P.K.; Tylki-Szymańska, A. Therapeutic goals in the treatment of Gaucher disease. Semin. Hematol. 2004, 41, 4–14. [Google Scholar] [CrossRef]
- Cozma, C.; Cullufi, P.; Kramp, G.; Hovakimyan, M.; Velmishi, V.; Gjikopulli, A.; Tomori, S.; Fischer, S.; Oppermann, S.; Grittner, U.; et al. Treatment Efficiency in Gaucher Patients Can Reliably Be Monitored by Quantification of Lyso-Gb1 Concentrations in Dried Blood Spots. Int. J. Mol. Sci. 2020, 21, 4577. [Google Scholar] [CrossRef] [PubMed]
- Wilson, C.; Spearing, R.; Teague, L.; Robertson, P.; Blacklock, H. The outcome of clinical parameters in adults with severe Type I Gaucher disease using very low dose enzyme replacement therapy. Mol. Genet. Metab. 2007, 92, 131–136. [Google Scholar] [CrossRef]
- Vellodi, A.; Tylki-Szymanska, A.; Davies, E.H.; Kolodny, E.; Bembi, B.; Collin-Histed, T.; Mengel, E.; Erikson, A.; Schiffmann, R. Management of neuronopathic Gaucher disease: Revised recommendations. J. Inherit. Metab. Dis. 2009, 32, 660–664. [Google Scholar] [CrossRef]
- Saville, J.T.; McDermott, B.K.; Chin, S.J.; Fletcher, J.M.; Fuller, M. Expanding the clinical utility of glucosylsphingosine for Gaucher disease. J. Inherit. Metab. Dis. 2020, 43, 558–563. [Google Scholar] [CrossRef] [PubMed]
- Dinur, T.; Bauer, P.; Beetz, C.; Cozma, C.; Becker-Cohen, M.; Istaiti, M.; Rolfs, A.; Skrahina, V.; Zimran, A.; Revel-Vilk, S. Contribution of Glucosylsphingosine (Lyso-Gb1) to Treatment Decisions in Patients with Gaucher Disease. Int. J. Mol. Sci. 2023, 24, 3945. [Google Scholar] [CrossRef]
- Eitan, Y.; Abrahamov, A.; Phillips, M.; Elstein, D.; Zimran, A. Sixteen years of prenatal consultations for the N370S/N370S Gaucher disease genotype: What have we learned? Prenat. Diagn. 2010, 30, 924–927. [Google Scholar] [CrossRef]
- Dinur, T.; Grittner, U.; Revel-Vilk, S.; Becker-Cohen, M.; Istaiti, M.; Cozma, C.; Rolfs, A.; Zimran, A. Impact of Long-Term Enzyme Replacement Therapy on Glucosylsphingosine (Lyso-Gb1) Values in Patients with Type 1 Gaucher Disease: Statistical Models for Comparing Three Enzymatic Formulations. Int. J. Mol. Sci. 2021, 22, 7699. [Google Scholar] [CrossRef] [PubMed]
- Ivanova, M.M.; Dao, J.; Kasaci, N.; Huang, F.; Nguyen, E.; Goker-Alpan, O. Age-related inflammatory biomarkers in early-onset osteoporosis in females with Gaucher disease. Front. Endocrinol. 2025, 16, 1606218. [Google Scholar] [CrossRef] [PubMed]
- D’Amore, S.; Cooke, J.; Patel, S.; Ramaswami, U. Gaucher disease–correlation of lyso-Gb1 with biochemical therapeutic goals. Mol. Genet. Metab. 2025, 144, 108694. [Google Scholar] [CrossRef]



| Variable | Naïve n = 7 | Treated n = 93 | p-Value |
|---|---|---|---|
| Age at first lyso-Gb1 measurement (years), median (IQR) | 57.3 (44.2 to 61.2) | 44.8 (33.3 to 56.3) | 0.129 # |
| Sex, N (%) | 0.577 + | ||
| Male | 3 (43%) | 50 (54%) | |
| Female | 4 (57%) | 43 (46%) | |
| Gaucher disease type, n (%) | 0.488 + | ||
| GD type 1 | 7 (100%) | 86 (94%) | |
| GD type 3 | 0 | 7 (6%) | |
| Genotype, N (%) | 0.494 + | ||
| N370S/N370S | 3 (43%) | 20 (22%) | |
| N370S/L444P | - | 17 (18%) | |
| N370S/other | 3 (100%) | 33 (35.5%) | |
| L444P/L444P | - | 6 (6.5%) | |
| L444P/other | - | 6 (6.5%) | |
| other/other | - | 7 (7.5%) | |
| not available | 1 (14%) * | 4 (4%) * | |
| Time to first lyso-Gb1 measurement (years), median (IQR) | −0.2 (−0.7 to 0) | - | - |
| Duration of treatment prior to first lyso-Gb1 measurement (years), median (IQR) | - | 10.4 (5.7 to 21.1) | - |
| Haemoglobin (g/L), median (IQR) | 129 (117 to 146) | 139 (126 to 151.8) | 0.413 # |
| Platelet count (×109/L), median (IQR) | 157 (71 to 183) | 200.5 (163.5 to 238.8) | 0.017 # |
| Ferritin (µg/L), median (IQR) | 539.5 (216.5 to 890.5) | 176 (88 to 313) | 0.049 # |
| Chitotriosidase (nmol/hr/mL), median (IQR) | 3042 (1735.5 to 6803.5) | 680 (272.5 to 1192.5) | 0.001 # |
| Lyso-Gb1 (ng/mL), median (IQR) | 195 (48.6 to 388) | 47.1 (23.1 to 89.7) | 0.015 # |
| Splenectomy, N (%) | 0.289 + | ||
| No | 7 (100%) | 80 (86%) | |
| Yes | 0 | 13 (14%) |
| Variable | Lyso-Gb1 (ng/mL), Median (IQR) | p-Value | Lyso-Gb1 (ng/mL), Median (IQR) | p-Value |
|---|---|---|---|---|
| Naive | Treated | |||
| Sex | 1.000 | 0.606 # | ||
| Male | 241.7 (29.5 to 388); n = 3 | 40.2 (23.2 to 69.8); n = 50 | ||
| Female | 142.65 (59.03 to 495); n = 4 | 53 (21 to 99); n = 43 | ||
| Gaucher disease type | - | 0.348 # | ||
| GD type 1 | 195 (48.6 to 388); n = 7 | 46.1 (22.6 to 83.2); n = 86 | ||
| GD type 3 | - | 83.4 (36.7 to 92.9); n = 7 | ||
| Genotype | 0.700 # | 0.019 ‡ | ||
| N370S/N370S | 90.3 (48.6–195); n = 3 | 20.6 (15.4 to 45) ‡; n = 20 | ||
| N370S/L444P | - | 56.8 (28.6 to 104); n = 17 | ||
| N370S/other | 241.7 (29.5 to 595); n = 3 | 52.4 (29.6 to 128) ‡; n = 33 | ||
| L444P/L444P | - | 87.3 (32.7 to 150.9); n = 6 | ||
| L444P/other | - | 52.2 (31.2 to 75.1); n = 6 | ||
| other/other | - | 39.5 (34.5 to 197); n = 7 | ||
| not available | 388 (388 to 388) *; n = 1 | 68.4 (31.6 to 116.4) *; n = 4 | ||
| DMTs | - | 0.812 # | ||
| ERTs | - | 46.1 (23.1 to 96.6); n = 68 | ||
| SRT | - | 47.8 (21.7 to 74.8); n = 25 | ||
| ERT dose | - | 0.326 ‡ | ||
| <30 U/kg | - | 34 (24.4 to 58.6); n = 16 | ||
| 30–60 U/kg | - | 50.2 (23.1 to 100.5); n = 46 | ||
| >60 U/kg | - | 87.3 (19.7 to 126); n = 6 | ||
| Duration of treatment | - | 0.006 # | ||
| <15 years | - | 35.1 (20.3 to 73.9); n = 56 | ||
| ≥15 years | - | 62.9 (36.6 to 103); n = 37 | ||
| Splenectomy | - | 0.044 # | ||
| No | 195 (48.6 to 388); n = 7 | 40.7 (21.4 to 77.1); n = 80 | ||
| Yes | - | 83.4 (34.7 to 224.5); n = 13 |
| Variable | Lyso-Gb1 (ng/mL), Median (IQR) | Haemoglobin (g/L), Median (IQR) | Platelet Count (×109/L), Median (IQR) | Ferritin (mcg/L), Median (IQR) | Chitotriosidase (nmol/hr/mL), Median (IQR) |
|---|---|---|---|---|---|
| Overall n = 50 | −1.7 (−24.5 to 14.8) | 2.5 (−3.3 to 8) | 5 (−9.3 to 24) | −4 (−116.5 to 45.5) | −236 (−1337 to 187) |
| Sex | |||||
| Male (n = 25) | 2.9 (−10.5 to 23.1) | 1 (−3.5 to 6.5) | 3 (−11.5 to 18.5) | −4 (−154 to 48) | −61.5 (−1368 to 206.5) |
| Female (n = 25) | −5.2 (−35.2 to 11.2) | 4 (−4 to 8.5) | 7 (−8 to 31.5) | −7.5 (−77.8 to 42.5) | −730 (−1184 to 134.5) |
| Gaucher disease type | |||||
| GD type 1 (n = 46) | −0.3 (−24.5 to 14.8) | 2 (−4 to 8.3) | 5 (−9.3 to 23) | −4 (−116.5 to 48) | −341 (−1400 to 172.3) |
| GD type 3 (n = 4) | −5.8 (−45.9 to 37) | −5.8 (−45.9 to 37) | 3 (1.3 to 6.3) | 17.5 (−27 to 50) | −7.5 (−151.8 to 34) |
| Genotype | |||||
| N370S/N370S (n = 12) | −3 (−9.8 to 26.4) | −0.5 (−10.8 to 3) | −2.5 (−33 to 16) | 0 (−151 to 46) | −299 (−8463 to 0) |
| N370S/L444P (n = 9) | −9.7 (−32.1 to 16.2) | 1 (−4.5 to 6) | 6 (−7.5 to 29.5) | −29 (−100.5 to 115) | 36 (−360.5 to 311) |
| N370S/other (n = 19) | 1 (−34 to 11.3) | 4 (−3 to 8) | 7.5 (0.8 to 23) | −4 (−56 to 85) | −819 (−1368 to 38.5) |
| L444P/L444P (n = 3) | −6.1 (−59.2 to 51.1) | 2 (1 to 7) | 7 (1 to 23) | −16 (−197 to 45) | 3 (−133 to 873) |
| L444P/other (n = 3) | 7.6 (−5.5 to 25.7) | 9 (4 to 10) | −37 (−79 to 19) | −43 (−78 to 1) | 586 (586 to 586) |
| other/other (n = 3) | 10 (−7.3 to 14.7) | 11 (4 to 31) | 1 (−10 to 290) | 25 (15 to 181) | 208 (−1709 to 266) |
| missing (n = 1) | −338.6 (−338.6 to −338.6) | −19 (−19 to −19) | 51 (51 to 51) | −741 (−741 to −741) | −4098 (−4098 to −4098) |
| Treatment status | |||||
| Naive (n = 3) | −338.6 (−464 to −73.5) | 7 (−19 to 23) | 19 (4 to 51) | −147 (−741 to −125) | −4098 (−9015 to −1421) |
| Treated (n = 47) | 0.4 (−13.3 to 15) | 2 (−3 to 8) | 4 (−10 to 23) | 0.5 (−77.25 to 47) | −100 (−891 to 202.8) |
| DMTs | |||||
| ERTs (n = 39) | 1 (−34 to 22.3) | 4 (−1 to 10) | 4 (−13 to 28) | −1.5 (−122.8 to 61) | −133 (−947 to 265) |
| SRT (n = 11) | −3.5 (−19 to 8.1) | −1 (−6 to 1) | 6 (0 to 23) | −48 (−74 to 15) | −516.5 (−1430 to 140.3) |
| ERT dose | |||||
| <30 U/kg (n = 11) | 1.4 (−58 to 32.2) | 4 (−5 to 7) | 4 (−17 to 10) | −1.5 (−150 to 61) | −512.5 (−2964 to 422) |
| 30–60 U/kg (n = 25) | 1 (−20.5 to 13.2) | 4 (−0.5 to 11) | 3 (−13.5 to 27.5) | 1 (−94.5 to 126.5) | −225 (−1493 to 265.3) |
| >60 U/kg (n = 3) | −6.1 (−59.2 to 51.1) | 2 (1 to 7) | 32 (−3 to 56) | −16 (−197 to 45) | 0 (−133 to 873) |
| Duration of treatment | |||||
| <15 years (n = 31) | 0.4 (−13.3 to 15) | 1 (−3 to 7) | 4 (−17 to 22) | −51.5 (−148 to 17.3) | −183 (−1451 to 202.8) |
| ≥15 years (n = 19) | −3.5 (−27.8 to 10.1) | 4 (−4 to 9) | 6 (0 to 28) | 25 (−35 to 180) | −236 (−947 to 128) |
| Splenectomy | |||||
| No | −2.5 (−27.8 to 14.7) | 2 (−4 to 7) | 4 (−10 to 19) | −2 (−124.3 to 42.3) | −133 (−947 to 187) |
| Yes | 1.4 (−19 to 22.3) | 4 (1 to 9) | 31 (19 to 173) | −16 (−77 to 248) | −1279 (−1719.5 to 442.5) |
Disclaimer/Publisher’s Note: The statements, opinions and data contained in all publications are solely those of the individual author(s) and contributor(s) and not of MDPI and/or the editor(s). MDPI and/or the editor(s) disclaim responsibility for any injury to people or property resulting from any ideas, methods, instructions or products referred to in the content. |
© 2025 by the authors. Licensee MDPI, Basel, Switzerland. This article is an open access article distributed under the terms and conditions of the Creative Commons Attribution (CC BY) license (https://creativecommons.org/licenses/by/4.0/).
Share and Cite
D’Amore, S.; Patel, S.; Cooke, J.; Ramaswami, U. Gaucher Disease—Correlation of Lyso-Gb1 with Haematology and Biochemical Parameters. Metabolites 2025, 15, 731. https://doi.org/10.3390/metabo15110731
D’Amore S, Patel S, Cooke J, Ramaswami U. Gaucher Disease—Correlation of Lyso-Gb1 with Haematology and Biochemical Parameters. Metabolites. 2025; 15(11):731. https://doi.org/10.3390/metabo15110731
Chicago/Turabian StyleD’Amore, Simona, Sneha Patel, Juniebel Cooke, and Uma Ramaswami. 2025. "Gaucher Disease—Correlation of Lyso-Gb1 with Haematology and Biochemical Parameters" Metabolites 15, no. 11: 731. https://doi.org/10.3390/metabo15110731
APA StyleD’Amore, S., Patel, S., Cooke, J., & Ramaswami, U. (2025). Gaucher Disease—Correlation of Lyso-Gb1 with Haematology and Biochemical Parameters. Metabolites, 15(11), 731. https://doi.org/10.3390/metabo15110731

