You are currently viewing a new version of our website. To view the old version click .
Electronics
  • This is an early access version, the complete PDF, HTML, and XML versions will be available soon.
  • Article
  • Open Access

3 January 2026

RoadMark-cGAN: Generative Conditional Learning to Directly Map Road Marking Lines from Aerial Orthophotos via Image-to-Image Translation

,
,
,
,
,
and
1
Departamento de Ingeniería Topográfica y Cartografía, Escuela Técnica Superior de Ingenieros en Topografía, Geodesia y Cartografía, Universidad Politécnica de Madrid, C/Mercator 2, 28031 Madrid, Spain
2
Department of Complexity Science and Engineering, Graduate School of Frontier Sciences, University of Tokyo, 5-1-5 Kashiwanoha, Kashiwa-shi 277-8561, Japan
3
Geoinformatics Team, RIKEN Center for Advanced Intelligence Project (AIP), Mitsui Building 15th Floor, 1-4-1 Nihonbashi, Tokyo 103-0027, Japan
4
Departamento de Sistemas Informáticos, Escuela Técnica Superior de Ingenieros de Sistemas Informáticos, Universidad Politécnica de Madrid, C/Alan Turing s/n, 28031 Madrid, Spain
Electronics2026, 15(1), 224;https://doi.org/10.3390/electronics15010224 
(registering DOI)
This article belongs to the Special Issue Signal and Image Processing Applications in Artificial Intelligence, 2nd Edition

Abstract

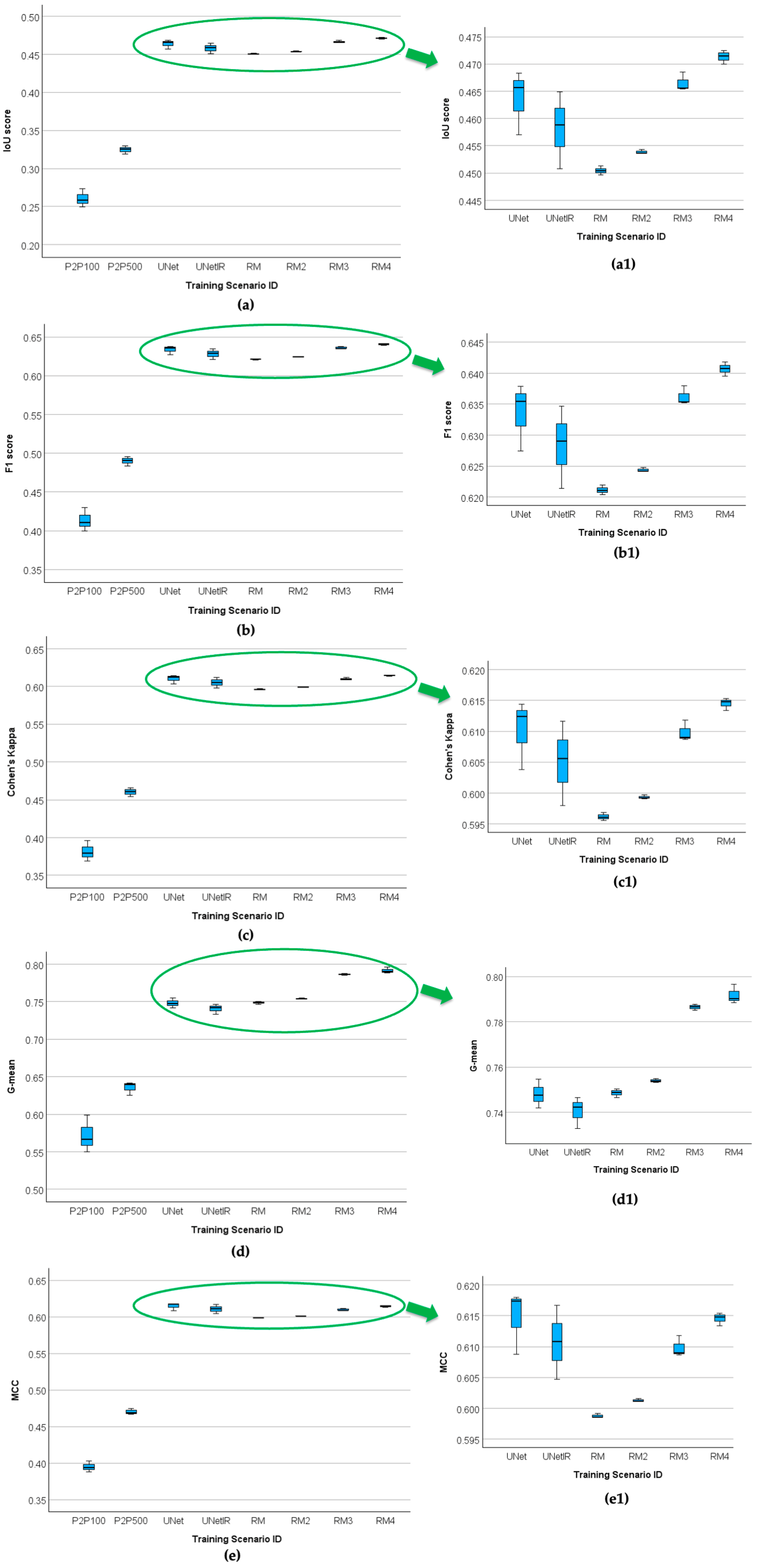
Road marking lines can be extracted from aerial images using semantic segmentation (SS) models; however, in this work, a conditional generative adversarial network, RoadMark-cGAN, is proposed for direct extraction of these representations with image-to-image translation techniques. The generator features residual and attention blocks added in a functional bottleneck, while the discriminator features a modified PatchGAN, with an optimized encoder and an attention block added. The proposed model is improved in three versions (v2 to v4), in which dynamic dropout techniques and a novel “Morphological Boundary-Sensitive Class-Balanced” (MBSCB) loss are progressively added to better handle the high class imbalance present in the data. All models were trained on a novel “RoadMarking-binary” dataset (29,405 RGB orthoimage tiles of 256 × 256 pixels and their corresponding ground truth masks) to learn the distribution of road marking lines found on pavement. The metrical evaluation on the test set containing 2045 unseen images showed that the best proposed model achieved average improvements of 45.2% and 1.7% in the Intersection-over-Union (IoU) score for the positive, underrepresented class when compared to the best Pix2Pix and SS models, respectively, trained for the same task. Finally, a qualitative, visual comparison was conducted to assess the quality of the road marking predictions of the best models and their mapping performance.

Article Metrics

Citations

Article Access Statistics

Multiple requests from the same IP address are counted as one view.