Abstract
This review presents the up to date development of fused thiopyranothiazoles that comprise one of the thiazolidine derivatives classes. Thiazolidine and thiazolidinone-related compounds belong to the widely studied heterocycles from a medicinal chemistry perspective. From the chemical point of view, they are perfect heterodienes to undergo hetero-Diels–Alder reaction with a variety of dienophiles, yielding regio- and diastereoselectively thiopyranothiazole scaffolds. The annealing of thiazole and thiopyran cycles in condensed heterosystem is a precondition for the “centers conservative” creation of the ligand-target binding complex and can promote a potential selectivity to biotargets. The review covers possible therapeutic applications of thiopyrano[2,3-d]thiazoles, such as anti-inflammatory, antibacterial, anticancer as well as aniparasitic activities. Thus, thiopyrano[2,3-d]thiazoles may be used as powerful tools in the development of biologically active agents and drug-like molecules.
1. Introduction
The thiopyranothiazole scaffold is characterized by “fixed” 4-thiazolidinone biophor in a “rigid” condensed system that allows to save the biological activity of their synthetic precursors 5-ene-4-thiazolidinones. 4-Thiazolidinones and related heterocycles comprise a sufficiently studied class of compounds that reveal a wide spectrum of biological activities, such as anti-inflammatory, antimicrobial, antifungal, antiviral, anticancer, anticonvulsant, antituberculous [1,2,3,4], etc. Among thiazolidinone derivatives, there are a number of drug candidates as well as approved drugs, for example, anti-hyperglycemic glitazones (PPARγ agonists)—Roziglitazone, Pioglitazone (2,4-thiazolidinedione derivatives) [5]; aldose reductase inhibitor—Epalrestat (rhodanine derivative) [6]; anti-inflammatory drug—double cyclooxygenase-2/5-lipooxygenase inhibitor—Darbufelon (2-amino-4-thiazolidone derivative) [7]; diuretic Ethozoline (2-ene-4-thiazolidinone derivative) [8]; anticonvulsant Ralitolin [9]. However, recently, such a rich pharmacological profile of thiazolidinones is considered by some medicinal chemists not as an advantage, but as a drawback. For example, 5-ene-4-thiazolidinones, being the most active subgroup, is classified as PAINS (pan assay interference compounds) that are defined by their ability to show activity across a range of assays and towards a range of proteins [10,11]. This is argued by a variety of inherent biological activity, low selectivity and the ability of 5-ylidene-4-thiazolidinones to be Michael acceptors. Despite this, rigorous selection based on SAR analysis and proved selectivity leave such compounds a «right to life» in medicinal chemistry [12,13,14]. Moreover, the objects of our review (thiopyranothiazoles) can be considered as bio-mimetics of pharmacologically active 5-ene-4-thiazolidinones without the mentioned Michael acceptors properties (Figure 1) [15,16,17]. The combination of thiazole and thiopyran cycles in condensed heterosystem is a precondition for the creation of “centers conservative” of the ligand-target binding complex and promotes potential selectivity to biotargets. Considering the mentioned arguments, the directed search for new chemotherapeutic agents among thiopyrano[2,3-d]thiazole derivatives is a justified and promising direction in modern medicinal chemistry. In this review, we tried to systematize the data on chemistry and pharmacology of thiopyrano[2,3-d]thiazoles from the perspective of medicinal and pharmaceutical chemistry.
Figure 1.
Background for thiopyrano[2,3-d]thiazoles design.
2. Hetero-Diels-Alder Reaction as a Key Approach for the Synthesis of Thiopyrano[2,3-d]Thiazole Derivatives
The most effective approach to thiopyrano[2,3-d]thiazole system design is the use of the hetero-Diels–Alder reaction. Mentioned approach has been described for the first time by I.D. Komaritsa [18], N.A. Kassab et al. [19,20] who had successfully used 5-arylidene-4-thioxo-2-thiazolidinones (5-arylideneisorhodanines) and 5-arylidene-2,4-thiazolidinedithiones (5-arylidenethiorhodanines) as heterodienes. Mentioned reagents contain in their structure α,β-unsaturated thiocarbonyl fragment similar to the 1-thio-1,3-butadiene which leads to their high reactivity in the [4+2]-cycloaddition reactions (Figure 2). According to the molecular orbital theory, Diels–Alder reaction is based on the overlay of the diene’s “HOMO” and dienophile’s “LUMO”. The important condition for this reaction is the presence of strong dienophile with electron acceptor properties to decrease energy difference between diene’s “HOMO” and “LUMO” or “HOMO” of the dienophile. For these reasons reactions are highly regioselective and form products according to the molecular orbital theory.
Figure 2.
5-arylidene-4-thiazolidinethiones as heterodienes.
2.1. Utilization of 5-Arylidene-4-Thiazolidinethiones in the Hetero-Diels–Alder Reactions
5-arylideneiso- and thiorhodanines 1 are prepared in the Knoevenagel reaction of the corresponding 4-thiazolidinethiones [21] which in turn are synthesized in the thionation reaction of 2-thioxo-4-thiazolidinone (rhodanine) and 2,4-thiazolidinedione (Scheme 1). The thionation reaction of 4-thiazolidinones is commonly carried out in anhydrous dioxane with P2S5 [22,23] or Lawesson’s reagent (LR)—(2,4-bis(4-methoxyphenyl)-1,3-dithiadiphosphetane-2,4-dithione) [24]. A green method of 5-arylidene-4-thioxothiazolidines synthesis in PEG medium at room temperature without adding any catalyst has been recently reported [25].
Scheme 1.
Synthesis of 5-arylidene-4-thiazolidinethiones.
It is important to note that thionation of 5-arylidene-3-phenylrhodanines with the Lawesson’s reagent in the xylene medium can result in the formation of thione’s dimers 3, due to the spontaneous [4+2]-cycloaddition reaction of the intermediate 5-arylidene-2,4-thiazolidinedithiones 2 (Scheme 2). The mentioned synthesis leads to the formation of thiorhodanine spiro-substituted thiopyrano[2,3-d]thiazoles 3 with high yields and the absence of by-products [24].
Scheme 2.
Thionation of 5-arylidene-3-phenylrhodanines.
In pioneering works on chemistry of thiopyrano[2,3-d]thiazoles dienophile component was represented by maleic acid and its derivatives (maleic anhydride, maleinimides) and acrylic acid and its derivatives (methyl acrylate, ethyl acrylate, acrylonitrile), therefore allowing to obtain compounds 4–7 (Scheme 3) [18,19,20].
Scheme 3.
Pioneering works on chemistry of thiopyrano[2,3-d]thiazoles.
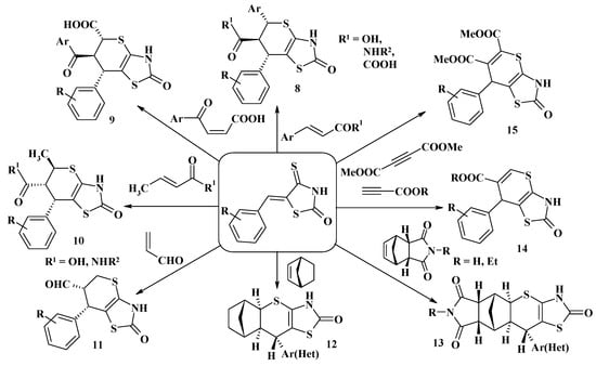
Currently, the list of dienophiles for the synthesis of thiopyrano[2,3-d]thiazole derivatives has significantly expanded. Thus, the use of cynnamic acids [26] and their amides [27], aroylacrylic [28] and arylidene pyruvic [29] acids as well as dimethyl acetylenedicarboxylate [30], propiolic acid and its ethyl ester [26], acroleine [31], 2-norbornene [15] and 5-norbornene-2,3-dicarboxylic acid imides [16] as dienophiles allowed to obtain new thiopyrano[2,3-d]thiazoles 8–15 as promising biologically active compounds based on the “thiazolidinone” matrix (Scheme 4). It should be noted that the presence of chiral centers in the structure of thiopyrano[2,3-d]thiazole cycle causes certain features of stereochemistry in the hetero-Diels–Alder reaction. The given issue became the subject of an intense study considering the current trends in organic and medicinal chemistry. It was found that the above-mentioned [4+2]-cycloadditions are regio- and diastereoselective.
Scheme 4.
The synthesis of thiopyrano[2,3-d]thiazoles using cynnamic acids and their amides, aroylacrylic and arylidene pyruvic acids, dimethyl acetylenedicarboxylate, propiolic acid and its ethyl ester, acroleine, 2-norbornene and 5-norbornene-2,3-dicarboxylic acid imides as dienophiles.
The reaction of 5-arylideneisorhodanines with 2(5H)furanone yields mixtures of endo/exo adducts 16,17. (Scheme 5). Considering moderate diastereoselectivity of the process, the reaction can occur through endo or exo transition states resulting in different positions of the protons at C-8 of core heterocycle. Thus, the endo transition state leads to anti configuration, while the exo geometry results in syn configuration of the H-8 respectively. Endo and exo adducts can be separated by column chromatography [32].
Scheme 5.
Features of the reaction of 5-arylidene-4-thioxo-2-thiazolidinones with 2(5H)furanone.
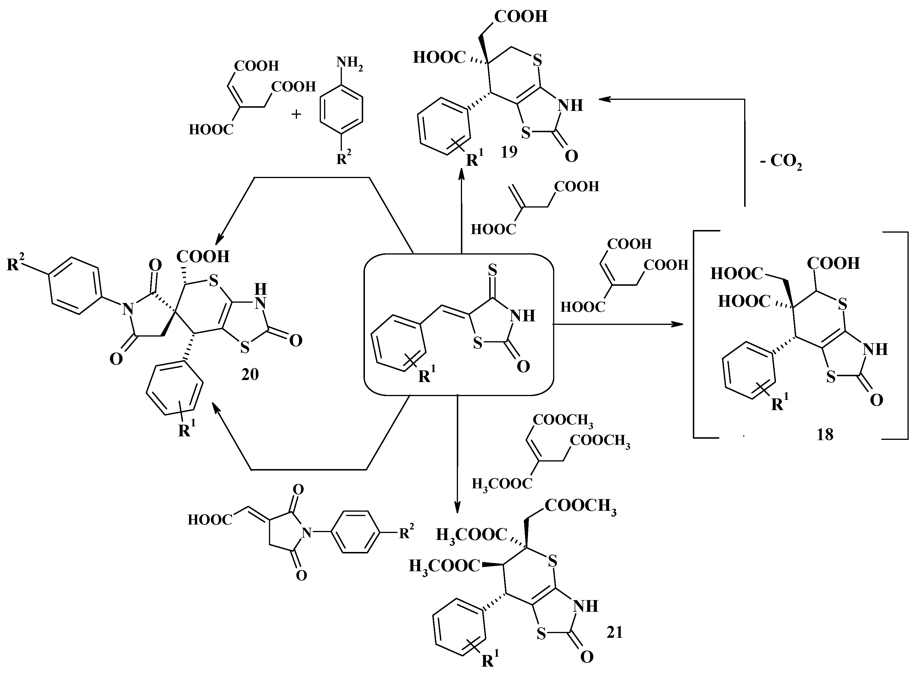
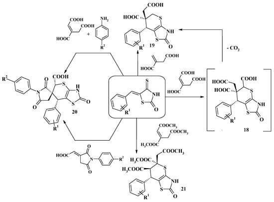
The reaction of 5-arylideneisorhodanines with trans-aconitic acid proceeds as a regio- and diastereoselective [4+2]-cycloaddition with spontaneous decarboxylation of the adduct 18 to furnish rel-(6R,7R)-diastereomers 19. The same products were synthesized using itaconic acid as dienophile. Interestingly that one-pot three-component reaction of 5-arylideneisorhodanines, trans-aconitic acid and anilines diastereoselectively yielded rel-(5′R,6′R,7′R)-spiro[pyrrolidin-3,6′-thiopyrano[2,3-d]thiazol]-2,2′,5-triones 20 [33,34] without decarboxylation of adducts. The thiopyrano[2,3-d]thiazoles 20 were contrary synthesized using (2,5-dioxo-1-arylpyrrolidin-3-ylidene)-acetic acids as dienophiles. It should be noted that unlike free trans-aconitic acid or its imides, corresponding trimethyl ester (trimethyl 1-propene-1,2,3-tricarboxylate) reacted with 5-arylideneisorhodanines with opposite regioselectivity resulting [4+2]-cycloadducts (21) (Scheme 6) [33].
Scheme 6.
Trans-Aconitic acid motif in the synthesis of thiopyrano[2,3-d]thiazoles.
In the case of 1,4-naphthoquinone utilization as dienophile intermediates of the [4+2]-cycloaddition reaction undergo spontaneous oxidation with the formation of tetracyclic thiopyrano[2,3-d]thiazoles 22 (Scheme 7) [17].
Scheme 7.
Synthesis of thiopyrano[2,3-d]thiazoles containing a naphthoquinone moiety.
The compounds 5-arylidene-4-thiazolidinethiones with dicyclopentadiene and norbornadiene react in a similar manner as norbornene derivatives (Scheme 4, compounds 12,13) [35]. In the case of the norbornadiene symmetrical bis-adduct 23 regioselectively forms. The structure of derivative 24 is predictable (Scheme 8).
Scheme 8.
Synthesis of thiopyrano[2,3-d]thiazoles containing a norbornane moiety.
For the diversification of thiopyranothiazoles bearing norbornane moiety (4,6-dichloro-1,3,5-triazin-2-yl)-hydrazine 25 was used to obtain fused thiopyrano[2,3-d]thiazoles 28 via two alternative methods (Scheme 9). One way involved obtaining compounds 26 in hetero-Diels-Alder reaction of 5-arylidene-4-thioxo-2-thiazolidinones with bicyclo[2.2.1]hept-5-ene-2,3-dicarboxylic anhydride (endic anhydride) followed by the condensation with triazinelhydrazine in toluene medium and presence of thionyl chloride. Whilst the other way includes condensation of triazine with endic anhydride in DMF medium at 110 °C firstly and then the reaction of 4-(4,6-dichloro-1,3,5-triazin-2-ylamino)-4-azatricyclo[5.2.1.02,6]dec-8-ene-3,5-dione 27 with 5-arylidene-4-thioxo-2-thiazolidinones yielding corresponding [4+2]-cycloaddition products 28 [36].
Scheme 9.
Diversification of thiopyranothiazoles bearing norbornane moiety.
N-Phenyl-1,3,4-triazole-2,5-dione and ω-nitrostyrene (Scheme 10) turned out to be effective dienophyles in the reaction with 5-(2,4-dihydroxybenzylidene)-4-thioxo-2-thiazolidinone that allowed obtaining 3,8-dihydro-1,4-dithia-3,4a,6,7a-tetraza-s-indacene 29 and 6-nitro-substituted thiopyrano[2,3-d]thiazole 30 [19,37].
Scheme 10.
The synthesis of thiopyrano[2,3-d]thiazoles using N-phenyl-1,3,4-triazole-2,5-dione and ω-nitrostyrene as dienophiles.
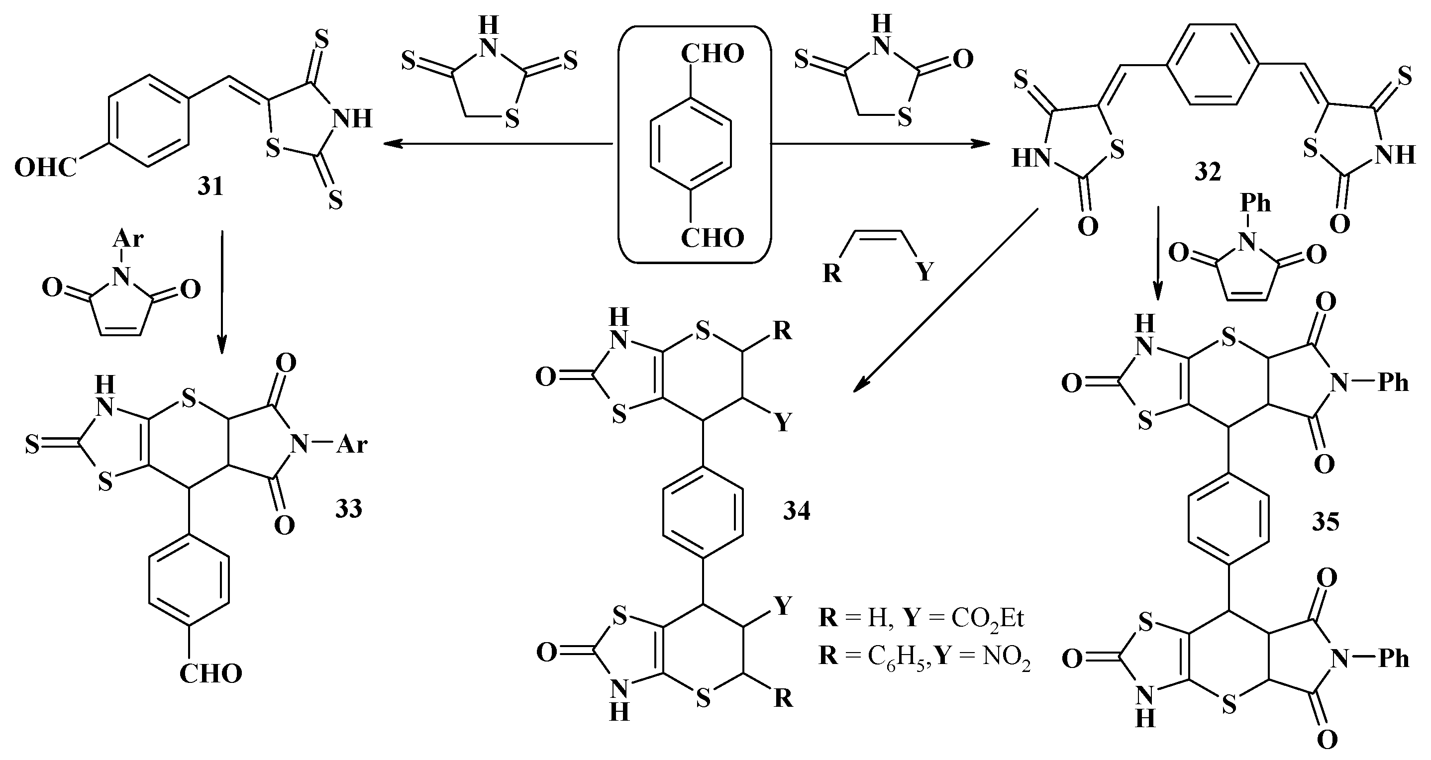
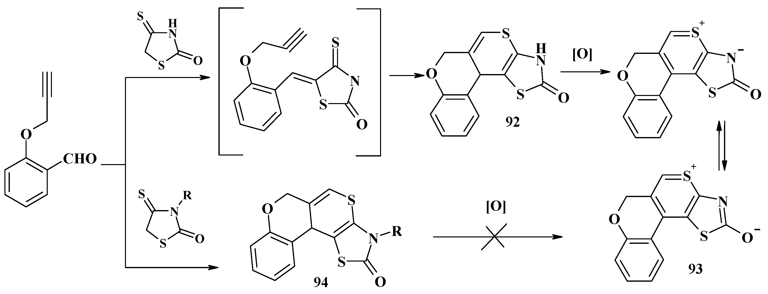
N.H. Metwally and colleagues [38] had chosen terephthalic aldehyde, thio- and isorhodanines as starting reagents in order to investigate the peculiarities of the hetero-Diels–Alder reaction. On the basis of these starting reagents monoarylidene thiorhodanine 31 and bicyclic arylidene isorhodanine derivatives 32 were prepared in the Knoevenagel condensation and than used as heterodienes. Phenyl maleinimide, ethyl acrylate and ω-nitrostyrene were used as dienophiles that enabled syntheses of the compounds 33–35 (Scheme 11).
Scheme 11.
The synthesis of 1,4-bis(thiopyrano[2,3-d]thiazolyl)benzene derivatives.
2.2. Usage of 5-Alkylidene-4-Thiazolidinethiones in the Synthesis of Thiopyrano[2,3-d]Thiazole Core
5-Alkylidene-4-thiazolidinediones are useful and important reagents in the search for biological active compounds, as they allow obtaining thiopyrano[2,3-d]thiazole derivatives with relatively low molecular weight. Among them 5-ethoxymethylideneisorhodanine and corresponding thiorhodanine are the most interesting and effective heterodienes that significantly expanded structural diversity of thiopyrano[2,3-d]thiazoles (Scheme 12). In the early works [18,39] dedicated to this issue a number of specific features of mentioned 4-thiazolidinethiones in hetero-Diels–Alder reaction were experimentally established and outlined. In particular, [4+2]-cycloaddition of 5-ethoxymethylideneiso- and thiorhodanines with appropriate dienophiles in the toluene medium at room temperature passes as a classical hetero-Diels–Alder reaction with the formation of 7-ethoxy-3,5,6,7-tetrahydro-2H-thiopyrano[2,3-d]thiazoles 36,37. When changing the reaction medium to the acetic acid and heating the reaction mixture, elimination of the ethanol molecule with the formation of an additional double bond and the corresponding 3,5-dihydro-2H-thiopyrano[2,3-d]thiazoles 38–40 is observed. Analogous pattern was observed in the [4+2]-cycloaddition with acrolein, crotonic aldehyde, 2-norbornene and 5-norbornene-2,3-dicarboxylic acid imides in the medium of acetic acid that allowed obtaining heterocyclic aldehydes 41 and polycyclic heterosystems 42,43 [40].
Scheme 12.
5-Ethoxymethylideneiso- and thiorhodanines as heterodienes in the synthesis of thiopyrano[2,3-d]thiazoles.
Interaction of 5-ethoxymethylene-4-thioxo-2-thiazolidinones with propiolic acid is accompanied by not only the elimination of ethanol, but the rearrangement of double bonds with the formation of 2-oxo-2H-thiopyrano[2,3-d]thiazole-6-carboxylic acid 44. The compound 44 is also formed when using acetylene dicarboxylic acid as dienophile that may be explained by the similar transformation of [4+2]-cycloadduct and additional decarboxylation in the 5th position. [4+2]-Adducts of aroylacrylic acids and 5-ethoxymethylideneisorhodanine also undergo elimination of ethanol and decarboxylation with regioselective formation of 6-aryl-2-oxo-3,5-dihydro-2H-thiopyrano[2,3-d]thiazolyl-6-methanones 45. At the same time, interaction with the 1,4-naphthoquinone was accompanied by spontaneous intermediate dehydrogenation with the formation of additional endocyclic double bond and elimination of the ethanol molecule yielding 5,10-dihydro-2H-benzo[6,7]thiochromeno[2,3-d][1,3]thiazole-2,5,10-trione 46 (Scheme 13) [40].
Scheme 13.
5-Ethoxymethylideneisorhodanine as versatile building block for novel biorelevant small molecules with thiopyrano[2,3-d]thiazole core.
One of the relatively new areas in thiopyrano[2,3-d]thiazole chemistry is the usage of 5-(cyclo)alkylideneisorhodanines as key reagents in [4+2]-cycloaddition (Scheme 14). Thus, the initial heterodienes 47 were obtained in the reaction of isorhodanine with acetone, cyclopentanone or cyclohexanone at room temperature and in the presence of triethylamine as catalyst. Interestingly, performing the reaction in ethanol medium at the solvent boiling point leads to the formation of tricyclic heterosystems 48. When thiorhodanine is used, only condensed derivatives 49 are formed regardless of the reaction conditions. [4+2]-Cycloaddition of 5-(cyclo)alkylideneisorhodanines with arylmaleinamides, 2-norbornene and (3,5-dioxo-4-azatricyclo[5.2.1.02,6]decen-8-yl-4)-acetic acid [36] yielded low molecular thiopyrano[2,3-d]thiazoles 50–52 [41].
Scheme 14.
5-(Cyclo)alkylideneisorhodanine motif in the synthesis of thiopyrano[2,3-d]thiazoles.
3. The Michael Reaction and Related Processes in the Synthesis of Thiopyrano[2,3-d]Thiazoles
The Michael reaction is one more effective approach to the synthesis of thiopyrano[2,3-d]thiazoles (Scheme 15). Thus, the interaction of arylmethylene malononitrile and 3-substituted isorhodanines in the medium of absolute ethanol at the presence of triethylamine gave 5-amino-2-oxo-7-phenyl-3,5,6,7-tetrahydro-2H-thiopyrano[2,3-d]thiazole-6-carbonitriles 53 [42].
Scheme 15.
Activated nitriles in the synthesis of thiopyrano[2,3-d]thiazoles.
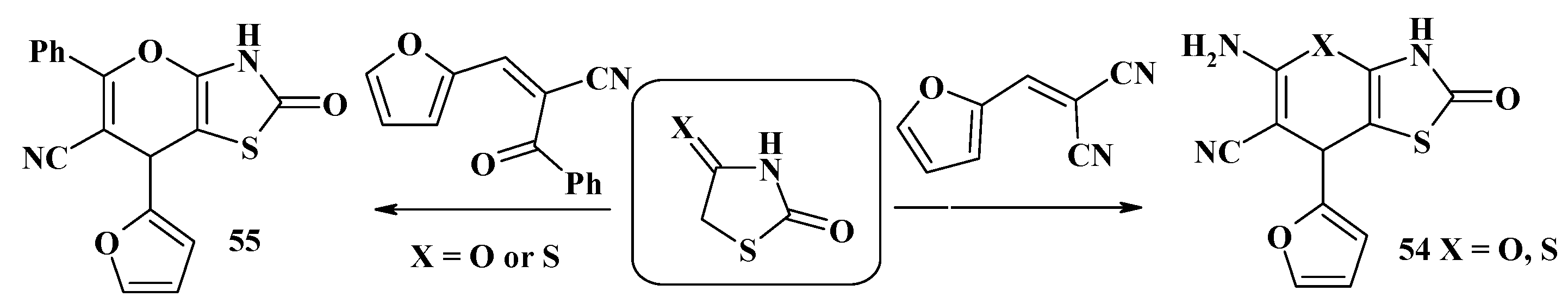
F.M. Abdelrazek and coauthors have used the above approach for the synthesis of pyrano[2,3-d]thiazoles and their thioanalogs (Scheme 16) [43]. The reaction of isorhodanine with 2-(furan-2-yl)-methylenemalononitrile yields thiopyrano[2,3-d]thiazole-6-carbonitrile 54 (X=S), and when 2,4-thiazolidinedione is used pyrano[2,3-d]thiazole 54 (X=O) is formed. Interestingly, 2-benzoyl-3-(furan-2-yl)-acrylonitrile in the Michael reaction with 2,4-thiazolidinedione or isorhodanine, at the elimination of water or hydrogen sulphide respectively forms the same compound—7-(furan-2-yl)-2-oxo-5-phenyl-3,7-dihydro-2H-pyrano[2,3-d]thiazole-6-carbonitrile 55.
Scheme 16.
The reactions of α-substituted 2-(2-furyl)-acrylonitriles with isorhodanine and thiazolidinedione.
When studying the peculiarities of Michael addition of bicyclic 5-arylideneiso(thio)rhodanines 56 with malonodinitrile bis-thiopyrano[2,3-d]thiazole derivative 58 was obtained, which early was synthesized in the reaction of 1,4-bis-(2,2′-dicyanovinyl)-benzene 57 with two equivalents of isorhodanine. In the second case, formation of the derivative 58 occured as two-stage process including an initial Michael reaction with further cyclization of the intermediate by the attack of cyano group with mercapto group of thiazole cycle (Scheme 17) [38].
Scheme 17.
Synthesis of bis-thiopyrano[2,3-d]thiazole derivative in Michael addition reactions.
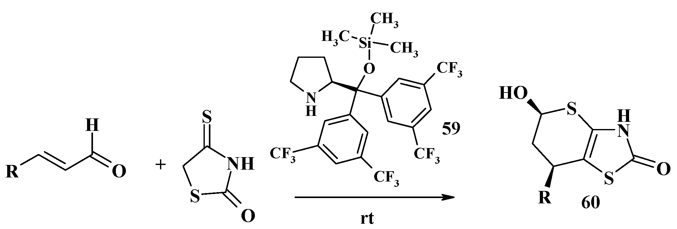
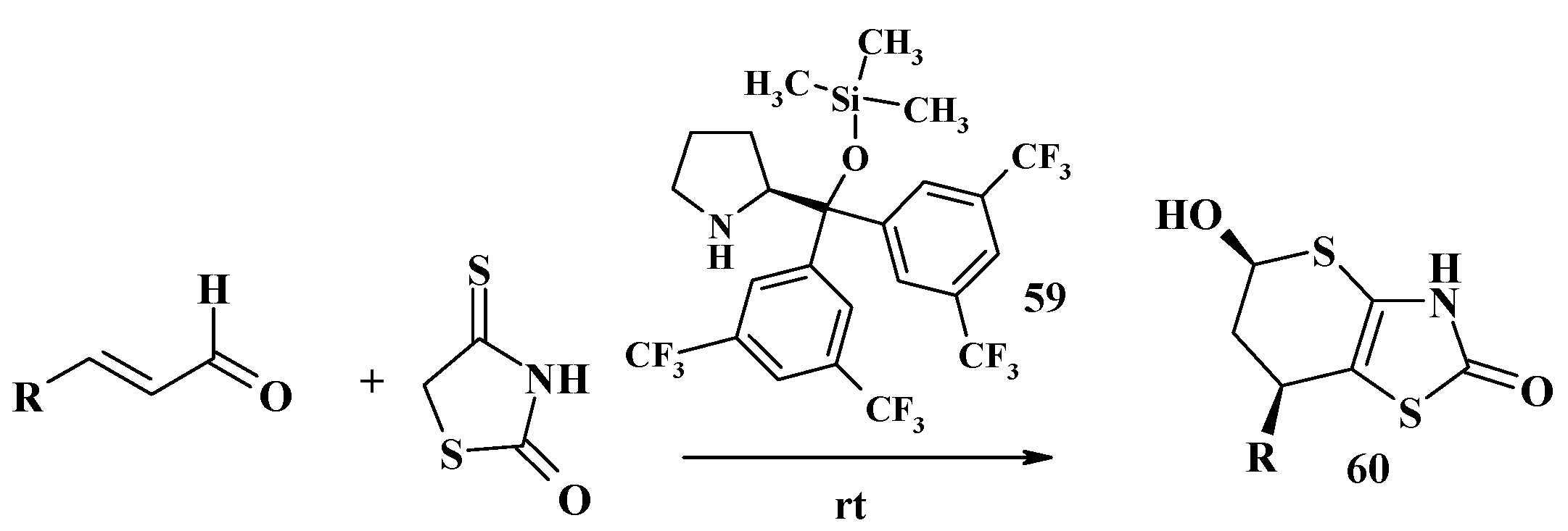
Unexpectedely, Zhang and coauthors obtained thiopyranoid scaffold 60 (Scheme 18) exploring the divergent organocatalitic Michael-Michael-aldol cascade reaction of isorhodanine with α,β-unsaturated aldehydes. Whilst the same conditions in the reaction of thiazolidinedione and rhodanine with enals led to spiro compounds, in the case of isorhodanine usage Michael cyclization took place. Optimizing the reaction conditions authors had used toluene medium and organic catalyst 59 at room temperature [44].
Scheme 18.
Divergent organocatalitic Michael-Michael-aldol cascade reaction in the synthesis of thiopyrano[2,3-d]thiazoles.
4. Synthesis of Polycondensed Thiopyrano[2,3-d]Thiazole Derivatives as Potentially Biological Active Compounds
The tandem and “domino” processes based on [4+2]-cycloaddition reaction is a powerful and effective tool in the synthesis of thiopyrano[2,3-d]thiazole derivatives. This type of reactions allows the synthesis of structurally complex molecules with high selectivity, while the consumption of solvents, reagents, adsorbents and energy is significantly reduced comparing with traditional multistage synthetic approaches. Moreover, most of the tandem and “domino” reactions products have drug-like structure and probably may possess interesting pharmacological effects that is important point in the modern process of drugs development.
4.1. Peculiarities of the Tandem Reactions in the Synthesis of Polycondensed Thiopyrano[2,3-d]Thiazoles
Presence of active groups in the o-position of arylidene fragment in 5-arylidene-4-thiazolidinethiones is an important feature contributing to the passing of tandem processes based on hetero-Diels–Alder and Michael reactions in the synthesis of thiopyrano[2,3-d]thiazoles. For example, I.D. Komaritsa [18] and N.A. Kassab [20] had used 5-(2-hydroxyphenylmethylidene)-isorhodanine in the reactions with acrylic acid, its ethyl ester or amide to obtaine 3,5a,6,11b-tetra-2H,5H-chromeno[4′,3′:4,5]thiopyrano[2,3-d]thiazole-2,6-dione with high yields 61. Mentioned reaction is a two-step process involving combination of hetero diene synthesis and acylation of phenolic group and was the first example of tandem hetero-Diels–Alder reaction for the 5-arylidene-4-thiazolidinethiones (Scheme 19).
Scheme 19.
The first example of tandem hetero-Diels-Alder reaction for the 5-arylidene-4-thiazolidinethiones.
Based on experimental conclusions of I.D. Komaritsa and N.A. Kassab, Metwally and coauthors [45] performed similar tandem process synthesizing a polycyclic system 62 in the reaction of 5-(2,4-dihydroxyphenylmethylidene)iso(thio)rhodanines with ethyl acrylate and acrylonitrile. Moreover, the Michael reaction with malononitrile led to the structurally similar 9-hydroxybenzo[3′,4′:4,5]thiopyrano[2,3-d]thiazol-6-one 63 (Scheme 20).
Scheme 20.
Tandem reaction of 5-(2,4-dihydroxyphenylmetylidene)iso(thio)rhodanines with ethyl acrylate and acrylonitrile.
Among the tandem hetero-Diels–Alder reactions, two types of processes can be distinguished: acylation- and hemiacetal-based reactions (Scheme 21). The first approach requires the usage of derivatives of α,β-unsaturated carboxylic acids as dienophiles, and the second—α,β-unsaturated oxo compounds (aldehydes and ketones).
Scheme 21.
Two types of 5-(2-hydroxyphenylmethylidene)-4-thiazolidinethione-based tandem hetero-Diels-Alder reactions.
Thus, when studying hetero-Diels–Alder-acylation tandem reactions of 5-(2-hydroxyphenylmethylidene)isorhodanines 64 with unsaturated carboxylic acids and their derivatives more precisely, a number of stereochemical peculiarities of these processes were established (Scheme 22). For example, in the reaction of crotonic acid, its amides or anhydride a mixture of rel-5R,5aR,11bS and rel-5S,5aR,11bS diastereomers (65) were formed; the isomers’ ratio depends on the nature of dienophile and the reaction temperature [26]. The reaction of heterodiene 64 with maleic and fumaric acids and their derivatives (maleic anhydride, esters) passed diastereoselectively [46,47]. Moreover, independently of the stereoisomerism of the dienophile a racemic mixture of rel-(5R,5aR,11bS)-2,6-dioxo-3,5a,6,11b-tetrahydro-2H,5H-chromeno[4′,3′:4,5] thiopyrano[2,3-d]thiazole-5-carboxylic acids derivatives 66 with a cis-Hydrogen in positions 5, 5α, and 11β of heterocyclic systems was formed. Itaconic acid and its anhydride [48,49] as well as trans-aconitic acid [33] reacted in a similar manner forming derivative 67. In the case of trans-aconitic acid the reaction proceeded with spontaneous decarboxylation at position 5 of thiopyrano[2,3-d]thiazole core [33]. rel-(5S,5aR,11bS)-5-Aryl-3,5a,6,11b-tetrahydro-2H,5H-chromeno [4′,3′:4,5]thiopyrano[2,3-d]thiazole-2,6-diones 68 were the products of tandem hetero-Diels–Alder-acylation reaction of 5-(2-hydroxyphenylmethylidene)isorhodanines and cynnamic acids [26]. Compound 67 proved to be effective reagent for the next chemical transformations. The reaction of 67 with primary amines in acetic acid passed through the amidation stage, followed by spontaneous recycling in spiroimides 68. The thiopyrano[2,3-d]thiazoles 68 were also obtained by the alternative method from itaconic acid imides [48].
Scheme 22.
Crotonic, cynnamic, propiolic, maleic, fumaric, itaconic and trans-aconitic acids motifs in the synthesis of thiopyrano[2,3-d]thiazoles via tandem acylation hetero-Diels–Alder reaction.
It is important to note that at interaction of 5-(2-hydroxyphenylmetylidene)isorhodanine with propiolic acid, a classic hetero-Diels–Alder reaction takes place to form thiopyrano[2,3-d]thiazole derivative 70. The presence of a double bond at positions 5–6 causes planar structure of the bicyclic fragment and creates the spatial obstacles for acylation of phenolic group. Dehydrogenation of basic heterocycle with bromine in acetic acid removes these obstacles and allows obtaining tetracyclic 2H,6H-chromeno[4′,3′:4,5]thiopyrano[2,3-d]thiazole-2,6-dione 71 (Scheme 23) [26].
Scheme 23.
Synthesis of 2H,6H-chromeno[4′,3′:4,5]thiopyrano[2,3-d]thiazole-2,6-dione.
The reaction of 5-(2-hydroxyphenylmethylidene)isorhodanines with 2(5H)furanone proceeded as a diastereoselective tandem acylation-hetero-Diels-Alder reaction providing novel rel-(5R,5aR,11bS)-5-hydroxymethyl-3,5,5a,11b-tetrahydro-2H,5H-chromeno[4′,3′:4,5]thiopyrano[2,3-d]thiazole-2,6-diones 72 (Scheme 24) [32].
Scheme 24.
2(5H)Furanone motif in the synthesis of thiopyrano[2,3-d]thiazoles via tandem acylation hetero-Diels-Alder reaction.
The reactions between 5-(2-hydroxybenzylidene)-4-thioxo-2-thiazolidinones and arylidene pyruvic acids yielded the mixture of rel-(5S,5aR,11bR) 73 and rel-(5R,5aS,11bR) 73* diastereisomers at 2:1 ratio [50]. At the same time acroleine, crotonic and cynnamic aldehydes in mentioned tandem hetero-Diels-Alder-hemiacetal reaction (Scheme 25) diastereoselectively yielded novel rel-(5aR,6R,11bS)-6-hydroxy-3,5a,6,11b-tetrahydro-2H,5H-chromeno[4′,3′:4,5]thiopyrano[2,3-d]thiazole-2-ones 74 [51].
Scheme 25.
Features of tandem hetero-Diels-Alder-hemiacetal reactions.
4.2. Domino Reactions as a Systematic Approach to the Synthesis of Fused Thiopyrano[2,3-d]Thiazoles
In addition to tandem reactions, domino reactions also play an important role in the synthesis of thiopyrano[2,3-d]thiazoles of complex structure. A domino reaction involves two or more transformations, which result in the formation of bonds (usually C–C bonds) and occur under the same reaction conditions without adding new reagents and/or catalysts. In this process the subsequent reactions take place as a consequence of the functionality formed in the previous step [52].
So, one of the examples of thiopyranothiazole scaffold synthesis is obtaining of series of chromeno[4′,3′:4,5]thiopyrano[2,3-d]thiazole-2-(thi)ones 76,77 and isothiochromeno[4a,4-d]thiazole-2-ones 75 in the domino Knoevenagel-hetero-Diels–Alder reaction (Scheme 26) of isorhodanine with 3,7-dimethyl-6-octenal ((±)citronelal) and 2-allyloxybenzaldehyde. It should be noted that the reaction of isorhodanine with 2-allyloxybenzaldehyde yielded a mixture of trans-76 and cis-76a isomers (5:1). The authors proposed a probable mechanism of this reaction through the exo-selective cyclization of the 5-arylidene intermediate in hetero-Diels-Alder reaction, while the formation of endo-intermediate is a minor process. Recrystallization from dioxane can provide individual trans isomer 76 [53]. Tetracyclic derivatives 76,77 were synthesized alternatively via the “domino” thionation-hetero-Diels-Alder reaction of 5-(2-allyloxyphenylmethylidene)-4-thiazolidinones 78 [54].
Scheme 26.
Features of domino Knoevenagel-hetero-Diels–Alder reaction.
The NH-acidic center of the basic core of the compound 76 predetermined its further transformations (Scheme 27) through the stage of potassium salt 79 formation with the following alkylation with chloroacetamides, bromoacetophenones, ethyl chloroacetate that allowed obtaining new N-substituted derivatives 80–82 [55].
Scheme 27.
Synthesis of 3-substituted chromeno[4′,3′:4,5]thiopyrano[2,3-d]thiazole-2-ones.
Using the same approach (Scheme 28), isothiochromeno[4a,4-d]thiazole-2-one 75 was alkylated by chloroacetamides, bromoacetophenones to give the derivatives 83,84. When it was treated with acrylonitrile, the cyanoethylation reaction resulted in propionitryl 85 formation [56].
Scheme 28.
Synthesis of 3-substituted isothiochromeno[4a,4-d]thiazole-2-ones.
Another example of the domino Knoevenagel-hetero-Diels-Alder reaction (Scheme 29) is the interaction of isorhodanine with structural analogs of 2-allyloxybenzaldehyde-2-(2-methylallyloxy)- and 2-(cyclohexene-2-yloxy)benzaldehydes, 2-allyloxynaphthalaldehyde as well as 2-formylphenyl-(E)-3-aryl-2-propenoates. These reactions allowed preparing a series of pentacyclic derivatives characterized by trans-(86–88) or cis-configuration (89) of 5a and 11b protons [53]. Interestingly, that when 2-formylphenyl-(E)-3-aryl-2-propenoates are used as reagents stereoconfiguration of final products 89 were similar to the derivatives 68 obtained in tandem acylation-hetero-Diels–Alder reaction (Scheme 22). Stereochemistry of final compounds depends on the endo- and exo-orientation of the dienophile in transition state. The presence of allyl moiety in the molecule induces exo-transition state, in contrast to cinnamoyl fragment which causes endo-orientation of the dienophile due to the orbital interactions.
Scheme 29.
Domino Knoevenagel-hetero-Diels-Alder reaction of isorhodanine with 2-(2-methylallyloxy)- and 2-(cyclohexene-2-yloxy)benzaldehydes, 2-allyloxynaphthalaldehyde and 2-formylphenyl-(E)-3-aryl-2-propenoates.
The intramolecular Knoevenagel condensation (Scheme 30) between the ethyl (2E)-4-(2-formylphenoxy)but-2-enoate and 4-thioxo-2-thiazolidinone affords intermediate 90 for intramolecular hetero-Diels–Alder cycloaddition providing diastereoselective formation of ethyl rel-(5aR,5R,11bR)-2-oxo-2,3,5,5a,6,11b-hexahydrochromeno[4′,3′:4,5]thiopyrano[2,3-d]thiazole-5-carboxylates 91 [46].
Scheme 30.
Domino Knoevenagel-hetero-Diels-Alder reaction between 4-thioxo-2-thiazolidinone and ethyl (2E)-4-(2-formylphenoxy)but-2-enoate.
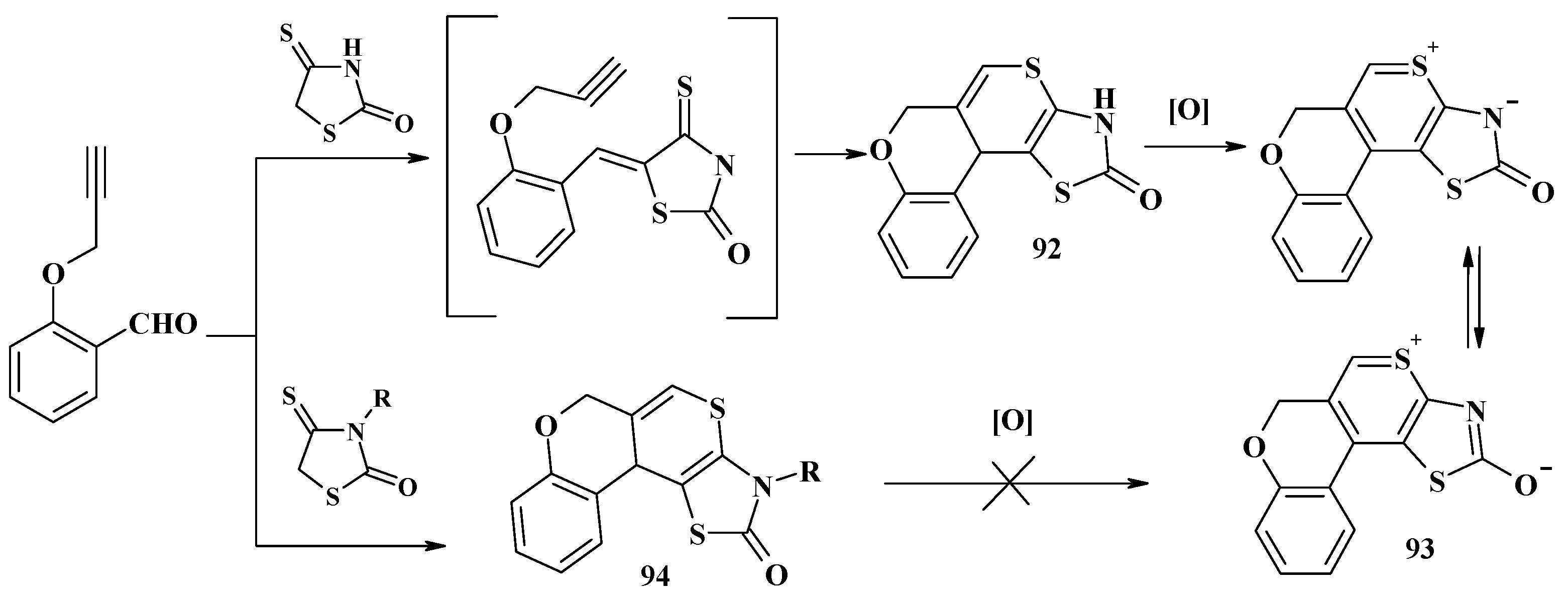
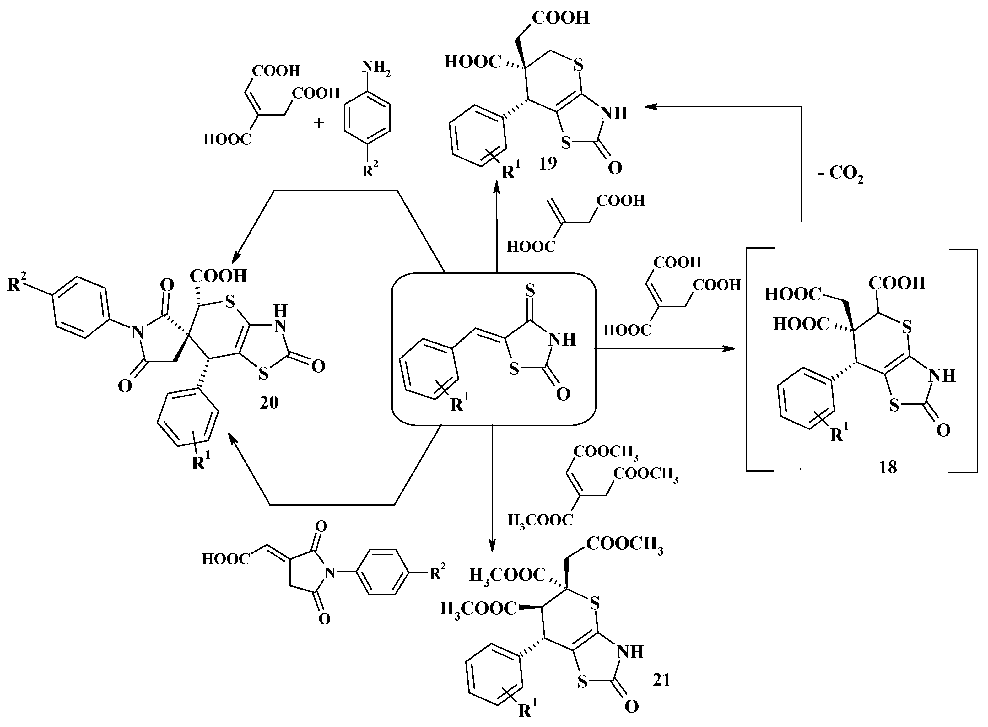
The reaction of isorhodanine with 2-(2-propynoxy)benzaldehyde in the medium of acetic acid in the presence of catalytic amount of sodium acetate did not stop on the formation of expected 3,11b-dihydro-2H,6H-chromeno[4′,3′:4,5]thiopyrano[2,3-d]thiazole-2-one 92. The latter underwent spontaneous oxidation yielding 6H-chromeno[4′,3′:4,5]thiopyrano[2,3-d]thiazole-4-ium-2-olate 93. N-substituted isorhodanines traditionally reacted in the domino Knoevenagel-hetero-Diels–Alder reaction providing derivatives 94 (Scheme 31) [57].
Scheme 31.
Peculiarities of 2-(2-propynoxy)benzaldehyde in the domino reactions with isorhodanine.
5. Biological Activity of Thiopyrano[2,3-d]Thiazole Derivatives
One of the efficient and freguently used directions of search for new active compounds is based on the principle of privileged structures annealing in the condensed systems. This approach involves combination of different heterocyclic pharmacophores in one molecule and can be successfully illustrated by thiopyrano[2,3-d]thiazoles. Taking into account that thiopyrano[2,3-d]thiazole derivatives are cyclic isosteric mimetics of 5-ene-4-thiazolidinones without typical Michael acceptors properties, the study of possible biological activity of these compounds is of great interest.
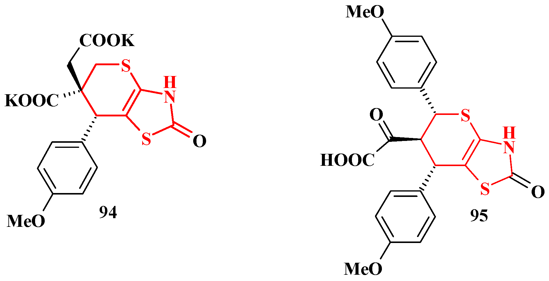
Thiopyrano[2,3-d]thiazoles were studied as potential non-sterodial anti-inflammatory drugs (NSAIDs). For example, anti-inflammatory activity (Figure 3) of 6-carboxymethyl-7-(4-methoxyphenyl)-2-oxo-3,5,6,7-tetrahydro-2H-thiopyrano[2,3-d]thiazole-6-carboxylic acid potassium salt 94 identified in the carrageenan-induced paw edema model in the rats, was comparable with such showed by the reference drugs diclofenac sodium [58]. A similar activity level was established for the rel-(5R,6S,7S)-[5-(3,4-dimethoxyphenyl)-7-(4-methoxyphenyl)-2-oxo-3,5,6,7-tetrahydro-2H-thiopyrano[2,3-d]thiazol-6-yl]-oxoacetic acid 95 [29].
Figure 3.
Thiopyrano[2,3-d]thiazoles as potenstial NSAIDs.
Like many other classes of synthetic small molecules, a group of 4-thiazolidinone-based derivatives was used in the search for novel selective antiviral agents [59,60]. 5,10-dihydro-2H-benzo[6,7]thiochromeno[2,3-d]thiazol-2,5,10-trione 96 possessed moderate activity against coronavirus SARS (EC50 = 1.7 μM, SI = 14). The above-mentioned derivative had also showed micromolar ranges of cancer cell lines inhibition (GI50 = 1.95 μM) and low toxicity levels (IC50 = 23 μM), being the most active towards some lines of leukemia, non-small cell lung cancer and melanoma [40]. One more class of thiopyranothiazole derivatives being tested for antiviral activity was chromeno[4′,3′:4,5]thiopyrano[2,3-d]thiazoles 97,98 which showed inhibition activity against influenza virus type A H3N2 and H5N1 (Figure 4) [47,58]. 7-Aryl-2-oxo-3,5,6,7-tetrahydro-2H-thiopyrano[2,3-d]thiazole-6-carbaldehydes possesed promising influence on EBV virus (compound 98, EC50 = 0.07 μM, SI = 3279) and Hepatitis C virus (compound 99, EC50 = 12.6 μM, SI = 43.1), respectively [31].
Figure 4.
Thiopyrano[2,3-d]thiazoles with antiviral activity.
Study of antituberculosis activity of thiopyranothiazoles allowed identifying a hit-compound 11-(2-hydroxyphenyl)-3,11-dihydro-2H-benzo[6,7]thiochromeno[2,3-d]thiazol-2,5,10-trione 100 with promising antimycobacterial activity (MIC90 0.6 µg/mL, Mycobacterium tuberculosis H37Rv strain) and low in vivo toxicity profile [17]. In general, antimicrobial, antifungal and antimycobacterial profiles were among the first types of biological activities described for the thiopyranothiazoles (Figure 5). In particular, in the screening of structurally simple thiopyrano[2,3-d]thiazoles using the disk-diffusion method moderate/high antimicrobial and antifungal activities against Pseudomonas lachrymans, Erwinia toxica, Penicillium simplex, Ulocladium chertorium and Aspergillus oryzae were identified for the derivatives 101 and 102. Moreover, derivatives of the structure 103 inhibited growth of Mycobacterium sp. [39]. Study of a series of 5-(2-thienyl)methylene-4-thioxo-2-thiazolidinones and their condensed analogs resulted in identifying of potent active compound 6-carboxy-7-(2-thienyl)-tetrahydrothiopyrano-7H-[2,3-d]thiazole 104, which had shown besides antimicrobial (against B. Subtilis) and antituberculous activities high antifungal potential (Figure 5) [61,62]. Significant influence on Staphylococcus aureus, Bacillus subtilis and Candida albicans was identified for the rel-(5R,6S,7R)-6-benzoyl-7-phenyl-2-oxo-3,5,6,7-tetrahydro-2H-thiopyrano[2,3-d] thiazole-5-carboxylic acids 105 [28].
Figure 5.
Thiopyrano[2,3-d]thiazoles with antimicrobial, antifungal and antimycobacterial activities.
One of the most popular and promising directions of the fused 4-thiazolidinone derivatives investigation is the search for anticancer agents. However, unlike monocyclic 4-thiazolidinones, the mechanism of their antitumor activity is not well understood yet. Moreover, quite often, biophore fragments of the active 4-thiazolidinone derivatives save their pharmacological effect in the new polycyclic scaffold. The latter may be considered as an argument in favour of the given class of compounds as a source of «small drug-like molecules», in particular anticancer agents. Thus, among fused polycyclic thiazolothiopyranes a large number of compounds characterized by the high inhibition rates and/or cytostatic activity towards cell lines of leukemia, non-small cell lung cancer, renal cancer, melanoma, ovarian cancer, breast cancer, prostate and CNS cancer were identified. A series of N-substituted chromeno[4′,3′:4,5]thiopyrano[2,3-d]thiazoles revealed sufficiently high level of growth inhibition of different cancer cells with the avarage logGI50 values from −4.49 to −6.22 in the in vitro studies (Figure 6). The most active were compounds with the ester-106, N-trifluoromethylphenyl- and 3,4-dichlorophenyl-acetamide fragments (107,108) in the molecules that were characterized by the cytostatic effects against a panel of cancer cell lines. On the other hand, 4-methylphenylacetamide substituent in the N3 position of tetracycle increased its selective activity against leukemia cell lines, which was observed at submicromolar concentrations (logGI50 = −6.93 for CCRF-CEM and < −8.00 for HL-60(TB)), whilst its inhibition activity against other cancer cells turned out to be relatively low [55]. Interestingly that structurally related fused system of isothiochromeno[3,4-d]thiazole (Figure 6) with 3-trifluoromethylphenylacetamide 109 and 3-methylphenylacetamide 110 substituents in the N3 position had also showed high antitumor effects along with low acute cytotoxicity levels [54,56].
Figure 6.
Chromeno[4′,3′:4,5]thiopyrano[2,3-d]thiazoles and isothiochromeno[3,4-d]thiazoles with anticancer activity in vitro.
One of the chemical modification directions of thiopyranothiazoles is the introduction of norbornane fragment in the molecules (Figure 7). Thus, thopyranothiazole systems of type 111 with 4-benzyloxy-3-methoxyphenyl- and 5-(2,5-dichlorophenyl)-furan-2-yl substituents in the 9th position of the main core inhibited cancer cell growth at submicromolar concentrations [15]. Structurally related N-substituted 9-aryl(heteryl)-3,7-dithia-5-azatetracyclo[9.2.1.02,10.04,8] tetradecen-4(8)-one-6 112 being moderately active towards a panel of cancer cell lines, showed rather good growth inhibition against leukemia cell lines [63]. Further modification of the main thiopyranothiazole scaffold allowed synthesis of the derivatives with naphthoquinone fragment 113. The latter showed high level of anticancer activity with moderate selectivity towards melanoma cells. It is worth mentioning that 11-substituted benzo[6,7]thiochromeno[2,3-d]thiazole-2,5,10-triones had also antituberculosis activity (compound 98, Figure 5) and low acute toxicity [17]. High anticancer activity was identified in the row of 3,7-dithia-5,14-diazapenthacyclo[9.5.1.02,10.04,8.012,16]heptadecenes. The most active were the hit-compounds 114 and 115, herewith 114 selectively inhibited growth of leukemia cell lines CCRF-CEM (Log GI50 = −6.40) and SR (Log GI50 = −6.06) [16]. 7-Phenyl-2-oxo-7-phenyl-3,5,6,7-tetrahydro-2H-thiopyrano[2,3-d]thiazole-6-carbaldehyde 116 showed high level of antimitotic activity against leukemia with mean GI50/TGI values 1.26/25.22 μM [31].
Figure 7.
Thiopyrano[2,3-d]thiazoles with anticancer activity in vitro.
One of the promising and quite new directions of thiazolidinone derivative investigations is the search for potent anti-parasitic agents, namely compounds exhibiting antitrypanosomal activity. Trypanosomiasis belongs to the so called world’s neglected diseases caused by Trypanosoma spp. [64]. Among spiro thiopyrano[2,3-d]thiazole 117 derivatives an active compound inhibiting growth of Trypanosoma brucei brucei and Trypanosoma brucei gambiense (the causative agent of African trypanosomiasis) with the IC50 values of 0.26 µM and 0.42 µM, respectively, was identified [48]. Interesting is dual anti-leukemic (log GI50 = −5.16, −5.59) and trypanocidal effects observed for thiopyranothiazole 118 bearing norbornane moiety that may be used for establishing molecular modes of action for this class of compounds (Figure 8) [63].
Figure 8.
Thiopyrano[2,3-d]thiazoles with trypanocidal activity.
Summarising all the above, fused thiopyranothiazoles can be used as a source for new antibacterial as well as antiviral agents. They also inhibited parasites growth. These results correlate with established anticancer profiles of the thiopyranothiazoles. Moreover, such fused heterocycles can be investigated as potent non-steroidal anti-inflammatory agents. Some structure-activity relationships are outlined in the Figure 9.
Figure 9.
Some structure-activity relationships of thiopyrano[2,3-d]thiazoles.
6. Conclusions
The efficient approaches to the thiopyranothiazoles scaffolds synthesis are outlined in this review. One of the most studied synthetic protocol for thiopyranothiazoles is the hetero-Diels–Alder [4+2]-cycloaddition being rather fast and efficient method that yields good outcomes and stereoselectivity of the products. The tandem processes based on hetero-Diels–Alder and Michael reactions used for the thiopirano[2,3-d]thiazoles synthesis have also been discussed. In contrast to the well discribed various synthetic routes of thiopyranothiazoles synthesis, biological activity of these derivatives have not been studied that much. Nevertheless, they are considered as 5-ene-4-thiazolidinone synthetic biomimetics that save pharmacological profile without revealing Michael acceptors properties. Among established biological activities of the thiopyrano[2,3-d]thiazole derivatives, the anti-inflammatory, antibacterial, anticancer as well as aniparasitic activities are the most prominent and need further in-depth studies. Considering all the above, the directed search for new drug-like molecules and possible chemotherapeutic agents among thiopyrano[2,3-d]thiazole derivatives is justified and promising direction in the medicinal chemistry. Moreover, the way of annealing of thiazolidine core into thiopyranothiazole analogs is used as one of the molecular optimization directions to decrease the toxicity and/or avoid the Michael acceptor properties as well.
Author Contributions
R.L. conceived and designed the review; O.R. and A.L. analyzed the literature data; R.L. and A.K. wrote the paper. All authors read and approved the final manuscript.
Funding
The project was partly supported by State Fund for Fundamental Research of Ukraine (F76/72-2017) and Ministry of Education and Science of Ukraine (M/181-2017).
Acknowledgments
This research was supported by the Danylo Halytsky Lviv National Medical University, which is gratefully acknowledged.
Conflicts of Interest
The authors declare no conflict of interest.
References
- Lesyk, R.B.; Zimenkovsky, B.S. 4-Thiazolidones: Centenarian history, current status and perspectives for modern organic and medicinal chemistry. Curr. Org. Chem. 2004, 8, 1547–1577. [Google Scholar] [CrossRef]
- Verma, A.; Saraf, S.K. 4-Thiazolidinone—A biologically active scaffold. Eur. J. Med. Chem. 2008, 43, 897–905. [Google Scholar] [CrossRef] [PubMed]
- Lesyk, R.B.; Zimenkovsky, B.S.; Kaminskyy, D.V.; Kryshchyshyn, A.P.; Havrylyuk, D.Y.; Atamanyuk, D.V.; Subtel’na, I.Y.; Khylyuk, D.V. Thiazolidinone motif in anticancer drug discovery. Experience of DH LNMU medicinal chemistry scientific group. Biopolym. Cell 2011, 27, 107–117. [Google Scholar] [CrossRef]
- Tripathi, A.C.; Gupta, S.J.; Fatima, G.N.; Sonar, P.K.; Verma, A.; Saraf, S.K. 4-Thiazolidinones: The advances continue…. Eur. J. Med. Chem. 2014, 72, 52–77. [Google Scholar] [CrossRef] [PubMed]
- Reginato, M.J.; Bailey, S.T.; Krakow, S.L.; Minami, C.; Ishii, S.; Tanaka, H.; Lazar, M.A. A potent antidiabetic thiazolidinedione with unique peroxisome proliferator-activated receptor gamma activating properties. J. Biol. Chem. 1998, 273, 32679–32684. [Google Scholar] [CrossRef] [PubMed]
- Kador, P.F.; Kinoshita, J.H.; Sharpless, N.E. Aldose reductase inhibitors: A potential new class of agents for the pharmacological control of certain diabetic complications. J. Med. Chem. 1985, 28, 841–849. [Google Scholar] [CrossRef] [PubMed]
- Charlier, C.; Mishaux, C. Dual inhibition of cyclooxygenase-2 (COX-2) and 5-lipoxygenase (5-LOX) as a new strategy to provide safer non-steroidal anti-inflammatory drugs. Eur. J. Med. Chem. 2003, 38, 645–659. [Google Scholar] [CrossRef]
- Palla, R.; Distratis, C.; Cominotto, R.; Panichi, V.; Pozzetti, G.; Bionda, A.; Neri, M.; Frattarelli, L. Renal Effects of Etozolin in Man. In Diuretics: Basic, Pharmacological, and Clinical Aspects. Developments in Nephrology; Andreucci, V.E., Dal Canton, A., Eds.; Springer: Boston, MA, USA, 1987; Volume 18, pp. 553–555. ISBN 978-1-4612-9227-2. [Google Scholar]
- Löscher, W.; von Hodenberg, A.; Nolting, B.; Fassbender, C.-P.; Taylor, C. Ralitoline: A reevaluation of anticonvulsant profile and determination of “active” plasma concentrations in comparison with prototype antiepileptic drugs in mice. Epilepsia 1991, 32, 560–568. [Google Scholar] [CrossRef] [PubMed]
- Baell, J.B.; Holloway, G.A. New substructure filters for removal of pan assay interference compounds (PAINS) from screening libraries and for their exclusion in bioassays. J. Med. Chem. 2010, 53, 2719–2740. [Google Scholar] [CrossRef] [PubMed]
- Baell, J.B. Feeling nature’s PAINS: Natural products, natural product drugs, and pan assay interference compounds (PAINS). J. Nat. Prod. 2016, 79, 616–628. [Google Scholar] [CrossRef] [PubMed]
- Aldrich, C.; Bertozzi, C.; Georg, G.I.; Kiessling, L.; Lindsley, C.; Liotta, D.; Merz, K.M., Jr.; Schepartz, A.; Wang, S. The ecstasy and agony of assay interference compounds. ACS Cent. Sci. 2017, 3, 143–147. [Google Scholar] [CrossRef] [PubMed]
- Kaminskyy, D.; Kryshchyshyn, A.; Lesyk, R. Recent developments with rhodanine as a scaffold for drug discovery. Expert Opin. Drug Discov. 2017, 12, 1233–1252. [Google Scholar] [CrossRef] [PubMed]
- Kaminskyy, D.; Kryshchyshyn, A.; Lesyk, R. 5-Ene-4-thiazolidinones—An efficient tool in medicinal chemistry. Eur. J. Med. Chem. 2017, 140, 542–594. [Google Scholar] [CrossRef] [PubMed]
- Lesyk, R.; Zimenkovsky, B.; Atamanyuk, D.; Jensen, F.; Kiec-Kononowicz, K.; Gzella, A. Anticancer thiopyrano[2,3-d][1,3]thiazol-2-ones with norbornane moiety. Synthesis, cytotoxicity, physico-chemical properties, and computational studies. Bioorg. Med. Chem. 2006, 14, 5230–5240. [Google Scholar] [CrossRef] [PubMed]
- Atamanyuk, D.; Zimenkovsky, B.; Lesyk, R. Synthesis and anticancer activity of novel thiopyrano[2,3-d]thiazole-based compounds containing norbornane moiety. J. Sulfur Chem. 2008, 29, 151–162. [Google Scholar] [CrossRef]
- Atamanyuk, D.; Zimenkovsky, B.; Atamanyuk, V.; Nektegayev, I.; Lesyk, R. Synthesis and biological activity of new thiopyrano[2,3-d]thiazoles containing a naphthoquinone moiety. Sci. Pharm. 2013, 81, 423–436. [Google Scholar] [CrossRef] [PubMed]
- Komarista, I.D. Synthesis, Transformations and Biological Activity of Some Azolidones and Their Condensed Derivatives. Ph.D. Thesis, Sechenov First State Medical Institute, Moscow, Russia, 1989. [Google Scholar]
- Kassab, N.A.; Allah, S.O.A.; Messeha, N.A. Reactions with 5-Substituted 2-Thiazolidinone-4-thiones. Part IV. J. Prakt. Chem. 1974, 316, 209–214. [Google Scholar] [CrossRef]
- Kassab, N.A.; Abd-Allah, S.O.; Abd-El-Razik, F.M. Reactions of 5-substituted 2-thiazolidone-4-thiones with dienophiles, acrylonitrile, ethyl acrylate, styryl ethyl ketone, ω-nitrostyrene, N-arylmaleimides and maleic anhydride. Indian J. Chem. 1976, 14B, 864–867. [Google Scholar]
- Komaritsa, I.D.; Baranov, S.N.; Grischuk, A.P. 4-Thiazolidines, derivatives and analogs. Chem. Heterocycl. Comp. 1967, 3, 533–534. [Google Scholar] [CrossRef]
- Plevachuk, N.E.; Komaritsa, I.D. A study of azolidones and their derivatives. Chem. Heterocycl. Comp. 1970, 6, 144–145. [Google Scholar] [CrossRef]
- Grishchuk, A.P.; Komaritsa, I.D.; Baranov, S.N. 4-Thionazolidones, derivatives and analogs. Chem. Heterocycl. Comp. 1966, 2, 541–543. [Google Scholar] [CrossRef]
- Omar, M.T.; El-Khamry, A.; Youssef, A.M.; Ramadan, S. Synthesis and stereochemistry of thiapyranothiazoles as Diels-Alder adducts obtained from spirodimers of 1,3-Thiazolidines with cinnamic acid and its ester. Phosphorus Sulfur Silicon Relat. Elem. 2003, 178, 721–735. [Google Scholar] [CrossRef]
- Metwally, N.H. A simple green synthesis of (Z)-5-arylmethylene-4-thioxothiazolidines and thiopyrano[2,3-d]thiazolidine-2-thiones in PEG-400 under catalyst-free conditions. J. Sulfur Chem. 2014, 35, 528–537. [Google Scholar] [CrossRef]
- Zelisko, N.; Atamanyuk, D.; Vasylenko, O.; Bryhas, A.; Matiychuk, V.; Gzella, A.; Lesyk, R. Crotonic, cynnamic and propiolic acids motifs in the synthesis of thiopyrano[2,3-d][1,3]thiazoles via hetero-Diels-Alder reaction and related tandem processes. Tetrahedron 2014, 70, 720–729. [Google Scholar] [CrossRef]
- Lozynskyi, A.; Zimenkovsky, B.; Lesyk, R. Synthesis and Anticancer Activity of New Thiopyrano[2,3-d]thiazoles Based on Cinnamic Acid Amides. Sci. Pharm. 2014, 82, 723–733. [Google Scholar] [CrossRef] [PubMed]
- Lozynskyi, A.; Zasidko, V.; Atamanyuk, D.; Kaminskyy, D.; Derkach, H.; Karpenko, O.; Ogurtsov, V.; Kutsyk, R.; Lesyk, R. Synthesis, antioxidant and antimicrobial activities of novel thiopyrano[2,3-d]thiazoles based on aroylacrylic acids. Mol. Divers. 2017, 21, 427–436. [Google Scholar] [CrossRef] [PubMed]
- Lozynskyi, A.; Zimenkovsky, B.; Nektegayev, I.; Lesyk, R. Arylidene pyruvic acids motif in the synthesis of new thiopyrano[2,3-d]thiazoles as potential biologically active compounds. Heterocycl. Commun. 2015, 21, 55–59. [Google Scholar] [CrossRef]
- Atamanyuk, D.V. Synthesis, Transformation and Biological Activity of Polycyclic Fused Systems Based on 4-Thiazolidones. Ph.D. Thesis, Danylo Halytsky Lviv National Medical University, Lviv, Ukraine, 2008. [Google Scholar]
- Lozynskyi, A.; Golota, S.; Zimenkovsky, B.; Atamanyuk, D.; Gzella, A.; Lesyk, R. Synthesis, anticancer and antiviral activities of novel thiopyrano[2,3-d]thiazole-6-carbaldehydes. Phosphorus Sulfur Silicon Relat. Elem. 2016, 191, 1245–1249. [Google Scholar] [CrossRef]
- Lozynskyi, A.; Zimenkovsky, B.; Karkhut, A.; Polovkovych, S.; Gzella, A.K.; Lesyk, R. Application of the 2(5H)furanone motif in the synthesis of new thiopyrano[2,3-d]thiazoles via the hetero-Diels–Alder reaction and related tandem processes. Tetrahedron Lett. 2016, 57, 3318–3321. [Google Scholar] [CrossRef]
- Zelisko, N.; Karpenko, O.; Muzychenko, V.; Gzella, A.; Grellier, P.; Lesyk, R. trans-Aconitic acid-based hetero-Diels-Alder reaction in the synthesis of thiopyrano[2,3-d][1,3]thiazole derivatives. Tetrahedron Lett. 2017, 58, 1751–1754. [Google Scholar] [CrossRef]
- Zelisko, N.I.; Finiuk, N.S.; Shvets, V.M.; Medvid, Y.O.; Stoika, R.S.; Lesyk, R.B. Screening of spiro-substituted thiopyrano[2,3-d]thiazoles for their cytotoxic action on tumor cells. Biopolym. Cell 2017, 33, 282–290. [Google Scholar] [CrossRef]
- Ead, H.A.; Metwalli, N.H. Heterodiene synthesis: Annulation of norbornenylogous systems with thiazolodine-4-thiones. Egypt. J. Chem. 1991, 32, 691–696. [Google Scholar]
- Polovkovych, S.V.; Karkhut, A.I.; Marintsova, N.G.; Lesyk, R.B.; Zimenkovsky, B.S.; Novikov, V.P. Synthesis of New Schiff Bases and Polycyclic Fused Thiopyranothiazoles Containing 4,6-Dichloro-1,3,5-Triazine Moiety. J. Heterocycl. Chem. 2013, 50, 1419–1424. [Google Scholar] [CrossRef]
- Metwally, N.H. A convenient synthesis of some new 5-substituted-4-thioxo-thiazolidines and fused thiopyrano[2,3-d]thiazole derivatives. Phosphorus Sulfur Silicon Relat. Elem. 2008, 183, 2073–2085. [Google Scholar] [CrossRef]
- Metwally, N.H. A novel synthesis of 1,4-bis(thiopyrano[2,3-d]thiazolyl)benzene derivatives. Heterocycles 2008, 75, 319–329. [Google Scholar] [CrossRef]
- Ead, H.A.; Abdallah, S.O.; Kassab, N.A.; Metwalli, N.H.; Saleh, Y.E. 5-(Ethoxymethylene)thiazolidine-2,4-dione derivatives: Reactions and biological activities. Arch. Pharm. 1987, 320, 1227–1232. [Google Scholar] [CrossRef]
- Atamanyuk, D.; Zimenkovsky, B.; Atamanyuk, V.; Lesyk, R. 5-Ethoxymethylidene-4-thioxo-2-thiazolidinone as Versatile Building Block for Novel Biorelevant Small Molecules with Thiopyrano[2,3-d][1,3]thiazole Core. Synth. Commun. 2014, 44, 237–244. [Google Scholar] [CrossRef]
- Kaminskyy, D.; Vasylenko, O.; Atamanyuk, D.; Gzella, A.; Lesyk, R. Isorhodanine and thiorhodanine motifs in the synthesis of fused thiopyrano[2,3-d][1,3]thiazoles. Synlett 2011, 10, 1385–1388. [Google Scholar] [CrossRef]
- Allah, S.O.A.; Ead, H.A.; Kassab, N.A.; Metwally, N.H. Activated nitriles in heterocyclic synthesis: Novel synthesis of thiopyrano[2,3-d]thiazoles. Heterocycles 1983, 20, 637–639. [Google Scholar] [CrossRef]
- Abdelrazek, F.M.; El-Sh Kandeel, Z.; Himly, K.M.H.; Elnagdi, M.H. Substituted acrylonitriles in heterocyclic synthesis. The reaction of α-substituted β-(2-furyl)-acrylonitriles with some active-methylene heterocycles. Synthesis 1985, 4, 432–434. [Google Scholar] [CrossRef]
- Zhang, Y.; Wang, S.; Wu, S.; Zhu, S.; Dong, G.; Miao, Z.; Yao, J.; Zhang, W.; Sheng, C.; Wang, W. Facile construction of structurally diverse thiazolidinedione-derived compounds via divergent stereoselective cascade organocatalysis and their biological exploratory studies. ACS Comb. Sci. 2013, 15, 298–308. [Google Scholar] [CrossRef] [PubMed]
- Metwally, N.H. Synthesis of some new fused thiopyrano[2,3-d]thiazoles and their derivatives. J. Sulfur Chem. 2007, 28, 275–284. [Google Scholar] [CrossRef]
- Zelisko, N.; Atamanyuk, D.; Ostapiuk, Y.; Bryhas, A.; Matiychuk, V.; Gzella, A.; Lesyk, R. Synthesis of fused thiopyrano[2,3-d][1,3]thiazoles via hetero-Diels–Alder reaction related tandem and domino processes. Tetrahedron 2015, 71, 9501–9508. [Google Scholar] [CrossRef]
- Zelisko, N.I.; Demchuk, I.L.; Lesyk, R.B. New thiopyrano[2,3-d]thiazoles as potential antiviral agents. Ukr. Biochem. J. 2016, 88, 105–112. [Google Scholar] [CrossRef]
- Zelisko, N.; Atamanyuk, D.; Vasylenko, O.; Grellier, P.; Lesyk, R. Synthesis and antitrypanosomal activity of new 6,6,7-trisubstituted thiopyrano[2,3-d][1,3]thiazoles. Bioorg. Med. Chem. Lett. 2012, 22, 7071–7074. [Google Scholar] [CrossRef] [PubMed]
- Kowiel, M.; Zelisko, N.; Atamanyuk, D.; Lesyk, R.; Gzella, A.K. 2-[7-(3,5-Dibromo-2-hydroxyphenyl)-6-ethoxycarbonyl-2-oxo-5H-2,3,6,7-tetrahydrothiopyrano[2,3-d][1,3]thiazol-6-yl]acetic acid ethanol monosolvate. Acta Crystalogr. E 2012, E68, o2721–o2722. [Google Scholar] [CrossRef] [PubMed]
- Lozynskyi, A.; Zimenkovsky, B.; Gzella, A.K.; Lesyk, R. Arylidene pyruvic acids motif in the synthesis of new 2H,5H-chromeno[4′,3′:4,5]thiopyrano[2,3-d]thiazoles via tandem hetero-Diels-Alder-hemiacetal reaction. Synth. Commun. 2015, 45, 2266–2270. [Google Scholar] [CrossRef]
- Lozynskyi, A.; Matiychuk, V.; Karpenko, O.; Gzella, A.K.; Lesyk, R. Tandem hetero-Diels–Alder-hemiacetal reaction in the synthesis of new chromeno[4′,3′:4,5]thiopyrano[2,3-d]thiazoles. Heterocycl. Commun. 2017, 23, 1–5. [Google Scholar] [CrossRef]
- Tietze, L.F. Domino reactions in organic synthesis. Chem. Rev. 1996, 96, 115–136. [Google Scholar] [CrossRef] [PubMed]
- Matiychuk, V.; Lesyk, R.; Obushak, M.; Gzella, A.; Atamanyuk, D.; Ostapiuk, Y.; Kryshchyshyn, A. A new domino-Knoevenagel-hetero-Diels-Alder reaction. Tetrahedron Lett. 2008, 49, 4648–4651. [Google Scholar] [CrossRef]
- Kryshchyshyn, A.P. Synthesis and Biological Activity of Chromeno[4′,3′:4,5]thiopyrano[2,3-d]thiazole and Isothiochromeno[4a,4-d]thiazole Derivatives. Ph.D. Thesis, Danylo Halytsky Lviv National Medical University, Lviv, Ukraine, 2011. [Google Scholar]
- Kryshchyshyn, A.; Atamanyuk, D.; Lesyk, R. Fused thiopyrano[2,3-d]thiazole derivatives as potential anticancer agents. Sci. Pharm. 2012, 80, 509–529. [Google Scholar] [CrossRef] [PubMed]
- Kryshchyshyn, A.; Zimenkovsky, B.; Lesyk, R. Synthesis and anticancer activity of isothiochromeno[3,4-d]thiazole derivatives. Ann. Univ. Mariae Curie Sklodowska DDD Pharm. 2008, 21, 247–251. [Google Scholar] [CrossRef]
- Bryhas, A.O.; Horak, Y.I.; Ostapiuk, Y.I.; Obushak, M.D.; Matiychuk, V.S. A new three-step domino Knoevenagel–hetero-Diels–Alder oxidation reaction. Tetrahedron Lett. 2011, 52, 2324–2326. [Google Scholar] [CrossRef]
- Zelisko, N.I. Synthesis, Transformation and Biological Activity of Thiopyrano[2,3-d]thiazole-Carboxylic Acids. Ph.D. Thesis, Danylo Halytsky Lviv National Medical University, Lviv, Ukraine, 2012. [Google Scholar]
- Biswas, S.; Jennens, L.; Field, H.J. The helicase primase inhibitor, BAY 57-1293 shows potent therapeutic antiviral activity superior to famciclovir in BALB/c mice infected with herpes simplex virus type 1. Antivir. Res. 2007, 75, 30–35. [Google Scholar] [CrossRef] [PubMed]
- Maga, G.; Falchi, F.; Garbelli, A.; Belfiore, A.; Witvrouw, M.; Manetti, F.; Botta, M. Pharmacophore modeling and molecular docking led to the discovery of inhibitors of human immunodeficiency virus-1 replication targeting the human cellular aspartic acid−glutamic acid−alanine−aspartic acid box polypeptide 3. J. Med. Chem. 2008, 51, 6635–6638. [Google Scholar] [CrossRef] [PubMed]
- Ead, H.A.; Metwalli, N.H.; Morsi, N.M. Cycloaddition reactions of 5-(2-thienyl)methylene derivatives of thiazolidinone-4-thiones and their antimicrobial activities. Arch. Pharm. Res. 1990, 13, 5–8. [Google Scholar] [CrossRef]
- Ead, H.A.; Abdallah, S.O.; Kassab, N.A.; Metwalli, N.H. Synthesis of the novel thiazolo[5,4-e][1,2,3]-thiazinees and their biological activities. Sulfur Lett. 1989, 9, 23–32. [Google Scholar]
- Kryshchyshyn, A.P.; Atamanyuk, D.V.; Kaminskyy, D.V.; Grellier, P.; Lesyk, R.B. Investigation of anticancer and anti-parasitic activity of thiopyrano[2,3-d]thiazoles bearing norbornane moiety. Biopolym. Cell 2017, 33, 183–205. [Google Scholar] [CrossRef]
- Kryshchyshyn, A.; Kaminskyy, D.; Grellier, P.; Lesyk, R. Trends in research of antitrypanosomal agents among synthetic heterocycles. Eur. J. Med. Chem. 2014, 85, 51–64. [Google Scholar] [CrossRef] [PubMed]
© 2018 by the authors. Licensee MDPI, Basel, Switzerland. This article is an open access article distributed under the terms and conditions of the Creative Commons Attribution (CC BY) license (http://creativecommons.org/licenses/by/4.0/).







































