A Methodology to Analyze the Fault Tolerance of Demosaicking Methods against Memory Single Event Functional Interrupts (SEFIs)
Abstract
1. Introduction
- Row SEFIs: when part of a row, one row or several rows are affected.
- Column SEFIs: when part of a column, one or several columns are corrupted.
- Device SEFIs: the whole device is affected by the SEFI.
- Single Row SEFI: only one row is affected.
- Band SEFI: several consecutive rows include corrupted data.
- Region SEFIs: more than one bank was affected.
2. Motivation and Related Work
- Neighbor [25]: this method is based on the nearest-neighbor interpolation. The remaining RGB pixel values in the color demosaicked image are obtained by using the nearest neighbor’s values in the raw Bayer image. This method creates blocky artifacts and it is only used when the application requires a high-speed implementation.
- Bilinear [25]: in this method, the remaining pixel values of the RGB demosaicked image are estimated by performing a convolution with a bilinear interpolation matrix. There are other linear interpolation methods such as bicubic or biquadratic, however bilinear is the most common.
- Smooth Hue [25]: in order to mitigate chrominance distortions created by the previous method, hue values are interpolated rather than chrominance values. Typically, the green channel is bilinearly interpolated and then used in the hue interpolation of the red and blue channels.
- Gradient-based [25]: the edges in the demosaicked RGB image obtained after applying the previously described methods are less defined. The gradient-based method adaptively interpolates the green channel by using the information provided by the vertical and horizontal gradients. If, for example, the horizontal gradient is smaller than the vertical gradient then the interpolation is performed only in the horizontal direction. The red and blue channels are interpolated normally by using a bilinear convolution since the human eye is more sensitive to green variations.
- Median-based [25]: this method calculates missing color values by processing the result of a Bilinear method. Median filtering is applied to differences between color planes (red-green, blue-green). Results are then combined with the original information to calculate the final pixel values.
- Hamilton–Adams [26]: this algorithm is divided into two steps. First, the green channel is interpolated by adding the smallest of the second-order gradients of the blue and red channels in the vertical and horizontal directions to the average of the green samples as correction terms. Then, the red and blue channels are similarly interpolated by using the second-order gradients of the green channel.
- LMMSE [27]: in this case, the missing green channel samples are adaptively estimated in both horizontal and vertical directions using the LMMSE estimation. These directional estimates are fused to obtain a full resolution green channel. Finally, the remaining two color channels are obtained by interpolating and then subtracting them from the green channel.
- CDI-based [28]: this algorithm is based on hard-coded heuristics for interpolation. The authors propose a scheme that exploits the correlation between different color channels and neighborhood pixels. The algorithm is a linear combination of low pass filter (LPF) and color difference interpolation (CDI).
3. Fault Tolerance Methodology
3.1. Experimental Set-Up
- 10 images belonging to the standard Kodak color image database [29] which include various scenes
- 10 space-related images of 640 × 480 pixels each
- 20 space-related images of 1920 × 1280 pixels each.
- A SEFI was injected by simulating the corruption of random rows (a multiple of half a row) of the original Bayer image.
- The corrupted image was converted to RGB by using the interpolation algorithms under test (in our case the eight interpolation algorithms explained in Section 2).
- These resulting corrupted RGB images were compared to the initial golden RGB image and the PSNR is calculated.
- The injected error was then removed. Notice that, to make the process easier, the corruption rows could be performed by accumulation, i.e., keeping the error and adding an additional corrupted row (or half a row) on top of it. The error was only removed when the maximum selected number of error rows was reached (e.g., six rows in the experiments).
- The loop started again until the specified number of errors was injected.
3.2. Experimental Results
3.2.1. Quality of the Algorithms in the Absence of Errors
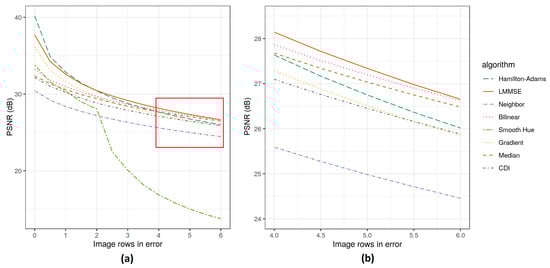
3.2.2. Quality of the Algorithms in the Presence of Errors
3.3. About the Experimental Methodology
- SEUs or any other soft error effects have not been simulated. Although SEUs are quite common errors, and therefore they represent the standard failure model when testing many space applications, they are less representative in image demosaicking. This is because a regular number of SEUs will not heavily modify the PSNR of the final images, being negligible in most cases.
- Error accumulation has not been considered. Once an error has been injected and tested, it is removed before continuing with the fault injection campaign. The isolated error model is the most usual approach in literature, since soft errors are usually scarce events, and therefore it is not common for them to accumulate.
4. Conclusions
Author Contributions
Funding
Conflicts of Interest
References
- Siegle, F.; Vladimirova, T.; Ilstad, J.; Emam, O. Mitigation of radiation effects in SRAM-based FPGAs for space applications. ACM Comput. Surv. (CSUR) 2015, 47, 37–72. [Google Scholar] [CrossRef]
- Argyrides, C.; Reviriego, P.; Pradhan, D.K.; Maestro, J.A. Matrix-based codes for adjacent error correction. IEEE Trans. Nucl. Sci. 2010, 57, 2106–2111. [Google Scholar] [CrossRef]
- Bak, G.; Lee, S.; Lee, H.; Park, K.; Baeg, S.; Wen, S.; Wong, R.; Slayman, C. Logic soft error study with 800-MHz DDR3 SDRAMs in 3x nm using proton and neutron beams. In Proceedings of the 2015 IEEE International Reliability Physics Symposium, Monterey, CA, USA, 19–23 April 2015; pp. SE.3.1–SE.3.5. [Google Scholar]
- Guertin, S.M.; Partterson, J.D.; Nguyen, D.N. Dynamic SDRAM SEFI detection and recovery test results. In Proceedings of the 2004 IEEE Radiation Effects Data Workshop, Atlanta, GA, USA, 22 July 2004; pp. 62–67. [Google Scholar]
- Bougerol, A.; Miller, F.; Guibbaud, N.; Gaillard, R.; Moliere, F.; Buard, N. Use of laser to explain heavy ion induced SEFIs in SDRAMs. IEEE Trans. Nucl. Sci. 2010, 57, 272–278. [Google Scholar] [CrossRef]
- Herrmann, M. Radiation effects in DRAMs. In Ionizing Radiation Effects in Electronics; Bagatin, M., Gerardin, S., Eds.; CRC: Boca Raton, FL, USA, 2016; pp. 77–95. ISBN 9781498722605. [Google Scholar]
- Guertin, S.M.; Allen, G.R.; Sheldon, D.J. Programmatic impact of SDRAM SEFI. In Proceedings of the 2012 IEEE Radiation Effects Data Workshop, Tucson, AZ, USA, 16–20 July 2012; pp. 1–8. [Google Scholar]
- Longden, L.; Thibodeau, C.; Hillman, R.; Layton, P.; Dowd, M. Designing a Single Board Computer for Space Using the Most Advanced Processor and Mitigation Technologies; White Paper-Case Study; Maxwell Technol. Inc.: San Diego, CA, USA, 2002. [Google Scholar]
- Pontarelli, S.; Cardarilli, G.C.; Re, M.; Salsano, A. Error correction codes for SEU and SEFI tolerant memory systems. In Proceedings of the 2009 24th IEEE International Symposium on Defect and Fault Tolerance in VLSI Systems, Chicago, IL, USA, 7–9 October 2009; pp. 425–430. [Google Scholar]
- Sánchez-Macián, A.; Reviriego, P.; Maestro, J.A. Combined SEU and SEFI protection for memories using orthogonal latin square codes. IEEE Trans. Circuits Syst. I Reg. Pap. 2016, 63, 1933–1943. [Google Scholar] [CrossRef]
- Gunturk, B.K.; Glotzbach, J.; Altunbasak, Y.; Schafer, R.W.; Mersereau, R.M. Demosaicking: Color filter array interpolation. IEEE Signal Process. Mag. 2005, 22, 44–54. [Google Scholar] [CrossRef]
- Ramanath, R.; Snyder, W.E.; Bilbro, G.L.; Sander, W.A. Demosaicking methods for Bayer color arrays. J. Electron. Imaging 2002, 11, 306–316. [Google Scholar] [CrossRef]
- Triana, J.S.; Bautista, S.; González, F.A.D. Identification of design considerations for small satellite remote sensing systems in low earth orbit. J. Aerosp. Technol. Manag. 2015, 7, 121–134. [Google Scholar] [CrossRef]
- Herrmann, M.; Grurmann, K.; Gliem, F.; Schmidt, H.; Ferlet-Cavrois, V. In-situ TID test of 4-Gbit DDR3 SDRAM devices. In Proceedings of the 2013 IEEE Radiation Effects Data Workshop, San Francisco, CA, USA, 8–12 July 2013; pp. 1–7. [Google Scholar]
- Schmidt, H.; Hermann, M.; Grürmann, K.; Gliem, F.; Ferlet-Cavrois, V. Radiation hard memory. Radiation testing of candidate memory devices for Laplace mission. In Proceedings of the 2015 CNES/ESA Radiation Effects Final Presentation Days, Toulouse, France, 6–9 March 2015; pp. 1–112. [Google Scholar]
- Sabogal, S.; George, A.; Wilson, C. Reconfigurable Framework for Environmentally Adaptive Resilience in Hybrid Space Systems. ACM Trans. Reconfigurable Technol. Syst. (TRETS) 2020, 13, 1–32. [Google Scholar] [CrossRef]
- Chen, X.; He, L.; Jeon, G.; Jeong, J. Multidirectional weighted interpolation and refinement method for Bayer pattern CFA demosaicking. IEEE Trans. Circuits Syst. Video Technol. 2015, 25, 1271–1282. [Google Scholar] [CrossRef]
- Wang, Y.Q. A multilayer neural network for image demosaicking. In Proceedings of the IEEE International Conference on Image Processing (ICIP), Paris, France, 27–30 October 2014; pp. 1852–1856. [Google Scholar]
- Heinze, T.; von Lowis, M.; Polze, A. Joint multi-frame demosaicing and super-resolution with artificial neural networks. In Proceedings of the IEEE 19th International Conference on Systems, Signals and Image Processing (IWSSIP), Vienna, Austria, 11–13 April 2012; pp. 540–543. [Google Scholar]
- Henz, B.; Gastal, E.S.; Oliveira, M.M. Deep joint design of color filter arrays and demosaicing. Comput. Graph. Forum 2018, 37, 389–399. [Google Scholar] [CrossRef]
- Wang, J.; Wu, J.; Wu, Z.; Jeon, G. Filter-based Bayer pattern CFA demosaicking. Circuits Syst. Signal Process. 2017, 36, 2917–2940. [Google Scholar] [CrossRef]
- Breier, M.; Haas, C.; Li, W.; Merhof, D. Color filter arrays revisited-evaluation of Bayer pattern interpolation for industrial applications. In Proceedings of the IEEE 14th International Conference on Industrial Informatics (INDIN), Poitiers, France, 19–21 July 2016; pp. 52–57. [Google Scholar]
- Hernández, D.C.M.; González, F.A.D.; Correa, J.S.T.; Cabrera, P.R.P. Quality evaluation of chromatic interpolation algorithms for image acquisition system. J. Aerosp. Technol. Manag. 2016, 8, 339–351. [Google Scholar] [CrossRef]
- Tan, H.; Zeng, X.; Lai, S.; Liu, Y.; Zhang, M. Joint demosaicing and denoising of noisy Bayer images with ADMM. In Proceedings of the 2017 IEEE International Conference on Image Processing (ICIP), Beijing, China, 17–20 September 2017; pp. 2951–2955. [Google Scholar]
- Swirski, L. CFA interpolation detection. In Topics in Security: Forensic Signal Analysis; University of Cambridge: Cambridge, UK, 2009. [Google Scholar]
- Hamilton, J.F., Jr.; Adams, J.E. Adaptive Color Plane Interpolation in Single Sensor Color Electronic Camera. U.S. Patent 5,629,734, 29 July 1997. [Google Scholar]
- Zhang, L.; Lukac, R.; Wu, X.; Zhang, D. PCA-based spatially adaptive denoising of CFA images for single-sensor digital cameras. IEEE Trans. Image Process. 2009, 18, 797–812. [Google Scholar] [CrossRef] [PubMed]
- Jaiswal, S.P.; Au, O.C.; Jakhetiya, V.; Yuan, Y.; Yang, H. Exploitation of inter-color correlation for color image demosaicking. In Proceedings of the 2014 IEEE International Conference on Image Processing (ICIP), Paris, France, 27–30 October 2014; pp. 1812–1816. [Google Scholar]
- Franzen, R. Kodak Lossless True Color Image Suite. 2013. Available online: http://r0k.us/graphics/kodak/ (accessed on 15 February 2019).
- Grubbs, R. NASA Image and Video Library; 2018. Available online: https://images.nasa.gov/ (accessed on 22 May 2019).
- Trifan, A.; Neves, A.J. A survey on lossless compression of Bayer color filter array images. Int. J. Comput. Electr. Autom. Control Inform. Eng 2016, 10, 729–734. [Google Scholar]
- Xilinx, Inc. ZC702 Evaluation Board for the Zynq-7000 XC7Z020 All Programmable SoC, User Guide, UG850 (v1.6.1). 2018. Available online: https://www.xilinx.com/support/documentation/boards_and_kits/zc702_zvik/ug850-zc702-eval-bd.pdf (accessed on 9 February 2019).







| Hamilton-Adams | LMMSE | Neighbor | Bilinear | Smooth Hue | Gradient | Median | CDI |
|---|---|---|---|---|---|---|---|
| 2.04x | 154.75x | 1.13x | 1.00x | 1.15x | 3.21x | 1.93x | 127.38x |
| H-A | LMMSE | Neighbor | Bilinear | Smooth Hue | Gradient | Median | CDI | |
|---|---|---|---|---|---|---|---|---|
| In the absence of errors | 40.19 | 37.73 | 30.45 | 33.22 | 33.75 | 36.13 | 32.37 | 32.15 |
| Excluding affected rows | 37.44 | 36.78 | 29.63 | 32.45 | 32.38 | 34.75 | 31.85 | 31.35 |
| Degradation | 2.75 | 0.95 | 0.82 | 0.77 | 1.37 | 1.38 | 0.52 | 0.80 |
© 2020 by the authors. Licensee MDPI, Basel, Switzerland. This article is an open access article distributed under the terms and conditions of the Creative Commons Attribution (CC BY) license (http://creativecommons.org/licenses/by/4.0/).
Share and Cite
Aranda, L.A.; Sánchez-Macián, A.; Maestro, J.A. A Methodology to Analyze the Fault Tolerance of Demosaicking Methods against Memory Single Event Functional Interrupts (SEFIs). Electronics 2020, 9, 1619. https://doi.org/10.3390/electronics9101619
Aranda LA, Sánchez-Macián A, Maestro JA. A Methodology to Analyze the Fault Tolerance of Demosaicking Methods against Memory Single Event Functional Interrupts (SEFIs). Electronics. 2020; 9(10):1619. https://doi.org/10.3390/electronics9101619
Chicago/Turabian StyleAranda, Luis Alberto, Alfonso Sánchez-Macián, and Juan Antonio Maestro. 2020. "A Methodology to Analyze the Fault Tolerance of Demosaicking Methods against Memory Single Event Functional Interrupts (SEFIs)" Electronics 9, no. 10: 1619. https://doi.org/10.3390/electronics9101619
APA StyleAranda, L. A., Sánchez-Macián, A., & Maestro, J. A. (2020). A Methodology to Analyze the Fault Tolerance of Demosaicking Methods against Memory Single Event Functional Interrupts (SEFIs). Electronics, 9(10), 1619. https://doi.org/10.3390/electronics9101619

