Dynamic Modulation Band Rejection Filter Based on Spoof Surface Plasmon Polaritons
Abstract
1. Introduction
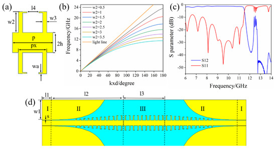
2. SSPPs Waveguide Design
3. Dynamic Modulation Filter Design and Study
4. Fabrication and Measurement
5. Conclusions
Author Contributions
Funding
Conflicts of Interest
References
- Barnes, W.L.; Dereux, A.; Ebbesen, T.W. Surface plasmon subwavelength optics. Nature 2003, 424, 824–830. [Google Scholar] [CrossRef] [PubMed]
- Foley, J.J.; McMahon, J.M.; Schatz, G.C.; Harutyunyan, H.; Wiederrecht, G.P.; Gray, S.K. Inhomogeneous Surface Plasmon Polaritons. ACS Photonics 2014, 1, 739–745. [Google Scholar] [CrossRef]
- Xu, X.G.; Ghamsari, B.G.; Jiang, J.H.; Gilburd, L.; Andreev, G.O.; Zhi, C.; Bando, Y.; Golberg, D.; Berini, P.; Walker, G.C. One-dimensional surface phonon polaritons in boron nitride nanotubes. Nat. Commun. 2014, 5, 4782. [Google Scholar] [CrossRef] [PubMed]
- Fang, N.; Lee, H.; Sun, C.; Zhang, X. Sub-diffraction-limited optical imaging with a silver superlens. Science 2005, 308, 534–537. [Google Scholar] [CrossRef]
- Yin, L.; Vlasko-Vlasov, V.K.; Pearson, J.; Hiller, J.M.; Hua, J.; Welp, U.; Brown, D.E.; Kimball, C.W. Subwavelength Focusing and Guiding of Surface Plasmons. Nano Lett. 2005, 5, 1399–1402. [Google Scholar] [CrossRef]
- Moreno, E.; Rodrigo, S.G.; Bozhevolnyi, S.I.; Martin-Moreno, L.; Garcia-Vidal, F.J. Guiding and focusing of electromagnetic fields with wedge plasmon polaritons. Phys. Rev. Lett. 2008, 100, 023901. [Google Scholar] [CrossRef]
- Wiecha, M.M.; Al-Daffaie, S.; Bogdanov, A.; Thomson, M.D.; Yilmazoglu, O.; Kuppers, F.; Soltani, A.; Roskos, H.G. Direct Near-Field Observation of Surface Plasmon Polaritons on Silver Nanowires. ACS Omega 2019, 4, 21962–21966. [Google Scholar] [CrossRef]
- Yanik, A.A.; Huang, M.; Kamohara, O.; Artar, A.; Geisbert, T.W.; Connor, J.H.; Altug, H. An optofluidic nanoplasmonic biosensor for direct detection of live viruses from biological media. Nano Lett. 2010, 10, 4962–4969. [Google Scholar] [CrossRef]
- Zeng, S.; Baillargeat, D.; Ho, H.P.; Yong, K.T. Nanomaterials enhanced surface plasmon resonance for biological and chemical sensing applications. Chem. Soc. Rev. 2014, 43, 3426–3452. [Google Scholar] [CrossRef]
- Huang, T.; Zeng, S.; Zhao, X.; Cheng, Z.; Shum, P. Fano Resonance Enhanced Surface Plasmon Resonance Sensors Operating in Near-Infrared. Photonics 2018, 5, 23. [Google Scholar] [CrossRef]
- Jiang, L.; Zeng, S.; Xu, Z.; Ouyang, Q.; Zhang, D.H.; Chong, P.H.J.; Coquet, P.; He, S.; Yong, K.T. Multifunctional Hyperbolic Nanogroove Metasurface for Submolecular Detection. Small 2017, 13, 1700600. [Google Scholar] [CrossRef] [PubMed]
- de Hoogh, A.; Opheij, A.; Wulf, M.; Rotenberg, N.; Kuipers, L. Harmonics Generation by Surface Plasmon Polaritons on Single Nanowires. ACS Photonics 2016, 3, 1446–1452. [Google Scholar] [CrossRef] [PubMed]
- Li, Y.; Kang, M.; Shi, J.; Wu, K.; Zhang, S.; Xu, H. Transversely Divergent Second Harmonic Generation by Surface Plasmon Polaritons on Single Metallic Nanowires. Nano Lett. 2017, 17, 7803–7808. [Google Scholar] [CrossRef]
- Ozbay, E. Plasmonics: Merging photonics and electronics at nanoscale dimensions. Science 2006, 311, 189–193. [Google Scholar] [CrossRef] [PubMed]
- Zhang, H.C.; Liu, S.; Shen, X.; Chen, L.H.; Li, L.; Cui, T.J. Broadband amplification of spoof surface plasmon polaritons at microwave frequencies. Laser Photonics Rev. 2015, 9, 83–90. [Google Scholar] [CrossRef]
- Williams, C.R.; Andrews, S.R.; Maier, S.A.; Fernández-Domínguez, A.I.; Martín-Moreno, L.; García-Vidal, F.J. Highly confined guiding of terahertz surface plasmon polaritons on structured metal surfaces. Nat. Photonics 2008, 2, 175–179. [Google Scholar] [CrossRef]
- Huang, Y.; Fang, Y.; Zhang, Z.; Zhu, L.; Sun, M. Nanowire-supported plasmonic waveguide for remote excitation of surface-enhanced Raman scattering. Light Sci. Appl. 2014, 3, e199. [Google Scholar] [CrossRef]
- Pendry, J.B.; Martin-Moreno, L.; Garcia-Vidal, F.J. Mimicking surface plasmons with structured surfaces. Science 2004, 305, 847–848. [Google Scholar] [CrossRef]
- Hibbins, A.P.; Evans, B.R.; Sambles, J.R. Experimental verification of designer surface plasmons. Science 2005, 308, 670–672. [Google Scholar] [CrossRef]
- Fernández-Domínguez, A.I.; Moreno, E.; Martín-Moreno, L.; García-Vidal, F.J.J.O.L. Terahertz wedge plasmon polaritons. Opt. Lett. 2009, 34, 2063–2065. [Google Scholar] [CrossRef]
- Ma, H.F.; Shen, X.; Cheng, Q.; Jiang, W.X.; Cui, T.J. Broadband and high-efficiency conversion from guided waves to spoof surface plasmon polaritons. Laser Photonics Rev. 2014, 8, 146–151. [Google Scholar] [CrossRef]
- Shen, X.; Cui, T.J.; Martin-Cano, D.; Garcia-Vidal, F.J. Conformal surface plasmons propagating on ultrathin and flexible films. Proc. Natl. Acad. Sci. USA 2013, 110, 40–45. [Google Scholar] [CrossRef] [PubMed]
- Tang, W.X.; Zhang, H.C.; Ma, H.F.; Jiang, W.X.; Cui, T.J. Concept, Theory, Design, and Applications of Spoof Surface Plasmon Polaritons at Microwave Frequencies. Adv. Opt. Mater. 2019, 7, 1800421. [Google Scholar] [CrossRef]
- Zhao, L.; Zhang, X.; Wang, J.; Yu, W.; Li, J.; Su, H.; Shen, X. A Novel Broadband Band-pass Filter Based on Spoof Surface Plasmon Polaritons. Sci. Rep. 2016, 6, 36069. [Google Scholar] [CrossRef]
- Liu, L.; Wang, J.; Yin, X.; Chen, Z. Wide-Angle Beam Scanning Leaky-Wave Antenna Using Spoof Surface Plasmon Polaritons Structure. Electronics 2018, 7, 348. [Google Scholar] [CrossRef]
- Itami, G.; Sakai, O.; Harada, Y. Two-Dimensional Imaging of Permittivity Distribution by an Activated Meta-Structure with a Functional Scanning Defect. Electronics 2019, 8, 239. [Google Scholar] [CrossRef]
- Wang, M.; Ma, H.F.; Tang, W.X.; Zhang, H.C.; Wang, Z.X.; Cui, T.J. Programmable controls of multiple modes of spoof surface plasmon polaritons to reach reconfigurable plasmonic devices. Adv. Mater. Technol. 2019, 4, 1800603. [Google Scholar] [CrossRef]
- Zhang, H.C.; Cui, T.J.; Xu, J.; Tang, W.; Liu, J.F. Real-time controls of designer surface plasmon polaritons using programmable plasmonic metamaterial. Adv. Mater. Technol. 2017, 2, 1600202. [Google Scholar] [CrossRef]
- Ma, Q.; Cui, T.J. Information Metamaterials: Bridging the physical world and digital world. PhotoniX 2020, 1, 1. [Google Scholar] [CrossRef]
- Zhang, X.; Tang, W.X.; Zhang, H.C.; Xu, J.; Bai, G.D.; Liu, J.F.; Cui, T.J. A Spoof Surface Plasmon Transmission Line Loaded with Varactors and Short-Circuit Stubs and Its Application in Wilkinson Power Dividers. Adv. Mater. Technol. 2018, 3, 1800046. [Google Scholar] [CrossRef]
- Chen, K.; Feng, Y.; Monticone, F.; Zhao, J.; Zhu, B.; Jiang, T.; Zhang, L.; Kim, Y.; Ding, X.; Zhang, S.; et al. A Reconfigurable Active Huygens’ Metalens. Adv. Mater. 2017, 29, 1606422. [Google Scholar] [CrossRef] [PubMed]
- Zhu, W.; Song, Q.; Yan, L.; Zhang, W.; Wu, P.C.; Chin, L.K.; Cai, H.; Tsai, D.P.; Shen, Z.X.; Deng, T.W.; et al. A flat lens with tunable phase gradient by using random access reconfigurable metamaterial. Adv. Mater. 2015, 27, 4739–4743. [Google Scholar] [CrossRef] [PubMed]
- Ratni, B.; de Lustrac, A.; Piau, G.-P.; Burokur, S.N. Electronic control of linear-to-circular polarization conversion using a reconfigurable metasurface. Appl. Phys. Lett. 2017, 111, 214101. [Google Scholar] [CrossRef]
- Huang, C.; Zhang, C.; Yang, J.; Sun, B.; Zhao, B.; Luo, X. Reconfigurable metasurface for multifunctional control of electromagnetic waves. Adv. Opt. Mater. 2017, 5, 1700485. [Google Scholar] [CrossRef]
- Wang, Z.X.; Zhang, H.C.; Lu, J.; Xu, P.; Wu, L.W.; Wu, R.Y.; Cui, T.J. Compact filters with adjustable multi-band rejections based on spoof surface plasmon polaritons. J. Phys. D Appl. Phys. 2019, 52, 025107. [Google Scholar] [CrossRef]
- Zhao, S.; Zhang, H.C.; Zhao, J.; Tang, W.X. An ultra-compact rejection filter based on spoof surface plasmon polaritons. Sci. Rep. 2017, 7, 10576. [Google Scholar] [CrossRef]
- Zhou, Y.J.; Xiao, Q.X. Electronically controlled rejections of spoof surface plasmons polaritons. J. Appl. Phys. 2017, 121, 123109. [Google Scholar] [CrossRef]
- Xu, J.; Zhang, H.C.; Tang, W.; Guo, J.; Qian, C.; Li, W. Transmission-spectrum-controllable spoof surface plasmon polaritons using tunable metamaterial particles. Appl. Phys. Lett. 2016, 108, 191906. [Google Scholar] [CrossRef]







© 2020 by the authors. Licensee MDPI, Basel, Switzerland. This article is an open access article distributed under the terms and conditions of the Creative Commons Attribution (CC BY) license (http://creativecommons.org/licenses/by/4.0/).
Share and Cite
Yang, W.; Liu, L.; Su, X.; Dong, L.; Liu, Y.; Li, Z. Dynamic Modulation Band Rejection Filter Based on Spoof Surface Plasmon Polaritons. Electronics 2020, 9, 993. https://doi.org/10.3390/electronics9060993
Yang W, Liu L, Su X, Dong L, Liu Y, Li Z. Dynamic Modulation Band Rejection Filter Based on Spoof Surface Plasmon Polaritons. Electronics. 2020; 9(6):993. https://doi.org/10.3390/electronics9060993
Chicago/Turabian StyleYang, Weigao, Lixiang Liu, Xiaoqiang Su, Lijuan Dong, Yanhong Liu, and Zhanfeng Li. 2020. "Dynamic Modulation Band Rejection Filter Based on Spoof Surface Plasmon Polaritons" Electronics 9, no. 6: 993. https://doi.org/10.3390/electronics9060993
APA StyleYang, W., Liu, L., Su, X., Dong, L., Liu, Y., & Li, Z. (2020). Dynamic Modulation Band Rejection Filter Based on Spoof Surface Plasmon Polaritons. Electronics, 9(6), 993. https://doi.org/10.3390/electronics9060993

