Permeability Index Modeling with Multiscale Time Delay Characteristics Excavation in Blast Furnace Ironmaking Process
Abstract
1. Introduction
- Multiple Time Scales: Various parameters of BFP belong to different operating systems, so they have different time scales of influence on PI [8]. The burden charging operation on the upper part of blast furnace changes the PI primarily by affecting the burden distribution, which requires a long transition period of about 6–8 h. The oxygen enrichment rate changes the height of the soft melting zone and the size of the combustion zone by influencing the internal temperature distribution of the blast furnace, thereby affecting the PI. Since it mainly affects the lower burden of the blast furnace, the influence time scale is 15–30 min. The blast supply system directly affects the distribution of gas flow and pressure, thus completely altering PI in just a few minutes [9].
- Nonstationarity: As illustrated in Figure 1b, due to the periodic equipment switching of the heated air subsystem, there occur some upward or downward spikes in the data, resulting in the data’s nonstationarity [10]. Such nonstationarity will cause a modal aliasing phenomenon when using time series decomposition methods for sequence decomposition, causing “data contaminated”. A detailed introduction to this section will be provided in Section 3.1.
- Nonlinearity: Extremely complicated physical and chemical processes in BFP give temporal variables complex nonlinearity characteristics. This unknown-structured nonlinear relationship will pose challenges for modeling. The nonlinear relationship of PI is expressed as follows in Equation (1):where f represents the nonlinear relationship between PI and other parameters, X represents observation parameters related to PI, is the nonlinear order of the parameter corresponding to the subscript, and the subscript n is the total number of these parameters.
- To address the challenge of traditional correlation methods in extracting delays under complex noise conditions in blast furnaces, this article proposes a novel delay extraction method based on wavelet coherence analysis from a multi-resolution perspective and explores reliable multiscale delay knowledge of PI for the first time.
- To comprehensively address data nonstationarity and nonlinearity, this paper proposes a fusion prediction method based on OSA and WNN, which extracts the spatial characteristics between variables from different perspectives in both time and frequency domains, as well as global and local scales, thereby expanding the representation capability of PI.
- To achieve accurate early prediction performance of PI, a practical advance prediction framework is built by fusing extracted delay information and integrating spatiotemporal dimensions through the Gauss–Markov estimation method. We conduct experiments on the proposed method and other traditional methods using actual data. Extensive experimental results demonstrate that the proposed method can consistently maintain good predictive performance. With the increase in prediction time interval, the advantages of the proposed method over other methods are more notable.
2. Multiscale Time Delay Analysis
2.1. Time Series Multiscale Decomposition
- (1)
- Using wavelet transform to decompose time series can ensure that the period of the decomposed sequences at the same decomposition level is consistent, meaning that they have data fragments of the same length, reach the same frequency physically, and can naturally cooperate with wavelet coherence analysis to obtain the internal time delay under the corresponding scale. However, EMD and the methods derived from EMD cannot guarantee the same number of intrinsic mode functions (IMFs) decomposed from different variables, nor the consistent scale and frequency of IMFs at the same level of different variables, which will change over different local characteristics of the data. Therefore, it is difficult to extract more detailed intrinsic latency information between data when using EMD-like methods.
- (2)
- When different variables are decomposed using EMD, because of the data fluctuations, the number of IMFs obtained each time and the information contained in each IMF will change with the moving of the sliding window, thus generating additional dynamic information. The wavelet transform, however, uses the same type of wavelet for all the data in one decomposition operation. Therefore, all the changes of the information obtained by decomposition originate from the data itself, and the wavelet transform introduces no additional information.
- (3)
- In the process of adaptive signal decomposition, EMD-like methods need to perform cubic spline interpolation on the extreme value to obtain the upper and lower envelopes of the signal. Since the extreme points at both ends of the data sequence cannot be clearly identified and the conditions required for spline interpolation cannot be satisfied, the envelope line fitted will have a large swing at the endpoints that exceed the signal itself. This untrue swing will gradually spread to the signal center with the increase in decomposition level, resulting in serious distortion of the decomposition results, which is the so-called end effect. The use of wavelet decomposition can avoid the occurrence of this situation.
2.2. Delay Extraction: Wavelet Coherence Analysis
2.3. Determination of Delay Knowledge
3. Prediction Methodology
3.1. Spike Separation
3.2. Fusion Prediction Model
3.2.1. Global Time-Domain: Orthonormal Subspace Analysis
3.2.2. Local Frequency-Domain: Wavelet Neural Network
3.2.3. Model Fusion: Gauss–Markov Estimation
3.3. The Proposed Prediction Framework
4. Experimental Studies
4.1. Time Delay Analysis
4.2. Prediction Accuracy Analysis
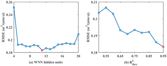
4.3. Model Parameter Selection
4.4. Computational Efficiency Analysis
5. Conclusions
Author Contributions
Funding
Data Availability Statement
Conflicts of Interest
References
- Zhang, X.; Kano, M.; Matsuzaki, S. A comparative study of deep and shallow predictive techniques for hot metal temperature prediction in blast furnace ironmaking. Comput. Chem. Eng. 2019, 130, 106575. [Google Scholar] [CrossRef]
- Zhou, P.; Li, W.; Wang, H.; Li, M.; Chai, T. Robust online sequential RVFLNs for data modeling of dynamic time-varying systems with application of an ironmaking blast furnace. IEEE Trans. Cybern. 2019, 50, 4783–4795. [Google Scholar] [CrossRef]
- Li, J.; Yang, C.; Li, Y.; Xie, S. A context-aware enhanced GRU network with feature-temporal attention for prediction of silicon content in hot metal. IEEE Trans. Ind. Inform. 2021, 18, 6631–6641. [Google Scholar] [CrossRef]
- Jiang, D.; Wang, Z.; Li, K.; Zhang, J.; Zhang, S. Machine Learning Models for Predicting and Controlling the Pressure Difference of Blast Furnace. JOM 2023, 75, 4550–4561. [Google Scholar] [CrossRef]
- Pavlov, A.; Onorin, O.; Spirin, N.; Polinov, A. MMK blast furnace operation with a high proportion of pellets in a charge. Part 1. Metallurgist 2016, 60, 581–588. [Google Scholar] [CrossRef]
- Das, K.; Agrawal, A.; Reddy, A.; Ramna, R. Factsage studies to identify the optimum slag regime for blast furnace operation. Trans. Indian Inst. Met. 2021, 74, 419–428. [Google Scholar] [CrossRef]
- Tonkikh, D.; Karikov, S.; Tarakanov, A.; Koval’chik, R.; Kostomarov, A. Improving the charging and blast regimes on blast furnaces at the Azovstal metallurgical combine. Metallurgist 2014, 57, 797–803. [Google Scholar] [CrossRef]
- Li, W.; An, J.; Chen, X.; Wang, Q. Multi-Time Scale Analysis of The Influence of Blast Furnace Operations on Permeability Index. In Proceedings of the 2022 41st Chinese Control Conference (CCC), Hefei, China, 25–27 July 2022; pp. 2574–2579. [Google Scholar] [CrossRef]
- Huang, X.; Yang, C. Pretrained Language–Knowledge Graph Model Benefits Both Knowledge Graph Completion and Industrial Tasks: Taking the Blast Furnace Ironmaking Process as an Example. Electronics 2024, 13, 845. [Google Scholar] [CrossRef]
- Zhang, H.; Shang, J.; Zhang, J.; Yang, C. Nonstationary process monitoring for blast furnaces based on consistent trend feature analysis. IEEE Trans. Control Syst. Technol. 2021, 30, 1257–1267. [Google Scholar] [CrossRef]
- Abhale, P.B.; Viswanathan, N.N.; Saxén, H. Numerical modelling of blast furnace–Evolution and recent trends. Miner. Process Extr. Metall. 2020, 129, 166–183. [Google Scholar] [CrossRef]
- Zhou, C.; Tang, G.; Wang, J.; Fu, D.; Okosun, T.; Silaen, A.; Wu, B. Comprehensive numerical modeling of the blast furnace ironmaking process. JOM 2016, 68, 1353–1362. [Google Scholar] [CrossRef]
- Li, J.; Zhu, R.; Zhou, P.; Song, Y.p.; Zhou, C.Q. Prediction of the cohesive zone in a blast furnace by integrating CFD and SVM modelling. Ironmak. Steelmak. 2021, 48, 284–291. [Google Scholar] [CrossRef]
- Roeplal, R.; Pang, Y.; Adema, A.; van der Stel, J.; Schott, D. Modelling of phenomena affecting blast furnace burden permeability using the Discrete Element Method (DEM)—A review. Powder Technol. 2023, 415, 118161. [Google Scholar] [CrossRef]
- Santana, E.R.; Pozzetti, G.; Peters, B. Application of a dual-grid multiscale CFD-DEM coupling method to model the raceway dynamics in packed bed reactors. Chem. Eng. Sci. 2019, 205, 46–57. [Google Scholar] [CrossRef]
- Luo, Y.; Zhang, X.; Kano, M.; Deng, L.; Yang, C.; Song, Z. Data-driven soft sensors in blast furnace ironmaking: A survey. Front. Inform. Technol. Elect. Eng. 2023, 24, 327–354. [Google Scholar] [CrossRef]
- Liang, D.; Bai, C.; Shi, H.; Dong, J. Research on intellectual prediction for permeability index of blast furnace. In Proceedings of the 2009 WRI Global Congress on Intelligent Systems, Xiamen, China, 19–21 May 2009; pp. 299–303. [Google Scholar] [CrossRef]
- Su, X.; Zhang, S.; Yin, Y.; Xiao, W. Prediction model of permeability index for blast furnace based on the improved multi-layer extreme learning machine and wavelet transform. J. Frankl. Inst. 2018, 355, 1663–1691. [Google Scholar] [CrossRef]
- Tan, K.; Li, Z.; Han, Y.; Qi, X.; Wang, W. Research and Application of Coupled Mechanism and Data-Driven Prediction of Blast Furnace Permeability Index. Appl. Sci. 2023, 13, 9556. [Google Scholar] [CrossRef]
- Liu, X.; Zhang, Y.; Li, X.; Zhang, Z.; Li, H.; Liu, R.; Chen, S. Prediction for permeability index of blast furnace based on VMD–PSO–BP model. J. Iron Steel Res. Int. 2024, 31, 573–583. [Google Scholar] [CrossRef]
- Diniz, A.P.M.; Côco, K.F.; Gomes, F.S.V.; Salles, J.L.F. Forecasting model of silicon content in molten iron using wavelet decomposition and artificial neural networks. Metals 2021, 11, 1001. [Google Scholar] [CrossRef]
- Guo, T.; Zhang, T.; Lim, E.; Lopez-Benitez, M.; Ma, F.; Yu, L. A review of wavelet analysis and its applications: Challenges and opportunities. IEEE Access 2022, 10, 58869–58903. [Google Scholar] [CrossRef]
- Zhang, L.; Tan, H.; Wang, Z. Interference response prediction of receiver based on wavelet transform and a temporal convolution network. Electronics 2023, 13, 162. [Google Scholar] [CrossRef]
- Torrence, C.; Compo, G.P. A practical guide to wavelet analysis. Bull. Am. Meteorol. Soc. 1998, 79, 61–78. [Google Scholar] [CrossRef]
- Grinsted, A.; Moore, J.C.; Jevrejeva, S. Application of the cross wavelet transform and wavelet coherence to geophysical time series. Nonlinear Process Geophys. 2004, 11, 561–566. [Google Scholar] [CrossRef]
- Lou, Z.; Wang, Y.; Si, Y.; Lu, S. A novel multivariate statistical process monitoring algorithm: Orthonormal subspace analysis. Automatica 2022, 138, 110148. [Google Scholar] [CrossRef]
- Gao, X. A comparative research on wavelet neural networks. In Proceedings of the 9th International Conference on Neural Information Processing, Singapore, 18–22 November 2002; pp. 1699–1703. [Google Scholar] [CrossRef]
- Khalifa, A.; Yadav, Y. Wavelet-Based Fusion for Image Steganography Using Deep Convolutional Neural Networks. Electronics 2025, 14, 2758. [Google Scholar] [CrossRef]
- Buonocore, A.; Caputo, L.; Nobile, A.G.; Pirozzi, E. Gauss–Markov processes in the presence of a reflecting boundary and applications in neuronal models. Appl. Math. Comput. 2014, 232, 799–809. [Google Scholar] [CrossRef]
- Liu, S.-X.; Zhang, S.; Sun, S.-L.; Yin, Y.-X. A novel permeability index prediction method for blast furnace based on the improved extreme learning machine. In Proceedings of the 2022 37th Youth Academic Annual Conference of Chinese Association of Automation (YAC), Beijing, China, 19–20 November 2022; pp. 1–6. [Google Scholar] [CrossRef]











| Feature/Method | Dong et al. [17] | Su et al. [18] | Tan et al. [19] | Liu et al. [20] | Proposed Method |
|---|---|---|---|---|---|
| Multiscale Decomposition | Wavelet | Wavelet | Wavelet | VMD | Wavelet |
| Time Delay Excavation | Not Considered | Not Considered | MIC and Spearman | Not Considered | Wavelet Coherence Analysis |
| Spike Separation | No | No | No | No | Yes |
| Prediction Model | LS-SVM | ML-ELM | WNN | BPNN | OSA and WNN Fusion |
| Multi-step Ahead Focus | Limited | Limited | Limited | Limited | Explicitly Designed |
| Type | No. | Parameter | Maximum | Minimum | Average | Unit |
|---|---|---|---|---|---|---|
| Input | 1 | Cold blast flow rate (CBFR) | 35.264 | 32.517 | 33.540 | |
| 2 | Oxygen enrichment rate (OER) | 4.2578 | 3.6576 | 4.0351 | % | |
| 3 | Blast kinetic energy (BKE) | 195 | 118 | 148 | ||
| 4 | Bosh gas index (BGI) | 85.080 | 78.720 | 81.105 | ||
| 5 | Total pressure drop (TPD) | 226.70 | 150.50 | 200.75 | ||
| 6 | Hot blast pressure (HBP) | 450.70 | 373.50 | 423.60 | ||
| 7 | Hot blast temperature (HBT) | 1141.7 | 939.3 | 1071.4 | °C | |
| 8 | Top temperature (TT) | 322.7 | 159.8 | 218.2 | °C | |
| Output | 1 | Permeability index (PI) | 22.944 | 14.467 | 16.696 |
| Method | Input Variable | Wavelet Decomposition Layer | ||||||||
|---|---|---|---|---|---|---|---|---|---|---|
| 1 | 2 | 3 | 4 | 5 | 6 | 7 | 8 | 9 | ||
| Ours | CBFR | 0 | 0 | 0 | 0 | 3 | 8 | 17 | 18 | 9 |
| OER | 0 | 0 | 0 | 2 | 8 | 16 | 22 | 53 | 161 | |
| BKE | 0 | 0 | 1 | 0 | 1 | 2 | 12 | 41 | 68 | |
| BGI | 0 | 0 | 0 | 2 | 3 | 8 | 16 | 18 | 48 | |
| TPD | 0 | 0 | 2 | 3 | 6 | 17 | 6 | 61 | 14 | |
| HBP | 0 | 0 | 1 | 3 | 5 | 16 | 14 | 68 | 62 | |
| HBT | 0 | 0 | 0 | 0 | 3 | 1 | 36 | 57 | 151 | |
| TT | 0 | 0 | 2 | 3 | 1 | 12 | 7 | 57 | 141 | |
| PCC | CBFR | 638 | 0 | 0 | 0 | −2 | −2 | 0 | −4 | 5 |
| OER | 0 | 20 | −632 | 1 | −1 | −4 | 126 | 775 | −492 | |
| BKE | 0 | 0 | 0 | 0 | 0 | −1 | 0 | 244 | 247 | |
| BGI | −906 | −220 | 32 | 16 | −2 | −2 | 0 | −5 | 14 | |
| TPD | 0 | 0 | 0 | 0 | 0 | 0 | 0 | 0 | −1 | |
| HBP | 194 | 416 | 0 | 0 | 0 | 0 | −1 | −3 | 0 | |
| HBT | 0 | −432 | −800 | 465 | 2 | 3 | 4 | 12 | 500 | |
| TT | 6 | −4 | 1 | −160 | −35 | −1 | 128 | 635 | −515 | |
| MI | CBFR | 0 | 0 | 0 | 0 | −2 | 0 | −1 | −1 | 1 |
| OER | 0 | −4 | 96 | 1 | −1 | −2 | −4 | −4 | 13 | |
| BKE | 0 | 0 | 0 | 0 | 0 | 0 | 0 | 1 | −38 | |
| BGI | −16 | −56 | −64 | 16 | −2 | −1 | 2 | 1 | 3 | |
| TPD | 0 | 0 | 0 | 0 | 0 | 0 | 0 | 0 | 0 | |
| HBP | −12 | 30 | 0 | 0 | 0 | 0 | 0 | −2 | 1 | |
| HBT | 0 | −72 | 0 | 32 | 0 | 0 | 0 | 3 | 10 | |
| TT | 6 | 4 | 0 | −96 | −32 | 0 | 0 | 25 | 96 | |
| Method | Parameter | ||||||||||
|---|---|---|---|---|---|---|---|---|---|---|---|
| RMSE | r | RMSE | r | RMSE | r | ||||||
| A | PLS | Latent variables: 4 | 0.190 | 0.959 | 0.982 | 0.379 | 0.826 | 0.915 | 0.649 | 0.488 | 0.714 |
| KPLS | Latent variables: 4; Polynomial kernel; Kernel parameter: : 2, c: 2 | 0.181 | 0.960 | 0.981 | 0.403 | 0.803 | 0.897 | 0.694 | 0.416 | 0.686 | |
| LS-SVM | RBF kernel; Kernel parameter: : 10 | 0.735 | 0.344 | 0.597 | 1.120 | −0.523 | 0.419 | 1.644 | −2.282 | 0.135 | |
| OSA | Cumulative Percent Variance: 90% | 0.169 | 0.965 | 0.985 | 0.329 | 0.869 | 0.936 | 0.539 | 0.647 | 0.807 | |
| B | KELM | RBF kernel; Kernel parameter: : 4.6; Regularization coefficient: 100 | 0.200 | 0.951 | 0.977 | 0.292 | 0.896 | 0.952 | 0.490 | 0.708 | 0.846 |
| MLP | Hidden layer: 8, 4; Learning rate: 0.001 | 0.163 | 0.967 | 0.980 | 0.348 | 0.855 | 0.925 | 0.574 | 0.676 | 0.822 | |
| GRU | Hidden layer: 32; Max epoch: 250; Learning rate: 0.001 | 0.136 | 0.975 | 0.987 | 0.278 | 0.904 | 0.954 | 0.377 | 0.828 | 0.915 | |
| LSTM | Hidden layer: 32; Max epoch: 250; Learning rate: 0.001 | 0.128 | 0.981 | 0.991 | 0.300 | 0.891 | 0.945 | 0.544 | 0.642 | 0.838 | |
| C | w-LS-SVM [17] | Wavelet: Daubechies 4; Decomposition layer: 7; RBF kernel; Kernel parameter: : 10 | 0.498 | 0.699 | 0.859 | 0.556 | 0.625 | 0.849 | 0.800 | 0.223 | 0.703 |
| w-PCA-ML-ELM [18] | Wavelet: Daubechies 4; Decomposition layer: 3; Hidden layer: 300, 200, 150; PCA output dimension: 70 | 0.197 | 0.953 | 0.978 | 0.332 | 0.863 | 0.929 | 0.501 | 0.689 | 0.835 | |
| ALD-KOS-ELMF [30] | RBF kernel; Kernel parameter: : 4.6; Regularization coefficient: 100; Sliding window width: 250 | 0.189 | 0.957 | 0.982 | 0.486 | 0.713 | 0.864 | 0.705 | 0.396 | 0.711 | |
| CM-WNN [19] | WNN wavelet: Morlet; Hidden layer: 14; Learning rate: 0.001 | 0.249 | 0.925 | 0.965 | 0.511 | 0.682 | 0.844 | 0.809 | 0.203 | 0.523 | |
| VMD-PSO-BP [20] | VMD decomposition modes: 4; Bandwidth limit: 7000; Noise tolerance: 0.3; Hidden layer: 9, 19 | 0.145 | 0.971 | 0.983 | 0.389 | 0.774 | 0.883 | 0.637 | 0.441 | 0.662 | |
| D | Ours w/o spike separation | Wavelet: Daubechies 4; Decomposition layer: 9; : 0.95; WNN wavelet: Morlet; Hidden layer: 11; Learning rate: 0.001 | 0.249 | 0.925 | 0.963 | 0.369 | 0.834 | 0.914 | 0.520 | 0.672 | 0.823 |
| Ours w/o WNN | 0.228 | 0.937 | 0.968 | 0.257 | 0.920 | 0.959 | 0.350 | 0.851 | 0.923 | ||
| Ours w/o OSA | 0.468 | 0.716 | 0.887 | 0.533 | 0.647 | 0.881 | 0.608 | 0.537 | 0.846 | ||
| Ours w/o delay analysis | 0.215 | 0.944 | 0.975 | 0.271 | 0.911 | 0.956 | 0.364 | 0.831 | 0.921 | ||
| Ours | 0.183 | 0.959 | 0.980 | 0.233 | 0.934 | 0.968 | 0.292 | 0.897 | 0.948 | ||
| Models | Training Time (s) | Inference Time (ms) |
|---|---|---|
| PLS | 34.89 | 0.24 |
| KPLS | 10.81 | 9.62 |
| LS-SVM | 2.04 | 100.13 |
| OSA | 0.27 | 2.43 |
| KELM | 70.93 | 45.97 |
| MLP | 1.14 | 80.16 |
| GRU | 56.10 | 3877.19 |
| LSTM | 89.24 | 3825.18 |
| w-LS-SVM [17] | 16.80 | 831.20 |
| w-PCA-ML-ELM [18] | 0.51 | 19.26 |
| ALD-KOS-ELMF [30] | 1048.73 | 28.63 |
| CM-WNN [19] | 6.21 | 10.21 |
| VMD-PSO-BP [20] | 65.39 | 487.14 |
| Ours | 30.70 | 35.74 |
Disclaimer/Publisher’s Note: The statements, opinions and data contained in all publications are solely those of the individual author(s) and contributor(s) and not of MDPI and/or the editor(s). MDPI and/or the editor(s) disclaim responsibility for any injury to people or property resulting from any ideas, methods, instructions or products referred to in the content. |
© 2025 by the authors. Licensee MDPI, Basel, Switzerland. This article is an open access article distributed under the terms and conditions of the Creative Commons Attribution (CC BY) license (https://creativecommons.org/licenses/by/4.0/).
Share and Cite
Xu, Y.; Yang, C.; Lou, S. Permeability Index Modeling with Multiscale Time Delay Characteristics Excavation in Blast Furnace Ironmaking Process. Electronics 2025, 14, 4670. https://doi.org/10.3390/electronics14234670
Xu Y, Yang C, Lou S. Permeability Index Modeling with Multiscale Time Delay Characteristics Excavation in Blast Furnace Ironmaking Process. Electronics. 2025; 14(23):4670. https://doi.org/10.3390/electronics14234670
Chicago/Turabian StyleXu, Yonghong, Chunjie Yang, and Siwei Lou. 2025. "Permeability Index Modeling with Multiscale Time Delay Characteristics Excavation in Blast Furnace Ironmaking Process" Electronics 14, no. 23: 4670. https://doi.org/10.3390/electronics14234670
APA StyleXu, Y., Yang, C., & Lou, S. (2025). Permeability Index Modeling with Multiscale Time Delay Characteristics Excavation in Blast Furnace Ironmaking Process. Electronics, 14(23), 4670. https://doi.org/10.3390/electronics14234670

