Abstract
This paper presents the design of an orientation-independent non-invasive glucose sensor based on a meta-structured antenna. The sensor is designed for blood glucose measurement through fingertip placement on the sensor and features a mushroom structure to generate zeroth-order resonance (ZOR). Moreover, the mushroom structure has a hexagonal patch for orientation-independent non-invasive sensing. The operating frequency of the sensor is 4 GHz, and the overall size is 55 mm × 55 mm. In our study, the range of glucose concentration is from 50 to 250 mg/dL, with a step size of 50 mg/dL. The simulated and measured results show a linear relationship between the resonance frequency and the glucose concentration in the solution, and the linear shift of 0.352 MHz/mg/dL has been observed. On the other hand, the reflection coefficient level variation is a nonlinear function of the glucose concentration for the considered concentration ranges. Mathematical models describing the sensor response across all fingertip orientations are developed for the designed sensor using the regression analysis (R2 ≥ 0.993) relating the glucose concentration to the measured resonance frequency and reflection coefficient level. While the reflection coefficient shows a nonlinear response, the resonance frequency exhibits a strong linear correlation with glucose concentration, making it a more reliable parameter for accurate prediction in the proposed sensing model.
1. Introduction
In 2021, the number of diabetics was about 530 million people, and the number of diabetics is projected to rise to 780 million people globally by 2045 [1]. Therefore, monitoring of blood glucose concentration (BGC) is essential for the prevention of diabetes and the effective management of diabetic patients’ health. There are various methods to detect BGC; one of the traditional methods is finger-pricking. To obtain a blood sample for blood glucose measurement, a lancet is used to poke a person’s finger. After placing a drop of the blood sample on a test strip, glucose is oxidized and generates a current proportional to glucose levels. Furthermore, the generated current is transferred to a current-voltage converter and converted into a voltage [2]. This method can provide accurate blood glucose readings. However, it is invasive, causing discomfort and pain. Additionally, for patients who need to monitor their BGC regularly, it can be costly. To address these limitations, there is growing interest in non-invasive glucose monitoring technologies that aim to provide accurate, real-time measurements while improving user comfort. Non-invasive glucose detection can be implemented using technologies from various fields, such as near-infrared spectroscopy, Raman spectroscopy, acoustic/ultrasound, electromagnetic sensing, and millimeter/microwave, etc. [3]. Near-infrared spectroscopy utilizes wavelengths in the range of 750 nm to 2500 nm to measure the absorption and scattering of light due to molecular vibrations and rotations in substances like glucose [4]. When NIR light interacts with biological tissue, a portion of the light is absorbed by glucose molecules, while the remainder is scattered within the tissue. The amount of absorbed light is inferred from the intensity of the scattered or transmitted light, allowing estimation of glucose concentration. Absorption and scattering are the dominant mechanisms in this process, while reflection and diffraction are typically negligible. Advantages of this method include low cost and minimal sample requirements. However, disadvantages, such as inappropriateness for individuals with low BGC and difficulty in determining glucose levels due to interference from other body materials that can also absorb light, also exist. Raman spectroscopy enables non-invasive glucose sensing by detecting the unique vibrational signature of glucose molecules through the skin. While highly promising due to its molecular specificity, technical challenges like signal weakness and biological interference must be overcome before widespread clinical use [5]. Acoustic or ultrasound-based glucose sensing detects subtle changes in the acoustic properties of tissues, such as the speed of sound or attenuation, that correlate with glucose concentration. While fully non-invasive and safe, it faces challenges in sensitivity and signal interpretation and is currently under active research and development [6]. Glucose level measurement utilizing electromagnetic sensing technology is performed by positioning human tissue between two inductors, which are wound around the core [7,8]. Then, a sensor connected to the two inductors measures current or voltage. The measured current or voltage is proportional to the concentration of glucose. Therefore, this method can measure BGC effectively by using a single frequency specific to glucose. However, this technology is very sensitive to temperature changes, so efforts are needed to resolve this problem.
Non-invasive glucose monitoring based on microwaves is considered a promising technology due to the properties of microwaves [9]. Microwave sensing’s signal penetration is deep enough to reach tissues with sufficient glucose. Additionally, microwave technology is highly sensitive to changes in permittivity and conductivity, allowing it to detect BGC based on changes in the composition of blood [10,11]. Thus, recent studies have extensively explored non-invasive glucose sensors based on microwave technology [9,10,11,12,13,14,15,16,17,18,19]. Especially, the square ring resonator (SRR) or complementary square ring resonator (CSRR) structure is used as a representative structure in [12,13,14,15,16,17], and a specialized form designed in a cylindrical shape for mounting is used in [18,19].
A novel non-invasive glucose sensor based on fingertip placement is proposed and described in this paper. The sensing mechanism is based on the principle that variations in glucose concentration cause changes in the effective permittivity of the surrounding medium, resulting in a measurable shift in the sensor’s resonance frequency and reflection coefficient. These parameters are then analyzed using regression analysis to estimate glucose levels. Although BGC can be measured through various resonators and antennas based on microwaves, errors occur in predicting BGC depending on the shape or direction of the human body due to the asymmetry of the structure. To measure the same BGC regardless of the direction of the fingertip, a mushroom-type sensor with a hexagonal patch was designed. This study focuses on the fundamental response of the sensor to BGC in a simplified environment. Selectivity and specificity, though crucial for real-world applications, will be addressed in future work. The paper is organized as follows: Section 2 describes the configuration and design principle of the proposed sensor. Mathematical sensing models that satisfied all fingertip directions are discussed by analyzing the measured resonance frequency and reflection coefficient level in response to varying glucose concentration in Section 3. In the Section 4, the concluding remarks are given.
2. Design of the Proposed Non-Invasive Glucose Sensor
In this paper, the proposed measurement approach utilizes a non-invasive sensing mechanism, where a fingertip is positioned on the sensor to evaluate BGC. We have designed the structural configuration to enhance user convenience when positioning their fingertip on the sensor for measurement, as shown in Figure 1a. Therefore, as illustrated in Figure 1b, we propose a sensor capable of measuring BGC consistently, regardless of fingertip orientation. It consists of six mushroom structures with hexagonal patches and a hexagonal patch at the center of the sensor for coaxial feeding. The designed mushroom structure is an artificial composite right- and left-handed transmission line, which can generate zeroth-order resonance (ZOR) [20]. The ZOR has two distinct features. First, unlike conventional resonators, the resonance frequency of the ZOR structure is governed by its zero-phase propagation condition (β = 0), rather than the physical length, which allows the antenna to achieve a highly compact size. Second, since it has a uniform vertical electric field toward the ground plane, the sensor using the ZOR can maintain stable and consistent electromagnetic performance under varying conditions. Using the RT/Duroid 5880 substrate (dielectric constant = 2.2, thickness = 1.6 mm, loss tangent = 0.0009) and setting p = 5.9 mm and g = 0.35 mm, the full-wave simulated reflection coefficient by Ansys HFSS is presented in Figure 2. The excitation method and boundary condition are a coaxial feeding with a wave port and a radiation boundary, respectively. The frequencies of ZOR and first-order resonance (FOR) are 4 GHz and 8.8 GHz, respectively. Figure 3 presents the electric field distributions according to phase at ZOR and is provided to confirm that the resonance at 4 GHz is ZOR. As can be seen, the field vectors induced on the hexagonal patch are in-phase and vertical, which is a typical feature of ZOR due to infinite wavelength.
Figure 1.
Structure of the proposed orientation-independent non-invasive glucose sensor. (a) Operation mechanism. (b) Structure (top view).
Figure 2.
Full-wave simulated reflection coefficient of the designed sensor.
Figure 3.
Electric field distributions according to phase at ZOR (x-z plane). (a) 0°. (b) 90°. (c) 180°. (d) 270°.
3. Experimental Results and Discussion
To verify the capability to measure BGC consistently, regardless of fingertip orientation, the simulation and measurement setup is shown in Figure 4. The rectangular fingertip model used in this study simplifies a real human fingertip for the purpose of initial validation. While experimental validation using a real human finger has not been performed in this study, the results obtained using a simplified model are considered sufficient for verifying the fundamental feasibility of the proposed sensing approach. Rather than replicating the anatomical complexity of a real finger, we intentionally employed a simplified square phantom to provide a controlled and consistent evaluation platform, isolating the sensor’s directional response. To fully validate the sensor’s practical applicability, additional research involving real fingertips and environmental factors such as temperature, humidity, and skin contact pressure is necessary. Since the structure of the proposed sensor is symmetrical, measurements were taken for the two cases that exhibit the most significant differences. In case I and case II, the finger phantom angle is 0 degrees and 30 degrees with respect to the vertical reference, respectively. The selection of 0° and 30° was based on the sensor’s symmetrical hexagonal structure, which ensures periodic behavior every 60°. According to our analysis and simulation data, 0° and 30° represent the extreme cases in terms of the sensor’s response variation. As such, they were selected as representative orientations to validate the angular independence. Figure 5 shows the fabricated sensor and the experimental setup. A Keysight E5080B vector network analyzer (VNA) was used to perform the S-parameter measurements. To implement blood glucose variations, a water–glucose solution is used with an acrylic container, as shown in Figure 5. The glucose concentration of the water–glucose solution ranges from 50 to 250 mg/dL, with increments of 50 mg/dL in this paper. The relationship between BGC and the dielectric constant as well as conductivity is crucial for non-invasive glucose sensing technologies. Changes in BGC alter the electrical properties of blood and tissues, affecting their dielectric behavior at different frequencies. The dielectric properties of blood plasma and interstitial fluid are influenced by the glucose concentration due to various factors such as displacement of water molecules, hydrogen bonding disruption, and frequency dependence of dielectric response. The changes in dielectric permittivity and conductivity due to variations in BGC are analyzed using the Cole–Cole model [21] for simulation. The relative permittivity decreases from 68.7 to 60.3 as the BGC increases from 50 mg/dL to 250 mg/dL, indicating an inverse correlation between glucose level and dielectric property. Also, the conductivity is considered to be approximately constant with a value of 1.49 S/m over the range of glucose concentrations. Figure 6 and Figure 7 show the comparison of simulated and measured reflection coefficients for various BGC in case I and case II, respectively. While there are minor discrepancies between the simulated and measured results, the overall trend of the reflection coefficient in response to variations in BGC remains consistent. Furthermore, it can be observed that the results of Case I and Case II are highly similar. Mathematical sensing models are developed for the designed sensor using regression analysis relating the BGC to the measured resonance frequency shift and reflection coefficient level. Figure 8 and Figure 9 show the performance of the proposed sensor versus the BGC in case I and case II, respectively. The error bars represent the standard deviation calculated from multiple (n = 10) repeated measurements for each glucose concentration level. The standard deviation at 100 mg/dL was observed to be higher than at other glucose concentration levels in both the resonance frequency and reflection coefficient. This may be attributed to phantom placement variability, increased sensor sensitivity to permittivity transition near this concentration, or nonlinear dielectric properties of the solution. The simulated and measured results show a linear relationship between the resonance frequency shift and the glucose concentration in the solution, with an R2 equal to 0.9998, where R2 (the coefficient of determination) indicates the accuracy of the curve fitting between the two data sets. The obtained mathematical sensing model based on the resonance frequency in each case is as follows:
Figure 4.
Simulation and measurement settings for the orientation-independent sensor. (a) Rotation angle (φ) 0°. (b) Rotation angle (φ) 30°.
Figure 5.
The fabricated non-invasive glucose sensor. (a) Top view of the sensor. (b) Experimental setup.
Figure 6.
Comparison of simulated and measured reflection coefficients for various BGC in case I. (a) Simulation. (b) Measurement.
Figure 7.
Comparison of simulated and measured reflection coefficients for various BGC in case II. (a) Simulation. (b) Measurement.
Figure 8.
The performance of the proposed sensor versus the BGC in case I. (a) Resonance frequency. (b) Reflection coefficient at resonance frequency.
Figure 9.
The performance of the proposed sensor versus the BGC in case II. (a) Resonance frequency. (b) Reflection coefficient at resonance frequency.
On the other hand, the reflection coefficient level variation is a nonlinear function of the glucose concentration for the considered concentration ranges. The obtained sensing model based on the reflection coefficient (S11) measured from port 1 to port 1 in each case is as follows:
with R2 = 0.9912.
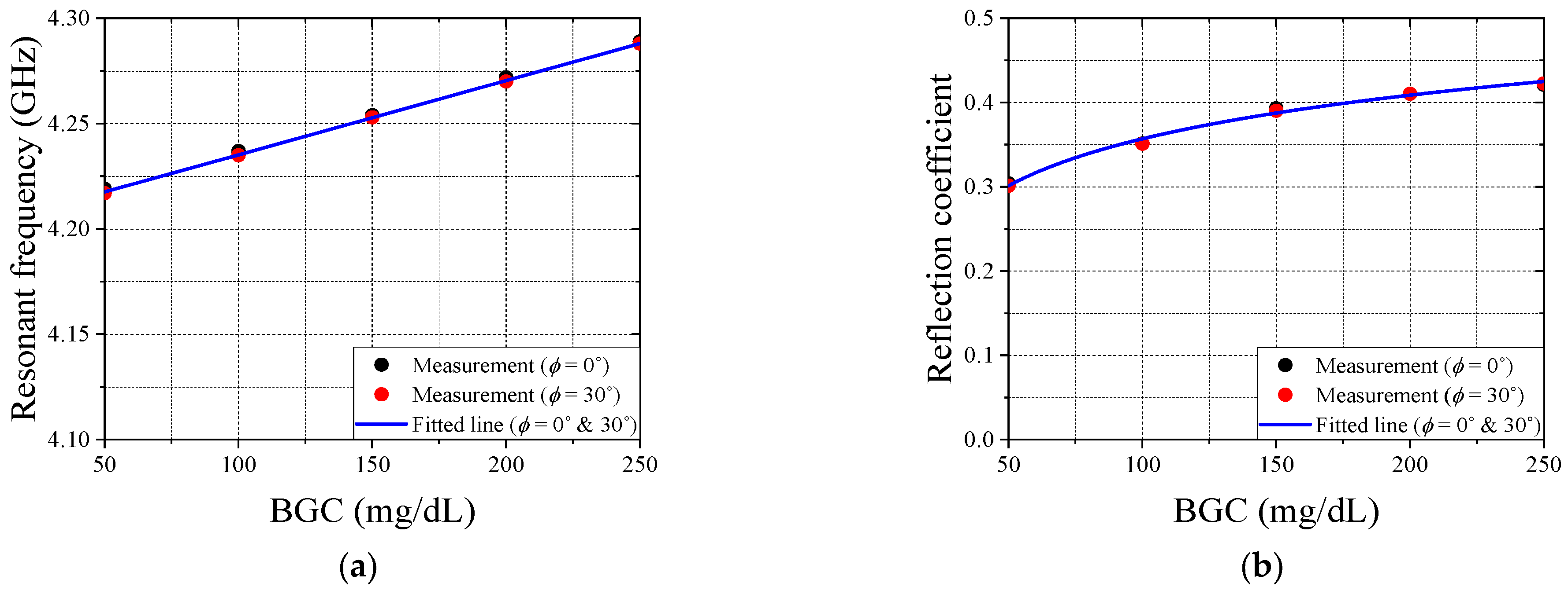
with R2 = 0.9954. Finally, a mathematical sensing model that satisfied all fingertip directions was developed for the designed sensor, relating the glucose concentration to the measured resonance frequency and reflection coefficient level, as shown in Figure 10.
with R2 = 0.9988. For water–glucose solutions from 50 mg/dL to 250 mg/dL, a linear shift in the resonance frequency of 0.352 MHz/mg/dL has been observed.
with R2 = 0.9931.
Figure 10.
Mathematical models describing the sensor response across all fingertip orientations. (a) Resonance frequency. (b) Reflection coefficient at resonance frequency.
Additionally, while the fingertip model used in this study assumes uniform and full coverage of the sensor area, real-world variation in fingertip placement and coverage may affect the distribution of the electric field and the sensor’s resonance behavior.
4. Conclusions
In this paper, we proposed an orientation-independent non-invasive glucose sensor targeting fingertip-based blood glucose measurement applications using a meta-structured antenna with a hexagonal mushroom structure. Although measurement errors and environmental factors are not yet considered in this early-stage study, the proposed sensor operating at 4 GHz with a compact size of 55 mm × 55 mm exhibits a linear relationship between resonance frequency and glucose concentration (50–250 mg/dL), achieving a sensitivity of 0.352 MHz/mg/dL. While the reflection coefficient variation showed nonlinear behavior over the tested concentration range, mathematical sensing models applicable to all fingertip orientations were developed through regression analysis, correlating glucose concentration with resonance frequency and reflection coefficient levels. The simulation and measurement results validate the effectiveness and reliability of the proposed sensor for non-invasive glucose monitoring. Thus, the proposed sensor is anticipated to advance the development of non-invasive glucose monitoring systems, offering a promising solution for accurate and reliable blood glucose measurement. Additionally, the sensor operates on a principle similar to dielectric-material probing, and further work is needed to evaluate its performance on real fingertips considering environmental factors such as temperature and humidity.
Author Contributions
Conceptualization, J.-G.L.; methodology, J.-G.L.; software, J.-G.L.; validation, J.-G.L.; formal analysis, J.-G.L.; investigation, J.-M.J.; writing—original draft preparation, J.-M.J.; writing—review and editing, J.-G.L. and J.-G.L.; visualization, J.-M.J.; supervision, F.B. All authors have read and agreed to the published version of the manuscript.
Funding
This work was supported by Innovative Human Resource Development for Local Intellectualization program through the Institute of Information and Communications Technology Planning and Evaluation (IITP) grant funded by the Korea government (MSIT) (IITP-2025-RS-2022-00156361).
Data Availability Statement
The original contributions presented in this study are included in the article. Further inquiries can be directed to the corresponding author.
Conflicts of Interest
The authors declare no conflicts of interest.
References
- Sun, H.; Saeedi, P.; Karuranga, S.; Pinkepank, M.; Ogurtsova, K.; Duncan, B.B.; Stein, C.; Basit, A.; Chan, J.C.N.; Mbanya, J.C.; et al. IDF diabetes atlas: Global, regional and country-level diabetes prevalence estimates for 2021 and projections for 2045. Diabetes Res. Clin. Pract. 2022, 183, 109119. [Google Scholar] [CrossRef] [PubMed]
- Öberg, D.; Östenson, C.G. Performance of glucose dehydrogenase-and glucose oxidase-based blood glucose meters at high altitude and low temperature. Diabetes Care 2005, 28, 1261. [Google Scholar] [CrossRef] [PubMed]
- Gonzales, W.V.; Mobashsher, A.T.; Abbosh, A. The progress of glucose monitoring-a review of invasive to minimally and non-invasive techniques, devices and sensors. Sensors 2019, 19, 800. [Google Scholar] [CrossRef] [PubMed]
- Agelet, L.E.; Hurburgh, C.R., Jr. A tutorial on near infrared spectroscopy and its calibration. Crit. Rev. Anal. Chem. 2010, 40, 246–260. [Google Scholar] [CrossRef]
- Li, N.; Zang, H.; Sun, H.; Jiao, X.; Wang, K.; Liu, T.C.; Meng, Y. A noninvasive accurate measurement or blood glucose levels with Raman spectroscopy of blood in microvessels. Molecules 2019, 24, 1500. [Google Scholar] [CrossRef] [PubMed]
- Park, E.; Baik, J.; Kim, H.; Park, S.; Kim, C. Ultrasound-modulated optical glucose sensing using a 1645 nm laser. Sci. Rep. 2020, 10, 13361. [Google Scholar] [CrossRef] [PubMed]
- Tura, A.; Sbrignadello, S.; Cianciavicchia, D.; Pacini, G.; Ravazzani, P. A low frequency electromagnetic sensor for indirect measurement of glucose concentration: In vitro experiments in different conductive solutions. Sensors 2010, 10, 5346–5358. [Google Scholar] [CrossRef] [PubMed]
- Gourzi, M.; Rouane, A.; Guelaz, R.; Alavi, M.S.; McHugh, M.B.; Nadi, M.; Roth, P. Non-invasive glycaemia blood measurements by electromagnetic sensor: Study in static and dynamic blood circulation. J. Med. Eng. Technol. 2005, 29, 22–26. [Google Scholar] [CrossRef] [PubMed]
- Kandwal, A.; Igbe, T.; Li, J.; Liu, Y.; Li, S.; Liu, L.W.Y.; Nie, Z. Highly sensitive closed loop enclosed split ring biosensor with high field confinement for aqueous and blood-glucose measurements. Sci. Rep. 2020, 10, 4081. [Google Scholar] [CrossRef] [PubMed]
- Omer, A.E.; Shaker, G.; Safavi-Naeini, S.; Kokabi, H.; Alquié, G.; Deshours, F.; Shubair, R.M. Low-cost portable microwave sensor for non-invasive monitoring of blood glucose level: Novel design utilizing a four-cell CSRR hexagonal configuration. Sci. Rep. 2020, 10, 15200. [Google Scholar] [CrossRef] [PubMed]
- Malena, L.; Fiser, O.; Stauffer, P.R.; Drizdal, T.; Vrba, J.; Vrba, D. Feasibility evaluation of metamaterial microwave sensors for non-invasive blood glucose monitoring. Sensors 2021, 21, 6871. [Google Scholar] [CrossRef] [PubMed]
- Mohammadi, P.; Mohammadi, A.; Demir, S.; Kara, A. Compact size, and highly sensitive, microwave sensor for non-invasive measurement of blood glucose level. IEEE Sens. J. 2021, 21, 16033–16042. [Google Scholar] [CrossRef]
- Khalil, M.A.; Yong, W.H.; Islam, M.S.; Hoque, A.; Leei, C.C.; Soliman, M.S.; Islam, M.T. Cross enclosed square split ring resonator based on D.N.G. metamaterial absorber for X-band glucose sensing application. Heliyon 2024, 10, e26646. [Google Scholar] [CrossRef] [PubMed]
- Kamal, M.H.M.; Qureshi, S.A.; Abidin, Z.Z.; Majid, H.A.; See, C.H. Evaluation of microwave square ring metamaterial-based resonator for glucose detection. J. Eng. Appl. Sci. 2024, 71, 66. [Google Scholar] [CrossRef]
- Govind, G.; Akhtar, M.J. Metamaterial-inspired microwave microfluidic sensor for glucose monitoring in aqueous solutions. IEEE Sens. J. 2019, 19, 11900–11907. [Google Scholar] [CrossRef]
- Elsibaie, S.S.; Eldamak, A.R.; Elsheakh, D.N. Multiband complementary split ring resonators for non-invasive glucose monitoring. In Proceedings of the 2024 41st National Radio Science Conference (NRSC), New Damietta, Egypt, 16–18 April 2024; pp. 43–50. [Google Scholar]
- Omer, A.E.; Shaker, G.; Safavi-Naeini, S.; Alquié, G.; Deshours, F.; Kokabi, H.; Shubair, R.M. Non-invasive real-time monitoring of glucose level using novel microwave biosensor based on triple-pole CSRR. IEEE Trans. Biomed. Circuits Syst. 2020, 14, 1407–1420. [Google Scholar] [CrossRef] [PubMed]
- Rahayu, Y.; Nugraha, W.N.; Praludi, T.; Alaydrus, M.; Anhar; Masdar, H. Experimental based blood glucose monitoring with a noninvasive cylindrical biosensor antenna. Prog. Electromagn. Res. M 2023, 115, 71–81. [Google Scholar] [CrossRef]
- Kumar, A.; Wang, C.; Meng, F.Y.; Zhou, Z.L.; Zhao, M.; Yan, G.F.; Kim, E.S.; Kim, N.Y. High-sensitivity, quantified, linear and mediator-free resonator-based microwave biosensor for glucose detection. Sensors 2020, 20, 4024. [Google Scholar] [CrossRef] [PubMed]
- Lee, J.G.; Lee, J.H. Zeroth order resonance loop antenna. IEEE Trans. Antennas Propag. 2007, 55, 994–997. [Google Scholar] [CrossRef]
- Dima, R.; Costanzo, S.; Solimene, R. Dielectric models of blood-glucose solutions: A systematic literature review. IEEE Access 2024, 12, 163056–163077. [Google Scholar] [CrossRef]
Disclaimer/Publisher’s Note: The statements, opinions and data contained in all publications are solely those of the individual author(s) and contributor(s) and not of MDPI and/or the editor(s). MDPI and/or the editor(s) disclaim responsibility for any injury to people or property resulting from any ideas, methods, instructions or products referred to in the content. |
© 2025 by the authors. Licensee MDPI, Basel, Switzerland. This article is an open access article distributed under the terms and conditions of the Creative Commons Attribution (CC BY) license (https://creativecommons.org/licenses/by/4.0/).









