Accurate and Consistent Image-to-Image Conditional Adversarial Network
Abstract
:1. Introduction
2. Related Work
3. Problem Statement
4. Proposed Approach
4.1. Network Architecture
4.2. Training Details
5. Results
5.1. Qualitative Analysis
5.1.1. Translation from Domain x to Domain y
5.1.2. Translation from Domain y to Domain x
5.1.3. Analyzing the High Erroneous Regions
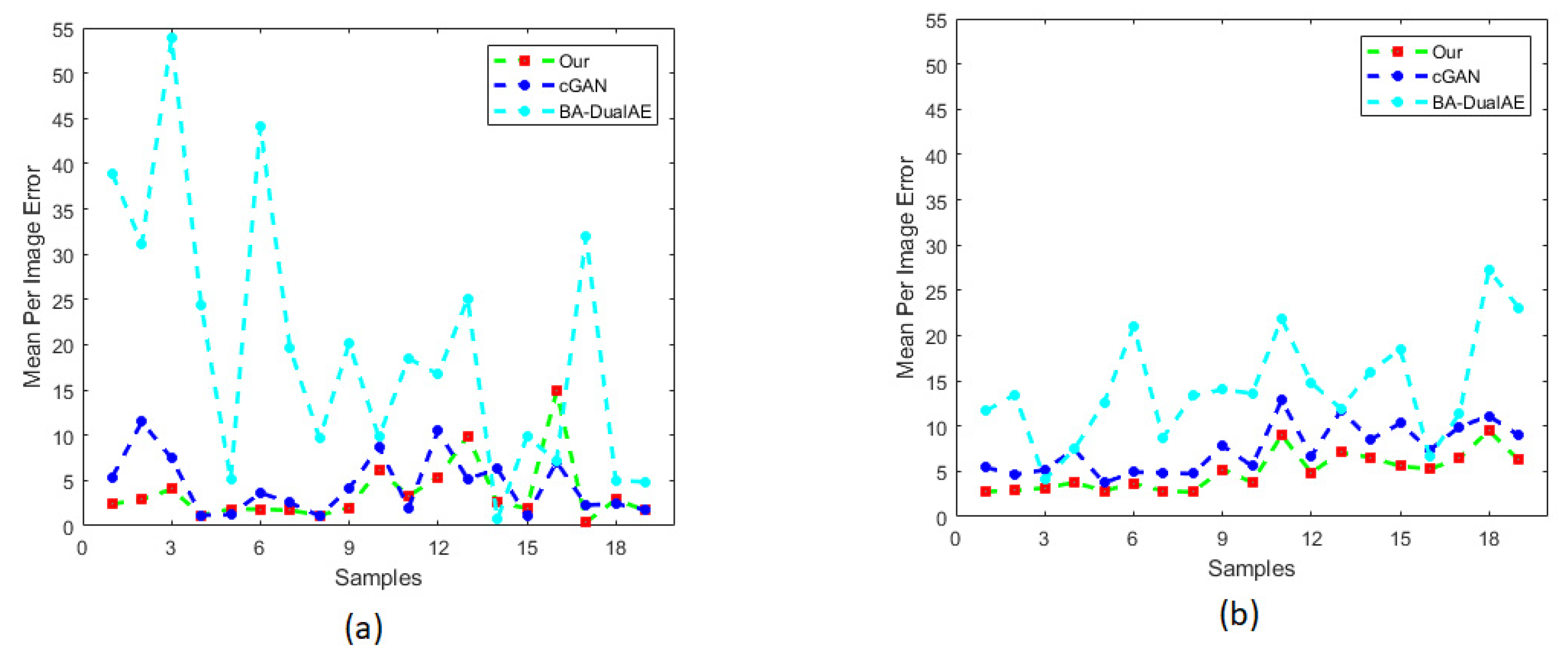
5.2. Quantitative Analysis
6. Discussion
7. Conclusions
Author Contributions
Funding
Conflicts of Interest
References
- Taigman, Y.; Polyak, A.; Wolf, L. Unsupervised cross-domain image generation. arXiv 2016, arXiv:1611.02200. [Google Scholar]
 - Kim, T.; Cha, M.; Kim, H.; Lee, J.K.; Kim, J. Learning to discover cross-domain relations with generative adversarial networks. In Proceedings of the 34th International Conference on Machine Learning, Sydney, Australia, 6–11 August 2017. [Google Scholar]
 - Liu, M.Y.; Breuel, T.; Kautz, J. Unsupervised image-to-image translation networks. In Proceedings of the Annual Conference on Neural Information Processing Systems, Long Beach, CA, USA, 4–9 December 2017. [Google Scholar]
 - Choi, Y.; Choi, M.; Kim, M.; Ha, J.W.; Kim, S.; Choo, J. Stargan: Unified generative adversarial networks for multi-domain image-to-image translation. In Proceedings of the IEEE Conference on Computer Vision and Pattern Recognition, Salt Lake City, UT, USA, 18–22 June 2018. [Google Scholar]
 - Zhu, J.Y.; Zhang, R.; Pathak, D.; Darrell, T.; Efros, A.A.; Wang, O.; Shechtman, E. Toward multimodal image-to-image translation. In Proceedings of the Annual Conference on Neural Information Processing Systems, Long Beach, CA, USA, 4–9 December 2017. [Google Scholar]
 - Ledig, C.; Theis, L.; Huszár, F.; Caballero, J.; Cunningham, A.; Acosta, A.; Aitken, A.; Tejani, A.; Totz, J.; Wang, Z.; et al. Photo-realistic single image super-resolution using a generative adversarial network. In Proceedings of the IEEE Conference on Computer Vision and Pattern Recognition, Honolulu, HI, USA, 21–26 July 2017. [Google Scholar]
 - Gatys, L.A.; Ecker, A.S.; Bethge, M. Image style transfer using convolutional neural networks. In Proceedings of the IEEE Conference on Computer Vision and Pattern Recognition, Las Vegas, NV, USA, 27–30 June 2016. [Google Scholar]
 - Shu, Z.; Yumer, E.; Hadap, S.; Sunkavalli, K.; Shechtman, E.; Samaras, D. Neural face editing with intrinsic image disentangling. In Proceedings of the IEEE Conference on Computer Vision and Pattern Recognition, Honolulu, HI, USA, 21–26 July 2017. [Google Scholar]
 - Goodfellow, Z.; Welling, M.; Cortes, C.; Lawrence, N.D.; Weinberger, K.Q. Generative adversarial nets. In Proceedings of the Annual Conference on Neural Information Processing Systems, Montreal, QC, Canada, 8–13 December 2014. [Google Scholar]
 - Isola, P.; Zhu, J.Y.; Zhou, T.; Efros, A.A. Image-to-image translation with conditional adversarial networks. In Proceedings of the IEEE Conference on Computer Vision and Pattern Recognition, Honolulu, HI, USA, 21–26 July 2017. [Google Scholar]
 - Islam, N.U.; Lee, S. Cross Domain Image Transformation Using Effective Latent Space Association. In Proceedings of the 15th International Conference IAS-15, Baden-Baden, Germany, 11–14 June 2018. [Google Scholar]
 - Islam, N.U.; Lee, S. Interpretation of deep CNN based on learning feature reconstruction with feedback weights. IEEE Access 2019, 7, 25195–25208. [Google Scholar] [CrossRef]
 - Islam, N.U.; Lee, S. Learning Typical 3D Representation from a Single 2D Correspondence using 2D-3D Transformation Network. In Proceedings of the International Conference on Ubiquitous Information Management and Communication, Phuket, Thailand, 4–6 January 2019. [Google Scholar]
 - Shrivastava, A.; Pfister, T.; Tuzel, O.; Susskind, J.; Wang, W.; Webb, R. Learning from simulated and unsupervised images through adversarial training. In Proceedings of the IEEE Conference on Computer Vision and Pattern Recognition, Honolulu, HI, USA, 21–26 July 2017. [Google Scholar]
 - Yi, Z.; Zhang, H.; Tan, P.; Gong, M. Dualgan: Unsupervised dual learning for image-to-image translation. In Proceedings of the IEEE International Conference on Computer Vision, Honolulu, HI, USA, 21–26 July 2017. [Google Scholar]
 - Cheng, Z.; Yang, Q.; Sheng, B. Deep colorization. In Proceedings of the IEEE International Conference on Computer Vision, Boston, MA, USA, 7–12 June 2015. [Google Scholar]
 - Iizuka, S.; Simo-Serra, E.; Ishikawa, H. Let there be color!: Joint end-to-end learning of global and local image priors for automatic image colorization with simultaneous classification. ACM Trans. Graph. (TOG) 2016, 35, 110. [Google Scholar] [CrossRef]
 - Baldi, P. Autoencoders, unsupervised learning, and deep architectures. In Proceedings of the ICML Workshop on Unsupervised and Transfer Learning, Edinburgh, UK, 26 June 26–1 July 2012. [Google Scholar]
 - Kingma, D.P.; Welling, M. Auto-encoding variational bayes. arXiv 2013, arXiv:1312.6114. [Google Scholar]
 - Rezende, D.J.; Mohamed, S.; Wierstra, D. Stochastic backpropagation and approximate inference in deep generative models. arXiv 2014, arXiv:1401.4082. [Google Scholar]
 - Li, Y.; Swersky, K.; Zemel, R. Generative moment matching networks. In Proceedings of the International Conference on Machine Learning, Lille, France, 6–11 July 2015. [Google Scholar]
 - Van den Oord, A.; Kalchbrenner, N.; Espeholt, L.; Vinyals, O.; Graves, A. Conditional image generation with pixelcnn decoders. In Proceedings of the Annual Conference on Neural Information Processing Systems, Barcelona, Spain, 5–10 December 2016. [Google Scholar]
 - Nguyen, A.; Clune, J.; Bengio, Y.; Dosovitskiy, A.; Yosinski, J. Plug and play generative networks: Conditional iterative generation of images in latent space. In Proceedings of the IEEE Conference on Computer Vision and Pattern Recognition, Honolulu, HI, USA, 21–26 July 2017. [Google Scholar]
 - Denton, E.L.; Chintala, S.; Fergus, R. Deep generative image models using a laplacian pyramid of adversarial networks. In Proceedings of the Annual Conference on Neural Information Processing Systems, Montréal, QC, Canada, 7–12 December 2015. [Google Scholar]
 - Radford, A.; Metz, L.; Chintala, S. Unsupervised representation learning with deep convolutional generative adversarial networks. arXiv 2015, arXiv:1511.06434. [Google Scholar]
 - Arjovsky, M.; Chintala, S.; Bottou, L. Wasserstein gan. arXiv 2017, arXiv:1701.07875. [Google Scholar]
 - Zhou, S.; Xiao, T.; Yang, Y.; Feng, D.; He, Q.; He, W. Genegan: Learning object transfiguration and attribute subspace from unpaired data. arXiv 2017, arXiv:1705.04932. [Google Scholar]
 - Lee, S.; Islam, N.U. Robust Image Translation and Completion Based on Dual Auto-Encoder with Bidirectional Latent Space Regression. IEEE Access 2019, 7, 58695–58703. [Google Scholar] [CrossRef]
 - Kingma, D.P.; Ba, J. Adam: A method for stochastic optimization. arXiv 2014, arXiv:1412.6980. [Google Scholar]
 - Silberman, N.; Fergus, R. Indoor scene segmentation using a structured light sensor. In Proceedings of the 2011 IEEE International Conference on Computer Vision Workshops, Barcelona, Spain, 6–13 November 2011. [Google Scholar]
 - Cordts, M.; Omran, M.; Ramos, S.; Rehfeld, T.; Enzweiler, M.; Benenson, R.; Franke, U.; Roth, S.; Schiele, B. The cityscapes dataset for semantic urban scene understanding. In Proceedings of the IEEE Conference on Computer Vision and Pattern Recognition, Las Vegas, NV, USA, 27–30 June 2016. [Google Scholar]
 - Zhao, J.; Mathieu, M.; LeCun, Y. Energy-based generative adversarial network. arXiv 2016, arXiv:1609.03126. [Google Scholar]
 









| Approach | MSE per Pixel | MSE per Image | SSIM per Pixel | SSIM per Image | 
|---|---|---|---|---|
| BA-DualAE-based Approach [28] | ||||
| cGAN-based Approach [10] | ||||
| Proposed Approach | 
© 2020 by the authors. Licensee MDPI, Basel, Switzerland. This article is an open access article distributed under the terms and conditions of the Creative Commons Attribution (CC BY) license (http://creativecommons.org/licenses/by/4.0/).
Share and Cite
Islam, N.U.; Lee, S.; Park, J. Accurate and Consistent Image-to-Image Conditional Adversarial Network. Electronics 2020, 9, 395. https://doi.org/10.3390/electronics9030395
Islam NU, Lee S, Park J. Accurate and Consistent Image-to-Image Conditional Adversarial Network. Electronics. 2020; 9(3):395. https://doi.org/10.3390/electronics9030395
Chicago/Turabian StyleIslam, Naeem Ul, Sungmin Lee, and Jaebyung Park. 2020. "Accurate and Consistent Image-to-Image Conditional Adversarial Network" Electronics 9, no. 3: 395. https://doi.org/10.3390/electronics9030395
APA StyleIslam, N. U., Lee, S., & Park, J. (2020). Accurate and Consistent Image-to-Image Conditional Adversarial Network. Electronics, 9(3), 395. https://doi.org/10.3390/electronics9030395
        
