Untargeted Metabolomic Profiling and Antioxidant Capacities of Different Solvent Crude Extracts of Ephedra foeminea
Abstract
1. Introduction
2. Results
2.1. Qualitative and Quantitative Analyses of E. foeminea Crude Extracts Using Liquid-State NMR
2.2. Qualitative and Quantitative Analyses of E. foeminea Powder Using Solid-State NMR
2.3. Chemical Profiling of E. foeminea Crude Extracts Using GC–MS and LC–MS
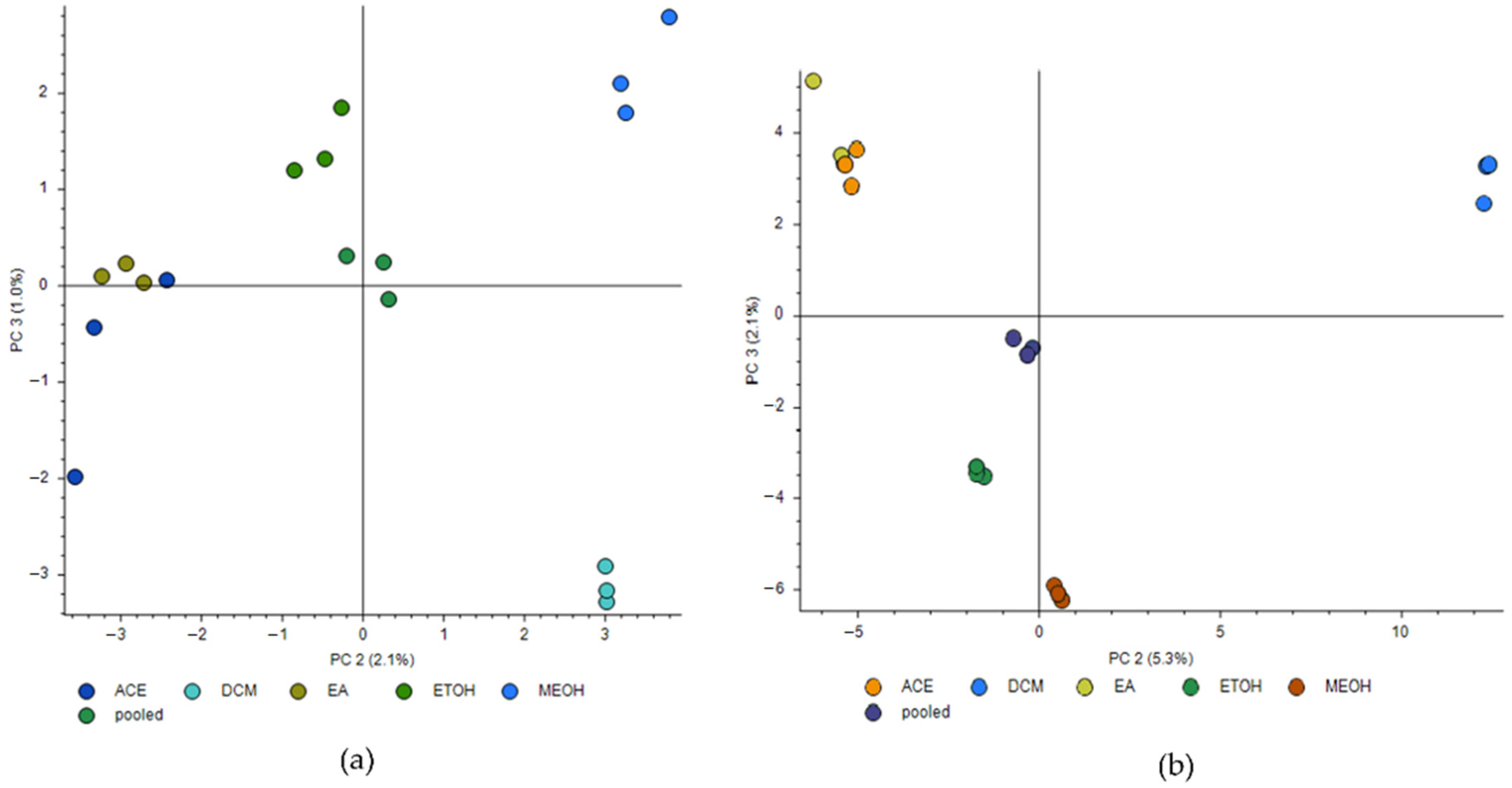
2.4. Untargeted Metabolomics Study of E. foeminea Crude Extracts
2.5. Effect of E. foeminea Crude Extracts on ABTS Antioxidant Assay
3. Discussion
4. Materials and Methods
4.1. Plant Material
4.2. Preparation of E. foeminea Crude Extracts
4.3. NMR Analyses of E. foeminea
4.3.1. Liquid-State NMR Analysis
4.3.2. Solid-State NMR Analysis
4.4. GC–MS Analysis of E. foeminea Crude Extracts
4.5. LC–MS Analysis of E. foeminea Crude Extracts
4.6. The 2,2′-azino-bis(3-ethylbenzothiazoline-6-sulfonic acid (ABTS) Radical Cation Assay of E. foeminea Crude Extracts
4.7. Statistical and Multivariate Analysis and Data Processing
Supplementary Materials
Author Contributions
Funding
Institutional Review Board Statement
Informed Consent Statement
Data Availability Statement
Acknowledgments
Conflicts of Interest
References
- Sher, A.A.; Iqbal, A.; Muhammad, N.; Badshah, S.L.; Emwas, A.-H.; Jaremko, M. Prokinetic and Laxative Effects of Chrozophora tinctoria Whole Plant Extract. Molecules 2022, 27, 2143. [Google Scholar] [CrossRef] [PubMed]
- Hijazi, M.A.; Hijazi, K.; Bouhadir, K.; Fatfat, Z.; Aboul-Ela, M.; Gali-Muhtasib, H.; El-Lakany, A. Anticancer activity of abietane diterpenoids from Salvia libanoticum grown in Lebanon. Pharmacogn. Mag. 2021, 17, 127. [Google Scholar] [CrossRef]
- Aziz, F.T.A.; Sanad, F.A.A.; Temraz, A.; El-Tantawy, W.H.; Hassan, M.A. Study of cardioprotective activity of the methanolic extract of the aerial parts of Bauhinia madagascariensis compared to Bauhinia purpurea against adrenaline-induced myocardial toxicity in rats. Drug Chem. Toxicol. 2021, 24, 1–11. [Google Scholar] [CrossRef] [PubMed]
- Malek, A.; Sadaka, M.W.M.; Hamo, S.; Al-Mahbashi, H.M. Evaluation of Antidiabetic Activity of Rosmarinus officinalis var. prostratus Growing in Syria in Alloxan Diabetic Rats. Curr. Bioact. Compd. 2020, 17, 187–193. [Google Scholar] [CrossRef]
- Ibragic, S.; Sofić, E. Chemical composition of various Ephedra species. Bosn. J. Basic Med. Sci. 2015, 15, 21. [Google Scholar] [CrossRef]
- Leung, A.Y.; Foster, S. Encyclopedia of Common Natural Ingredients Used in Food, Drugs, and Cosmetics, 2nd ed.; John Wiley & Sons Inc.: New York, NY, USA, 1996; ISBN 0-532-42154-5. [Google Scholar]
- Ben-Arye, E.; Mahajna, J.; Aly, R.; Ali-Shtayeh, M.S.; Bentur, Y.; Lev, E.; Deng, G.; Samuels, N. Exploring an herbal “wonder cure” for cancer: A multidisciplinary approach. J. Cancer Res. Clin. Oncol. 2016, 142, 1499–1508. [Google Scholar] [CrossRef]
- Zhu, Y.; Yin, Q.; Yang, Y. Comprehensive Investigation of Moringa oleifera from Different Regions by Simultaneous Determination of 11 Polyphenols Using UPLC-ESI-MS/MS. Molecules 2020, 25, 676. [Google Scholar] [CrossRef]
- Steenkamp, P.A.; Steenkamp, L.H. UPLC–MS profiling, identification of major peaks and comparison of Harpagophytum procumbens extracts from different locations. S. Afr. J. Bot. 2019, 124, 138–143. [Google Scholar] [CrossRef]
- Rafi, M.; Meitary, N.; Septaningsih, D.A.; Bintang, M. Phytochemical Profile and Antioxidant Activity of Guazuma ulmifolia Leaves Extracts Using Different Solvent Extraction. Res. Artic. Indones. J. Pharm. Indones. J. Pharm 2020, 31, 171–180. [Google Scholar] [CrossRef]
- Sharma, S.; Kumari, A.; Dhatwalia, J.; Guleria, I.; Lal, S.; Upadhyay, N.; Kumar, V.; Kumar, A. Effect of solvents extraction on phytochemical profile and biological activities of two Ocimum species: A comparative study. J. Appl. Res. Med. Aromat. Plants 2021, 25, 100348. [Google Scholar] [CrossRef]
- Salem, M.A.; De Souza, L.P.; Serag, A.; Fernie, A.R.; Farag, M.A.; Ezzat, S.M.; Alseekh, S. Metabolomics in the Context of Plant Natural Products Research: From Sample Preparation to Metabolite Analysis. Metabolites 2020, 10, 37. [Google Scholar] [CrossRef] [PubMed]
- Mellado, M.; Soto, M.; Madrid, A.; Montenegro, I.; Jara-Gutiérrez, C.; Villena, J.; Werner, E.; Godoy, P.; Aguilar, L.F. In vitro antioxidant and antiproliferative effect of the extracts of Ephedra chilensis K Presl aerial parts. BMC Complement. Altern. Med. 2019, 19, 53. [Google Scholar] [CrossRef] [PubMed]
- Gul, R.; Jan, S.U.; Faridullah, S.; Sherani, S.; Jahan, N. Preliminary Phytochemical Screening, Quantitative Analysis of Alkaloids, and Antioxidant Activity of Crude Plant Extracts from Ephedra intermedia Indigenous to Balochistan. Sci. World J. 2017, 2017, 7. [Google Scholar] [CrossRef]
- Al-Rimawi, F.; Abu-Lafi, S.; Abbadi, J.; Alamarneh, A.A.A.; Sawahreh, R.A.; Odeh, I. Analysis of phenolic and flavonoids of wild Ephedra alata plant extracts by LC/PDA and LC/MS and their antioxidant activity. Afr. J. Tradit. Complement. Altern. Med. 2017, 14, 130–141. [Google Scholar] [CrossRef] [PubMed]
- Soumaya, B.; Yosra, E.; Rim, B.M.; Sarra, D.; Sawsen, S.; Sarra, B.; Kamel, M.; Wissem, A.W.; Isoda, H.; Wided, M.K. Preliminary phytochemical analysis, antioxidant, anti-inflammatory and anticancer activities of two Tunisian Ephedra species: Ephedra alata and Ephedra fragilis. S. Afr. J. Bot. 2020, 135, 421–428. [Google Scholar] [CrossRef]
- Bharti, S.K.; Roy, R. Quantitative 1H NMR spectroscopy. TrAC Trends Anal. Chem. 2012, 35, 5–26. [Google Scholar] [CrossRef]
- Emwas, A.H.; Roy, R.; McKay, R.T.; Ryan, D.; Brennan, L.; Tenori, L.; Luchinat, C.; Gao, X.; Zeri, A.C.; Gowda, G.A.N.; et al. Recommendationsand Standardization of Biomarker QuantificationUsing NMR-Based Metabolomics with Particular Focus on Urinary Analysis. J. Proteome Res. 2016, 15, 360–373. [Google Scholar] [CrossRef]
- Emwas, A.H.; Saccenti, E.; Gao, X.; McKay, R.T.; dos Santos, V.A.P.M.; Roy, R.; Wishart, D.S. Recommended strategies for spectral processing and post-processing of 1D 1 H-NMR data of biofluids with a particular focus on urine. Metabolomics 2018, 14, 31. [Google Scholar] [CrossRef]
- Qureshi, K.A.; Bholay, A.D.; Rai, P.K.; Mohammed, H.A.; Khan, R.A.; Azam, F.; Jaremko, M.; Emwas, A.H.; Stefanowicz, P.; Waliczek, M.; et al. Isolation, characterization, anti-MRSA evaluation, and in-silico multi-target anti-microbial validations of actinomycin X2 and actinomycin D produced by novel Streptomyces smyrnaeus UKAQ_23. Sci. Rep. 2021, 11, 14539. [Google Scholar] [CrossRef]
- Emwas, A.H.M.; Al-Rifai, N.; Szczepski, K.; Alsuhaymi, S.; Rayyan, S.; Almahasheer, H.; Jaremko, M.; Brennan, L.; Lachowicz, J.I. You Are What You Eat: Application of Metabolomics Approaches to Advance Nutrition Research. Foods 2021, 10, 1249. [Google Scholar] [CrossRef]
- Mohammed, S.A.A.; Khan, R.A.; El-readi, M.Z.; Emwas, A.H.; Sioud, S.; Poulson, B.G.; Jaremko, M.; Eldeeb, H.M.; Al-omar, M.S.; Mohammed, H.A. Suaeda vermiculata Aqueous-Ethanolic Extract-Based Mitigation of CCl 4-Induced Hepatotoxicity in Rats, and HepG-2 and HepG-2/ADR Cell-Lines-Based Cytotoxicity Evaluations. Plants 2020, 9, 1291. [Google Scholar] [CrossRef] [PubMed]
- Abdul Jameel, A.G.; Elbaz, A.M.; Emwas, A.H.; Roberts, W.L.; Sarathy, S.M. Calculation of Average Molecular Parameters, Functional Groups, and a Surrogate Molecule for Heavy Fuel Oils Using 1H and 13C Nuclear Magnetic Resonance Spectroscopy. Energy Fuels 2016, 30, 3894–3905. [Google Scholar] [CrossRef]
- Abdul Jameel, A.G.; Van Oudenhoven, V.; Emwas, A.H.; Sarathy, S.M. Predicting Octane Number Using Nuclear Magnetic Resonance Spectroscopy and Artificial Neural Networks. Energy Fuels 2018, 32, 6309–6329. [Google Scholar] [CrossRef]
- Abdul Jameel, A.G.; Naser, N.; Emwas, A.H.; Dooley, S.; Sarathy, S.M. Predicting Fuel Ignition Quality Using 1H NMR Spectroscopy and Multiple Linear Regression. Energy Fuels 2016, 30, 9819–9835. [Google Scholar] [CrossRef]
- Tiziani, S.; Emwas, A.H.; Lodi, A.; Ludwig, C.; Bunce, C.M.; Viant, M.R.; Günther, U.L. Optimized metabolite extraction from blood serum for 1H nuclear magnetic resonance spectroscopy. Anal. Biochem. 2008, 377, 16–23. [Google Scholar] [CrossRef]
- Rehman, Z.U.; Jeong, S.; Tabatabai, S.; Emwas, A.H.; Leiknes, T. Advanced characterization of dissolved organic matter released by bloom-forming marine algae. Desalin. Water Treat. 2017, 69, 1–11. [Google Scholar] [CrossRef]
- Abdul Jameel, A.G.; Naser, N.; Emwas, A.H.; Sarathy, S.M. Surrogate formulation for diesel and jet fuels using the minimalist functional group (MFG) approach. Proc. Combust. Inst. 2019, 37, 4663–4671. [Google Scholar] [CrossRef]
- Li, S.; Winters, H.; Villacorte, L.O.; Ekowati, Y.; Emwas, A.H.; Kennedy, M.D.; Amy, G.L. Compositional similarities and differences between transparent exopolymer particles (TEPs) from two marine bacteria and two marine algae: Significance to surface biofouling. Mar. Chem. 2015, 174, 131–140. [Google Scholar] [CrossRef]
- Gonzalez-Gil, G.; Thomas, L.; Emwas, A.H.; Lens, P.N.L.; Saikaly, P.E. NMR and MALDI-TOF MS based characterization of exopolysaccharides in anaerobic microbial aggregates from full-scale reactors. Sci. Rep. 2015, 5, 14316. [Google Scholar] [CrossRef]
- Emwas, A.H.M.; Al-Talla, Z.A.; Guo, X.; Al-Ghamdi, S.; Al-Masri, H.T. Utilizing NMR and EPR spectroscopy to probe the role of copper in prion diseases. Magn. Reson. Chem. 2013, 51, 255–268. [Google Scholar] [CrossRef]
- Nageeb, A.; Al-Tawashi, A.; Emwas, A.-H.M.; Al-Talla, Z.A.-H.; Al-Rifai, N. Comparison of Artemisia annua Bioactivities between Traditional Medicine and Chemical Extracts. Curr. Bioact. Compd. 2013, 9, 324–332. [Google Scholar] [CrossRef] [PubMed]
- Emwas, A.H.; Szczepski, K.; Poulson, B.G.; Chandra, K.; McKay, R.T.; Dhahri, M.; Alahmari, F.; Jaremko, L.; Lachowicz, J.I.; Jaremko, M. NMR as a “gold standard” method in drug design and discovery. Molecules 2020, 25, 4597. [Google Scholar] [CrossRef] [PubMed]
- Alahmari, F.; Davaasuren, B.; Emwas, A.H.; Costa, P.M.; Rothenberger, A. Tris(ethylenediamine)nickel(II) thio-hydroxogermanate monohydrate: Synthesis, crystal structure, 1H NMR, EPR, optical and magnetic properties. Inorg. Chim. Acta 2019, 488, 145–151. [Google Scholar] [CrossRef]
- Dhahri, M.; Sioud, S.; Dridi, R.; Hassine, M.; Boughattas, N.A.; Almulhim, F.; Al Talla, Z.; Jaremko, M.; Emwas, A.H.M. Extraction, Characterization, and Anticoagulant Activity of a Sulfated Polysaccharide from Bursatella leachii Viscera. ACS Omega 2020, 5, 14786–14795. [Google Scholar] [CrossRef] [PubMed]
- Chisca, S.; Duong, P.H.H.; Emwas, A.H.; Sougrat, R.; Nunes, S.P. Crosslinked copolyazoles with a zwitterionic structure for organic solvent resistant membranes. Polym. Chem. 2014, 6, 543–554. [Google Scholar] [CrossRef]
- Azaizeh, H.; Saad, B.; Khalil, K.; Said, O. The state of the art of traditional Arab herbal medicine in the Eastern region of the Mediterranean: A review. Evid. Based Complement. Altern. Med. 2006, 3, 229–235. [Google Scholar] [CrossRef] [PubMed]
- Dowlath, M.; Karuppannan, S.K.; Darul, R.; Mohamed, K.; Subramanian, S.; Arunachalam, K.D. Effect of Solvents on Phytochemical Composition and Antioxidant Activity of Cardiospermum halicacabum (L.) Extracts. Pharmacogn. J. 2020, 12, 1241–1251. [Google Scholar] [CrossRef]
- Zhu, Z.; Shi, Z.; Xie, C.; Gong, W.; Hu, Z.; Peng, Y. A novel mechanism of Gamma-aminobutyric acid (GABA) protecting human umbilical vein endothelial cells (HUVECs) against H2O2-induced oxidative injury. Comp. Biochem. Physiol. Part C Toxicol. Pharmacol. 2019, 217, 68–75. [Google Scholar] [CrossRef]
- Filip, E.; Ungureanu, N.; Filip, C.; Danciu, C. Effects of Valine and Leucine on Some Antioxidant Enzymes in Hypercholesterolemic Rats. Health 2014, 6, 2313–2321. [Google Scholar] [CrossRef]
- Huang, L.; Fang, Z.; Gao, J.; Wang, J.; Li, Y.; Sun, L.; Wang, Y.; Liao, J.; Gooneratne, R. Protective role of l-threonine against cadmium toxicity in Saccharomyces cerevisiae. J. Basic Microbiol. 2021, 61, 339–350. [Google Scholar] [CrossRef]
- Kaul, S.; Sharma, S.S.; Mehta, I.K. Free radical scavenging potential of L-proline: Evidence from in vitro assays. Amin. Acids 2006, 34, 315–320. [Google Scholar] [CrossRef] [PubMed]
- Sinha, T.; Ikelle, L.; Naash, M.I.; Al-Ubaidi, M.R. The Intersection of Serine Metabolism and Cellular Dysfunction in Retinal Degeneration. Cells 2020, 9, 674. [Google Scholar] [CrossRef] [PubMed]
- Truffin, D.; Häusler, O.; Blouet, E.; Ramnath, M.; Martin, M.; Cotier, S. Determination of antioxidant effect of polyols in a cell free environment. In Proceedings of the 12th World Meeting on Pharmaceutics, Biopharmaceutics and Pharmaceutical Technology, Vienna, Austria, 11–14 May 2021; p. 1. [Google Scholar]
- Nascimento, N.R.F.; Lessa, L.M.A.; Kerntopf, M.R.; Sousa, C.M.; Alves, R.S.; Queiroz, M.G.R.; Price, J.; Heimark, D.B.; Larner, J.; Du, X.; et al. Inositols prevent and reverse endothelial dysfunction in diabetic rat and rabbit vasculature metabolically and by scavenging superoxide. Proc. Natl. Acad. Sci. USA 2006, 103, 218–223. [Google Scholar] [CrossRef] [PubMed]
- den Hartog, G.J.M.; Boots, A.W.; Adam-Perrot, A.; Brouns, F.; Verkooijen, I.W.C.M.; Weseler, A.R.; Haenen, G.R.M.M.; Bast, A. Erythritol is a sweet antioxidant. Nutrition 2010, 26, 449–458. [Google Scholar] [CrossRef] [PubMed]
- Zhang, D.; Nie, S.; Xie, M.; Hu, J. Antioxidant and antibacterial capabilities of phenolic compounds and organic acids from Camellia oleifera cake. Food Sci. Biotechnol. 2019, 29, 17–25. [Google Scholar] [CrossRef] [PubMed]
- Lugo-Huitrón, R.; Blanco-Ayala, T.; Ugalde-Muñiz, P.; Carrillo-Mora, P.; Pedraza-Chaverrí, J.; Silva-Adaya, D.; Maldonado, P.D.; Torres, I.; Pinzón, E.; Ortiz-Islas, E.; et al. On the antioxidant properties of kynurenic acid: Free radical scavenging activity and inhibition of oxidative stress. Neurotoxicol. Teratol. 2011, 33, 538–547. [Google Scholar] [CrossRef]
- Passi, S.; Picardo, M.; Zompetta, C.; de Luca, C.; Breathnach, A.S.; Nazzaro-porro, M. The Oxyradical-Scavenging Activity of Azelaic Acid in Biological Systems. Free Radic. Res. Commun. 1991, 15, 17–28. [Google Scholar] [CrossRef]
- Wang, J.; Zhang, Y.; Fang, Z.; Sun, L.; Wang, Y.; Liu, Y.; Xu, D.; Nie, F.; Gooneratne, R. Oleic Acid Alleviates Cadmium-Induced Oxidative Damage in Rat by Its Radicals Scavenging Activity. Biol. Trace Elem. Res. 2019, 190, 95–100. [Google Scholar] [CrossRef]
- Henry, G.E.; Momin, R.A.; Nair, M.G.; Dewitt, D.L. Antioxidant and Cyclooxygenase Activities of Fatty Acids Found in Food. J. Agric. Food Chem. 2002, 50, 2231–2234. [Google Scholar] [CrossRef]
- Al-Saraireh, Y.M.; Youssef, A.M.; Alshammari, F.O.; Al-Sarayreh, S.A.; Al-Shuneigat, J.M.; Alrawashdeh, H.M.; Mahgoub, S.S. Phytochemical characterization and anti-cancer properties of extract of Ephedra foeminea (Ephedraceae) aerial parts. Trop. J. Pharm. Res. 2021, 20, 1675–1681. [Google Scholar] [CrossRef]
- Saha, S.S.; Ghosh, M. Comparative study of antioxidant activity of α-eleostearic acid and punicic acid against oxidative stress generated by sodium arsenite. Food Chem. Toxicol. 2009, 47, 2551–2556. [Google Scholar] [CrossRef] [PubMed]
- Liu, D.K.; Xu, C.C.; Zhang, L.; Ma, H.; Chen, X.J.; Sui, Y.C.; Zhang, H.Z. Evaluation of bioactive components and antioxidant capacity of four celery (Apium graveolens L.) leaves and petioles. Int. J. Food Prop. 2020, 23, 1097–1109. [Google Scholar] [CrossRef]
- Njus, D.; Kelley, P.M.; Tu, Y.J.; Schlegel, H.B. Ascorbic acid: The chemistry underlying its antioxidant properties. Free Radic. Biol. Med. 2020, 159, 37–43. [Google Scholar] [CrossRef] [PubMed]
- Harisaranraj, R.; Suresh, K.; Saravanababu, S. Evaluation of the Chemical Composition Rauwolfia serpentina and Ephedra vulgaris. Adv. Biol. Res. 2009, 3, 174–178. [Google Scholar]
- Mohamadi, N.; Sharififar, F.; Pournamdari, M.; Ansari, M. A Review on Biosynthesis, Analytical Techniques, and Pharmacological Activities of Trigonelline as a Plant Alkaloid. J. Diet. Suppl. 2017, 15, 207–222. [Google Scholar] [CrossRef]
- Li, L.; Sun, L.; Qiu, Y.; Zhu, W.; Hu, K.; Mao, J. Protective Effect of Stachydrine Against Cerebral Ischemia-Reperfusion Injury by Reducing Inflammation and Apoptosis Through P65 and JAK2/STAT3 Signaling Pathway. Front. Pharmacol. 2020, 11, 64. [Google Scholar] [CrossRef]
- González-Juárez, D.E.; Escobedo-Moratilla, A.; Flores, J.; Hidalgo-Figueroa, S.; Martínez-Tagüeña, N.; Morales-Jiménez, J.; Muñiz-Ramírez, A.; Pastor-Palacios, G.; Pérez-Miranda, S.; Ramírez-Hernández, A.; et al. A Review of the Ephedra genus: Distribution, Ecology, Ethnobotany, Phytochemistry and Pharmacological Properties. Molecules 2020, 25, 3283. [Google Scholar] [CrossRef]
- Elhadef, K.; Smaoui, S.; Fourati, M.; Ben Hlima, H.; Chakchouk Mtibaa, A.; Sellem, I.; Ennouri, K.; Mellouli, L. A Review on Worldwide Ephedra History and Story: From Fossils to Natural Products Mass Spectroscopy Characterization and Biopharmacotherapy Potential. Evid. Based Complement. Altern. Med. 2020, 2020, 22. [Google Scholar] [CrossRef]
- Mighri, H.; Akrout, A.; Bennour, N.; Eljeni, H.; Zammouri, T.; Neffati, M. LC/MS method development for the determination of the phenolic compounds of Tunisian Ephedra alata hydro-methanolic extract and its fractions and evaluation of their antioxidant activities. S. Afr. J. Bot. 2019, 124, 102–110. [Google Scholar] [CrossRef]
- Mathew, S.; Abraham, T.E.; Zakaria, Z.A. Reactivity of phenolic compounds towards free radicals under in vitro conditions. J. Food Sci. Technol. 2015, 52, 5790–5798. [Google Scholar] [CrossRef]
- Sarker, U.; Oba, S. Polyphenol and flavonoid profiles and radical scavenging activity in leafy vegetable Amaranthus gangeticus. BMC Plant Biol. 2020, 20, 1–12. [Google Scholar] [CrossRef] [PubMed]
- Al-Amiery, A.; Al-Majedy, Y.; Kadhum, A.A.; Bakarmohamad, A. Antioxidant Activity of Coumarins A Multifaceted Review Journal in the field of Pharmacy. Syst. Rev. Pharm. 2016, 8, 24–30. [Google Scholar] [CrossRef]
- Mariadoss, A.V.A.; Vinyagam, R.; Rajamanickam, V.; Sankaran, V.; Venkatesan, S.; David, E. Pharmacological Aspects and Potential Use of Phloretin: A Systemic Review. Mini-Reviews Med. Chem. 2019, 19, 1060–1067. [Google Scholar] [CrossRef] [PubMed]
- Dugasani, S.; Pichika, M.R.; Nadarajah, V.D.; Balijepalli, M.K.; Tandra, S.; Korlakunta, J.N. Comparative antioxidant and anti-inflammatory effects of [6]-gingerol, [8]-gingerol, [10]-gingerol and [6]-shogaol. J. Ethnopharmacol. 2010, 127, 515–520. [Google Scholar] [CrossRef]
- Abdulai, I.L.; Kwofie, S.K.; Gbewonyo, W.S.; Boison, D.; Puplampu, J.B.; Adinortey, M.B. Multitargeted Effects of Vitexin and Isovitexin on Diabetes Mellitus and Its Complications. Sci. World J. 2021, 2021, 1–20. [Google Scholar] [CrossRef]
- Wang, Q.; Yang, Y.; Zhao, X.; Zhu, B.; Nan, P.; Zhao, J.; Wang, L.; Chen, F.; Liu, Z.; Zhong, Y. Chemical variation in the essential oil ofEphedra sinica from Northeastern China. Food Chem. 2006, 98, 52–58. [Google Scholar] [CrossRef]
- Made Pitri Susanti, N.; Kadek Warditiani, N.; Made Agus Gelgel Wirasuta, I. Antioxidant activity test of andrographolide in bitter herbs using DPPH scavenging. J. Health Sci. Med. 2017, 1, 9–11. [Google Scholar] [CrossRef][Green Version]
- Ren, Y.; Wang, C.; Xu, J.; Wang, S. Cafestol and Kahweol: A Review on Their Bioactivities and Pharmacological Properties. Int. J. Mol. Sci. 2019, 20, 4238. [Google Scholar] [CrossRef]
- Kandagatla, S.K.; Uhl, R.T.; Graf, T.N.; Oberlies, N.H.; Raner, G.M. Pheophorbide Derivatives Isolated from Açaí Berries (Euterpea oleracea) Activate an Antioxidant Response Element In Vitro. Nat. Prod. Commun. 2019, 14, 1–6. [Google Scholar] [CrossRef]
- Saide, A.; Lauritano, C.; Ianora, A. Pheophorbide a: State of the Art. Mar. Drugs 2020, 18, 257. [Google Scholar] [CrossRef]
- Sri Widyawati, P.; Dwi Wibawa Budianta, T.; Anggraeni Kusuma, F.; Livia Wijaya, E. Difference of Solvent Polarity to Phytochemical Content and Antioxidant Activity of Pluchea indicia Less Leaves Extracts. Int. J. Pharmacogn. Phytochem. Res. 2014, 6, 850–855. [Google Scholar]
- Khalil, M.; Khalifeh, H.; Saad, F.; Serale, N.; Salis, A.; Damonte, G.; Lupidi, G.; Daher, A.; Vergani, L. Protective effects of extracts from Ephedra foeminea Forssk fruits against oxidative injury in human endothelial cells. J. Ethnopharmacol. 2020, 260, 112976. [Google Scholar] [CrossRef] [PubMed]
- Emwas, A.H.; Luchinat, C.; Turano, P.; Tenori, L.; Roy, R.; Salek, R.M.; Ryan, D.; Merzaban, J.S.; Kaddurah-Daouk, R.; Zeri, A.C.; et al. Standardizing the experimental conditions for using urine in NMR-based metabolomic studies with a particular focus on diagnostic studies: A review. Metabolomics 2015, 11, 872–894. [Google Scholar] [CrossRef] [PubMed]











| (a) ESI– | ||||||
| S. No. | Compound Name | RT (Min) | Formula | M/Z | Peak Area (%) 1 | InChI Key |
| Ethanol extract | ||||||
| 1 | (9Z)-(13S)-12,13-Epoxyoctadeca-9,11-dienoicacid | 10.809 | C18H30O3 | 294.2198 | 16.82 | ZFVKKBAQVWQQHP-ALADIWIOSA-N |
| 2 | (9Z)-(12S,13R)-12,13-epoxyoctadecenoic acid | 10.578 | C18H32O3 | 296.2354 | 13.195 | CCPPLLJZDQAOHD-GJGKEFFFSA-N |
| 3 | 8-Hydroxyluteolin 4′-methyl ether 7-(6′-acetylallosyl) (1->2) (6′-acetylglucoside) | 9.179 | C32H36O19 | 724.1829 | 10.772 | ZXQCHXLLIKMUTB-WIFPZZFDSA-N |
| 4 | (9Z,15Z)-(13S)-12,13-Epoxyoctadeca-9,11,15-trienoicacid | 10.277 | C18H28O3 | 292.2042 | 8.94 | YZBZORUZOSCZRN-DCUPSMFCSA-N |
| 5 | Pregna-4,9(11)-diene-3,20-dione | 11.455 | C21H28O2 | 312.2093 | 5.052 | LCXMRSLFWMMCAS-WRJHFWDFSA-N |
| 6 | (7S,8S,9Z,12Z)-7,8-dihydroxyoctadeca-9,12-dienoic acid | 10.811 | C18H32O4 | 312.2305 | 4.518 | NMONGVDUESEHOK-MPOZZNMKSA-N |
| 7 | Hexadecanedioic acid | 7.543 | C16H30O4 | 286.2146 | 3.635 | QQHJDPROMQRDLA-UHFFFAOYSA-N |
| 8 | 9,10,13-trihydroxy-11-octadecenoicacid | 7.418 | C18H34O5 | 330.2411 | 3.445 | NTVFQBIHLSPEGQ-BUHFOSPRSA-N |
| 9 | (9Z)-(13S)-12,13-Epoxyoctadeca-9,11-dienoicacid | 10.075 | C18H30O3 | 294.2198 | 3.254 | ZFVKKBAQVWQQHP-ALADIWIOSA-N |
| 10 | (9Z)-(13S)-12,13-Epoxyoctadeca-9,11-dienoicacid | 10.008 | C18H30O3 | 294.2198 | 2.933 | ZFVKKBAQVWQQHP-ALADIWIOSA-N |
| 11 | [(2S,3R,4S,5S,6R)-2-[5,7-dihydroxy-2-(4-hydroxyphenyl)-4-oxochromen-8-yl]-4,5-dihydroxy-6-(hydroxymethyl)oxan-3-yl] (E)-3-(4-hydroxyphenyl)prop-2-enoate | 7.8 | C30H26O12 | 578.1448 | 2.71 | FJGOEBQRHWKKJH-HORBVDEJSA-N |
| Ethyl acetate extract | ||||||
| 1 | (9Z)-(12S,13R)-12,13-epoxyoctadecenoic acid | 10.557 | C18H32O3 | 296.2354 | 11.215 | CCPPLLJZDQAOHD-GJGKEFFFSA-N |
| 2 | 8-Hydroxyluteolin 4′-methyl ether 7-(6′-acetylallosyl) (1->2) (6′-acetylglucoside) | 9.158 | C32H36O19 | 724.1828 | 10.9 | ZXQCHXLLIKMUTB-WIFPZZFDSA-N |
| 3 | (9Z)-(13S)-12,13-Epoxyoctadeca-9,11-dienoicacid | 10.788 | C18H30O3 | 294.2198 | 10.268 | ZFVKKBAQVWQQHP-ALADIWIOSA-N |
| 4 | (9Z,15Z)-(13S)-12,13-Epoxyoctadeca-9,11,15-trienoicacid | 10.261 | C18H28O3 | 292.2041 | 7.105 | YZBZORUZOSCZRN-DCUPSMFCSA-N |
| 5 | (9Z)-(13S)-12,13-Epoxyoctadeca-9,11-dienoicacid | 10.741 | C18H30O3 | 294.2198 | 3.744 | ZFVKKBAQVWQQHP-ALADIWIOSA-N |
| 6 | Hexadecanedioic acid | 7.527 | C16H30O4 | 286.2146 | 3.195 | QQHJDPROMQRDLA-UHFFFAOYSA-N |
| 7 | [(2S,3R,4S,5S,6R)-2-[5,7-dihydroxy-2-(4-hydroxyphenyl)-4-oxochromen-8-yl]-4,5-dihydroxy-6-(hydroxymethyl)oxan-3-yl] (E)-3-(4-hydroxyphenyl)prop-2-enoate | 7.781 | C30H26O12 | 578.1448 | 3.176 | FJGOEBQRHWKKJH-HORBVDEJSA-N |
| 8 | (7S,8S,9Z,12Z)-7,8-dihydroxyoctadeca-9,12-dienoic acid | 10.795 | C18H32O4 | 312.2305 | 2.66 | NMONGVDUESEHOK-MPOZZNMKSA-N |
| 9 | 9,10,13-trihydroxy-11-octadecenoicacid | 7.407 | C18H34O5 | 330.2411 | 2.317 | NTVFQBIHLSPEGQ-BUHFOSPRSA-N |
| 10 | (9Z)-(13S)-12,13-Epoxyoctadeca-9,11-dienoicacid | 9.992 | C18H30O3 | 294.2198 | 2.239 | ZFVKKBAQVWQQHP-ALADIWIOSA-N |
| Acetone extract | ||||||
| 1 | (9Z)-(13S)-12,13-Epoxyoctadeca-9,11-dienoicacid | 10.81 | C18H30O3 | 294.2198 | 14.915 | ZFVKKBAQVWQQHP-ALADIWIOSA-N |
| 2 | 8-Hydroxyluteolin 4′-methyl ether 7-(6′-acetylallosyl) (1->2) (6′-acetylglucoside) | 9.171 | C32H36O19 | 724.1829 | 11.41 | ZXQCHXLLIKMUTB-WIFPZZFDSA-N |
| 3 | (9Z)-(12S,13R)-12,13-epoxyoctadecenoic acid | 10.58 | C18H32O3 | 296.2355 | 10.974 | CCPPLLJZDQAOHD-GJGKEFFFSA-N |
| 4 | (9Z,15Z)-(13S)-12,13-Epoxyoctadeca-9,11,15-trienoicacid | 10.274 | C18H28O3 | 292.2042 | 7.2721 | YZBZORUZOSCZRN-DCUPSMFCSA-N |
| 5 | (7S,8S,9Z,12Z)-7,8-dihydroxyoctadeca-9,12-dienoic acid | 10.813 | C18H32O4 | 312.2305 | 4.0297 | NMONGVDUESEHOK-MPOZZNMKSA-N |
| 6 | [(2S,3R,4S,5S,6R)-2-[5,7-dihydroxy-2-(4-hydroxyphenyl)-4-oxochromen-8-yl]-4,5-dihydroxy-6-(hydroxymethyl)oxan-3-yl] (E)-3-(4-hydroxyphenyl)prop-2-enoate | 7.798 | C30H26O12 | 578.1447 | 3.1966 | FJGOEBQRHWKKJH-HORBVDEJSA-N |
| 7 | Hexadecanedioic acid | 7.543 | C16H30O4 | 286.2147 | 3.035 | QQHJDPROMQRDLA-UHFFFAOYSA-N |
| 8 | (9Z)-(13S)-12,13-Epoxyoctadeca-9,11-dienoicacid | 10.078 | C18H30O3 | 294.2198 | 2.6986 | ZFVKKBAQVWQQHP-ALADIWIOSA-N |
| 9 | 9,10,13-trihydroxy-11-octadecenoicacid | 7.418 | C18H34O5 | 330.241 | 2.3583 | NTVFQBIHLSPEGQ-BUHFOSPRSA-N |
| Methanol extract | ||||||
| 1 | (9Z)-(12S,13R)-12,13-epoxyoctadecenoic acid | 10.576 | C18H32O3 | 296.2354 | 18.507 | CCPPLLJZDQAOHD-GJGKEFFFSA-N |
| 2 | (9Z)-(13S)-12,13-Epoxyoctadeca-9,11-dienoicacid | 10.805 | C18H30O3 | 294.2198 | 12.096 | ZFVKKBAQVWQQHP-ALADIWIOSA-N |
| 3 | 9,10,13-trihydroxy-11-octadecenoicacid | 7.416 | C18H34O5 | 330.2411 | 7.071 | NTVFQBIHLSPEGQ-BUHFOSPRSA-N |
| 4 | (9Z,15Z)-(13S)-12,13-Epoxyoctadeca-9,11,15-trienoicacid | 10.274 | C18H28O3 | 292.2042 | 6.918 | YZBZORUZOSCZRN-DCUPSMFCSA-N |
| 5 | 8-Hydroxyluteolin 4′-methyl ether 7-(6′-acetylallosyl) (1->2) (6′-acetylglucoside) | 9.172 | C32H36O19 | 724.1828 | 5.26 | ZXQCHXLLIKMUTB-WIFPZZFDSA-N |
| 6 | (9Z)-(13S)-12,13-Epoxyoctadeca-9,11-dienoicacid | 10.003 | C18H30O3 | 294.2198 | 4.116 | ZFVKKBAQVWQQHP-ALADIWIOSA-N |
| 7 | Hexadecanedioic acid | 7.541 | C16H30O4 | 286.2146 | 3.969 | QQHJDPROMQRDLA-UHFFFAOYSA-N |
| 8 | (9Z)-(13S)-12,13-Epoxyoctadeca-9,11-dienoicacid | 10.084 | C18H30O3 | 294.2198 | 3.547 | ZFVKKBAQVWQQHP-ALADIWIOSA-N |
| 9 | (7S,8S,9Z,12Z)-7,8-dihydroxyoctadeca-9,12-dienoic acid | 10.804 | C18H32O4 | 312.2304 | 3.513 | NMONGVDUESEHOK-MPOZZNMKSA-N |
| Dichloromethane/methanol extract | ||||||
| 1 | (9Z)-(12S,13R)-12,13-epoxyoctadecenoic acid | 10.583 | C18H32O3 | 296.2354 | 13.566 | CCPPLLJZDQAOHD-GJGKEFFFSA-N |
| 2 | (9Z)-(13S)-12,13-Epoxyoctadeca-9,11-dienoicacid | 10.812 | C18H30O3 | 294.2198 | 10.277 | ZFVKKBAQVWQQHP-ALADIWIOSA-N |
| 3 | 8-Hydroxyluteolin 4′-methyl ether 7-(6′-acetylallosyl) (1->2) (6′-acetylglucoside) | 9.18 | C32H36O19 | 724.183 | 9.5114 | ZXQCHXLLIKMUTB-WIFPZZFDSA-N |
| 4 | 9,10,13-trihydroxy-11-octadecenoicacid | 7.424 | C18H34O5 | 330.2411 | 7.2406 | NTVFQBIHLSPEGQ-BUHFOSPRSA-N |
| 5 | (9Z,15Z)-(13S)-12,13-Epoxyoctadeca-9,11,15-trienoicacid | 10.279 | C18H28O3 | 292.2042 | 5.3214 | YZBZORUZOSCZRN-DCUPSMFCSA-N |
| 6 | (7S,8S,9Z,12Z)-7,8-dihydroxyoctadeca-9,12-dienoic acid | 10.814 | C18H32O4 | 312.2305 | 3.017 | NMONGVDUESEHOK-MPOZZNMKSA-N |
| 7 | Hexadecanedioic acid | 7.544 | C16H30O4 | 286.2146 | 2.5871 | QQHJDPROMQRDLA-UHFFFAOYSA-N |
| 8 | (9Z)-(13S)-12,13-Epoxyoctadeca-9,11-dienoicacid | 10.083 | C18H30O3 | 294.2198 | 2.5798 | ZFVKKBAQVWQQHP-ALADIWIOSA-N |
| (b) ESI+ | ||||||
| S. No. | Compound Name | RT (Min) | Formula | M/Z | Peak Area (%) 1 | InChI Key |
| Methanol extract | ||||||
| 1 | 2-Hydroxy-N,N,N-trimethylethan-1-aminium | 0.583 | C5H13NO | 103.0995 | 8.911 | OEYIOHPDSNJKLS-UHFFFAOYSA-N |
| 2 | 3-[(3S,4S,21R)-14-Ethyl-21-(methoxycarbonyl)-4,8,13,18-tetramethyl-20-oxo-9-vinyl-3-phorbinyl]propanoic acid | 12.36 | C35H36N4O5 | 592.2683 | 7.014 | RKEBXTALJSALNU-LDCXZXNSSA-N |
| 3 | Hexadecanoic acid | 8.206 | C16H32O2 | 273.2665 | 4.653 | IPCSVZSSVZVIGE-UHFFFAOYSA-N |
| 4 | (2R,3S,4S,5S,6R)-2-({7-hydroxy-4-[(3Z)-5-hydroxy-3-methylpent-3-en-1-yl]-4a,8,8-trimethyl-3-methylidene-decahydronaphthalen-2-yl}oxy)-6-(hydroxymethyl)oxane-3,4,5-triol | 4.895 | C26H44O8 | 506.2886 | 3.283 | |
| 5 | (9Z)-Hexadec-9-enoic acid | 10.037 | C16H30O2 | 276.2089 | 2.004 | SECPZKHBENQXJG-UHFFFAOYSA-N |
| Acetone extract | ||||||
| 1 | 3-[(3S,4S,21R)-14-Ethyl-21-(methoxycarbonyl)-4,8,13,18-tetramethyl-20-oxo-9-vinyl-3-phorbinyl]propanoic acid | 12.365 | C35H36N4O5 | 592.2684 | 9.229 | RKEBXTALJSALNU-LDCXZXNSSA-N |
| 2 | methyl (3β,16β,17α,18β,20α)-11,17-dimethoxy-18-[(3,4,5-trimethoxybenzoyl)oxy]yohimban-16-carboxylate | 12.152 | C33H40N2O9 | 608.2622 | 5.105 | QEVHRUUCFGRFIF-MDEJGZGSSA-N |
| 3 | 2-Hydroxy-N,N,N-trimethylethan-1-aminium | 0.583 | C5H13NO | 103.0995 | 3.663 | OEYIOHPDSNJKLS-UHFFFAOYSA-N |
| 4 | Hexadecanoic acid | 8.206 | C16H32O2 | 273.2668 | 3.301 | IPCSVZSSVZVIGE-UHFFFAOYSA-N |
| 5 | 3-[(3S,4S,21R)-14-Ethyl-21-(methoxycarbonyl)-4,8,13,18-tetramethyl-20-oxo-9-vinyl-3-phorbinyl]propanoic acid | 12.549 | C35H36N4O5 | 592.2684 | 2.713 | RKEBXTALJSALNU-LDCXZXNSSA-N |
| 6 | (2R,3S,4S,5S,6R)-2-({7-hydroxy-4-[(3Z)-5-hydroxy-3-methylpent-3-en-1-yl]-4a,8,8-trimethyl-3-methylidene-decahydronaphthalen-2-yl}oxy)-6-(hydroxymethyl)oxane-3,4,5-triol | 4.887 | C26H44O8 | 506.2885 | 2.119 | |
| Ethyl acetate extract | ||||||
| 1 | 3-[(3S,4S,21R)-14-Ethyl-21-(methoxycarbonyl)-4,8,13,18-tetramethyl-20-oxo-9-vinyl-3-phorbinyl]propanoic acid | 12.367 | C35H36N4O5 | 592.2681 | 12.56 | RKEBXTALJSALNU-LDCXZXNSSA-N |
| 2 | methyl (3β,16β,17α,18β,20α)-11,17-dimethoxy-18-[(3,4,5-trimethoxybenzoyl)oxy]yohimban-16-carboxylate | 12.152 | C33H40N2O9 | 608.2624 | 5.663 | QEVHRUUCFGRFIF-MDEJGZGSSA-N |
| 3 | Hexadecanoic acid | 8.208 | C16H32O2 | 273.2667 | 5.587 | IPCSVZSSVZVIGE-UHFFFAOYSA-N |
| 4 | Bis(methylbenzylidene)sorbitol | 7.809 | C22H26O6 | 386.1725 | 3.821 | WOOQSKAMMPIQIW-HCXPZJNHSA-N |
| 5 | Unknown | 12.549 | C35H36N4O5 | 592.2681 | 3.169 | OINDWIFDMFYGDX-LDCXZXNSSA-N |
| Ethanol extract | ||||||
| 1 | Unknown | 12.363 | C38H35F3N2O | 592.2682 | 8.414 | |
| 2 | 2-Hydroxy-N,N,N-trimethylethan-1-aminium | 0.584 | C5H13NO | 103.0995 | 6.534 | OEYIOHPDSNJKLS-UHFFFAOYSA-N |
| 3 | (2R,3S,4S,5S,6R)-2-({7-hydroxy-4-[(3Z)-5-hydroxy-3-methylpent-3-en-1-yl]-4a,8,8-trimethyl-3-methylidene-decahydronaphthalen-2-yl}oxy)-6-(hydroxymethyl)oxane-3,4,5-triol | 4.898 | C26H44O8 | 506.2887 | 4.339 | |
| 4 | Hexadecanoic acid | 8.21 | C16H32O2 | 273.2668 | 3.981 | IPCSVZSSVZVIGE-UHFFFAOYSA-N |
| 5 | methyl (3β,16β,17α,18β,20α)-11,17-dimethoxy-18-[(3,4,5-trimethoxybenzoyl)oxy]yohimban-16-carboxylate | 12.152 | C33H40N2O9 | 608.2623 | 3.057 | QEVHRUUCFGRFIF-MDEJGZGSSA-N |
| 6 | 3-[(3S,4S,21R)-14-Ethyl-21-(methoxycarbonyl)-4,8,13,18-tetramethyl-20-oxo-9-vinyl-3-phorbinyl]propanoic acid | 12.55 | C35H36N4O5 | 592.2682 | 2.644 | RKEBXTALJSALNU-LDCXZXNSSA-N |
| Dichloromethane/methanol extract | ||||||
| 1 | Unknown | 13.965 | C23H30ClN7O2S2 | 535.1584 | 23.76 | |
| 2 | (Z)-docos-13-enamide | 12.806 | C22H43NO | 337.3346 | 4.218 | UAUDZVJPLUQNMU-KTKRTIGZSA-N |
| 3 | 2-[[(5S,6R,9S)-14-[[(2-fluoroanilino)-oxomethyl]amino]-5-methoxy-3,6,9-trimethyl-2-oxo-11-oxa-3,8-diazabicyclo[10.4.0]hexadeca-1(12),13,15-trien-8-yl]methyl]benzoic acid | 11.623 | C32H37FN4O6 | 592.2678 | 2.383 | |
| 4 | Unknown | 13.966 | C21H35ClFN7S3 | 535.1805 | 2.087 | |
| S. No. | Compound Name | RT (Min) | Formula | Peak Area (%) 1 | Inchi Key |
|---|---|---|---|---|---|
| Methanol extract | |||||
| 1 | Propane-1,2,3-triol (3TMS) | 15.69 | C12H32O3Si3 | 3.5288 | PEDCQBHIVMGVHV-UHFFFAOYSA-N |
| 2 | Hexadecanoic acid (TMS) | 30.66 | C19H40O2Si | 2.9008 | IPCSVZSSVZVIGE-UHFFFAOYSA-N |
| 3 | (3S,4R,5R)-1,3,4,5,6-Pentahydroxyhexan-2-one (methyloxime 5TMS) | 27.72 | C22H55NO6Si5 | 2.7562 | RFSUNEUAIZKAJO-VRPWFDPXSA-N |
| 4 | (3S,4S,5R)-1,3,4,5,6-Pentahydroxy-hexan-2-one | 27.90 | C6H12O6 | 2.1988 | RFSUNEUAIZKAJO-VRPWFDPXSA-N |
| 5 | 4-Hydroxyquinoline-2-carboxylic acid (2TMS) | 30.97 | C16H23NO3Si2 | 2.1261 | HCZHHEIFKROPDY-UHFFFAOYSA-N |
| 6 | (3S,4S,5S,6R)-6-(hydroxymethyl)oxane-2,3,4,5-tetrol (methyloxime 5TMS) | 28.17 | C22H55NO6Si5 | 2.0817 | WQZGKKKJIJFFOK-UHFFFAOYNA-N |
| Dichloromethane/methanol extract | |||||
| 1 | Octadecanoic acid (TMS) | 33.55 | C21H44O2Si | 3.7416 | QIQXTHQIDYTFRH-UHFFFAOYSA-N |
| 2 | Propane-1,2,3-triol (3TMS) | 15.33 | C12H32O3Si3 | 3.5086 | PEDCQBHIVMGVHV-UHFFFAOYSA-N |
| 3 | Hexadecanoic acid (TMS) | 30.58 | C19H40O2Si | 3.5085 | IPCSVZSSVZVIGE-UHFFFAOYSA-N |
| 4 | Tetradecanoic acid | 33.56 | C14H28O2 | 2.4111 | TUNFSRHWOTWDNC-UHFFFAOYSA-N |
| 5 | 1,3-Diazinane-2,4-dione (2TMS) | 12.26 | C10H22N2O2Si2 | 2.098 | OIVLITBTBDPEFK-UHFFFAOYSA-N |
| Ethanol extract | |||||
| 1 | Propane-1,2,3-triol (3TMS) | 15.69 | C12H32O3Si3 | 3.705 | PEDCQBHIVMGVHV-UHFFFAOYSA-N |
| 2 | Hexadecanoic acid (TMS) | 30.66 | C19H40O2Si | 3.3054 | IPCSVZSSVZVIGE-UHFFFAOYSA-N |
| 3 | Octadecanoic acid (TMS) | 33.64 | C21H44O2Si | 2.649 | QIQXTHQIDYTFRH-UHFFFAOYSA-N |
| 4 | (2S,3R,4S,5R,6R)-6-(hydroxymethyl)oxane-2,3,4,5-tetrol | 28.85 | C6H12O6 | 2.4626 | WQZGKKKJIJFFOK-UHFFFAOYNA-N |
| Acetone extract | |||||
| 1 | Hexadecanoic acid (TMS) | 30.66 | C19H40O2Si | 4.107 | IPCSVZSSVZVIGE-UHFFFAOYSA-N |
| 2 | Octadecanoic acid (TMS) | 33.644 | C21H44O2Si | 2.7569 | QIQXTHQIDYTFRH-UHFFFAOYSA-N |
| 3 | Propane-1,2,3-triol (3TMS) | 15.69 | C12H32O3Si3 | 2.3189 | PEDCQBHIVMGVHV-UHFFFAOYSA-N |
| 4 | 1,3-Diazinane-2,4-dione (2TMS) | 12.30 | C10H22N2O2Si2 | 1.9999 | OIVLITBTBDPEFK-UHFFFAOYSA-N |
| Ethyl acetate extract | |||||
| 1 | 1,3-Diazinane-2,4-dione (2TMS) | 12.33 | C10H22N2O2Si2 | 7.8011 | OIVLITBTBDPEFK-UHFFFAOYSA-N |
| 2 | Hexadecanoic acid (TMS) | 30.66 | C19H40O2Si | 3.6583 | IPCSVZSSVZVIGE-UHFFFAOYSA-N |
| Class Group | Ace | DCM/MeOH | EA | EtOH | MeOH | ChemOnt ID |
|---|---|---|---|---|---|---|
| 1,2-aminoalcohols | − | + | − | + | + | 0001897 |
| 1,2-diols | − | − | − | + | − | 0002467 |
| Acylaminosugars | − | − | − | − | + | 0000146 |
| Alkali metal pyrophosphates | − | − | − | − | + | 0000657 |
| Amino acids | − | + | − | + | + | 0004176 |
| Amino Fatty Acids | − | + | − | − | + | 0000489 |
| Benzoic acids | + | + | + | + | + | 0002565 |
| Beta hydroxy acids | − | − | − | + | + | 0001713 |
| Branched Fatty Acids | − | − | − | − | + | 0000338 |
| Butenolides | − | + | − | − | + | 0002223 |
| Cyclitols | + | + | − | + | + | 0004344 |
| Dicarboxylic acids | + | + | + | + | + | 0000346 |
| Disaccharides | − | + | − | − | + | 0001542 |
| Fatty acids and conjugates | + | + | + | + | + | 0000262 |
| Hippuric acids | + | + | − | + | + | 0001318 |
| Hydroxy Fatty Acids | + | + | + | + | + | 0000341 |
| Hydroxybenzaldehydes | − | − | − | − | + | 0003978 |
| Hydroxybenzoic acids | − | + | − | + | + | 0001248 |
| Monoalkylamines | − | − | − | + | + | 0000469 |
| Monosaccharides | + | + | − | + | + | 0001540 |
| o-Xylenes | + | − | − | − | − | 0004210 |
| Organic acids | + | + | + | + | + | 0000264 |
| Pyridines | + | + | + | + | + | 0000089 |
| Pyrimidine ribonucleoside diphosphates | − | − | − | − | + | 0001621 |
| Pyrimidines | + | + | + | + | + | 0000075 |
| Pyrroline carboxylic acids | + | + | − | + | + | 0002417 |
| Quinoline carboxylic acids | − | − | − | − | + | 0002552 |
| Salicylic acids | − | − | − | − | + | 0002514 |
| Sugar acids | − | + | − | − | + | 0000215 |
| Sugar alcohols | + | + | + | + | + | 0002210 |
| Ureas | − | − | − | + | + | 0000517 |
Publisher’s Note: MDPI stays neutral with regard to jurisdictional claims in published maps and institutional affiliations. |
© 2022 by the authors. Licensee MDPI, Basel, Switzerland. This article is an open access article distributed under the terms and conditions of the Creative Commons Attribution (CC BY) license (https://creativecommons.org/licenses/by/4.0/).
Share and Cite
Al-Nemi, R.; Makki, A.A.; Sawalha, K.; Hajjar, D.; Jaremko, M. Untargeted Metabolomic Profiling and Antioxidant Capacities of Different Solvent Crude Extracts of Ephedra foeminea. Metabolites 2022, 12, 451. https://doi.org/10.3390/metabo12050451
Al-Nemi R, Makki AA, Sawalha K, Hajjar D, Jaremko M. Untargeted Metabolomic Profiling and Antioxidant Capacities of Different Solvent Crude Extracts of Ephedra foeminea. Metabolites. 2022; 12(5):451. https://doi.org/10.3390/metabo12050451
Chicago/Turabian StyleAl-Nemi, Ruba, Arwa A. Makki, Khaled Sawalha, Dina Hajjar, and Mariusz Jaremko. 2022. "Untargeted Metabolomic Profiling and Antioxidant Capacities of Different Solvent Crude Extracts of Ephedra foeminea" Metabolites 12, no. 5: 451. https://doi.org/10.3390/metabo12050451
APA StyleAl-Nemi, R., Makki, A. A., Sawalha, K., Hajjar, D., & Jaremko, M. (2022). Untargeted Metabolomic Profiling and Antioxidant Capacities of Different Solvent Crude Extracts of Ephedra foeminea. Metabolites, 12(5), 451. https://doi.org/10.3390/metabo12050451

