Video-Wise Just-Noticeable Distortion Prediction Model for Video Compression with a Spatial–Temporal Network
Abstract
1. Introduction
- We propose a VW-JND prediction framework to predict the VW-JND in a binary decision process, which reduces the prediction computation complexity compared with the previous studies.
- We propose a Perceptually Lossy/Lossless Predictor for Compressed Videos to predict whether a compressed video is perceptually lossy or lossless from its reference, which includes key frame selection scheme, a perceptually lossy/lossless prediction network for compressed frames, and an integration strategy.
- We propose a spatial–temporal network to predict the perceptual loss/losslessness for compressed frames by exploring the spatial features and temporal features together in an end-to-end manner.
2. Related Works
2.1. Traditional Pixel/Sub-Band Domain JND Models
2.2. Picture-Wise/Video-Wise JND Prediction Models
2.3. Analysis of the Existing JND Models
3. Motivation and Proposed Binary Decision-Based Video-Wise JND Prediction Method
3.1. Motivation
3.2. Binary Decision-Based Video-Wise JND Prediction Model
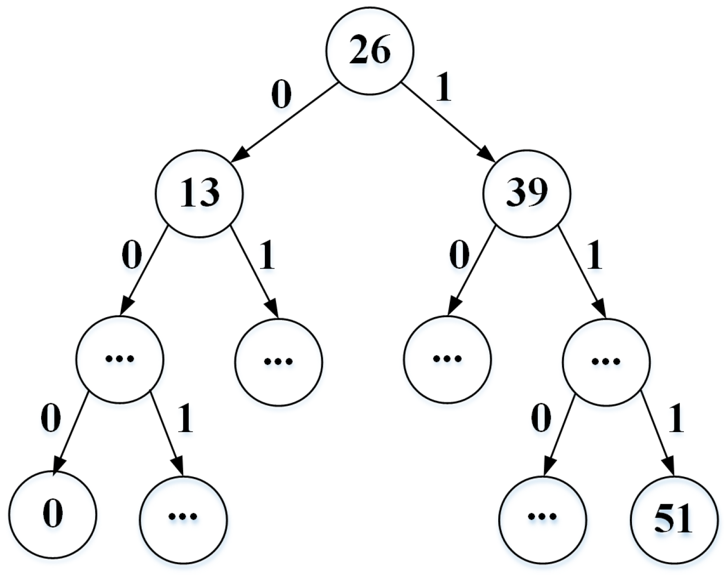
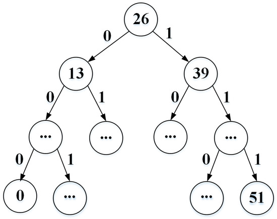
| Algorithm 1: Binary decision-based VW-JND prediction method |
![]() |
4. Perceptually Lossy/Lossless Prediction Method for Compressed Video
4.1. Distortion Analysis of Compressed Video
4.2. Framework of the Proposed Perceptually Lossy/Lossless Prediction Method for Compressed Video
4.3. Spatial–Temporal Network-Based Perceptually Lossy/Lossless Network
4.3.1. Patch Selection
4.3.2. Network Configuration
4.3.3. Loss Function
4.3.4. Parameter of Patch Selection
4.4. Integration Strategy
5. Experimental Results and Analysis
5.1. Setup
5.2. Evaluation of Perceptually Lossy/Lossless Predictor for Compressed Video
5.3. Performance of the Binary Decision-Based VW-JND Prediction Method
5.4. Prediction Accuracy Evaluation of the Binary Decision-Based VW-JND Prediction Method
5.4.1. Five-Fold Cross-Validation
5.4.2. Cross-Resolution Validation
5.4.3. Validation of Compressed Video as Reference
5.4.4. Ablation Study
5.5. Further Discussion
6. Conclusions
Author Contributions
Funding
Data Availability Statement
Acknowledgments
Conflicts of Interest
References
- Chen, L.; Cheng, B.; Zhu, H.; Qin, H.; Deng, L.; Luo, L. Fast versatile video coding (VVC) intra coding for power-constrained applications. Electronics 2024, 13, 2150. [Google Scholar] [CrossRef]
- Pan, Z.; Zhang, G.; Peng, B.; Lei, J.; Xie, H.; Wang, F.; Ling, N. JND-LIC: Learned image Compression via just noticeable difference for human visual perception. IEEE Trans. Broadcast. 2024. [Google Scholar] [CrossRef]
- Kang, B.; Kim, W. Human perception-oriented enhancement and smoothing for perceptual video coding. IEEE Trans. Broadcast. 2023, 69, 767–778. [Google Scholar] [CrossRef]
- Su, H.; Yu, L.; Jung, C. Joint contrast enhancement and noise reduction of low light images via jnd transform. IEEE Trans. Multimed. 2022, 24, 17–32. [Google Scholar] [CrossRef]
- Sendjasni, A.; Larabi, M.-C.; Cheikh, F.A. Perceptually-weighted cnn For 360-degree image quality assessment using visual scan-path and jnd. In Proceedings of the 2021 IEEE International Conference on Image Processing (ICIP), Anchorage, AK, USA, 19–22 September 2021; pp. 1439–1443. [Google Scholar]
- Wu, J.; Li, L.; Dong, W.; Shi, G.; Lin, W.; Kuo, C.-C.J. Enhanced just noticeable difference model for images with pattern complexity. IEEE Trans. Image Process. 2017, 26, 2682–2693. [Google Scholar] [CrossRef]
- Wang, H.; Wang, S.; Li, T.; Yin, H.; Yu, L. Surprise-Based jnd estimation for images. IEEE Signal Process. Lett. 2020, 27, 181–185. [Google Scholar] [CrossRef]
- Chen, Z.; Wu, W. Asymmetric foveated just-noticeable-difference model for images with visual field inhomogeneities. IEEE Trans. Circuits Syst. Video Technol. 2020, 30, 4064–4074. [Google Scholar] [CrossRef]
- Wang, H.; Yu, L.; Liang, J.; Yin, H.; Li, T.; Wang, S. Hierarchical predictive coding-based jnd estimation for image compression. IEEE Trans. Image Process. 2021, 30, 487–500. [Google Scholar] [CrossRef]
- Jiang, Q.; Liu, Z.; Wang, S.; Shao, F.; Lin, W. Toward top-down just noticeable difference estimation of natural images. IEEE Trans. Image Process. 2022, 31, 3697–3712. [Google Scholar] [CrossRef]
- Wang, H.; Yu, L.; Yang, H.; Xu, H.; Yin, H.; Zhai, G.; Li, T.; Kuang, Z. Surprise-based JND estimation for perceptual quantization in H.265/HEVC codecs. Signal Process. Image Commun. 2023, 118, 117019. [Google Scholar] [CrossRef]
- Yin, H.; Wang, H.; Yu, L.; Liang, J.; Zhai, G. Feedforward and feedback modulations based foveated JND estimation for images. ACM Trans. Multimed. Comput. Commun. Appl. 2023, 19, 1–23. [Google Scholar] [CrossRef]
- Wang, C.; Li, S.; Liu, Y.; Meng, L.; Zhang, K.; Wan, W. Cross-scale feature fusion-based JND estimation for robust image watermarking in quaternion DWT domain. Optik 2023, 272, 170371. [Google Scholar] [CrossRef]
- Zhang, Y.; Gong, Y.; Wang, J.; Sun, J.; Wan, W. Towards perceptual image watermarking with robust texture measurement. Expert Syst. Appcication 2023, 219, 119649. [Google Scholar] [CrossRef]
- Wan, W.; Li, X.; Li, J.; Xu, M.; Lv, H.; Sun, J. Quaternion attention-based JND model for macrophotography image watermarking. Opt. Lesers Eng. 2025, 184, 108607. [Google Scholar] [CrossRef]
- Shen, X.; Ni, Z.; Yang, W.; Zhang, X.; Wang, S.; Kwong, S. Just noticeable distortion profile inference: A patch-level structural visibility learning approach. IEEE Trans. Image Process. 2020, 30, 26–38. [Google Scholar] [CrossRef]
- Mao, Y.; Wu, J.; Wang, X.; Li, L.; Dong, W. Transfer learning for just noticeable difference estimation. Inf. Sci. 2023, 648, 119575. [Google Scholar] [CrossRef]
- Jin, J.; Zhang, X.; Fu, X.; Zhang, H.; Lin, W.; Lou, J.; Zhao, Y. Just noticeable difference for deep machine vision. IEEE Trans. Circuits Syst. Video Technol. 2022, 32, 3452–3461. [Google Scholar] [CrossRef]
- Jiang, Q.; Liu, F.; Wang, Z.; Wang, S.; Lin, W. Rethinking and conceptualizing just noticeable difference estimation by residual learning. IEEE Trans. Circuits Syst. Video Technol. 2024, 34, 9515–9527. [Google Scholar] [CrossRef]
- Fan, C.; Lin, H.; Hosu, V.; Zhang, Y.; Hamzaoui, R.; Jiang, Q.; Saupe, D. SUR-Net: Predicting the satisfied user ratio curve for image compression with deep learning. In Proceedings of the International Conference Quality of Multimedia Expo (QoMEX), Berlin, Germany, 5–7 June 2019. [Google Scholar]
- Lin, H.; Hosu, V.; Fan, C.; Zhang, Y.; Mu, Y.; Hamzaoui, R.; Saupe, D. SUR-FeatNet: Predicting the satisfied user ratio curve for image compression with deep feature learning. Qual. User Exp. 2020, 5, 5. [Google Scholar] [CrossRef]
- Fan, C.; Zhang, Y.; Hamzaoui, R.; Ziou, D.; Jiang, Q. Satisfied user ratio prediction with support vector regression for compressed stereo images. In Proceedings of the 2020 IEEE International Conference Multimedia Expo Workshop (ICMEW), London, UK, 6–10 July 2020; pp. 1–6. [Google Scholar] [CrossRef]
- Fan, C.; Zhang, Y.; Hamzaoui, R.; Ziou, D.; Jiang, Q. Learning-based Satisfied User Ratio Prediction for Symmetrically and Asymmetrically Compressed Stereoscopic Images. IEEE MultiMedia 2021, 28, 8–20. [Google Scholar] [CrossRef]
- Wang, H.; Katsavounidis, I.; Huang, Q.; Zhou, X.; Kuo, C.-C.J. Prediction of Satisfied User Ratio for Compressed Video. In Proceedings of the International Conference Acoustics, Speech and Signal Process. (ICASSP), Calgary, AB, Canada, 15–20 April 2018; pp. 6747–6751. [Google Scholar]
- Wang, H.; Zhang, X.; Chao, Y.; Kuo, C.-C.J. Analysis and prediction of JND-based video quality model. In Proceedings of the Picture Coding Symposium (PCS), Lille, France, 27–31 August 2018; pp. 278–282. [Google Scholar]
- Zhang, X.; Yang, C.; Wang, H.; Xu, W.; Kuo, C.-C.J. Satisified-user-ratio modeling for compressed video. IEEE Trans. Image Process. 2020, 29, 3777–3789. [Google Scholar] [CrossRef] [PubMed]
- Zhang, Y.; Liu, H.; Yang, Y.; Fan, X.; Kwong, S.; Kuo, C.C.J. Deep Learning Based Just Noticeable Difference and Perceptual Quality Prediction Models for Compressed Video. IEEE Trans. Circuits Syst. Video Technol. 2022, 32, 1197–1212. [Google Scholar] [CrossRef]
- Liu, H.; Zhang, Y.; Zhang, H.; Fan, C.; Kwong, S.; Kuo, C.-C.J.; Fan, X. Deep learning based picture wise just noticeable distortion prediction model for image compression. IEEE Trans. Image Process. 2020, 29, 641–656. [Google Scholar] [CrossRef] [PubMed]
- Tian, T.; Wang, H.; Zuo, L.; Kuo, C.-C.J.; Kwong, S. Just noticeable difference level prediction for perceptual image compression. IEEE Trans. Broadcast. 2020, 29, 641–656. [Google Scholar]
- Tian, T.; Wang, H.; Kwong, S.; Kuo, C.-C.J. Perceptual image compression with block-level just noticeable difference prediction. ACM Trans. Multimed. Comput. Commun. Appl. 2021, 16, 1–15. [Google Scholar] [CrossRef]
- Nami, S.; Pakdaman, F.; Hashemi, M.R.; Shirmohammadi, S. BL-JUNIPER: A CNN-Assisted Framework for Perceptual Video Coding Leveraging Block-Level JND. IEEE Trans. Multimed. 2023, 25, 5077–5092. [Google Scholar] [CrossRef]
- Zhang, Y.; Lin, H.; Sun, J.; Zhu, L.; Kwong, S. Learning to predict object-wise just recognizable distortion for image and video compression. IEEE Trans. Multimed. 2024, 26, 5925–5938. [Google Scholar] [CrossRef]
- Shen, X.; Ni, Z.; Yang, W.; Zhang, X.; Wang, S.; Kwong, S. A JND dataset based on vvc compressed images. In Proceedings of the 2020 IEEE International Conference on Multimedia & Expo Workshops (ICMEW), London, UK, 6–10 July 2020; pp. 1–6. [Google Scholar] [CrossRef]
- Wang, H.; Katsavounidis, I.; Zhou, J.; Park, J.; Lei, S.; Zhou, X.; Pun, M.; Jin, X.; Wang, R.; Wang, X.; et al. Videoset: A large-scale compressed video quality dataset based on JND measurement. J. Vis. Commun. Image R. 2017, 46, 292–302. [Google Scholar] [CrossRef]
- Zhu, J.; Perrin, A.-F.; Callet, P.L. Subjective test methodology optimization and prediction framework for just noticeable difference and satisfied user ratio for compressed HD video. In Proceedings of the 2022 Picture Coding Symposium (PCS), San Jose, CA, USA, 7–9 December 2022; pp. 313–317. [Google Scholar]
- Hu, S.; Jin, L.; Wang, H.; Zhang, Y.; Kwong, S.; Kuo, C.-C.J. Objective video quality assessment based on perceptually weighted mean squared error. IEEE Trans. Circuits Syst. Video Technol. 2017, 27, 1844–1855. [Google Scholar] [CrossRef]
- Brox, T.; Bruhn, A.; Papenberg, N.; Weickert, J. High accuracy optical flow estimation based on a theory for warpin. In Proceedings of the European Conference Computer Vision (ECCV), Prague, Czech Republic, 11–14 May 2004; pp. 25–36. [Google Scholar]
- Liu, X.; Miao, C.; Fiumara, G.; Meo, P.D. Information propagation prediction based on spatial–temporal attention and heterogeneous graph convolutional networks. IEEE Trans. Comput. Soc. Syst. 2023, 3, 945–958. [Google Scholar] [CrossRef]









| Pixel/Sub-Band Domain Models | VW-JND/VW-JND Models | Proposed Method | |||
|---|---|---|---|---|---|
| Prediction Object | Pixels: [6,7,8,9,10,11,12], DCT coefficients: [13,14,15] | Pixels: [16,17] | 2D images: [20,21], Stereoscopic images: [22,23], 2D videos: [24,25,26,27], | 2D images: [28,29,30,31], Object: [32] | 2D videos |
| Modeling mechanism | HVS-inspired: [6,7,8,9,10,11,12,13,14,15] | Learning-based: [16,17,18,19] | SUR-based: [20,21,22,23,24,25,26,27] | Classification-based: [28,29,30,31,32] | Classification-based |
| Feature Design | - | - | Handcraft: [20,22,23,24,25,26], Learning: [21,27] | Learning: [28,29,30,31,32] | Learning |
| Training Set | Testing Set | Predictor | Accuracy |
|---|---|---|---|
| average | |||
| Models | QP | PSNR (dB) | SSIM | |
|---|---|---|---|---|
| Mean | EJNDM [6] | 4.58 | 2.30 | 4.85 |
| PW-SUR-Net [20] | 3.07 | 1.47 | 4.06 | |
| PW-JND [28] | 2.14 | 1.05 | 1.96 | |
| VW-STSUR-* [27] | 1.78 | 0.87 | 1.64 | |
| Proposed | 1.78 | 0.86 | 1.56 | |
| Var. | EJNDM [6] | 21.72 | 4.91 | 2.7 |
| PW-SUR-Net [20] | 12.06 | 2.74 | 2.6 | |
| PW-JND [28] | 3.84 | 0.89 | 3.6 | |
| VW-STSUR-* [27] | 1.88 | 0.56 | 2.89 | |
| Proposed | 2.02 | 0.55 | 2.56 |
| Predictors | Testing Set | QP | PSNR | SSIM | |||
|---|---|---|---|---|---|---|---|
| AVE | STD | AVE | STD | AVE () | STD () | ||
| 1.78 | 2.02 | 0.87 | 0.55 | 1.56 | 2.56 | ||
| 2.21 | 2.60 | 1.06 | 1.39 | 2.73 | 4.70 | ||
| 2.53 | 1.99 | 1.27 | 1.19 | 2.99 | 4.23 | ||
| 3.13 | 2.35 | 0.89 | 0.72 | 1.85 | 1.57 | ||
| 2.31 | 1.57 | 1.28 | 1.14 | 2.42 | 2.62 | ||
| average | 2.39 | 1.98 | 1.07 | 1.03 | 2.31 | 2.94 | |
| Testing Resolution | |||||
|---|---|---|---|---|---|
| 1080p | 720p | 540p | 360p | ||
| Acc | 96.4% | 95.7% | 94.2% | 91.9% | |
| QP | AVE | 1.78 | 2.18 | 2.95 | 4.11 |
| STD | 2.02 | 1.78 | 2.51 | 2.33 | |
| Reference | Accuracy | JND Prediction Error | |||||
|---|---|---|---|---|---|---|---|
| QP | PSNR | SSIM | |||||
| AVE | STD | AVE | STD | AVE () | STD ( | ||
| 1st∗ | 92.1% | 1.86 | 1.70 | 0.96 | 0.98 | 3.68 | 3.32 |
| 1st | 93.8% | 1.55 | 1.24 | 0.83 | 0.69 | 3.00 | 3.25 |
| 2nd | 94.5% | 1.06 | 0.91 | 0.55 | 0.49 | 4.00 | 5.87 |
| Models | QP | PSNR | SSIM | |||
|---|---|---|---|---|---|---|
| AVE | STD | AVE (dB) | STD (dB) | AVE () | STD () | |
| S-model | 1.78 | 2.02 | 0.86 | 0.55 | 1.56 | 2.56 |
| ST-model | 2.90 | 3.14 | 1.32 | 0.69 | 2.70 | 3.55 |
Disclaimer/Publisher’s Note: The statements, opinions and data contained in all publications are solely those of the individual author(s) and contributor(s) and not of MDPI and/or the editor(s). MDPI and/or the editor(s) disclaim responsibility for any injury to people or property resulting from any ideas, methods, instructions or products referred to in the content. |
© 2024 by the authors. Licensee MDPI, Basel, Switzerland. This article is an open access article distributed under the terms and conditions of the Creative Commons Attribution (CC BY) license (https://creativecommons.org/licenses/by/4.0/).
Share and Cite
Liu, H.; Liu, S.; Xiao, J.; Xu, D.; Fan, X. Video-Wise Just-Noticeable Distortion Prediction Model for Video Compression with a Spatial–Temporal Network. Electronics 2024, 13, 4977. https://doi.org/10.3390/electronics13244977
Liu H, Liu S, Xiao J, Xu D, Fan X. Video-Wise Just-Noticeable Distortion Prediction Model for Video Compression with a Spatial–Temporal Network. Electronics. 2024; 13(24):4977. https://doi.org/10.3390/electronics13244977
Chicago/Turabian StyleLiu, Huanhua, Shengzong Liu, Jianyu Xiao, Dandan Xu, and Xiaoping Fan. 2024. "Video-Wise Just-Noticeable Distortion Prediction Model for Video Compression with a Spatial–Temporal Network" Electronics 13, no. 24: 4977. https://doi.org/10.3390/electronics13244977
APA StyleLiu, H., Liu, S., Xiao, J., Xu, D., & Fan, X. (2024). Video-Wise Just-Noticeable Distortion Prediction Model for Video Compression with a Spatial–Temporal Network. Electronics, 13(24), 4977. https://doi.org/10.3390/electronics13244977


