Next Article in Journal
Permeability Index Modeling with Multiscale Time Delay Characteristics Excavation in Blast Furnace Ironmaking Process
Previous Article in Journal
Bayesian Prony Modal Identification and Hierarchical Control Strategy for Low-Frequency Oscillation of Ship Microgrid
Previous Article in Special Issue
Trust Evaluation Framework for Adaptive Load Optimization in Motor Drive System
 
 
Font Type:
Arial Georgia Verdana
Font Size:
Aa Aa Aa
Line Spacing:
Column Width:
Background:
Article

Capacitor State Monitoring Based on Haar Wavelet Transform and Enhanced Kalman Filter

School of Automation, Northwestern Polytechnical University, Xi’an 710129, China
*
Author to whom correspondence should be addressed.
Electronics 2025, 14(23), 4671; https://doi.org/10.3390/electronics14234671
Submission received: 29 October 2025 / Revised: 24 November 2025 / Accepted: 25 November 2025 / Published: 27 November 2025
(This article belongs to the Special Issue Innovations in Intelligent Microgrid Operation and Control)

Abstract

Aviation electrification is an inevitable trend leading the development of future aviation technology, and its development cannot be separated from high-performance onboard power systems. As a key equipment of the system, the DC converter plays a core role in energy conversion, and its operational reliability directly affects the stability of the entire system. As the core component of the converter, capacitors have become a weak link in system reliability due to their high failure rate. Therefore, accurate monitoring of their health status is of great significance. To achieve fast, high-precision online monitoring of capacitors, this paper proposes an intelligent monitoring strategy that integrates Haar wavelet transform and Kalman filter. This method only requires the collection of inductance current and output voltage signals during regular operation, without the need for additional installation sensors. The capacitance current is reconstructed and used to accurately identify the capacitance value (C) and equivalent series resistance (ESR) throughout the entire life cycle in strong noise environments. The simulation and experimental results show that the strategy has good robustness under different operating conditions, with recognition errors of C and ESR controlled within 3% and 2%, respectively, demonstrating the feasibility of the proposed method.

1. Introduction

More Electric Aircraft, as a representative of the new generation of aviation electrical architecture, gradually replaces traditional mechanical transmission methods such as hydraulic and pneumatic systems with electrical energy integration technology, significantly improving the comprehensive utilization efficiency of onboard energy [1,2]. In this system, DC–DC power converters undertake the core function of energy conversion, and their operational reliability has a decisive impact on the entire onboard power system [3].
In actual flight missions, DC–DC converters often face rapidly changing operating conditions. The key components such as internal power semiconductors, capacitors, and inductors are prone to performance degradation under the coupling effect of electrical thermal multi-physical field stress, which in turn affects the overall reliability of the system. Aluminum electrolytic capacitors (AEC) have become key components of DC–DC converters due to their excellent filtering and voltage stabilization performance [4]. However, as shown in Figure 1, the fault statistics of the converter indicate that the failure rate of AEC is as high as about 30%, which is considered the weakest link in the converter and is therefore commonly used as a reference indicator to evaluate its overall lifespan [5].
The capacitance (C) and equivalent series resistance (ESR) are key electrical parameters for evaluating the aging state of capacitors [6,7]. It is generally believed that when the capacitance drops to 80% of the initial value or the ESR rises to twice the initial value, the capacitor fails. State monitoring technology is the core means of identifying the aging status of capacitors and achieving fault warning [8,9]. According to whether the system operation needs to be interrupted during the monitoring process, existing methods can be mainly divided into two categories: offline monitoring and online monitoring [10].
Offline monitoring methods typically require pausing system operation in order to accurately obtain key health status parameters of capacitors. In this method, using an LCR tester to directly measure the C and ESR is a typical means, with a measurement accuracy of up to 0.1%. Therefore, it is often used as a benchmark to evaluate the accuracy of other parameter identification methods. In order to simplify the configuration of measurement equipment, an experimental method based on an RC circuit was proposed in [11]. This method analyzes the phase relationship between the capacitor terminal voltage and the input voltage and combines graphic processing and model simplification to achieve ESR extraction of capacitors in the frequency range of 100 Hz to 100 kHz. To further reduce the influence of human errors in the graphical analysis process, the Newton–Raphson numerical iteration method was introduced to achieve accurate estimation of ESR and capacitance values at a low frequency of 120 Hz by solving the nonlinear equation system describing the voltage relationship [12]. Although the offline monitoring method has the advantage of high accuracy, its operation usually requires the removal of capacitors from the circuit, which is costly to implement and makes it difficult to meet the requirements of continuous operation and real-time evaluation of the system in practical engineering.
Online monitoring technology, as a non-invasive detection method, can obtain real-time operation status and performance parameters of capacitors under continuous circuit operation conditions. A real-time monitoring method for input and output capacitors with ESR estimation was developed for boost converters, and the influence of load, duty cycle, inductance, and temperature on ESR estimation accuracy was systematically analyzed [13]. Another study proposes a non-invasive online monitoring technology that achieves state assessment by analyzing the correlation characteristics between capacitor voltage and current during transient processes [14]. For flyback converters, existing studies have constructed online models suitable for continuous conduction mode and intermittent conduction mode, which can infer the capacitance value C and ESR parameters based on the voltage ripple of the capacitor [15,16]. However, this type of method is complex in analyzing the model, sensitive to changes in operating mode, and has limited adaptability.
In response to the above shortcomings, this paper proposes a fusion monitoring strategy based on Haar wavelet transform and Kalman filter: the switch sequence is accurately extracted from the inductor current through Haar wavelet transform, and the capacitor current can be reconstructed without additional hardware; furthermore, by utilizing the Kalman filtering algorithm, high-precision and full lifecycle online identification of capacitors C and ESR was achieved in strong noise environments. This method only requires the collection of conventional inductor current and output voltage signals, significantly improving the practicality, robustness, and engineering applicability of the monitoring system. Finally, the effectiveness of the proposed strategy under different operating conditions was verified through simulation and experiments.
The rest of the paper is organized as follows. Section 2 analyzed the mechanism of capacitor aging and changes in key parameters. The basic working principle of the boost converter is elaborated on in Section 3. Section 4 focuses on a capacitor current reconstruction method based on the Haar wavelet transform. The estimation of the C and ESR parameters using a Kalman filter algorithm is introduced in Section 5. Simulation verification and analysis are conducted in Section 6, followed by a systematic discussion and evaluation of the experimental results in Section 7. Finally, the conclusion of this work is presented in Section 8.

2. Aging Mechanism and Key Parameters of Capacitors

The aging of aluminum electrolytic capacitors is a complex electrochemical process, and its main failure modes are the decrease in C and the increase in equivalent series resistance ESR. Understanding the physical nature of these parameter changes is crucial for accurately monitoring their health status.

2.1. Aging Mechanism of Capacitors

The internal structure of aluminum electrolytic capacitors is mainly composed of anode aluminum foil, electrolyte, and cathode aluminum foil, and its dielectric layer is an aluminum oxide film generated on the surface of the anode aluminum foil through anodic oxidation. The capacitance value is determined by (1), [17].
C = ε A s d s
where ε is the dielectric constant, As is the effective area, and ds is the thickness of the dielectric layer. During the lifespan of a capacitor, its geometric dimensions (As, ds) remain essentially unchanged. The decrease in capacitance value is mainly attributed to the decrease in effective dielectric constant. This is not due to changes in the properties of the stable alumina dielectric layer itself, but rather because the electrolyte used as the cathode gradually evaporates and decomposes under working temperature and electric field stress. The reduction in electrolyte leads to a decrease in its contact area with the dielectric layer and changes the interface characteristics, which is equivalent to a decrease in the effective dielectric constant of the overall system forming the capacitor, resulting in a continuous decrease in the measured capacitance value.
ESR is the equivalent of all active losses of a capacitor in a series equivalent model. These losses mainly include: the resistance of the electrolyte itself (the main contribution); contact resistance between electrode foil and electrolyte; and ohmic resistance of electrode leads and connection points. The volatilization and decomposition of the electrolyte directly lead to a decrease in its ionic conductivity, significantly increasing the body resistance and contact resistance, thereby causing an overall increase in ESR. Therefore, the increase in ESR directly characterizes the increase in internal power loss of capacitors.

2.2. Loss Tangent Analysis

The tangent of the loss angle (tanδ) is a classic and important parameter for evaluating the insulation state of electrical equipment. It is defined as the ratio of active power loss to reactive power in an insulating medium. In the series equivalent circuit model of capacitors, tanδ can be expressed as follows [18]:
tan δ = I 2 ESR I 2 / ( ω C ) = ω C ESR = 2 π f C ESR
As shown in (2), tanδ is directly proportional to the product of C and ESR. As the capacitor ages, the C value decreases while the ESR value increases, and the combined effect will cause a significant change (usually an increase) in tanδ. Therefore, tanδ is a sensitive parameter that can comprehensively reflect the degradation of capacitor insulation performance.

2.3. Complex Impedance Analysis

The aging state of capacitors is fully reflected in the frequency characteristics of their complex impedance Z(f). As described in Section 2.2, in the series model, the modulus and phase angle are [19]
| Z | = ( ESR ) 2 + 1 ω C 2 ,   arg ( Z ) = arctan 1 ω C ESR
In theory, by accurately measuring the impedance modulus and phase angle of a capacitor at a certain frequency, both C and ESR can be calculated simultaneously. This is exactly the basic principle of many offline monitoring instruments. However, online and non-invasive monitoring in DC–DC converters faces challenges: On the one hand, the excitation signal is limited, and the system itself does not provide pure sine excitation for sweep frequency measurement. On the other hand, capacitor current and voltage ripple are non-sinusoidal signals containing switching noise, and it is very difficult to accurately extract impedance phase angle information directly from them.
In response to the above challenges, this article proposes a robust monitoring strategy based on time-domain analysis in strong noise and non-sinusoidal excitation environments. By accurately tracking the changes in C and ESR, this method effectively avoids the problem of extracting impedance phase angle online and can also be used for indirectly detecting the insulation state of capacitors.

3. Working Principle of Boost Converter

Boost converters have been widely used in the energy distribution of aircraft power systems due to their efficient energy conversion and flexible voltage regulation characteristics [20]. Figure 2 shows the topology of a typical boost converter, which mainly consists of input power supply uin, power inductor L, switch tube S, diode Q, output capacitor C and its ESR, and load R.
When the switch tube is conducting, the switch tube S is approximately in a short-circuit state. The input power uin charges the inductor L, and the inductor current iL increases, resulting in an increase in inductor energy storage; at the same time, the output capacitor C independently supplies power to the load R to maintain the load current ic, resulting in a gradual decrease in the output voltage uc.
When the switch tube is turned off, the switch tube S is in an open-circuit state, and the energy stored in the inductor L is released through the freewheeling diode Q, and together with the input power source uin, it supplies power to the load while charging the output capacitor C. During this process, the inductor current iL decreases and the output voltage uc increases accordingly.
This paper focuses on the steady-state operating characteristics of converters in continuous conduction mode (CCM). The steady-state operating waveform of C and ESR in series is shown in Figure 3, revealing the dynamic correlation between switch signals, inductor current, and output voltage. It is crucial to note that the monitoring methodology developed in this work is specifically designed for and validated under this CCM regime. The reason for choosing CCM is that the core requirements for high efficiency, high reliability, high power density, and low electromagnetic interference in aviation applications fundamentally contradict the inherent characteristics of discontinuous conduction mode (DCM), such as large current ripple, high component stress, and significant electromagnetic interference. Due to the above advantages, CCM has become the preferred solution for this type of application. Furthermore, the subsequent capacitor current reconstruction strategy fundamentally relies on the continuous and periodic nature of the inductor current in CCM. Its direct application to DCM is precluded, as the DCM operation, characterized by periods of zero inductor current, violates this core signal prerequisite.

4. Capacitor Current Reconstruction Based on Haar Wavelet Transform

4.1. Haar Wavelet Transform for Extracting Switch Sequences

The variation in inductor current is directly driven by the switching sequence, and the information of this sequence can be indirectly obtained from the ripple of inductor current. Therefore, this paper uses wavelet transform as a time-frequency analysis tool to extract switch signals from inductor currents.
Wavelet transform decomposes non-stationary time series into different time-frequency domains through a set of scalable and translational basis functions (wavelet function and scale function) [21,22,23]. This process generates two types of coefficients: approximate coefficient A and detail coefficient D. The approximation coefficient A represents the contour or trend component of the signal in the low-frequency range, reflecting the macroscopic structure of the signal; the detail coefficient D captures the details or abrupt components of the signal in the high-frequency range. The wavelet transform utilizes low-pass and high-pass filter banks corresponding to the scale function φ(n) and wavelet function ψ(n), respectively, to decompose the signal into the low-frequency approximation coefficient A[i, τ] that characterize its contour and high-frequency detail coefficient D[i, τ] that contains its details, as shown in (4) and (5). By changing the scale parameter i and translation parameter τ, the time-frequency window of the analysis can be adaptively adjusted to achieve multi-scale signal analysis [24].
A [ i , τ ] = 1 2 i n I L ( n ) φ α , τ n τ 2 i
D [ i , τ ] = 1 2 i n I L ( n ) ψ α , τ n τ 2 i
The scale function of the Haar wavelet basis has tight support characteristics, and its domain is limited to a finite unit interval, usually taken as [0, 1), with a function value of 1 within this interval and a constant value of 0 outside the interval, as shown in (6). Power switching transistors cause changes in inductor current when they are turned on and off. The selection of the Haar wavelet for locating switching transients is driven by its minimal support set, limited to only two data points, which provides essential benefits for real-time implementation. It introduces a latency of just one sampling period, a delay that is negligible in the context of state monitoring yet critical for maintaining high-speed operational responsiveness. Computationally, the Haar transform requires only simple addition and subtraction operations, resulting in an extremely light processing load suitable for resource-constrained embedded platforms. Although wavelets with longer support such as those from the Daubechies family can achieve better noise suppression, they inevitably introduce greater delays and require more complex calculations. Given that the primary objective is accurate detection of switching instants rather than optimal signal denoising, the Haar wavelet offers the most favorable trade-off among speed, simplicity, and practically sufficient accuracy [25,26,27].
φ ( n ) = [ 1 , 1 ] , ψ ( n ) = [ 1 , 1 ]
Substituting (6) into (4) and (5) yields
A ( n ) = I L ( n ) + I L ( n + 1 ) 2 2
D ( n ) = I L ( n ) I L ( n + 1 ) 2 2
Under a steady-state operating condition, the inductance current of the boost converter is analyzed. According to Equations (7) and (8), the waveform of the inductance current during charging and discharging can be represented as shown in Figure 4 after Haar wavelet transform. During the inductor charging phase (corresponding to the t2 period), the inductor current shows an upward trend, and at this time, its approximation coefficient A and detail coefficient D satisfy (9).
i L ( t ) > i L ( t 1 ) A ( t ) = i L ( t 1 ) + i L ( t ) 2 2 > 0 D ( t ) = i L ( t 1 ) i L ( t ) 2 2 < 0
During the inductor discharge stage (corresponding to the t1 period), the inductor current gradually decreases, and the corresponding approximate and detailed parameters comply with (10).
i L ( t ) < i L ( t 1 ) A ( t ) = i L ( t 1 ) + i L ( t ) 2 2 > 0 D ( t ) = i L ( t 1 ) i L ( t ) 2 2 > 0
We performed wavelet transform on the inductor current under charging and discharging conditions, and the decomposition results are shown in Table 1. Analysis shows that the approximation coefficient A is always positive, reflecting the low-frequency trend of the signal; the detail coefficient D effectively characterizes the system dynamics: it is negative during charging and positive during discharging. By utilizing this polarity feature, the detail coefficient can be used to extract switch sequences (charging as 1, discharging as 0). It should be noted that the extraction process is based on the calculation of the current difference between adjacent sampling points, and the resulting switch sequence has a delay of one sampling period compared to the actual driving signal. This is an inherent characteristic of the algorithm and will be considered in subsequent analysis.

4.2. Capacitor Current Reconstruction

The key to capacitor status monitoring lies in accurately obtaining capacitor current information. However, installing additional current sensors not only increases system complexity and cost, but may also introduce additional measurement errors and electromagnetic interference. Therefore, this paper proposes a capacitor current reconstruction method based on inductor current and its extracted switch sequence, without the need for a dedicated current sensor. The derivation of this method is based on the circuit topology and switch operation mode of boost converter. The specific implementation process is as follows:
Consider the main circuit topology of the boost converter shown in Figure 1. According to the KCL law, there exists the following current relationship at the node where the capacitor is connected to the load:
i c ( t ) = i q ( t ) i o ( t )
The conduction state of the diode is determined by the switching signal SPWM(t) of the switching transistor. In an ideal situation, when SPWM(t) = 0 (switch off), the diode conducts and its current can be expressed as
i q   ( t ) = i L   ( t )  
When SPWM(t) = 0 (switch on), the diode is turned off, and its current can be expressed as
i q   ( t ) = 0
Therefore, the diode current can ideally be expressed as the product of the inductor current and the inverse code of the switch signal:
i q ( t ) = i L ( t ) S P W M ( t ) ¯
Given the inherent delay in digital control systems, the inductor current at the current sampling moment is actually determined by the switch state of the previous cycle. If the current switch signal is directly multiplied by the current, it will cause phase errors, which will affect the convergence and accuracy of subsequent parameter identification algorithms. Therefore, it is necessary to perform timing correction on the diode current formula in the discrete time domain as follows:
i q ( t ) = i L ( t ) S P W M ( t 1 ) ¯
When the circuit is in steady-state operation, the average value of the capacitor current is zero within one switching cycle. Therefore, the load current io is equal to the average value of the diode current iq, that is,
i o ( t ) = a v g i L ( t ) S P W M ( t 1 ) ¯  
By substituting (15) and (16) into (11), the capacitance current can be calculated as follows:
i c ( t ) = i L ( t ) S P W M ( t 1 ) ¯ a v g i L ( t ) S P W M ( t 1 ) ¯  
In summary, the capacitor current in the boost converter can be determined by both the inductor current and the switching sequence, and the required delayed switching sequence is exactly the same as the switching sequence extracted after wavelet transform.

5. Capacitor State Monitoring Based on Kalman Filter

To achieve accurate monitoring of capacitor C and ESR, it is necessary to establish a discrete relationship model between capacitor terminal voltage and current in the time domain. Firstly, based on the working principle of the boost circuit, the transfer function between the capacitor terminal voltage and current can be derived, as shown in (18).
G ( s ) = U ( s ) I ( s ) = ESR C s + 1 C s
Further using the Tustin transform method shown in (19), discretize (18) to obtain the discrete form shown in (20), where Δt represents the sampling period.
s = 2 Δ t z 1 z + 1
G ( z ) = ESR + Δ t 2 C z + Δ t 2 C ESR z 1
Finally, transform the variable relationships described in (20) into a structural form suitable for parameter identification:
  U c , k = U c , k 1 + ESR + Δ t 2 C I c , k + Δ t 2 C ESR I c , k 1
According to the parameter identification form established in (21), it can be incorporated into the framework of Kalman filtering (KF) for solving. This form is highly consistent with the standard state space model of KF, where the terminal voltage of the capacitor can be used as an observed variable, and the capacitance C to be accurately estimated and the equivalent series resistance ESR together form the state vector of the system.
The KF algorithm mainly consists of two equations: the state equation and the measurement equation, as shown in (22) and (23), respectively [28,29]:
X ( k ) = A ( k ) X ( k 1 ) + T ( k ) ω k
Y ( k ) = H ( k ) X ( k ) + v k
Among them, X(k) represents the state vector at time k; A(k) represents the state transition matrix, which is used to establish an iterative relationship between the state variables at the previous k − 1 time and the current k time; T(k) represents the noise driven matrix; ωk represents process noise excitation; Y(k) represents the observation vector; H(k) represents the observation matrix; and vk represents observation noise excitation. It should be noted that ωk and vk are uncorrelated Gaussian white noise with a mean of 0 and follow a normal distribution, namely ωk~N(0, Qk), vk~N(0, Rk), where Qk is the covariance matrix of process noise and Rk is the covariance matrix of observation noise [30].
To achieve capacitor parameter identification, this study collected inductor current and voltage data during the operation of the boost converter, extracted capacitor current using Haar wavelet transform, and then performed state estimation based on KF method. In this model, matrices A and T are identity matrices, and the terminal voltage Uc is the observation vector Y. The noise covariance R and Q are adjusted according to the system accuracy to obtain. The state vector X and observation matrix H of the KF can be derived from (21), corresponding to (24) and (25), respectively:
X ( k ) = k 1   k 2   k 3 T
H ( k ) = U c , k 1   I c , k   I c , k 1
The relationship between C and ESR can be derived from (21) and (24) as follows:
ESR = k 2 k 3 2 C = Δ t ( k 2 + k 3 )
Construct the online monitoring process shown in Figure 5 based on the derived state and measurement equations. This process is based on the KF algorithm, which recursively estimates the state vector by inputting the capacitor terminal voltage and operating current in real time and directly solves and outputs the online identification results of capacitor C and ESR.
The process of the method used in this chapter is shown in Figure 6. Firstly, collect the inductor current and capacitor voltage signals from the boost converter; subsequently, the inductance current was subjected to Haar wavelet transform using (8) to extract its detail coefficient D. According to Table 1, the switch sequence SPWM delayed by one sampling period was derived from the detail coefficient D. Combine the switch sequence with the inductor current and reconstruct the capacitor current through (17). Furthermore, the measured capacitor voltage is combined with the reconstructed capacitor current to construct the state space equation of the system. Finally, based on the KF algorithm, the state space equation is solved to achieve accurate estimation of capacitance C and ESR.
The state space model proposed in this article is derived from the ideal topology of the boost converter, aiming to clearly explain the core theoretical basis of the method. This model has not explicitly considered non-ideal factors such as inductance parasitic resistance, switch voltage drop, PCB routing resistance, etc. However, it should be emphasized that the KF algorithm itself has inherent robustness to a certain degree of model uncertainty. In the state estimation process, the effects of these unmodeled dynamic characteristics and parasitic parameters can be effectively incorporated and absorbed into the process noise covariance matrix Qk. By adjusting Qk and Rk appropriately, the filter can compensate for model mismatch to some extent, thus still achieving accurate state estimation.

6. Simulation Verification

Based on the monitoring algorithm proposed in the previous text, a simulation model of the boost converter was built in the Plecs 4.8 environment. In this model, the output capacitance is characterized in the form of an ideal capacitor series with equivalent resistance, and the system controller adopts a PI control strategy. The data processing adopts Origin 2024b. During the simulation process, the inductor current signal and capacitor voltage signal are synchronously collected for the validation of subsequent capacitor state monitoring algorithms; at the same time, the waveform of the capacitor current is recorded to evaluate the effectiveness of the capacitor current reconstruction method based on Haar wavelet transform.
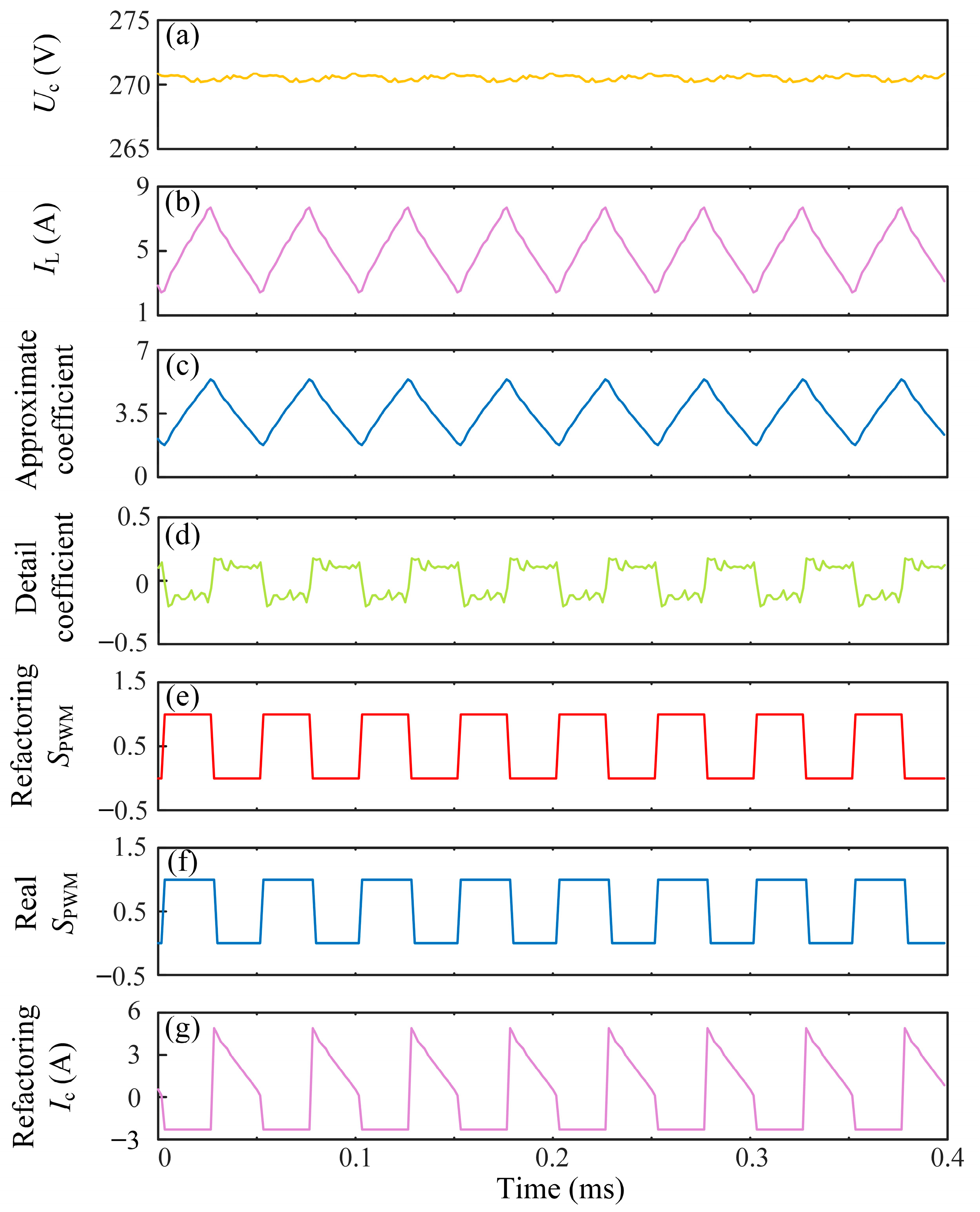
The simulation model and parameters (listed in Table 2) are established based on a typical set of components from a single manufacturing batch, aiming to validate the fundamental principle of the proposed method. The experimental object is the steady-state operating condition of the boost converter under a 0.4 ms operating cycle, and its key waveform is shown in Figure 7. Among them, Figure 7a is the collected capacitor voltage waveform, which will serve as the basis for subsequent capacitor electrical parameter estimation. The waveform of the collected inductor current is shown in Figure 7b. By performing Haar wavelet transform on the current signal, the approximate coefficients are obtained as shown in Figure 7c. It can be seen that the approximation coefficient preserves the main trend and dynamic characteristics of the original inductor current well. On the other hand, the detail coefficients obtained from wavelet transform are shown in Figure 7d. This detail coefficient contains high-frequency switch information of the system, which can be used to extract a sequence of switch states delayed by one sampling period. Based on the extracted switch sequence and inductor current information, the reconstructed capacitor current waveform is shown in Figure 7e. By comparing and analyzing it with the actual capacitance current obtained through data collection in Figure 7f, it can be seen that both have good agreement in amplitude and phase, and the waveform characteristics are basically the same. The simulation model and parameters (listed in Table 2) are established based on a typical set of components from a single manufacturing batch, aiming to validate the fundamental principle of the proposed method.
To verify the accuracy of the KF algorithm in estimating capacitance C and ESR, the capacitance simulation model was set with C at 680 μF and ESR at 0.1 Ω. By collecting the voltage across the capacitor and combining it with the reconstructed capacitor current, the system evaluates the accuracy and robustness of the capacitor state monitoring algorithm under different sampling frequencies, capacitor lifecycles, different input voltages, and noise interference environments.
  • Different sampling frequencies
To evaluate the impact of sampling frequency on the accuracy of electrolytic capacitor parameter identification, this paper conducted comparative experiments using four sampling frequencies: 200 kHz, 400 kHz, 600 kHz, and 800 kHz, based on a switching frequency of 20 kHz. By analyzing the identification results of C and ESR at different sampling frequencies, the effects of sampling rate on the stability and accuracy of parameter estimation were evaluated. The identification results are shown in Table 3. The identification errors of C and ESR are shown in Figure 8.
The identification results show that the estimation error of C and ESR can be controlled within 3% in the frequency range of 200 kHz to 800 kHz. When the sampling frequency is increased to 400 kHz, the identification accuracy of C and ESR is significantly improved; when the sampling frequency is further increased to 800 kHz, the accuracy improvement effect gradually approaches saturation. This phenomenon indicates that moderately increasing the sampling frequency helps to suppress the interference of high-frequency switching noise on parameter identification, but excessively high sampling rates have limited contribution to accuracy improvement. Therefore, a sampling rate of 400 kHz (20 times the switching frequency) is established as a benchmark that effectively balances high identification accuracy with computational load for the proposed method. Given that high sampling frequency significantly increases the data storage and processing burden of the system, and with a focus on finding a balance between accuracy and resource consumption, future work will set the sampling frequency for capacitance parameter identification based on the KF algorithm to 400 kHz. It is noteworthy that for applications where the switching frequency is inherently lower, this 20× ratio principle allows the method to be implemented with a correspondingly lower, more feasible sampling rate on resource-constrained hardware.
2.
Capacitor lifecycle
Considering that the C and ESR of electrolytic capacitors undergo significant changes with aging during long-term operation, it is necessary to effectively monitor their entire lifecycle status. This paper takes the nominal capacitance value of 680 μF and ESR of 0.1 Ω as the initial healthy state, and the failure threshold is set as the capacitance value dropping to 80% of the initial value (544 μF) and ESR rising to twice the initial value (0.2 Ω). To verify the effectiveness and robustness of the proposed parameter identification algorithm, testing and analysis were conducted at five typical aging stages: 0% (initial state), 25%, 50%, 75%, and 100% (failure state). The identification results are shown in Table 4.
From the data in Table 4, it can be seen that at different aging stages, the predicted values of capacitor C and ESR are highly consistent with the true values. The maximum relative error of capacitor C is 0.70% (100% aging state), and the minimum is 0.48% (75% aging state); the maximum relative error of ESR is 0.51% (100% aged state) and the minimum is 0.23% (50% aged state). The relative error of C and ESR identification under all operating conditions remains within 1%, indicating that the parameter identification method proposed in this paper has good estimation accuracy and robustness under different aging states and can effectively achieve state monitoring of the entire life cycle of electrolytic capacitors.
3.
Different input voltages
Under different power conditions, the monitoring of capacitor status will have an impact on the accuracy of parameter identification due to changes in the circuit operating point. To evaluate the impact of this factor, this paper constructs different power operating conditions by adjusting the input voltages to 80 V, 140 V, and 200 V while ensuring that the output voltage of the boost converter is stable at 270 V. The capacitor parameter identification method is simulated and verified under these conditions. Figure 9 and Figure 10 show the capacitor voltage, inductor current, and switch sequence waveforms corresponding to input voltages of 80 V and 200 V, respectively.
The identification results obtained by setting C to 680 μF and ESR to 0.1 Ω are shown in Table 5. From the identification results, it can be seen that under different input voltage conditions, the identification results of capacitor C and ESR are highly consistent with their actual values, and the maximum relative errors do not exceed 1%, indicating that the parameter identification method proposed in this paper has good accuracy and robustness. However, as the input voltage increases, the identification error shows a gradually increasing trend. Specifically, the identification error of capacitor C increased from 0.31% at 80 V input to 0.73% at 200 V input; the identification error of ESR also increased from 0.19% to 0.51%. The main reason for this phenomenon is that when the input voltage increases, the duty cycle of the boost converter decreases accordingly, resulting in a decrease in the ripple amplitude of the capacitor current and output voltage. Due to the fact that ripple is a dynamic excitation signal in the parameter identification process, its amplitude reduction will weaken the ability to extract key state information, while the measurement noise level remains basically unchanged, resulting in a decrease in the system’s signal-to-noise ratio. This change affects the convergence performance of the KF, causing a slight decrease in parameter identification accuracy with increasing voltage.
4.
Noise interference
Under the Gaussian white noise model, system noise is usually assumed to have uniformly distributed frequency components. Although this assumption is convenient for theoretical analysis under ideal conditions, there is a certain gap between it and the statistical characteristics of noise in actual aviation operating environments. To more accurately evaluate the performance of the proposed method under near real aviation conditions, this study introduces colored noise with strong correlation as the testing condition. The colored noise is generated by a first-order autoregressive model:
V k + 1 = λ k + 1 / k V k + e k
where λk+1/k = 1.0001, ek~N(0,0.006). To eliminate the influence of random errors on the identification results, independent simulations were repeated 100 times for each noise configuration. The current and voltage observation signals obtained each time were input into the KF algorithm for parameter identification, and the identification error distribution was finally calculated as shown in Figure 11.
According to Figure 11, in 100 independent simulation experiments, the identification error of capacitor C is mainly concentrated in the range of −0.5% to 2%, and the identification error of ESR is mainly concentrated in the range of −1% to 1%. The vast majority of error samples are concentrated around zero, with the highest proportion of errors within ± 2%, reflecting the good noise suppression ability of the KF. This error distribution further validates the effectiveness and robustness of the parameter identification method proposed in this paper in noisy environments.

7. Experimental Verification

To verify the performance of the capacitor state monitoring algorithm proposed in this paper, detailed experimental testing and analysis were conducted in this section. The experimental platform structure is shown in Figure 12, where the DC power supply is connected to a bidirectional DC–DC converter operating in boost mode, and the output of the converter is connected to an electronic load to simulate actual working conditions. To obtain key waveform data, use an oscilloscope to synchronously collect the output voltage signal, inductor current signal, and switch drive signal of the converter. The control system builds corresponding control algorithms in the upper computer, deploys them to the rapid prototyping controller through code generation, and finally outputs PWM signals to the DSP of the bidirectional DC–DC converter, achieving closed-loop control and algorithm execution. This section of the experiment validated the same batch of components, and the results were statistical validation of multiple components to ultimately prove their universality. The experimental platform parameters are shown in Table 6, which are basically consistent with the simulation.

7.1. Analysis of Experimental Results

To eliminate the deviation between the actual and nominal values of the capacitor, the TH2830 LCR tester was used to accurately measure the actual parameters of the capacitor. The measured capacitance value C was 667.01 μF, and the equivalent series resistance ESR was 83.57 mΩ. The specific results are shown in Figure 13. Under steady-state conditions, with 140 V as the input voltage, the experimental waveforms of output voltage, inductor current, and switch drive signal were collected through an oscilloscope, as shown in Figure 14.
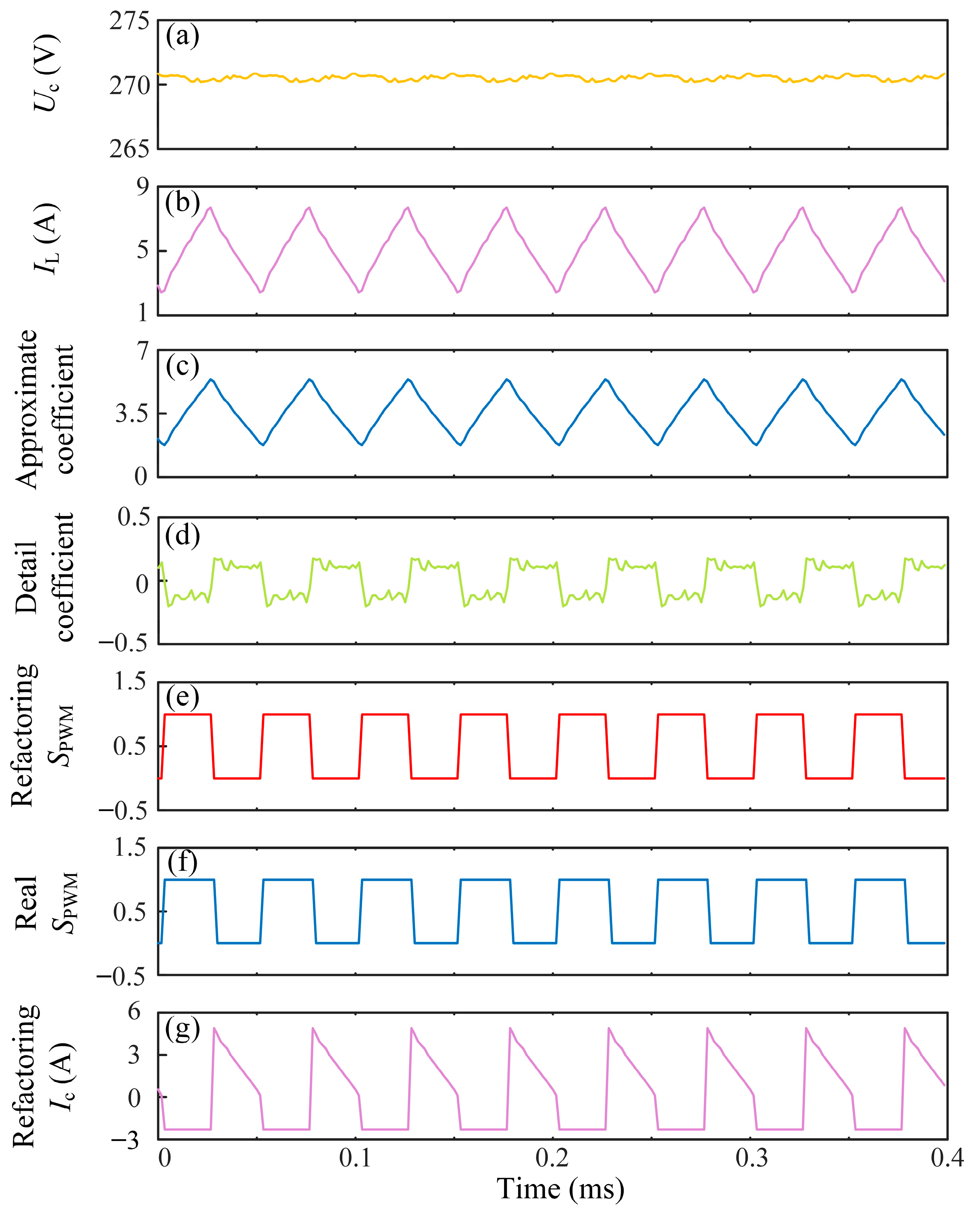
After preprocessing the data collected by the oscilloscope, the Plecs model was imported. The capacitor voltage and inductor current obtained at a sampling frequency of 400 kHz are shown in Figure 15a,b, respectively. Further Haar wavelet transform was applied to the inductor current, and the approximate coefficients obtained are shown in Figure 15c, whose waveform is basically consistent with the simulation results in Figure 7c; the detail coefficient is shown in Figure 15d. Although there is some fluctuation within the effective interval under the influence of actual sampling and noise interference, the overall trend of change still remains consistent with the simulation. Based on the above analysis, the extracted switch sequence is shown in Figure 15e, which is basically consistent with the actual switch sequence shown in Figure 15f, verifying the correctness of the switch sequence extraction algorithm proposed in this paper. Further combining the derived (17), the waveform of the capacitor current is reconstructed, as shown in Figure 15g.
The experimental waveforms collected by an oscilloscope under input voltages of 80 V and 200 V are shown in Figure 16. The specific process of reconstructing the capacitor current is consistent with the method described in Figure 15 and will not be repeated here. By using the reconstructed capacitor current and capacitor voltage as inputs and importing them into the KF algorithm model, the parameter estimation of capacitor C and ESR can be achieved. The corresponding results are shown in Table 7.
To better evaluate the performance of the proposed method from simulation to experiment, simulation verification was conducted again based on the actual capacitance parameters measured on the experimental platform. Specifically, in the simulation model, the capacitance value was set to 667.01 µF, the ESR was set to 83.57 mΩ, and the remaining parameters were consistent with Table 2. Under the condition of 140 V input voltage, the recognition results of the method are C = 669.92µF and ESR = 83.26 mΩ. The corresponding relative errors are 0.43% and 0.37%, respectively. Compared with the simulation results, the parameter identification error in the experimental environment has increased, mainly due to the difference between the ideal simulation model and the actual experimental system. The unmodeled parameters such as circuit and inductance parasitic resistance in the experimental circuit introduce additional losses, while sensor measurement errors and environmental electromagnetic interference also lead to signal quality degradation. In addition, the parameter tolerances and non-ideal characteristics of actual components jointly affect the recognition accuracy. However, the experimental identification errors of capacitor C and equivalent series resistance ESR were still controlled within 3% and 2%, respectively, fully verifying the effectiveness and robustness of this method under non-ideal practical conditions. In addition, the overall identification accuracy of ESR is higher than that of capacitor C, and with the increase in input voltage, the identification accuracy of both shows a decreasing trend, which is consistent with the change pattern reflected in the simulation results.

7.2. Comparative Analysis and Discussion

To fully verify the superiority of this method, this section compares it with the classical frequency-domain impedance analysis method. As described in Section 2.3, impedance analysis can directly calculate C and ESR by measuring the impedance amplitude and phase angle of a capacitor at a specific frequency. This comparative experiment was conducted on the same experimental platform (parameters shown in Table 6) with an input voltage of 140 V. For impedance analysis, the impedance at the first harmonic of the switching frequency (20 kHz) was extracted from the time-domain signal collected by the oscilloscope, which includes the capacitor voltage and reconstructed capacitor current. Specifically, the amplitude and phase angle of the frequency point are estimated by performing DFT analysis on the signal, and then C and ESR are calculated [31]. The comparison results are shown in Table 8.
According to Table 8, under the same online experimental environment, the recognition accuracy of our method is much higher than that of the impedance analysis method based on DFT. The main reason for the significant error (>9%) in the impedance analysis method is that the capacitor voltage and current signals in DC–DC converters are not single-frequency sine waves but switch ripples containing rich harmonic components. In the context of non-sinusoidal and strong noise, extracting the phase angle information of a single frequency point through DFT is highly susceptible to interference from spectral leakage and background noise, resulting in significant deviations in amplitude and phase angle estimation, which seriously reduces the accuracy of parameter identification. The time-domain analysis method proposed in this article accurately extracts switch dynamics through Haar wavelet transform and uses KF to estimate the optimal time-domain model parameters, cleverly avoiding the problem of directly conducting high-precision phase angle measurement. Therefore, this method achieves online monitoring with near offline accuracy while maintaining its non-invasive advantages, and its comprehensive performance is significantly better than traditional online impedance analysis methods.

8. Conclusions

This paper proposes an online monitoring method that integrates Haar wavelet transform and KF for the state monitoring requirements of boost converter aluminum electrolytic capacitors in multi-electric aircraft. The research focuses on solving two core problems: non-invasive reconstruction of capacitor current and high-precision identification of key parameters throughout their lifecycle.
Firstly, a switch sequence extraction and capacitor current reconstruction strategy based on Haar wavelet transform is proposed. This method only requires the collection of inductance current signals during regular operation, and by analyzing the polarity changes in its detail coefficients, accurately restores the switch sequence, thereby achieving non-invasive reconstruction of capacitor current without the need for additional hardware. Furthermore, a discrete state space model of the capacitor is established, combined with the KF algorithm, to recursively estimate C and ESR under strong noise background, achieving high robustness online identification of key parameters.
Simulation and experimental results show that the fusion monitoring method exhibits excellent performance under various operating conditions, including different sampling frequencies, aging degrees, input voltages, and noise environments. In simulation, the identification error between capacitor C and ESR can be controlled within 1%; under experimental conditions, the recognition errors of C and ESR were less than 3% and 2%, respectively, verifying the comprehensive advantages of this method in accuracy, robustness, and engineering applicability. It should be pointed out that the experimental validation of this study is currently based on a single capacitor sample. Although the proposed method achieved satisfactory accuracy on this component, future work will include statistical validation on multiple components and units to further confirm the universality and robustness of the method across a wider range of component differences. Furthermore, extending the proposed methodology to handle DCM operation represents another critical direction for future research, aiming to broaden the applicability of this monitoring strategy across all potential converter operating conditions. This study provides a practical and efficient solution for online status monitoring and predictive maintenance of key capacitive components in aviation grade DC–DC converters.

Author Contributions

Conceptualization, T.Z.; methodology, T.Z. and W.L. (Wenjie Liu); software, W.L. (Wenjie Liu) and Z.L.; validation, T.Z. and W.L. (Wenjie Liu); formal analysis, T.Z. and Y.D.; investigation, Z.L.; resources, W.L. (Wenjie Liu) and W.L. (Weilin Li); data curation, T.Z. and S.W.; writing—original draft preparation, T.Z.; writing—review and editing, W.L. (Weilin Li); visualization, Y.D. and S.W.; supervision, W.L. (Wenjie Liu); project administration, W.L. (Weilin Li); funding acquisition, T.Z. All authors have read and agreed to the published version of the manuscript.

Funding

This research was supported by the National Natural Science Foundation of China (No. 52402506).

Data Availability Statement

Data are contained within the article.

Conflicts of Interest

The authors declare no conflicts of interest.

References

  1. Zhao, X.; Xu, C.; Ma, K.; Wu, X.; Chen, X.; Li, X.; Wu, X. Development of High-Power DC Solid-State Power Controllers Using SiC FETs for Aircraft Electrical Systems. Electronics 2025, 14, 4157. [Google Scholar] [CrossRef]
  2. Liang, Y.; Bodnár, D.; Ram Chandra Mouli, G.; Ragni, D.; Bauer, P. Charging Demand Prediction: Small All-Electric Aircraft and Electric Vertical Takeoff and Landing Aircraft. IEEE Trans. Transp. Electrif. 2025, 11, 2732–2747. [Google Scholar] [CrossRef]
  3. Martinez, A.; Torres, F.; Marin, J.; Rojas, C.A.; Gak, J.; Rommel, M.; May, A.; Wilson-Veas, A.H.; Miguez, M.; Rossi, C.; et al. Analysis and Design of an SiC CMOS Three-Channel DC-DC Synchronous Buck Converter for High-Temperature Applications. Appl. Sci. 2024, 14, 9789. [Google Scholar] [CrossRef]
  4. Yang, Z.; Xi, L.; Zhang, Y.; Chen, X. An Online Parameter Identification Method for Non-Solid Aluminum Electrolytic Capacitors. IEEE Trans. Circuits Syst. II 2022, 69, 3475–3479. [Google Scholar] [CrossRef]
  5. Wang, H.; Liserre, M.; Blaabjerg, F. Toward Reliable Power Electronics: Challenges, Design Tools, and Opportunities. IEEE Ind. Electron. Mag. 2013, 7, 17–26. [Google Scholar] [CrossRef]
  6. Li, C.; Yu, Y.; Yang, Z.; Liu, Q.; Peng, X. ESR Estimation for Aluminum Electrolytic Capacitor of Power Electronic Converter Based on Compressed Sensing and Wavelet Transform. IEEE Trans. Ind. Electron. 2022, 69, 1948–1957. [Google Scholar] [CrossRef]
  7. Yao, B.; Zhao, S.; Zhang, Y.; Wang, H. A Health Indicator of Aluminum Electrolytic Capacitors Based on Strain Sensing. IEEE Trans. Power Electron. 2023, 38, 7982–7987. [Google Scholar] [CrossRef]
  8. Zhao, Z.; Davari, P.; Lu, W.; Wang, H.; Blaabjerg, F. An Overview of Condition Monitoring Techniques for Capacitors in DC-Link Applications. IEEE Trans. Power Electron. 2021, 36, 3692–3716. [Google Scholar] [CrossRef]
  9. Zhang, L.; Liu, Y.; Zhang, J.; Li, Y. A Submodule Insertion Window-Based Capacitor Condition Monitoring Method for Modular Multilevel Converters. IEEE J. Emerg. Sel. Top. Power Electron. 2025, 13, 871–879. [Google Scholar] [CrossRef]
  10. Ramees, M.K.P.M.; Ahmad, M.W. Advances in Capacitor Health Monitoring Techniques for Power Converters: A Review. IEEE Access 2023, 11, 133540–133576. [Google Scholar] [CrossRef]
  11. Amaral, A.M.R.; Cardoso, A.J.M. An Experimental Technique for Estimating the ESR and Reactance Intrinsic Values of Aluminum Electrolytic Capacitors. In Proceedings of the 2006 IEEE Instrumentation and Measurement Technology Conference Proceedings, Sorrento, Italy, 24–27 April 2006; pp. 1820–1825. [Google Scholar]
  12. Amaral, A.M.R.; Buatti, G.M.; Ribeiro, H.; Cardoso, A.J.M. Using DFT to Obtain the Equivalent Circuit of Aluminum Electrolytic Capacitors. In Proceedings of the 2007 7th International Conference on Power Electronics and Drive Systems, Bangkok, Thailand, 27–30 November 2007; pp. 434–438. [Google Scholar]
  13. Miao, W.; Liu, X.; Lam, K.; Pong, P. Condition monitoring of electrolytic capacitors in boost converters by magnetic sensors. IEEE Sens. J. 2019, 19, 10393–10402. [Google Scholar] [CrossRef]
  14. Ahmad, M.W.; Kumar, P.N.; Arya, A.; Anand, S. Non-invasive technique for DC-link capacitance estimation in single-phase inverters. IEEE Trans. Power Electron. 2018, 33, 3693–3696. [Google Scholar] [CrossRef]
  15. Yao, K.; Cao, C.; Yang, S. Noninvasive online condition monitoring of output capacitor’s ESR and C for a flyback converter. IEEE Trans. Instrum. Meas. 2017, 66, 3190–3199. [Google Scholar] [CrossRef]
  16. Yao, K. A noninvasive online monitoring method of output capacitor’s C and ESR for DCM flyback converter. IEEE Trans. Power Electron. 2019, 34, 5748–5763. [Google Scholar] [CrossRef]
  17. Dissanayake, K.; Kularatna-Abeywardana, D. A Review of Supercapacitors: Materials, Technology, Challenges, and Renewable Energy Applications. J. Energy Storage. 2024, 96, 112563. [Google Scholar] [CrossRef]
  18. Zhang, X.; Chen, Q. ESR Calutation Model of Metalized Film Capacitor in WPT System. In Proceedings of the 2022 International Conference on Computer Engineering and Artificial Intelligence, Shijiazhuang, China, 22–24 July 2022; pp. 177–180. [Google Scholar]
  19. Ogawa, Y.; Yamasoto, T.; Hasegawa, K. Accurate ESR Monitoring of a DC-Link Capacitor with Switching Ripple Voltage by a Leafony. In Proceedings of the 2024 13th International Conference on Renewable Energy Research and Application, Nagasaki, Japan, 9–13 November 2024; pp. 1521–1525. [Google Scholar]
  20. Goyal, V.K.; Shukla, A. Two-Stage Hybrid Isolated DC–DC Boost Converter for High Power and Wide Input Voltage Range Applications. IEEE Trans. Ind. Electron. 2022, 69, 6751–6763. [Google Scholar] [CrossRef]
  21. Kudrys, J.; Prochniewicz, D.; Zhang, F.; Jakubiak, M.; Maciuk, K. Identification of BDS Satellite Clock Periodic Signals Based on Lomb-Scargle Power Spectrum and Continuous Wavelet Transform. Energies 2021, 14, 7155. [Google Scholar] [CrossRef]
  22. Guo, T.; Zhang, T.; Lim, E.; López-Benítez, M.; Ma, F.; Yu, L. A Review of Wavelet Analysis and Its Applications: Challenges and Opportunities. IEEE Access 2022, 10, 58869–58903. [Google Scholar] [CrossRef]
  23. Jang, W.; Lee, W. Detecting Wireless Steganography with Wavelet Analysis. IEEE Wirel. Commun. Lett. 2021, 10, 383–386. [Google Scholar] [CrossRef]
  24. Park, S.; Yoo, S.; Jeong, N.; Cha, E. Haar Wavelet-Based Representation Learning for Unpaired Image-to-Image Translation. IEEE Access 2025, 13, 61821–61832. [Google Scholar] [CrossRef]
  25. Ganguly, P.; Chattopadhyay, S.; Datta, T. Haar-Wavelet-Based Statistical Scanning of Turn Fault in Vehicular Starter Motor. IEEE Sens. Lett. 2022, 6, 6000904. [Google Scholar] [CrossRef]
  26. Hu, J.; Lin, Y.; Hu, M.; Wang, H. A Test Response Compression Method for Monolithic 3-D ICs Based on 3-D Haar Wavelet Transforms. IEEE Trans. Instrum. Meas. 2021, 70, 3506412. [Google Scholar] [CrossRef]
  27. Khade, S.; Gite, S.; Thepade, S.D.; Pradhan, B.; Alamri, A. Detection of Iris Presentation Attacks Using Hybridization of Discrete Cosine Transform and Haar Transform with Machine Learning Classifiers and Ensembles. IEEE Access 2021, 9, 169231–169249. [Google Scholar] [CrossRef]
  28. Fang, Y.; Panah, A.; Masoudi, J.; Barzegar, B.; Fatehi, S. Adaptive Unscented Kalman Filter for Robot Navigation Problem. IEEE Access 2022, 10, 101869–101879. [Google Scholar] [CrossRef]
  29. Tao, Y.; Yau, S.S.-T. Outlier-Robust Iterative Extended Kalman Filtering. IEEE Signal Process. Lett. 2023, 30, 743–747. [Google Scholar] [CrossRef]
  30. Guo, Y.; Li, W.; Yang, G.; Jiao, Z.; Yan, J. Combining Dilution of Precision and Kalman Filtering for UWB Positioning in a Narrow Space. Remote Sens. 2022, 14, 5409. [Google Scholar] [CrossRef]
  31. Amaral, A.M.R.; Cardoso, A.J.M. A Simple Offline Technique for Evaluating the Condition of Aluminum-Electrolytic-Capacitors. IEEE Trans. Ind. Electron. 2009, 56, 3230–3237. [Google Scholar] [CrossRef]
Figure 1. Distribution diagram of main failed components [5].
Figure 1. Distribution diagram of main failed components [5].
Electronics 14 04671 g001
Figure 2. Topology of boost converter.
Figure 2. Topology of boost converter.
Electronics 14 04671 g002
Figure 3. Steady-state operating waveform of CCM.
Figure 3. Steady-state operating waveform of CCM.
Electronics 14 04671 g003
Figure 4. Capacitor current waveform after wavelet transform.
Figure 4. Capacitor current waveform after wavelet transform.
Electronics 14 04671 g004
Figure 5. Online identification process of KF algorithm.
Figure 5. Online identification process of KF algorithm.
Electronics 14 04671 g005
Figure 6. Flow chart of capacitor state monitoring based on wavelet transform and KF algorithm.
Figure 6. Flow chart of capacitor state monitoring based on wavelet transform and KF algorithm.
Electronics 14 04671 g006
Figure 7. Simulation process of capacitor current reconstruction. (a) Capacitor voltage within 0.4 ms. (b) Inductor current within 0.4 ms. (c) Approximation coefficient after wavelet transform. (d) Detail coefficient after wavelet transform. (e) Reconstructed capacitor current. (f) Real capacitor current.
Figure 7. Simulation process of capacitor current reconstruction. (a) Capacitor voltage within 0.4 ms. (b) Inductor current within 0.4 ms. (c) Approximation coefficient after wavelet transform. (d) Detail coefficient after wavelet transform. (e) Reconstructed capacitor current. (f) Real capacitor current.
Electronics 14 04671 g007
Figure 8. Identification errors of C and ESR at different sampling frequencies.
Figure 8. Identification errors of C and ESR at different sampling frequencies.
Electronics 14 04671 g008
Figure 9. Input voltage 80 V working waveform.
Figure 9. Input voltage 80 V working waveform.
Electronics 14 04671 g009
Figure 10. Input voltage 200 V working waveform.
Figure 10. Input voltage 200 V working waveform.
Electronics 14 04671 g010
Figure 11. Distribution of identification error.
Figure 11. Distribution of identification error.
Electronics 14 04671 g011
Figure 12. Experimental setup.
Figure 12. Experimental setup.
Electronics 14 04671 g012
Figure 13. Measurement of actual capacitance value.
Figure 13. Measurement of actual capacitance value.
Electronics 14 04671 g013
Figure 14. Experimental waveform under 140 V input voltage.
Figure 14. Experimental waveform under 140 V input voltage.
Electronics 14 04671 g014
Figure 15. The experimental process of capacitor current reconstruction. (a) The capacitor voltage is within 0.4 ms. (b) Inductor current within 0.4 ms. (c) Approximate coefficient after wavelet transform. (d) Detail coefficient after wavelet transform. (e) Refactored switch sequence. (f) Real switch sequence. (g) Refactoring capacitor current.
Figure 15. The experimental process of capacitor current reconstruction. (a) The capacitor voltage is within 0.4 ms. (b) Inductor current within 0.4 ms. (c) Approximate coefficient after wavelet transform. (d) Detail coefficient after wavelet transform. (e) Refactored switch sequence. (f) Real switch sequence. (g) Refactoring capacitor current.
Electronics 14 04671 g015
Figure 16. Experimental waveforms at different input voltages. (a) 80 V. (b) 200 V.
Figure 16. Experimental waveforms at different input voltages. (a) 80 V. (b) 200 V.
Electronics 14 04671 g016
Table 1. Signal characteristics and reconstructed switch sequence after wavelet transform.
Table 1. Signal characteristics and reconstructed switch sequence after wavelet transform.
ParameterChargeDischarge
Approximate coefficient AA > 0A > 0
Detail coefficient DD < 0D > 0
Switch sequence10
Table 2. System simulation parameters.
Table 2. System simulation parameters.
ParameterValue
Input voltage Uin140 V
Output voltage UC270 V
Inductance L650 μH
Capacitor C680 μF
Load R105 Ω
Switching frequency fs20 kHz
Table 3. Identification results of different sampling frequency parameters.
Table 3. Identification results of different sampling frequency parameters.
Sampling FrequencyC TrueC PredictedRelative ErrorESR TrueESR PredictedRelative Error
100 kHz680 µF749.70 µF10.25%100 mΩ90.13 mΩ9.87%
200 kHz680 µF699.65 µF2.89%100 mΩ98.59 mΩ1.41%
400 kHz680 µF683.88 µF0.57%100 mΩ99.70 mΩ0.30%
600 kHz680 µF677.35 µF0.39%100 mΩ99.86 mΩ0.14%
800 kHz680 µF678.84 µF0.17%100 mΩ100.09 mΩ0.09%
Table 4. Identification results of capacitor life cycle parameters.
Table 4. Identification results of capacitor life cycle parameters.
Aging StateC TrueC PredictedRelative ErrorESR TrueESR PredictedRelative Error
0%680 µF683.88 µF0.57%100 mΩ99.70 mΩ0.30%
25%646 µF649.94 µF0.61%125 mΩ124.46 mΩ0.43%
50%612 µF615.24 µF0.53%150 mΩ149.66 mΩ0.23%
75%578 µF580.77 µF0.48%175 mΩ174.37 mΩ0.36%
100%544 µF547.81 µF0.70%200 mΩ201.02 mΩ0.51%
Table 5. Simulation identification results under different input voltages.
Table 5. Simulation identification results under different input voltages.
Aging StateC TrueC PredictedRelative ErrorESR TrueESR PredictedRelative Error
80 V680 µF682.11 µF0.31%100 mΩ99.81 mΩ0.19%
140 V680 µF683.88 µF0.57%100 mΩ99.70 mΩ0.30%
200 V680 µF684.96 µF0.73%100 mΩ99.49 mΩ0.51%
Table 6. Experimental platform parameters.
Table 6. Experimental platform parameters.
ParameterValue
Input voltage Uin140 V
Output voltage UC270 V
Inductance L650 μH
Nominal value of capacitor C1680 μF
Load R105 Ω
Switching frequency fs20 kHz
Table 7. Experimental identification results under different input voltages.
Table 7. Experimental identification results under different input voltages.
Aging StateC TrueC PredictedRelative ErrorESR TrueESR PredictedRelative Error
80 V667.01 µF656.74 µF1.54%83.57 mΩ82.75 mΩ0.98%
140 V667.01 µF652.61 µF2.16%83.57 mΩ82.62 mΩ1.14%
200 V667.01 µF648.21 µF2.82%83.57 mΩ82.11 mΩ1.75%
Table 8. Performance comparison between the proposed method and impedance analysis method.
Table 8. Performance comparison between the proposed method and impedance analysis method.
MethodC PredictedRelative ErrorESR PredictedRelative Error
LCR tester (benchmark)667.01 µF-83.57 mΩ-
Proposed method652.61 µF2.16%82.62 mΩ1.14%
Impedance analysis method602.74 µF9.64%94.35 mΩ12.90%
Disclaimer/Publisher’s Note: The statements, opinions and data contained in all publications are solely those of the individual author(s) and contributor(s) and not of MDPI and/or the editor(s). MDPI and/or the editor(s) disclaim responsibility for any injury to people or property resulting from any ideas, methods, instructions or products referred to in the content.

Share and Cite

MDPI and ACS Style

Zhang, T.; Lu, Z.; Liu, W.; Ding, Y.; Wang, S.; Li, W. Capacitor State Monitoring Based on Haar Wavelet Transform and Enhanced Kalman Filter. Electronics 2025, 14, 4671. https://doi.org/10.3390/electronics14234671

AMA Style

Zhang T, Lu Z, Liu W, Ding Y, Wang S, Li W. Capacitor State Monitoring Based on Haar Wavelet Transform and Enhanced Kalman Filter. Electronics. 2025; 14(23):4671. https://doi.org/10.3390/electronics14234671

Chicago/Turabian Style

Zhang, Tao, Zhiyao Lu, Wenjie Liu, Yu Ding, Shengfei Wang, and Weilin Li. 2025. "Capacitor State Monitoring Based on Haar Wavelet Transform and Enhanced Kalman Filter" Electronics 14, no. 23: 4671. https://doi.org/10.3390/electronics14234671

APA Style

Zhang, T., Lu, Z., Liu, W., Ding, Y., Wang, S., & Li, W. (2025). Capacitor State Monitoring Based on Haar Wavelet Transform and Enhanced Kalman Filter. Electronics, 14(23), 4671. https://doi.org/10.3390/electronics14234671

Note that from the first issue of 2016, this journal uses article numbers instead of page numbers. See further details here.

Article Metrics

Back to TopTop