Abstract
Benign prostatic hyperplasia (BPH) and prostatitis are multifactorial urological disorders associated with chronic inflammation, oxidative stress, and androgenic imbalance. Dysphania ambrosioides (L.) Mosyakin & Clemants contains flavonoids and phenolic acids with well-recognised antioxidant and anti-inflammatory properties; however, its potential activity against the molecular targets of these prostatic disorders has not been systematically evaluated. A comparative quantitative analysis was performed using studies published between 2005 and 2025 that reported antioxidant activity (DPPH assay, IC50 in µg/mL) of D. ambrosioides extracts. Metabolites from extracts with IC50 values below the global mean (398.410 ± 81.810 µg/mL; n = 35) were selected for in silico prioritisation using OSIRIS, PASS, and ProTox 3.0, followed by molecular docking (CB-Dock2) against AR, 5AR2, COX-2, NLRP3, and α1A receptors. Luteolin and rosmarinic acid showed favourable binding energies (−9.5 to −7.7 kcal/mol) comparable in magnitude to reference drugs (finasteride −13.4, celecoxib −11.4, tamsulosin −7.3 kcal/mol). These metabolites, exhibited affinity for androgenic, inflammatory, and adrenergic targets, suggesting their potential to modulate key mechanisms underlying both BPH and prostatitis. This study integrates, for the first time, a quantitative assessment of antioxidant activity with a multitarget in silico analysis of D. ambrosioides, prioritising luteolin and rosmarinic acid as natural candidates with potential antioxidant, anti-inflammatory, and antiandrogenic properties relevant to prostatic health.
1. Introduction
Benign prostatic hyperplasia (BPH) and prostatitis are highly prevalent urological disorders that mainly affect men over the age of 40. Prostatitis, which frequently coexists with BPH, involves persistent prostatic inflammation that can exacerbate oxidative stress and contribute to the progression of hyperplastic and inflammatory lesions. Their incidence progressively increases with ageing, reaching an estimated prevalence of approximately 43% among individuals aged 60–69 and up to 80% in men older than 70 years, representing one of the leading causes of morbidity in elderly males [1].
BPH is characterised by a non-malignant proliferation of the prostatic epithelium and stroma cells, which leads to lower urinary tract symptoms (LUTs), decreased urinary flow, and a deterioration in quality of life [2]. It is considered a multifactorial disease in which hormonal, inflammatory, and oxidative factors converge. Chronic inflammation and persistent oxidative stress contribute to the hyperplastic microenvironment through activation of pro-inflammatory pathways such as NF-κB, which promote cellular proliferation and resistance to apoptosis [2,3].
Metabolic comorbidities such as obesity and insulin resistance exacerbate prostatic inflammation through cytokines including TNF-α, IL-1β, and IL-6, thereby enhancing oxidative damage and accelerating prostatic growth [4]. These mechanisms suggest that simultaneous modulation of the redox and inflammatory axes could represent a more effective therapeutic strategy than treatments focused solely on androgen inhibition.
Conventional drugs such as α-adrenergic blockers and 5α-reductase inhibitors (finasteride and dutasteride) provide symptomatic relief but fail to correct the underlying redox–inflammatory imbalance. Moreover, they are associated with metabolic and sexual adverse effects upon long-term use. In this context, natural products represent a valuable source of bioactive compounds with therapeutic potential against BPH and prostatitis due to their antioxidant, anti-inflammatory, and androgen receptor-modulating properties [5].
Dysphania ambrosioides (L). Mosyakin & Clemants, commonly known as “epazote” or “wormseed,” is widely distributed across tropical and subtropical regions. Traditionally, this plant has been used in several cultures for the treatment of inflammatory and urinary disorders. In Nigeria, it is employed in traditional medicine for prostate-related ailments, including prostate cancer [6], while in Peru it is used to manage urinary tract inflammation and infections and to promote general detoxification and digestive health [7]. Extensive ethnopharmacological knowledge of D. ambrosioides supports its consideration as a potential source of bioactive compounds for urological therapy.
Phytochemicals studies have revealed that D. ambrosioides contain diverse monoterpenes and flavonoids with notable anti-inflammatory and antioxidant potential [8,9]. Advanced BPH can cause urinary flow obstruction, leading to chronic urinary retention that, in severe cases, may result in kidney damage. This impairment typically manifests with elevated serum creatinine levels. In contrast, preclinical studies have shown that prolonged administration of D. ambrosioides tea significantly reduces these levels, supporting its safety profile for use in urological disorders [10].
Moreover, chronic prostatitis shares common inflammatory and oxidative mechanism with BPH, particularly the activation of NF-κB and NLRP3 pathways, suggesting that natural antioxidants may exert dual benefits in both disorders. Given the increasing evidence linking oxidative stress to BPH progression [2], the present study proposes a multitarget in silico approach to identify D. ambrosioides metabolites exhibiting affinity for the main prostatic targets (AR, 5AR2, COX-2, NLRP3, and α1A) (see Figure 1). Several flavonoids, such as quercetin, luteolin, and rutin, as well as phenolic acids including rosmarinic acid, have been reported to inhibit COX-2, reduce the generation of reactive oxygen species (ROS), and modulate androgen receptor (AR) signalling, showing activity comparable to classical pharmacological agents [11]. However, these compounds have not been evaluated in an integrated manner within the context of D. ambrosioides nor against multiple targets associated with BPH. Therefore, this computational approach aims to identify to natural metabolites from D. ambrosioides with pharmacological potential, comparable to reference drugs, and to support their future validation through enzymatic, cellular, and in vivo studies.
Figure 1.
Pathophysiological axes in BPH and antioxidant targets of D. ambrosioides. Color code: Red boxes indicate pro-inflammatory or pathological processes associated with BPH and chronic prostatitis. Green boxes indicate antioxidant and protective effects attributed to Dysphania ambrosioides. Arrows represent activation or influence between biological processes. The chemical structures of luteolin and rosmarinic acid were drawn using MarvinSketch 25.3.4 (ChemAxon Ltd., Budapest, Hungary) [12].
2. Materials and Methods
2.1. Search Strategy and Comparative Quantitative Analysis
A systematic search was conducted in PubMed, ScienceDirect, Wiley Online Library, and Google Scholar databases for the period 2005–2025, using the keywords: “Chenopodium ambrosioides AND antioxidant” and “Dysphania ambrosioides AND antioxidant”. A total of 106 records were initially identified. After removing duplicates (n = 24), 82 records were screened based on titles and abstracts. Studies that did not report quantitative IC50 data obtained from the DPPH assay were excluded (n = 47). The remaining 35 articles met the inclusion criteria, which required (1) experimental evaluation of DPPH radical scavenging activity, (2) IC50 values expressed in µg/mL, and (3) clear specification of the plant part and solvent used for extraction.
Data from these 35 studies were extracted, normalised, and statistically analysed using Python (v3.12.3). The arithmetic mean, standard error of the mean (SEM), and sample size (n) were calculated, resulting in a global mean IC50 value of 398.41 ± 81.81 µg/mL (n = 35). Among these, 14 extracts presented IC50 values below the global mean, indicating greater antioxidant potency. These extracts were prioritised for metabolite identification and subsequent in silico analysis.
Given the methodological heterogeneity among the included studies—such as differences in solvent polarity, plant part used, incubation time, and assay conditions—a descriptive quantitative approach was adopted. This strategy enabled the identification of general trends and the prioritisation of extracts with consistently high antioxidant activity for computational evaluation. The workflow summarising this systematic process is illustrated in Figure 2.
Figure 2.
PRISMA-like flow diagram illustrating the identification, screening, eligibility, and inclusion of studies in the quantitative synthesis of D. ambrosioides (DPPH assay, 2005–2025). Extracts with IC50 values below the global mean were prioritised for in silico analysis.
2.2. Data Processing and Statistical Analysis
IC50 values were organised in Microsoft Excel 365 and processed in Python (v3.12.3) using the libraries NumPy (v2.3.3), Pandas (v2.3.2), and Matplotlib (v3.10.6). Global averages and standard error intervals were computed. Comparative graphs and heatmaps were generated to visualise inter-study variability and highlight the most active extracts.
Due to the methodological heterogeneity among reports (different extraction techniques, concentrations, and experimental conditions), inferential statistical tests such as ANOVA or meta-regression were not applied. Instead, a descriptive comparative approach was employed to identify extracts of greater interest. All statistical analyses and visualisations were reproducible through scripts specifically developed for this study, which are provided as Supplementary Materials.
2.3. Retrieval and Standardisation of Chemical Structures
The phytochemical composition of D. ambrosioides was compiled from the peer-reviewed scientific literature. As this approach relies on heterogeneous methodologies and reporting standards, it may not fully reflect the complete chemical diversity of the species.
Metabolites associated with extracts presenting IC50 values below the global mean were retrieved from the PubChem database using the PubChemPy library (v1.0.5). For each compound, the compound identification number (CID), IUPAC name, molecular formula, and canonical SMILES representation were obtained.
The structures were validated and converted into a standardised format using RDKit (v2024.03.6). Molecular fingerprints (Morgan fingerprints, radius = 2208 bits) were generated to evaluate structural similarities through the Tanimoto index (threshold ≥ 0.85). Results were integrated into a standardised chemical database, which served as the input for the prioritisation and molecular docking analyses.
The selected metabolites correspond to compounds that are recurrently reported in the extracts exhibiting the highest antioxidant activity.
2.4. In Silico Prioritisation of Metabolites
To select metabolites with the highest pharmacological potential, a multicriteria approach combining three complementary platforms was applied: OSIRIS Property Explorer (https://www.organic-chemistry.org/prog/peo/) (accessed on 10 September 2025), PASS Online (https://way2drug.com/PassOnline/) (accessed on 10 September 2025) [13] and ProTox 3.0 (https://tox.charite.de/protox3/index.php?site=home) (accessed on 10 September 2025) [14].
The analysis was reformulated as a heuristic prioritisation process, indicating that the integration of OSIRIS, PASS, and ProTox results was based on the consistency of predictions across platforms rather than on a numerical average. This approach was adopted to minimise bias arising from differences in algorithmic design and predictive scales among the three systems.
In OSIRIS Property Explorer, the Drug-Score index was extracted, and toxicological alerts were normalised (green = 1, yellow = 0.5, red = 0). The OSIRIS score was calculated as the mean of the Drug-Score and toxicity index. In PASS Online, probabilities of activity (Pa) related to pharmacological functions relevant to BPH (testosterone 17β-dehydrogenase inhibition, prostaglandin E1 antagonism, and lipoprotein lipase inhibition) were obtained. Additionally, anti-inflammatory and oxidative stress-modulating activities (e.g., COX-2 inhibition and NLRP3 inflammasome regulation) were included to account for potential relevance to chronic prostatitis. The PASS score corresponded to the mean of these probabilities. In ProTox 3.0, hepatotoxicity and nephrotoxicity predictions were considered; molecules classified as “Inactive” were interpreted as safe (value = 1), whereas “Active” results were adjusted as (1—probability). The ProTox score was defined as the average of these indicators.
Finally, a Composite Score was calculated as the simple mean of the three normalised values. The selection threshold was set at the global average of the Composite Score (0.221 ± 0.016; n = 30). Compounds with values above this threshold were considered priorities for molecular docking.
2.5. Ligand Preparation
Selected metabolites and reference drugs (MCC950, finasteride, celecoxib, and tamsulosin) were downloaded from PubChem (https://pubchem.ncbi.nlm.nih.gov/) (accessed on 12 September 2025) in “.sdf” format. Structures were processed in Avogadro v1.2.0 (https://avogadro.cc/) (accessed on 12 September 2025) [15], where charge redundancies were removed, protonation was adjusted to physiological pH (7.4), and energy minimisation was performed using the MMFF94s force field. Ligands were then exported in “.mol2” format, ensuring energetically stable conformations compatible with molecular docking.
2.6. Target Protein Selection and Preparation
Five key proteins involved in the pathophysiology of benign prostatic hyperplasia (BPH) and prostatic inflammation were selected: the androgen receptor (AR, PDB: 2AM9) corresponding to the ligand-binding domain complexed with dihydrotestosterone; steroid 5α-reductase type 2 (5AR2, PDB: 7BW1), a human structure crystallised in complex with finasteride and NADPH; cyclooxygenase-2 (COX-2, PDB: 3LN1) complexed with celecoxib; the NLRP3 inflammasome complex (PDB: 7ALV), representing the NACHT domain bound to a selective inhibitor; and the α1A-adrenergic receptor (α1A, PDB: 7YMJ) complexed with tamsulosin.
The 3D structures were downloaded from the Protein Data Bank (PDB) (https://www.rcsb.org/) (accessed on 12 September 2025) using the “Fetch by ID” tool in UCSF Chimera v1.18 (https://www.cgl.ucsf.edu/chimera/) (accessed on 12 September 2025). Native ligands, water molecules, and non-essential ions were removed, preserving only polypeptide chains relevant to the active site. Hydrogens were added at physiological pH (7.4), and the processed proteins were saved in “.pdb” format (e.g., “7YMJ_cleaned.pdb”) for use in molecular docking analyses.
2.7. Molecular Docking Using CB-Dock2
Molecular docking was performed using the CB-Dock2 server (https://cadd.labshare.cn/cb-dock2/php/index.php) (accessed on 13 September 2025) [16], which automatically detects binding cavities and applies AutoDock Vina (v1.2.0) to estimate binding energies (kcal/mol). Initially, redocking of reference ligands (dihydrotestosterone, finasteride, celecoxib, MCC950, and tamsulosin) was performed to validate the protocol. The cavity with the lowest binding energy was defined as the canonical binding site, and its coordinates (x, y, z) and box dimensions were recorded. These parameters were uniformly applied for docking of all natural compounds, ensuring comparability and consistency of results. The protocol was validated through ligand superposition in UCSF Chimera using the MatchMaker tool(UCSF Chimera, version 1.18.), achieving RMSD values < 2.0 Å, which confirmed the model’s precision. The results (Vina scores, coordinates, and poses) were archived for subsequent structural analysis, supporting the identification of multitarget interactions relevant to BPH and prostatic inflammation.
2.8. Interaction Analysis
Ligand–protein interactions were analysed using BIOVIA Discovery Studio Visualizer 2021 v21.1.0.20298 (https://www.3ds.com/products/biovia/discovery-studio) (accessed on 14 September 2025), interaction types were classified according to their relevance following the hierarchy described in the BIOVIA DS Visualizer 2021 manual: hydrogen bonds > π-π stacking > π-cation/π-anion > π-sulphur > hydrophobic (Alkyl/π-Alkyl) > van der Waals. Results were compiled into a comparative table summarising the binding energies (Vina scores, kcal/mol) for each ligand across the five target proteins—AR (2AM9), 5AR2 (7BW1), COX-2 (3LN1), NLRP3 (7ALV), and α1A (7YMJ). Values were organised by compound and binding cavity (CurPocket C1), highlighting both reference ligands (dihydrotestosterone, finasteride, celecoxib, MCC950, and tamsulosin) and natural metabolites (rosmarinic acid and luteolin). This representation enabled comparison of relative affinities and multitarget profiles while corroborating the consistency of the docking protocol, particularly for targets associated with androgenic and inflammatory processes relevant to BPH and prostatitis.
2.9. Statistical Analysis
All quantitative data were processed and analysed using Python (v3.12.3) (https://www.python.org/) (accessed on 9 September 2025), and for antioxidant activity (DPPH assay, IC50 values in µg/mL), descriptive statistics were applied to estimate mean values and standard errors (mean ± SEM; n). Data visualisation was performed with matplotlib and seaborn libraries, generating comparative plots and heatmaps to illustrate inter-study variability and highlight the most active extracts.
For pharmacoinformatic evaluation, results from OSIRIS Property Explorer, PASS Online, and ProTox 3.0 were statistically summarised using the same descriptive approach (mean ± SEM; n), providing a global overview of score distributions.
3. Results
3.1. Comparative Quantitative Analysis of Antioxidant Activity
From the 14 selected articles, a global mean ± standard error of the mean (SEM) IC50 value of 398.410 ± 81.810 µg/mL (n = 35) was calculated for the DPPH assay, representing the average antioxidant activity of D. ambrosioides between 2013 and 2025.
The graphical analysis revealed marked variability among studies (Figure 3). Extracts reported by Barros et al. (2013) [17], Ait Sidi Brahim et al. (2015) [18], Zohra et al. (2019) [19], Ogunleye et al. (2020) [20], Ouadja et al. (2021) [21], Ez-Zriouli et al. (2023) [22], Annaz et al. (2023) [23], Drioua et al. (2024) [24], Sekede et al. (2024) [25], Ngolo et al. (2025) [26], and Everton et al. (2025) [27] exhibited IC50 values below the global mean, indicating higher antioxidant potency. In contrast, the studies of Maningkas et al. (2019) [28], Pandiangan et al. (2020) [29], and Kandsi et al. (2021) [30] and Kandsi et al. (2022) [31] reported higher IC50 values, reflecting lower antioxidant capacity, which was attributed to differences in extraction methods, solvent type, and the geographical origin of plant material.
Figure 3.
Heatmap of IC50 values (μg/mL) reported for D. ambrosioides in the DPPH assay. The numerical values represent the concentration required to achieve 50% antioxidant activity, where lighter tones indicate higher potency (lower IC50 values). The vertical scale displays the concentration range from 200 to 1800 μg/mL. Data correspond to studies published between 2013 and 2025. References shown in the figure: Barros et al. (2013) [17], Ait Sidi Brahim et al. (2015) [18], Maningkas et al. (2019) [28], Zohra et al. (2019) [19], Ogunleye et al. (2020) [20], Pandiangan et al. (2020) [29], Kandsi et al. (2021) [30], Ouadja et al. (2021) [21], Kandsi et al. (2022) [31], Annaz et al. (2023) [23], Ez-Zriouli et al. (2023) [22], Drioua et al. (2024) [24], Sekede et al. (2024) [25], Everton et al. (2025) [27] and Ngolo et al. (2025) [26].
From this comparative analysis, 41 metabolites were identified as being associated with the most active extracts (IC50 < 398.410 µg/mL). Among them, notable representatives included monoterpenes ((+)-4-carene, isopinocampheol, ascaridole), unsaturated fatty acids ((E)-palmitoleic, linolenic, and linoleic acids), phenolic compounds (rosmarinic acid, syringic acid, phenol), and flavonoids (kaempferol, quercetin, luteolin, myricetin, and rutin). Of these, 30 metabolites (≈73.17%) were successfully standardised using PubChemPy and RDKit, yielding a harmonised database for subsequent in silico prioritisation and molecular docking analyses.
3.2. Pharmacoinformatic Evaluation and Prioritisation of Metabolites
The pharmacoinformatic assessment conducted using OSIRIS Property Explorer, PASS Online, and ProTox 3.0 enabled the calculation of an average Composite Score of 0.220 ± 0.016 (n = 30), which served as the selection threshold. Metabolites with values exceeding this threshold were considered priority candidates for molecular docking analysis.
Among the compounds showing the best overall performance, luteolin and rosmarinic acid were particularly noteworthy, as they combined the following characteristics:
- High probability of biological activity (Pa > 0.6 in PASS Online);
- Absence of significant toxicological alerts (green classification in OSIRIS);
- Favourable hepatic and renal safety predictions in ProTox 3.0.
These metabolites exhibited multitarget and pharmacologically safe profiles, thereby justifying their selection for docking experiments against the androgen receptor (AR), steroid 5α-reductase type 2 (5AR2), cyclooxygenase-2 (COX-2), NLRP3 inflammasome, and α1A-adrenergic receptor.
To facilitate interpretation of the prioritisation results, Table 1 presents the sixteen metabolites with the highest Composite Score values, calculated across the OSIRIS Property Explorer, PASS Online, and ProTox 3.0 platforms. Compounds with scores above the global mean (0.220 ± 0.016; n = 30) were considered of greater pharmacological relevance and were selected for molecular docking analyses.
Table 1.
Ranking of the sixteen metabolites with the highest Composite Score values, derived from the normalised mean of the OSIRIS Property Explorer, PASS Online, and ProTox 3.0 indices.
3.3. Multitarget Molecular Docking
The molecular docking analysis performed using CB-Dock2 confirmed competitive binding affinities between the natural metabolites of D. ambrosioides and the reference drugs employed to validate the protocol (Table 2). Binding energies ranged from −13.4 to −8.1 kcal/mol across all evaluated proteins. As expected, the reference ligands displayed the lowest energy values dihydrotestosterone (−10.9), finasteride (−13.4), celecoxib (−11.4), MCC950 (−10.6), and tamsulosin (−7.3 kcal/mol), thereby confirming the validity of the model and the precision of the canonical binding site (CurPocket C1).
Table 2.
Binding energies (Vina scores, kcal/mol) of reference drugs and D. ambrosioides metabolites against the five target proteins associated with benign prostatic hyperplasia (BPH).
Among the natural metabolites, rosmarinic acid and luteolin exhibited binding affinities ranging from −9.5 to −7.7 kcal/mol, values comparable to those of the pharmacological controls. Both compounds demonstrated clear multitarget binding profiles across the five target proteins: androgen receptor (2AM9), steroid 5α-reductase type 2 (7BW1), cyclooxygenase-2 (COX-2, 3LN1), NLRP3 inflammasome (7ALV), and α1A-adrenergic receptor (7YMJ). Notably, rosmarinic acid displayed the strongest affinity within the androgenic axis (AR/5AR2), whereas luteolin exhibited a more versatile binding profile, interacting effectively with both inflammatory (COX-2, NLRP3) and adrenergic (α1A) targets.
These interactions suggest that luteolin, in particular, could modulate key inflammatory pathways implicated not only in BPH but also in chronic prostatitis, supporting its potential as a dual-acting phytochemical candidate.
3.3.1. Androgen Receptor (AR, PDB: 2AM9)
Rosmarinic acid exhibited a binding affinity of −9.1 kcal/mol towards the androgen receptor (2AM9). The compound formed hydrogen bonds with LEU704, ARG752, and LEU873, as well as carbon-hydrogen interactions with PHE764, VAL746, and THR877. Hydrophobic contacts (Alkyl/π-Alkyl) with LEU704, MET745, MET780, and LEU873, along with a π-sulphur interaction with MET742. Additionally, van der Waals contacts were observed with LEU701, ASN705, LEU707, GLY708, GLN711, TRP741, MET749, MET787, PHE876, LEU880, MET895, and ILE899, reproducing the binding mode of dihydrotestosterone (control, −10.9 kcal/mol) (Figure 4). The superposition with the co-crystallised ligand revealed an RMSD value below 2 Å, confirming accurate spatial alignment within the canonical binding pocket.
Figure 4.
(AR): (a) Interactions of rosmarinic acid with the androgen receptor (AR, 2AM9). Hydrogen bonds are observed with LEU704, ARG752, and LEU873, together with hydrophobic contacts (Alkyl/π-Alkyl) involving LEU704, MET745, MET780, and LEU873, π–sulphur interactions with MET742, and van der Waals contacts with multiple residues within the active site. (b) The ligand orientation replicates the binding mode of dihydrotestosterone (control, −10.9 kcal/mol). Colour/interaction code: Dark green dashed lines indicate conventional hydrogen bonds; light green dashed lines represent carbon–hydrogen bonds; pink dashed lines indicate hydrophobic (alkyl/π–alkyl) or π–π stacking interactions; yellow dashed lines represent π–sulphur interactions; and pale green shading indicates van der Waals contacts, which are not specifically represented by lines.
3.3.2. Steroid 5α-Reductase Type 2 (5AR2, PDB: 7BW1)
Luteolin exhibited a binding affinity of −9.4 kcal/mol with steroid 5α-reductase type 2 (7BW1). The compound formed hydrogen bonds with GLN56, TYR91, and GLU197, in addition to hydrophobic contacts with LEU224. Van der Waals interactions were observed with SER031, TYR033, TRP053, GLU057, TYR107, LEU111, GLY115, TRP201, PHE216, PHE219, and SER220, while a π-π stacking interaction with PHE223 further stabilised the complex, reproducing the binding mode of finasteride (−13.4 kcal/mol) (Figure 5). The superposition with the co-crystallised ligand revealed an RMSD value below 2 Å, confirming consistent alignment within the canonical binding pocket.
Figure 5.
(5AR2): (a) Interactions of luteolin with steroid 5α-reductase type 2 (5AR2, 7BW1). Hydrogen bonds are observed with GLN56, TYR91, and GLU197, together with hydrophobic interactions involving LEU224, and a π-π stacking interaction with PHE223, along with van der Waals contacts with TRP053, GLU057, PHE219, and SER220, among others. (b) The binding affinity (−9.4 kcal/mol) was comparable to that of the control compound finasteride (−13.4 kcal/mol). Colour/interaction code: Dark green dashed lines indicate conventional hydrogen bonds; light green dashed lines represent carbon–hydrogen bonds; pink dashed lines indicate hydrophobic (alkyl/π–alkyl) or π–π stacking interactions; copper-coloured dashed lines correspond to π–anion or attractive charge interactions; and pale green shading indicates van der Waals contacts, which are not specifically represented by lines.
3.3.3. Cyclooxygenase-2 (COX-2, PDB: 3LN1)
Luteolin (−9.5 kcal/mol) formed hydrogen bonds with TYR341, ILE503, and SER516, as well as hydrophobic interactions with VAL335, LEU338, and ALA502. Additional π–σ interactions were observed with VAL509 and LEU338, reproducing the binding mode of celecoxib (control, −11.4 kcal/mol) within the catalytic site of COX-2 (Figure 6). The superposition with the co-crystallised ligand showed an RMSD < 2 Å, confirming precise spatial alignment within the active site.
Figure 6.
(COX-2): (a) Interactions of luteolin with COX-2 (3LN1). Hydrogen bonds are observed with TYR341, ILE503, and SER516, along with hydrophobic contacts involving VAL335 and ALA502. π–σ interactions are also observed with LEU338 and VAL509, contributing to the stabilisation of the complex. (b) The binding pattern replicates the active site occupied by celecoxib (−11.4 kcal/mol). Colour/interaction code: Dark green dashed lines indicate conventional hydrogen bonds; light green dashed lines represent carbon–hydrogen bonds; pink dashed lines indicate hydrophobic (alkyl/π–alkyl) or π–π stacking interactions; purple dashed lines denote π–σ interactions; and pale green shading indicates van der Waals contacts, which are not specifically represented by lines.
3.3.4. NLRP3 (PDB: 7ALV)
Luteolin exhibited a binding affinity of −8.7 kcal/mol with NLRP3 (7ALV). The compound formed hydrogen bonds with ALA228, GLN624, and SER626, as well as π–cation/π–anion interactions involving GLU629 and TYR632, and a π-π stacking interaction with TYR632. This binding pattern closely resembled that of the selective inhibitor MCC950 (−9.0 kcal/mol), suggesting potential inflammasome inhibition (Figure 7). The superposition with the co-crystallised ligand displayed an RMSD < 2 Å, confirming accurate alignment within the canonical binding pocket.
Figure 7.
(NLRP3): (a) Interactions of luteolin with NLRP3 (7ALV). Hydrogen bonds are identified with ALA228, GLN624, and SER626, together with π–cation/π–anion interactions involving GLU629 and TYR632, and a π-π stacking interaction with TYR632, (b) analogous to the binding mode of the MCC950 inhibitor (−10.6 kcal/mol). Colour/interaction code: Dark green dashed lines indicate conventional hydrogen bonds; light green dashed lines represent carbon–hydrogen bonds; pink dashed lines indicate hydrophobic (alkyl/π–alkyl) or π–π stacking interactions; purple dashed lines denote π–σ interactions; copper-coloured dashed lines correspond to π–anion or attractive charge interactions; and pale green shading indicates van der Waals contacts, which are not specifically represented by lines.
3.3.5. α1A-Adrenergic Receptor (PDB: 7YMJ)
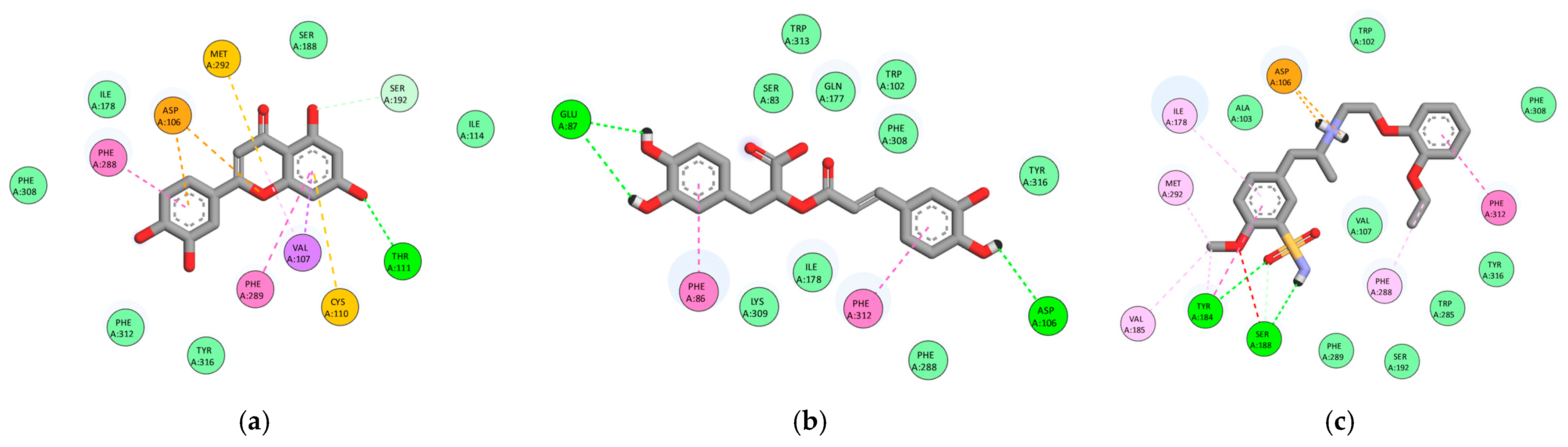
Luteolin and rosmarinic acid exhibited binding affinities of −7.7 kcal/mol, slightly higher than that of tamsulosin (−7.3 kcal/mol). Luteolin formed hydrogen bonds with THR111, π–anion interactions with ASP106, and π-π stacking interactions with PHE288 and PHE289, in addition to π–sulphur interactions with CYS110 and MET292. Rosmarinic acid, in turn, established hydrogen bonds with GLU87 and ASP106, π-π stacking interactions with PHE086 and PHE312, and van der Waals contacts with SER083, TRP102, GLN177, ILE178, PHE288, PHE308, LYS309, TRP313, and TYR316.
Both compounds partially reproduced the binding mode of tamsulosin, suggesting their potential role as smooth muscle relaxants in the prostate (Figure 8). The superposition with the co-crystallised ligand revealed an RMSD < 2 Å, confirming accurate alignment within the active site.
Figure 8.
(α1A): Interactions of luteolin and rosmarinic acid with the α1A-adrenergic receptor (7YMJ). (a) Luteolin forms hydrogen bonds with THR111, π–anion interactions with ASP106, π-π stacking interactions with PHE288/PHE289, and π–sulphur interactions with CYS110 and MET292. (b) Rosmarinic acid exhibits hydrogen bonds with GLU87 and ASP106, π-π stacking interactions with PHE086 and PHE312, and van der Waals contacts with residues within the transmembrane domain. (c) Both compounds displayed binding affinities (−7.7 kcal/mol) comparable to that of tamsulosin (−7.3 kcal/mol). Colour/interaction code: Dark green dashed lines indicate conventional hydrogen bonds; light green dashed lines represent carbon–hydrogen bonds; pink dashed lines indicate hydrophobic (alkyl/π–alkyl) or π–π stacking interactions; yellow dashed lines represent π–sulphur interactions; purple dashed lines denote π–σ interactions; copper-coloured dashed lines correspond to π–anion or attractive charge interactions; and pale green shading indicates van der Waals contacts, which are not specifically represented by lines.
3.4. Global Comparison of Binding Affinities
The integrated comparison of binding affinities demonstrated that the two major metabolites of D. ambrosioides exhibit consistent and competitive binding patterns relative to the pharmacological controls. Rosmarinic acid showed the highest affinity within the androgenic axis (AR/5AR2), whereas luteolin displayed greater versatility towards inflammatory (COX-2, NLRP3) and adrenergic (α1A) targets. Given that COX-2 and NLRP3 activation are central to the inflammatory cascade of chronic prostatitis, these results highlight luteolin as a particularly relevant anti-inflammatory candidate. Collectively, the findings confirm that D. ambrosioides represents a natural source of multitarget compounds with therapeutic potential against benign prostatic hyperplasia (BPH) and prostatitis, integrating antioxidant, anti-inflammatory, and androgen receptor-modulating properties.
4. Discussion
The variability observed among the IC50 values of Dysphania ambrosioides extracts reflects the methodological heterogeneity of antioxidant assays, influenced by differences in solvent polarity, extract concentrations, and experimental protocols. To minimise this bias, an empirical global IC50 threshold (398.41 ± 81.81 µg/mL, n = 35) was established from studies meeting homogeneous inclusion criteria. This approach enabled a more coherent comparison of antioxidant performance and facilitated the selection of compounds showing high reproducibility across reports.
Since the phytochemical composition of D. ambrosioides was derived from bibliographic sources rather than direct metabolomic analyses, the data are subject to reporting bias and lack independent quantitative validation. Therefore, future studies should integrate direct metabolomic profiling and standardised quantification to confirm the presence and relative abundance of the prioritised compounds.
The in silico approach, implemented through the OSIRIS, PASS, and ProTox platforms, allowed the prioritisation of metabolites with a favourable balance between pharmacological potential, bioavailability, and safety. The selected compounds did not exhibit any relevant mutagenic or hepatotoxic alerts, thereby reinforcing their feasibility as multitarget phytotherapeutic prototypes.
Furthermore, the results support the recognised interrelationship between oxidative stress and prostatic inflammation, two closely connected pathogenic processes in benign prostatic hyperplasia (BPH). The simultaneous modulation of these mechanisms could contribute to disrupting the characteristic redox–inflammatory cycle of the disease.
The molecular docking analysis confirmed that luteolin and rosmarinic acid exhibit high affinity towards the principal molecular targets involved in the pathophysiology of BPH and prostatitis. Both metabolites showed docking energies comparable to those of reference drugs—without implying biological equivalence—and reproduced key interactions within the active sites of the evaluated proteins, supporting their multitarget pharmacological potential.
In the androgen receptor (AR, 2AM9), dihydrotestosterone (DHT) displayed strong affinity through interactions with ARG752 and THR877, consistent with the findings of Al-Zobaidy et al. (2022) [32]. Similarly, rosmarinic acid formed hydrogen bonds with LEU704, ARG752, VAL746, and THR877, along with hydrophobic contacts involving MET745 and LEU873, partially replicating the DHT binding mode. These results suggest a possible competitive modulatory effect on AR, potentially interfering with androgen activation.
In 5α-reductase type 2 (5AR2, 7BW1), luteolin bound within the catalytic cavity, forming hydrogen bonds with GLN056, TYR091, and GLU197, a residue critical for the conversion of testosterone to DHT. This interaction partially mirrors the binding pattern of finasteride, whose crystal structure exhibits contacts with PHE223, PHE234, and TYR235, stabilising an NADP-dihydrofinasteride adduct within a closed catalytic pocket [33]. Consequently, rosmarinic acid may act as a dual modulator of AR and 5AR2, while luteolin could function as a competitive inhibitor of 5α-reduction.
In COX-2 (3LN1), luteolin formed hydrogen bonds with TYR341, ILE503, and SER516, together with π–σ interactions with LEU338 and VAL509, contributing to the stabilisation of the complex, partially reproducing the binding mode of celecoxib. These residues are essential for substrate oxidation and the anchoring of classical enzyme inhibitors, suggesting a possible competitive inhibition of pro-inflammatory prostaglandin synthesis [34]. Such inhibition could also mitigate the chronic inflammatory responses characteristic of prostatitis, where COX-2 overexpression plays a central role in prostaglandin-mediated pain and oedema.
Within the NLRP3 inflammasome (7ALV), luteolin established π–anion and π–cation interactions with GLU629 and TYR632, alongside hydrophobic contacts with ILE574, LEU628, and MET661, which could hinder oligomerisation of the NACHT domain, a key step in the activation of IL-1β and TNF-α. This binding pattern resembles that of the inhibitor MCC950, which interacts with ARG351, PRO352, TYR632, and MET661, stabilising a critical hydrophobic pocket [35]. The inhibition of NLRP3 activation is likewise relevant to prostatitis, as excessive inflammasome signalling amplifies IL-1β and TNF-α release, sustaining chronic prostatic inflammation.
In the α1A-adrenergic receptor (7MYJ), both luteolin and rosmarinic acid exhibited affinities comparable to tamsulosin (–7.3 kcal/mol). Luteolin formed hydrogen bonds with THR111, π–anion interactions with ASP106, π–sulphur interactions with CYS110 and MET292, and π–π stacking with PHE288 and PHE289, whereas rosmarinic acid formed hydrogen bonds with GLU087 and ASP106, π–π stacking interactions with PHE086 and PHE312, and van der Waals contacts with several residues within the transmembrane domain., and displayed π–π stacking with PHE086 and PHE312, suggesting a potential smooth-muscle-relaxing effect on prostatic tissue [36].
From an ethnopharmacological perspective, these findings are consistent with the traditional use of D. ambrosioides in urinary and prostatic disorders, reinforcing its therapeutic relevance. Both luteolin and rosmarinic acid are also found in other medicinal species such as Mentha x piperita [37] and Rosmarinus officinalis [38], where their antioxidant and anti-inflammatory properties have been extensively documented.
Overall, the integration of antioxidant evaluation, pharmacoinformatic prioritisation, and multitarget molecular docking provides a rational and reproducible framework for identifying bioactive metabolites with therapeutic potential. This approach represents an original contribution to the rational discovery of natural products applied to urological disorders.
Nevertheless, the findings reported herein should be regarded as predictive, as they are based exclusively on computational analyses. Experimental validation through enzymatic assays, cell-based studies, and in vivo models, as well as pharmacokinetic assessment and the investigation of potential synergistic effects between luteolin and rosmarinic acid, will be essential to confirm their therapeutic applicability against BPH and prostatitis.
5. Conclusions
From a translational perspective, the results of this study identify luteolin and rosmarinic acid as the most promising metabolites of D. ambrosioides for the intervention in benign prostatic hyperplasia (BPH) and prostatitis. These compounds exhibit competitive affinities with reference drugs and reproduce key interactions within the active sites of AR, 5AR2, COX-2, NLRP3, and α1A, suggesting a multitarget mechanism of action. Their combined antioxidant and anti-inflammatory profiles, together with their ability to modulate prostatic smooth muscle tone, support their potential as safe and synergistic natural candidates. By simultaneously targeting androgenic and inflammatory pathways, these metabolites could contribute to the integrated management of BPH and chronic prostatitis, providing a rationale for their experimental validation. Future studies should experimentally validate these findings and further explore their pharmacokinetic properties and formulation strategies and thereby confirm the activity of the prioritised compounds.
Supplementary Materials
The following supporting information can be downloaded at https://www.mdpi.com/article/10.3390/scipharm93040057/s1, Supplementary Material S1: Heatmap polarity analysis (IC50 ± SEM)—Python 3.12 reproducible notebook for comparative antioxidant analysis of Dysphania ambrosioides extracts (DPPH assay, 2005–2025). The script generates heatmaps and statistical summaries from IC50 data, identifying the most active extracts; Supplementary Material S2: Unique major compounds (clean and sorted)—Python 3.12 notebook for data cleaning and deduplication of the three main metabolites (Major_compound_1-3) from the meta-analysis dataset. Produces a harmonised list of unique compounds used for downstream analyse; Supplementary Material S3: PubChem SMILES retrieval (validated with RDKit)—notebook for automatic retrieval of PubChem SMILES and structural validation with RDKit, producing the standardised Smiles_compounds.csv used for pharmacoinformatic and docking analyses.
Author Contributions
Conceptualization, E.J.-F. and R.A.-V.; Investigation, E.J.-F., T.A.-S., A.A.V.-R., J.d.J.F.-M. and R.A.-V.; Data curation and analysis, T.A.-S. and A.A.V.-R.; Writing—original draft preparation, R.A.-V.; Writing—review and editing, E.J.-F., J.d.J.F.-M. and R.A.-V. All authors have read and agreed to the published version of the manuscript.
Funding
This research received no external funding.
Institutional Review Board Statement
Not applicable. This study did not involve humans or animals; all data were obtained from previously published studies and public databases.
Informed Consent Statement
Not applicable.
Data Availability Statement
All data supporting the findings of this study are available within the article and its Supplementary Materials. Additional datasets and code are available from the corresponding author upon reasonable request.
Acknowledgments
The authors acknowledge the technical support provided by the Faculty of Medicine of the Universidad Autónoma del Estado de Morelos (UAEM). The computational resources used in this work were supported by institutional infrastructure.
Conflicts of Interest
The authors declare no conflicts of interest.
References
- Garraway, W.M.; Collins, G.N.; Lee, R.J. High Prevalence of Benign Prostatic Hypertrophy in the Community. Lancet 1991, 338, 469–471. [Google Scholar] [CrossRef]
- Kaltsas, A.; Giannakas, T.; Stavropoulos, M.; Kratiras, Z.; Chrisofos, M. Oxidative Stress in Benign Prostatic Hyperplasia: Mechanisms, Clinical Relevance and Therapeutic Perspectives. Diseases 2025, 13, 53. [Google Scholar] [CrossRef]
- Choi, Y.-J.; Wedamulla, N.E.; Kim, S.-H.; Oh, M.; Seo, K.S.; Han, J.S.; Lee, E.J.; Park, Y.H.; Park, Y.J.; Kim, E.-K. Salvia Miltiorrhiza Bunge Ameliorates Benign Prostatic Hyperplasia through Regulation of Oxidative Stress via Nrf-2/HO-1 Activation. J. Microbiol. Biotechnol. 2024, 34, 1059–1072. [Google Scholar] [CrossRef]
- El-Sherbiny, M.; El-Shafey, M.; El-din El-Agawy, M.S.; Mohamed, A.S.; Eisa, N.H.; Elsherbiny, N.M. Diacerein Ameliorates Testosterone-Induced Benign Prostatic Hyperplasia in Rats: Effect on Oxidative Stress, Inflammation and Apoptosis. Int. Immunopharmacol. 2021, 100, 108082. [Google Scholar] [CrossRef] [PubMed]
- Kuzmenko, A.V.; Gyaurgiev, T.A.; Kuzmenko, V.V.; Kuzmenko, G.A. The use of antioxidants in combination therapy of chronic prostatitis. Urologiia 2024, 1, 162–167. [Google Scholar] [CrossRef]
- Pereira, W.S.; Ribeiro, B.P.; Sousa, A.I.P.; Serra, I.C.P.B.; Mattar, N.S.; Fortes, T.S.; Reis, A.S.; Silva, L.A.; Barroqueiro, E.S.B.; Guerra, R.N.M.; et al. Evaluation of the Subchronic Toxicity of Oral Treatment with Chenopodium ambrosioides in Mice. J. Ethnopharmacol. 2010, 127, 602–605. [Google Scholar] [CrossRef]
- Rain-Tree Nutrition, Inc. Epazote (Dysphania ambrosioides)—Worldwide Ethnomedical Uses; Rain-Tree Nutrition, Inc.: Carson City, NV, USA, 2025; Available online: https://www.rain-tree.com/epazote.htm (accessed on 3 October 2025).
- Lavisiony, H.; Giovanni, D.; Kenjiro, T.; Carlos, C.; Sahamastuti, A.A.T. Review of Botany, Phytochemical, and Pharmacological Effects of Dysphania ambrosioides. Indones. J. Life Sci. 2020, 2, 70–82. [Google Scholar] [CrossRef]
- Kandsi, F.; Lafdil, F.Z.; El Hachlafi, N.; Jeddi, M.; Bouslamti, M.; El Fadili, M.; Seddoqi, S.; Gseyra, N. Dysphania ambrosioides (L.) Mosyakin and Clemants: Bridging Traditional Knowledge, Photochemistry, Preclinical Investigations, and Toxicological Validation for Health Benefits. Naunyn-Schmiedeberg’s Arch. Pharmacol. 2024, 397, 969–1001. [Google Scholar] [CrossRef]
- Pandiangan, D.; Taghulihi, Y.; Nainggolan, N.; Yordan, G.; Nainggolan, I.C.; Nainggolan, E.A.; Tampubolon, P.Y.; Gobel, A.R.V.; Nainggolan, V.P.G.; Maliangkay, H.P.; et al. Pasote Plant Tea Bags (Dysphania ambrosioides L.) Have Kidney Creatinine Level Reduction Activity. AIP Conf. Proc. 2023, 2694, 050006. [Google Scholar] [CrossRef]
- Metri, N.A.; Mandl, A.; Paller, C.J. Harnessing Nature’s Therapeutic Potential: A Review of Natural Products in Prostate Cancer Management. Urol. Oncol. Semin. Orig. Investig. 2025, 43, 221–243. [Google Scholar] [CrossRef]
- Marvin, version 25.3.4; Marvin Was Used for Drawing Substructures; Chemaxon: Budapest, Hungary, 2025. Available online: https://www.chemaxon.com (accessed on 3 October 2025).
- Filimonov, D.A.; Lagunin, A.A.; Gloriozova, T.A.; Rudik, A.V.; Druzhilovskii, D.S.; Pogodin, P.V.; Poroikov, V.V. Prediction of the Biological Activity Spectra of Organic Compounds Using the PASS Online Web Resource. Chem. Heterocycl. Compd. 2014, 50, 444–457. [Google Scholar] [CrossRef]
- Banerjee, P.; Eckert, A.O.; Schrey, A.K.; Preissner, R. ProTox-II: A Webserver for the Prediction of Toxicity of Chemicals. Nucleic Acids Res. 2018, 46, W257–W263. [Google Scholar] [CrossRef]
- Hanwell, M.D.; Curtis, D.E.; Lonie, D.C.; Vandermeersch, T.; Zurek, E.; Hutchison, G.R. Avogadro: An Advanced Semantic Chemical Editor, Visualization, and Analysis Platform. J. Cheminform. 2012, 4, 17. [Google Scholar] [CrossRef]
- Liu, Y.; Grimm, M.; Dai, W.; He, X.; He, C.; Wang, S.; Zhang, Y. CB-Dock2: Improved Protein-Ligand Blind Docking by Integrating Cavity Detection, Docking and Homologous Template Fitting. Nucleic Acids Res. 2022, 50, W159–W164. [Google Scholar] [CrossRef]
- Barros, L.; Pereira, E.; Calhelha, R.C.; Dueñas, M.; Carvalho, A.M.; Santos-Buelga, C.; Ferreira, I.C.F.R. Bioactivity and Chemical Characterization in Hydrophilic and Lipophilic Compounds of Chenopodium ambrosioides L. J. Funct. Foods 2013, 5, 1732–1740. [Google Scholar] [CrossRef]
- Ait Sidi Brahim, M.; Fadli, M.; Hassani, L.; Boulay, B.; Markouk, M.; Bekkouche, K.; Abbad, A.; Ait Ali, M.; Larhsini, M. Chenopodium ambrosioides var. ambrosioides Used in Moroccan Traditional Medicine Can Enhance the Antimicrobial Activity of Conventional Antibiotics. Ind. Crops Prod. 2015, 71, 37–43. [Google Scholar] [CrossRef]
- Zohra, T.; Ovais, M.; Khalil, A.T.; Qasim, M.; Ayaz, M.; Shinwari, Z.K. Extraction Optimization, Total Phenolic, Flavonoid Contents, HPLC-DAD Analysis and Diverse Pharmacological Evaluations of Dysphania ambrosioides (L.) Mosyakin & Clemants. Nat. Prod. Res. 2019, 33, 136–142. [Google Scholar] [CrossRef] [PubMed]
- Ogunleye, G.S.; Fagbohun, O.F.; Babalola, O.O. Chenopodium ambrosioides var. ambrosioides Leaf Extracts Possess Regenerative and Ameliorative Effects against Mercury-Induced Hepatotoxicity and Nephrotoxicity. Ind. Crops Prod. 2020, 154, 112723. [Google Scholar] [CrossRef]
- Ouadja, B.; Katawa, G.; Toudji, G.A.; Layland, L.; Gbekley, E.H.; Ritter, M.; Anani, K.; Ameyapoh, Y.; Karou, S.D. Anti-Inflammatory, Antibacterial and Antioxidant Activities of Chenopodium ambrosioides L. (Chenopodiaceae) Extracts. J. Appl. Biosci. 2021, 162, 16764–16794. [Google Scholar] [CrossRef]
- Ez-Zriouli, R.; ElYacoubi, H.; Imtara, H.; Mesfioui, A.; ElHessni, A.; Al Kamaly, O.; Zuhair Alshawwa, S.; Nasr, F.A.; Benziane Ouaritini, Z.; Rochdi, A. Chemical Composition, Antioxidant and Antibacterial Activities and Acute Toxicity of Cedrus atlantica, Chenopodium ambrosioides and Eucalyptus camaldulensis Essential Oils. Molecules 2023, 28, 2974. [Google Scholar] [CrossRef]
- Annaz, H.; Abdelaal, S.; Mandour, D.A.; Mahdi, I.; Mahmoud, M.F.; Sobeh, M. Mexican Tea (Dysphania ambrosioides (L.) Mosyakin & Clemants) Seeds Attenuate Tourniquet-Induced Hind Limb Ischemia–Reperfusion Injury by Modulating ROS and NLRP3 Inflammasome Pathways. J. Funct. Foods 2023, 108, 105712. [Google Scholar] [CrossRef]
- Drioua, S.; El-Guourrami, O.; Assouguem, A.; Ameggouz, M.; Kara, M.; Ullah, R.; Bari, A.; Zahidi, A.; Skender, A.; Benzeid, H.; et al. Phytochemical Study, Antioxidant Activity, and Dermoprotective Activity of Chenopodium ambrosioides (L.). Open Chem. 2024, 22, 20230194. [Google Scholar] [CrossRef]
- Sekede, K.D.; Dermane, A.; Motto, E.A.; Kpoyizoun, P.K.; Metowogo, K.; Eklu-Gadegbeku, K. In Vitro Antioxidant, Anti-Inflammatory and Ex Vivo Nephroprotective Activities of Chenopodium ambrosioides. Int. J. Pharm. Phys. Chem. Nutr. Anal. (IJPPNA) 2024, 1, 9–15. [Google Scholar] [CrossRef]
- Ngolo, L.M.; Faraja, F.M.; Ngandu, O.K.; Kapepula, P.M.; Mutombo, S.M.; Tshitenge, T.B. Phytochemical Screening, UPLC Analysis, Evaluation of Synergistic Antioxidant and Antibacterial Efficacy of Three Medicinal Plants Used in Kinshasa, D.R. Congo. Sci. Rep. 2025, 15, 10083. [Google Scholar] [CrossRef]
- Everton, G.O.; Serejo, A.P.M.; Arruda, M.O.; Mattos, M.C.A.B.; Gomes, P.R.B.; Marinho, S.C.; Luz, D.A.; da Glória Almeida Bandeira, M.; Dantas, A.R.; Mouchrek Filho, V.E. Antioxidant and Anticancer Activity In Vitro of Chenopodium ambrosioides L. Essential Oil. In Open Science Research; Editora Científica: São Paulo, Brazil, 2025; Volume 19, pp. 48–63. ISBN 978-65-5360-944-0. [Google Scholar]
- Maningkas, P.; Pandiangan, D.; Kandou, F. Uji Antikanker Dan Antioksidan Ekstrak Metanol Daun Pasote (Dysphania ambrosioides L.) Anticancer and Antioxidant Test of Methanol Extract of Epazote Leaves (Dysphania ambrosioides L.). J. BIOS Logos 2019, 9, 102–110. [Google Scholar] [CrossRef]
- Pandiangan, D. Product Quality Test of Pasote Tea Bags Leaves Pasote (Dysphania ambrosioides): Comparison of Antioxidant Activities of Water Extract with Acetone Extract. Eur. J. Mol. Clin. Med. 2020, 7, 10. [Google Scholar]
- Kandsi, F.; Conte, R.; Marghich, M.; Lafdil, F.Z.; Alajmi, M.F.; Bouhrim, M.; Mechchate, H.; Hano, C.; Aziz, M.; Gseyra, N. Phytochemical Analysis, Antispasmodic, Myorelaxant, and Antioxidant Effect of Dysphania ambrosioides (L.) Mosyakin and Clemants Flower Hydroethanolic Extracts and Its Chloroform and Ethyl Acetate Fractions. Molecules 2021, 26, 7300. [Google Scholar] [CrossRef]
- Kandsi, F.; Elbouzidi, A.; Lafdil, F.Z.; Meskali, N.; Azghar, A.; Addi, M.; Hano, C.; Maleb, A.; Gseyra, N. Antibacterial and Antioxidant Activity of Dysphania ambrosioides (L.) Mosyakin and Clemants Essential Oils: Experimental and Computational Approaches. Antibiotics 2022, 11, 482. [Google Scholar] [CrossRef]
- Al-Zobaidy, M.J.; Al-Hussaniy, H.A.; Al-Tameemi, Z.S. In Silico Comparison between the Mutated and Wild-Type Androgen Receptors and Their Influence on the Selection of Optimum Androgenic Receptor Blockers for the Treatment of Prostate Cancer. F1000Research 2022, 11, 516. [Google Scholar] [CrossRef]
- Xiao, Q.; Wang, L.; Supekar, S.; Shen, T.; Liu, H.; Ye, F.; Huang, J.; Fan, H.; Wei, Z.; Zhang, C. Structure of Human Steroid 5α-Reductase 2 with the Anti-Androgen Drug Finasteride. Nat. Commun. 2020, 11, 5430. [Google Scholar] [CrossRef] [PubMed]
- Amos-Tautua, B.M.; Ajoko, I.T.; Bunu, S.J. Molecular Docking Studies of Phytochemicals from Triumfetta cordifolia and Spondias mombin against COX-1 and COX-2 Enzymes. Asian J. Trop. Biotechnol. 2025, 22, 30–40. [Google Scholar] [CrossRef]
- Nguyen, T.U.; Kwon, S.J.; Hurh, S.; Kale, A.; Cho, J.M.; Nada, H.; Kim, C.S.; Induvadana, P.; Park, B.J.; Lee, K.; et al. LMT2368 (1-(4-Chlorophenyl)-3-(3-Fluoro-5-(Trifluoromethyl)Phenyl)Urea) Negatively Regulates Inflammation by Inhibiting NLRP3 Inflammasome Activation. Pharmaceutics 2025, 17, 1241. [Google Scholar] [CrossRef] [PubMed]
- Toyoda, Y.; Zhu, A.; Kong, F.; Shan, S.; Zhao, J.; Wang, N.; Sun, X.; Zhang, L.; Yan, C.; Kobilka, B.K.; et al. Structural Basis of α1A-Adrenergic Receptor Activation and Recognition by an Extracellular Nanobody. Nat. Commun. 2023, 14, 3655. [Google Scholar] [CrossRef]
- Ćavar Zeljković, S.; Šišková, J.; Komzáková, K.; De Diego, N.; Kaffková, K.; Tarkowski, P. Phenolic Compounds and Biological Activity of Selected Mentha Species. Plants 2021, 10, 550. [Google Scholar] [CrossRef]
- Topal, M.; Gulcin, İ. Evaluation of the in Vitro Antioxidant, Antidiabetic and Anticholinergic Properties of Rosmarinic Acid from Rosemary (Rosmarinus officinalis L.). Biocatal. Agric. Biotechnol. 2022, 43, 102417. [Google Scholar] [CrossRef]
Disclaimer/Publisher’s Note: The statements, opinions and data contained in all publications are solely those of the individual author(s) and contributor(s) and not of MDPI and/or the editor(s). MDPI and/or the editor(s) disclaim responsibility for any injury to people or property resulting from any ideas, methods, instructions or products referred to in the content. |
© 2025 by the authors. Published by MDPI on behalf of the Österreichische Pharmazeutische Gesellschaft. Licensee MDPI, Basel, Switzerland. This article is an open access article distributed under the terms and conditions of the Creative Commons Attribution (CC BY) license (https://creativecommons.org/licenses/by/4.0/).







