Abstract
In order to address the problems of low spectrum efficiency in current communication systems and extend the lifetime of energy-constrained relay devices, this paper proposes a novel dual-hop free-space optical (FSO) system that integrates cognitive radio (CR) and energy harvesting (EH). In this system, the source node communicates with two users at the terminal via FSO and terahertz (THz) hard-switching links, as well as a multi-antenna relay for non-orthogonal multiple access (NOMA). There is another link whose relay acts as both the power beacon (PB) in the EH system and the primary network (PN) in the CR system, achieving the double function of auxiliary transmission. In addition, based on the three possible practical working scenarios of the system, three different transmit powers of the relay are distinguished, thus enabling three different working modes of the system. Closed-form expressions are derived for the interruption outage probability per user for these three operating scenarios, considering the Gamma–Gamma distribution for the FSO link, the distribution for the THz link, and the Rayleigh fading distribution for the radio frequency (RF) link. Finally, the numerical results show that this novel system can be adapted to various real-world scenarios and possesses unique advantages.
1. Introduction
With the maturation of fifth-generation (5G) and the ongoing development of sixth-generation (6G) systems, free-space optics (FSO) is emerging as a focal point of interest in academia and industry [1,2,3]. Compared with traditional radio frequency (RF), FSO has a larger bandwidth and higher transmission speed [4]. However, nowadays the demands for communication frequency, rate, and bandwidth are all increasing [5], and FSO systems are highly susceptible to atmospheric conditions like atmospheric turbulence and visibility. Therefore, a practical FSO/RF switching link was suggested, with these systems complementing each other, as early as 2001 by Isaac I. Kim [6]. RF serves as a backup link for the FSO system and is able to continue to secure the transmission of communications when the FSO system receives interference. In addition to RF, whose spectrum resources are scarce, terahertz (THz) has become an important complement to FSO communication systems [7,8]. THz is also important for the study of scattering environments [9,10]. The combination of the two can offer high transmission rates, expand spectrum resources, and enhance system reliability when FSO is impacted by atmospheric conditions [11].
Non-orthogonal multiple access (NOMA) has been proposed and applied as a solution to the low spectrum efficiency in communication systems [12]. This technique allows multiple signals from different users to be superimposed on a single transmission, enabling them to share the same portion of the spectrum simultaneously [13]. Marzieh Najaf [14] introduced a system of FSO combined with NOMA, and studied the performance of integrating NOMA into the FSO backhaul system, following the Gamma–Gamma distribution. The study also provided a closed expression for the outage probability (OP). Coincidentally, NOMA has also been introduced into FSO/RF systems to enhance spectrum utilization efficiency. Amina Girdher’s group [15] proposed and investigated the application of NOMA to intelligent reflecting surface (IRS)-assisted FSO/RF links. They derived exact expressions for OP, coverage probability (CP), and throughput (TP) for FSO obeying the Malaga distribution and RF obeying the Nakagami-m distribution. Liu et al. [16] applied NOMA to an FSO/THz dual-hop multiuser system and derived closed expressions for ergodic capacity (EC) and OP. The system achieves better performance with a smaller power allocation coefficient (PAC) mean deviation, confirming the superiority of the NOMA-assisted FSO/THz-RF dual-hop system.
Although the introduction of NOMA can alleviate the issue of spectrum resource scarcity, more efforts in other parts still need to be invested [17]. In this context, cognitive radio (CR) is applied to enhance the efficiency of spectrum utilization. By combining CR with FSO, the secondary network (SN) in the system can fully and efficiently utilize the underutilized spectrum in the primary network (PN) [18,19]. Eylem Erdogan [20] proposed a network that combines FSO/RF and CR, where the FSO link follows the Nakagami-m distribution and the RF link follows the Weibull fading channel. Erdogan provides the OP for the entire system as well as a closed expression for the traversal capacity. On the other hand, Soumen Mondal [19] investigated the system performance of FSO/RF links combined with CR under the Gamma–Gamma distribution with a Rayleigh fading channel model.
Energy harvesting (EH) is considered a solution to prolong the working life of energy storage components in communication networks [21]. Especially in today’s booming Internet era, relay and terminal devices in communication networks are becoming more diverse and miniaturized. Many of these devices are low-power devices with limited battery capacity or are unable to be connected to a power source. By utilizing an energy harvesting system, these devices can collect energy from power beacons (PBs) through relaying to ensure their proper operation [22]. In Ref. [23], Souad Labghough combined EH with FSO/RF links using amplify-and-forward (AF) and derived OPs for Nakagami-m fading channel and Malaga-M atmospheric turbulence channel conditions.
In addition, antenna selection (AS) has effectively improved the system transmission performance in traditional FSO/RF links [24]. Sanayei [25] proposed the use of AS to enhance system performance in communication systems using multiple-input multiple-output (MIMO) technology as early as 2004. This technique has also been implemented in RF, FSO, THz, and FSO/RF systems in recent years [26,27,28,29].
In this study, we investigated a dual-hop system combining FSO/THz hard switching, NOMA, CR, and AS to further improve the spectrum utilization efficiency of the system. Meanwhile, we offer an EH system for low-power terminals where a stabilized power supply is not available to ensure their normal operation within the entire system [30]. The proposed system can be applied in a variety of practical scenarios. For example, in an Internet of Things (IoT) network using an FSO system, the source needs to deliver a signal to two end users employing NOMA and MIMO [31]. The THz enhances the stability of message delivery in the initial hop of message transmission. Since the light source cannot directly transmit the message to the receiving device with an RF antenna, a relay device with an EH system capable of stable operation is added to facilitate the message forwarding. At the same time, this relay device acts as a secondary network of the CR and can utilize the idle state of the PN for message delivery, thereby enhancing the efficiency of spectrum utilization.
From the above papers, it is clear that most studies have focused on systems that combine FSO/RF dual-hop with either CR or EH, individually. To the best of our knowledge, there are no studies that combine both techniques simultaneously. The main contributions of this paper are summarized as follows:
- We propose and study a novel NOMA-based FSO/THz dual-hop system and utilize both CR and EH for the first time to enhance system performance. For the first time, we utilize the transmitting relay R as both the SN in CR and the energy harvesting relay in EH. Additionally, we employ the PU in the CR model as the PB in the EH model. In this case, R utilizes the EH to harvest energy from the PB for replenishment, and subsequently transmits the message to the users after AS in the N antennas.
- Under such a working model, we exemplify three different working modes to suit actual usage. The three operating modes are: PU idle and EH working normally, PU and EH working normally at the same time, and PU very busy or faulty and unable to act as the PB.
- On the basis of these three modes of operation, we assume that there are two users in the system. The FSO link follows the Gamma–Gamma distribution, while the RF link follows the Rayleigh fading channel distribution. Finally, the closed-form expressions for the exact OP of each of the two users in the three different operating modes is obtained.
- In addition, we study and test the impact of the first-hop signal-to-noise ratio, the number of antennas, and the unused power distribution coefficients on the user OP performance in the system proposed in this paper.
The rest of this article is organized as follows. Section 2 presents the system and channel model, deduces the probability density function (PDF) and cumulative distribution function (CDF) of FSO and THz links in the SR link, and the PDF and CDF of RF links in the EH system and RU link. In addition, we classify and discuss three different working scenarios of the system. In Section 3, we analyze the expressions of two users’ respective OPs in three work scenarios. In Section 4, we introduce some meaningful scenarios and carry out numerical analysis for some parameters of the system. In Section 5, we conclude this paper.
2. System and Channel Models
In this paper, we consider the following communication system scenario, as shown in Figure 1. The first-hop SR link involves S serving as the signal source through NOMA-assisted AF transmission, passing through relay R, which is integrated with the EH system. It transmits signals to both users simultaneously. Since a single FSO link is very susceptible to weather or atmospheric turbulence, the THz link was introduced as an alternative transmission option to support the first link. In this process, the relay R also needs to perform photoelectric signal conversion if it receives FSO signals, but not if it receives THz signals. After that, R will first collect the energy sent from the PB and combine it with its own stored energy to send the signal. The final transmission antenna is determined by AS among N antennas. We assume that the entire transmission process takes 2T, with the first and second links each consuming T time.
Figure 1.
Hard-switched FSO/THz-RF dual-hop NOMA link with CR and EH.
2.1. SR Link (FSO/THz Link)
In the first link, S needs to signal users and with messages and superimposed on each other. After receiving the signal, the relay R selects the better performing DF between AF and DF for the deployed protocol, and thus continues the transmission. The signal received at R is [32]:
where represents the channel transmission coefficient from S to R, and is the additive white Gaussian noise (AWGN) with a mean of 0 variance generated by the intermediate information transmission from S to R.
R needs to perform a photoelectric conversion to convert the optical signal into an electrical signal when it receives the optical signal transmitted by S. This step can be skipped if an electrical signal is received. In the NOMA transmission protocol, the signals of different users are sent together in a superposition, so the interference caused by the signals of the remaining users needs to be eliminated. In this scenario, with higher transmit power does not require perfect successive interference cancellation (SIC) processing [33], while needs to perform SIC outside of R. The SIC process involves initially detecting the signal of , then eliminating it from the overall signal, and finally decoding the signal of . Thus, we can obtain the Signal-to-Interference-Noise Ratio (SINR) of and the Signal-to-Noise Ratio (SNR) of , respectively [33]:
and
where , is the average signal-to-noise ratio of the SR link, is the photoelectric conversion efficiency when the SR link is an FSO signal, and is the receive conversion efficiency of the electrical signal when the SR link is a THz signal. Next, the PDF and CDF of the SR link need to be calculated. It should be noted that the system designed in this paper uses hard switches for THz communication and FSO communication. The distribution is used in terahertz communication links because it can model and describe the complex fading characteristics of the channel flexibly and accurately. Because of its high frequency characteristics, transmission links in the terahertz band often face extremely complex propagation conditions and significant fading effects, which means traditional distributions such as Rayleigh distribution or Nakagami-M distribution may not be able to fully capture its characteristics. Therefore, the PDF and CDF of each of the two different modes of operation must first be obtained. The PDF of the THz link is as follows [34]:
The CDF of the THz link is [34]:
The PDF of the FSO link is [35]:
The Gamma–Gamma distribution is mainly used to describe signal fading in FSO links, especially for the effects of environmental factors such as atmospheric turbulence and rain and snow. The Gamma–Gamma distribution is used in FSO systems because it is able to more accurately simulate the attenuation of light signals in complex natural environments, which is especially important in long-distance, high-speed communications and dynamic climate conditions. By using GG distribution, FSO system design can be optimized to improve communication quality and reliability. The CDF of the FSO link is [35]:
where represents MeijerG function [36], , , , , and and represent the attenuation coefficients of atmospheric turbulence, while and denote the attenuation parameters of the distribution of the THz link. The ratios between the equivalent beam radius and the standard deviation of the pointing error displacement at the receiving antenna for the FSO and THz links are represented by and , respectively. Variables and are the fractions of the collected power at the center of the detector for the two links. Path losses for the two links are denoted by and , and represents the root-mean-square (RMS) value of the fading channel envelope.
In addition, since the SR link is hard switched and THz and FSO are statistically independent of each other in terms of probability, the PDF of the SR link is:
At the same time that the SR link is operating, R also obtains energy from the PB. The expression for the energy gained is:
where represents the energy conversion efficiency, denotes the transmit power of the PB, and represents the channel coefficients from PB to R. In this article, all RF links are assumed to follow and obey the Rayleigh distribution. Therefore, the channel coefficients of the BR link and the squares of the channel coefficients and of the RU link follow an exponential distribution, and their PDFs and CDFs can be expressed as [32]:
and
where and is the desired power gain of the link. Let and since this system involves AS, the PDF of for that link for the nth () antenna is finally selected for transmission and can be expressed as [37]:
and CDF can be expressed as:
2.2. RU Link (RF Link)
In the second link, R needs to choose one of the N antennas as the transmitter antenna and then utilize the gathered energy along with its own energy for transmission. Although AS increases the complexity of the system, it can significantly improve the performance of the communication system and reduce the impact of channel fading, thereby enhancing the signal quality and system capacity. By selecting the optimal antenna, the system can also achieve a good balance between power consumption and hardware complexity. In this scenario, we assume that the statistics of the link performance between each antenna and the user are independent of each other. The AS scheme consists of two stages. The first stage involves calculating the channel coefficients between each of the two users and the various antennas. We assume that represents the smaller value of the channel coefficients between the nth antenna and the two users:
The second step selects the antenna with the largest channel coefficients among all the antennas, and the selected antenna can be denoted as:
Thus, we can obtain the PDF of the channel coefficient of R transmitted through this antenna as [38]:
and CDF can be expressed as:
The PDF of the channel coefficients transmitted by R to through this antenna is:
and CDF can be expressed as:
where and .
When relay R sends information to the user, the second-hop link, as a sub-network of CR, will be constrained by the main network. Therefore, based on the different operating states of the main network, the whole system can be distinguished into three different operating scenarios. In order to make the model clearer and better integrate with the practical application, we assume a remote environment inspection system as the real application of our model.
In the first scenario, we assume that the PN is idle or the CR of the PN is not available. At this point, the PN can provide energy to R as a PB, and at the same time, it can allocate its spectrum resources to RU links. Since the PN is not working at this time, it will not be affected. Therefore, the PN also does not limit the maximum transmit power of R. For example, when a hypothetical remote environmental detection system is deployed in a remote mountainous area where the network is unstable, the weather monitoring sensor node relies entirely on EH. Sensor nodes work by collecting energy at the relay and storing the data locally at the right time. Once the energy storage is sufficient, the equipment can ensure the continuity of monitoring work by regularly transmitting meteorological data. Once the network is unstable or until the base station is repaired and maintained, the CR cannot work normally. At this time, all data transmission of the sensor relies on its own limited transmission frequency band. In this scenario, the energy transmitted by R is the energy received from the PB and the energy stored by itself or supplied by its own power supply, which can be expressed as:
which gives the transmit power of R as [39]:
where is the saturation threshold of the transmission energy that can be received from the PB and is the transmission power that it can provide itself.
In the second scenario, we assume that the main network PN is in normal operation, and R is experiencing low energy or an unstable power supply. In order for R to function properly, the PN can serve as an energy harvesting PB to transmit energy to R. The following section provides an analysis of the working conditions under such circumstances. First, R, acting as the PU of a CR, will utilize the free spectrum resources of the PN to transmit messages to and after selecting the transmission antenna. In the remote meteorological monitoring station, the sensor node EH collects energy from it. At the same time, the node dynamically selects the idle frequency band for data transmission through CR. For example, the sensor is charged by solar energy during the day and relies on radio frequency signals from nearby communication base stations to continue charging at night. The base station at night is also in a relatively idle state, and CR enables the monitoring station to intelligently access the idle frequency band, thereby transmitting real-time meteorological data, which not only reduces the dependence on the battery but also improves the efficiency of spectrum use. Because the transmission power of R cannot affect the normal operation of the PN itself, it is first necessary to obtain the CDF of the R-PN link channel coefficient , which can be seen from (12); the CDF of the channel coefficient obeying the Rayleigh fading distribution is [32]:
The constraints on the conduct can then be obtained as [40]:
where , is the desired power gain of the RP link, and is the saturation threshold of the interference that the PN can withstand when operating normally. Since the energy that R itself can provide to the transmit power is small or unstable in this scenario, we consider . This means that the transmit power provided by R’s own energy will not affect the normal operation of the PN. The final transmission power of R can be expressed as:
where .
In the third scenario, we assume that R itself has a sufficiently stable power supply, and the PN network is operational at this time or the energy transmitting system of the PN network fails. For example, the weather monitoring station is equipped with temporary external power supply, such as a connection to the grid or backup battery system, and does not rely on EH at all. The researchers hope to obtain more data faster by providing a temporary stable power source. Sensor nodes use CR to detect and utilize idle frequency bands for data transmission. With CR technology, monitoring stations are able to intelligently access unused frequency bands to transmit meteorological data without interfering with the main network. This not only effectively uses the spectrum resources but also ensures the real-time data transmission. In this case, R will not obtain additional energy from the PN for signaling but can still utilize the free spectrum resources in the PN with CR. Since the transmission power of R in this scenario still needs to be limited without affecting the normal operation of the PN, the final transmission power of R can be obtained as:
In addition, the signal received by () can be expressed as:
3. Performance Analysis
In this section, we will provide closed expressions for the OPs of each of the two users in three different work scenarios. OP is an important metric to measure the reliability of a communication system, which indicates the probability that the system cannot meet the minimum performance requirements at a specific SNR. The study of OP is helpful to optimize the system design, improve its anti-interference ability, and ensure the stability of data transmission and quality of service. It has practical application value especially in dynamic or harsh channel environments.
Based on Section 2, we divide the communication process of the entire system into two links. Consequently, we can determine the OPs of and as:
and
where indicates that user k was unable to decode the information from user on the lth link (, where for SR links and for RU links). Specifically, , , , , , and , where denotes the threshold of the kth user on the lth link, and furthermore: [16],
For the convenience of subsequent calculations, we also need to rewrite . Specifically, the first-hop SR link is rewritten as:
The second-hop RU link is then rewritten as:
where
Next, we compute the OP for the first work scenario:
where
and
in which
To further solve (40), we let:
Then, based on [41] and using Gaussian Chebyshev interpolation integrals (where is the number of terms of the Gaussian Chebyshev polynomial), we obtain:
where
Afterwards, the closed expression for the OP of for the first working scenario can be obtained by substituting (9), (40), (41), and (45) into (36):
where
After that, we compute the OP for , which can be obtained as:
and
where
in which and is the number of terms of the Gauss Chebyshev polynomials, while:
Next is the derivation of the OPs for the two users in the second work scenario, which is given by (17), (19), (22), and (37):
where S denotes the second scene; in addition:
and
where , , and .
Similarly, let:
and we can obtain:
where , , and is the number of terms of the Gauss Chebyshev polynomial.
In this equation, , represents the number of terms of the Gauss–Chebyshev polynomial, and:
Next, we derive the OP for the two users in the third working scenario, which is given by (36):
where ,
4. Numerical Results
In this section, we present the numerical results and discuss the system. We present Table 1, which includes typical data for the system used, including performance parameters in the FSO, THz, and RF links. Specifically, regarding the data presented: is the receiver radius, is the equivalent beam width, and is the pointing error displacement standard deviation at R. If new conditions need to be introduced in the qualitative analysis, we will explain them.
Table 1.
Parameter settings for FSO, THz, and RF links without special instructions.
The beamwidth and jitter standard deviation play a crucial role in antenna transmission. To clearly observe the impact of the beamwidth and jitter standard deviation on the OPs of two users under three different scenarios, Figure 2 illustrates the comparison between different beamwidth and jitter standard deviations versus OPs. The first row shows the OP of under three operating scenarios, and the second row shows the OP of under the same scenarios. From Figure 2, we can observe that the OP performance of both users decreases with an increase in beamwidth or an increase in jitter standard deviation. However, since the final equivalent beamwidth is determined by the beamwidth along with the receiving radius, the OP also decreases slightly in the range where the jitter standard deviation equals the receiving radius. Furthermore, we observe that in the first two operating scenarios, the OP is significantly better than in the third operating scenario due to the energy received from the PB. In the same operating scenario, the OP performance of is better than that of .
Figure 2.
The comparison between different beamwidth and jitter standard deviations versus OPs.
Ensuring high performance while transmitting messages over longer distances is a fundamental requirement for every communication system. To investigate the performance of the proposed system at different distances, Figure 3 illustrates the impact of THz frequency and link transmission distance on the OPs of two users in three scenarios. The first row displays the OP of in the three operating scenarios, while the second row shows the OP of in the same scenarios. The findings indicate that a shorter THz link transmission distance and a lower THz frequency result in improved performance for both users in the system. For the same reason as in Figure 2, both the first and second operating scenarios are significantly better than the third operating scenario.
Figure 3.
The comparison between link transmission distances and THz frequency cases versus OP. The first row represent , and the second row represent , respectively.
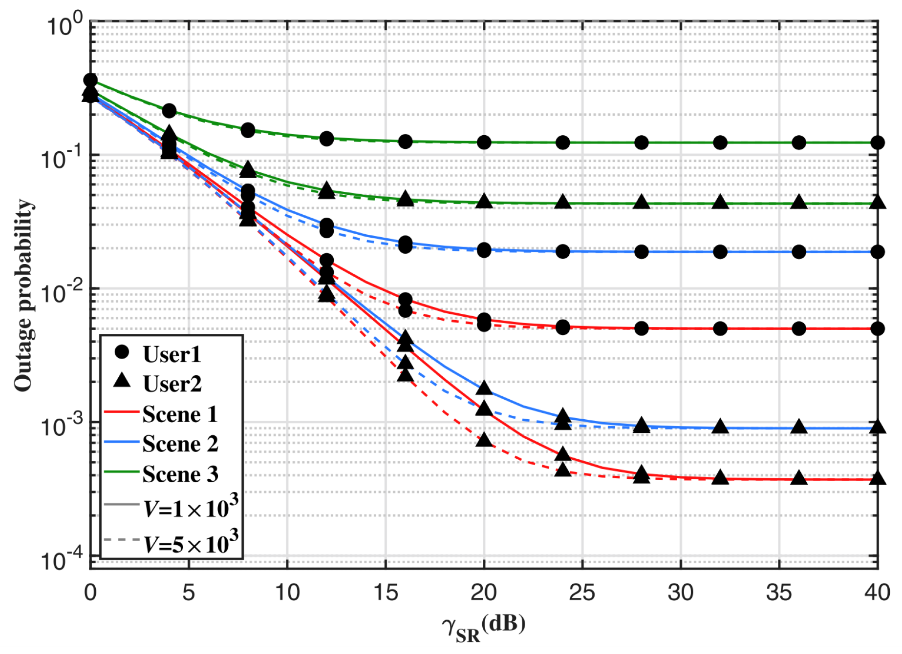
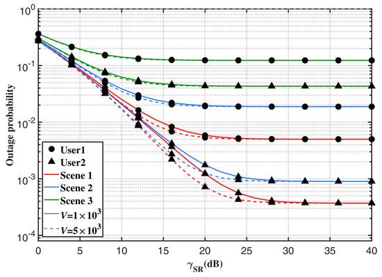
In practical communication transmission, weather conditions often have a significant impact. Therefore, Figure 4 illustrates the impact of two different visibility levels on the OPs for two users across three scenarios. The significance of its practical application is that the small V scene simulates the communication condition of low visibility on rainy days, and the large V scene simulates the communication condition of high visibility on sunny days. From Figure 4, it can be seen that the scenario with better visibility exhibits superior OP performance for a specific SR link SNR condition. However, as the SR link SNR increases, the entire system becomes more limited by the second-hop RU link, which ultimately stabilizes at a fixed value, namely the outage probability of the link.
Figure 4.
SNR versus OP under the comparison between different visibility.
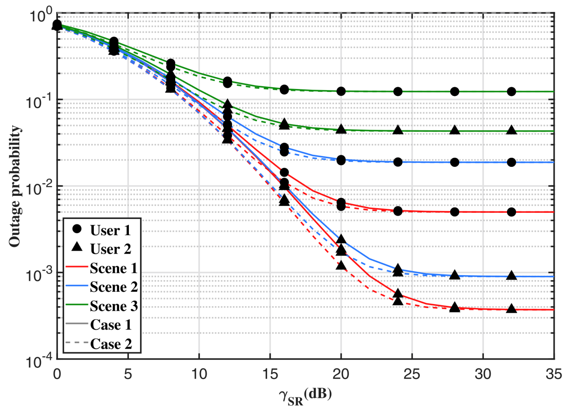
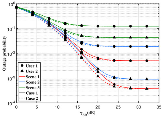
Figure 5 illustrates the impact of atmospheric turbulence and pointing errors on the OPs of two users in three scenarios. We split the various atmospheric turbulence conditions and pointing errors into two cases for comparison. In the first case, the THz link is parameterized by , , and , while the FSO link is parameterized by and . In contrast, the THz link in the second case is parameterized by , and , while the FSO link is parameterized by and . The first case represents the actual scenario of strong turbulence with large pointing errors, while the second case represents the scenario of low turbulence with small pointing errors. As can be seen from Figure 5, the link performance is better in the scenario with low turbulence. However, once the link SNR is good enough, the overall system performance for both cases is limited by the link performance and stabilizes at the same value.
Figure 5.
SNR versus OP for different turbulence conditions and pointing errors when = = 350 m among three working scenarios.
The number of transmitting antennas also affects the performance of the communication system. To explore the impact of OP versus N among three working scenarios, we obtain Figure 6. From Figure 6, it can be seen that the OP performance of the system improves as the number of antennas increases. However, this trend of improvement is not infinite. When the number of antennas increases to a certain level (), the overall performance starts to be affected by the link and the link. Without changing the other parameters, the enhancement in OP performance gradually decreases, eventually leading to the OP for both users converging to a stable value.
Figure 6.
OP versus N among three working scenarios.
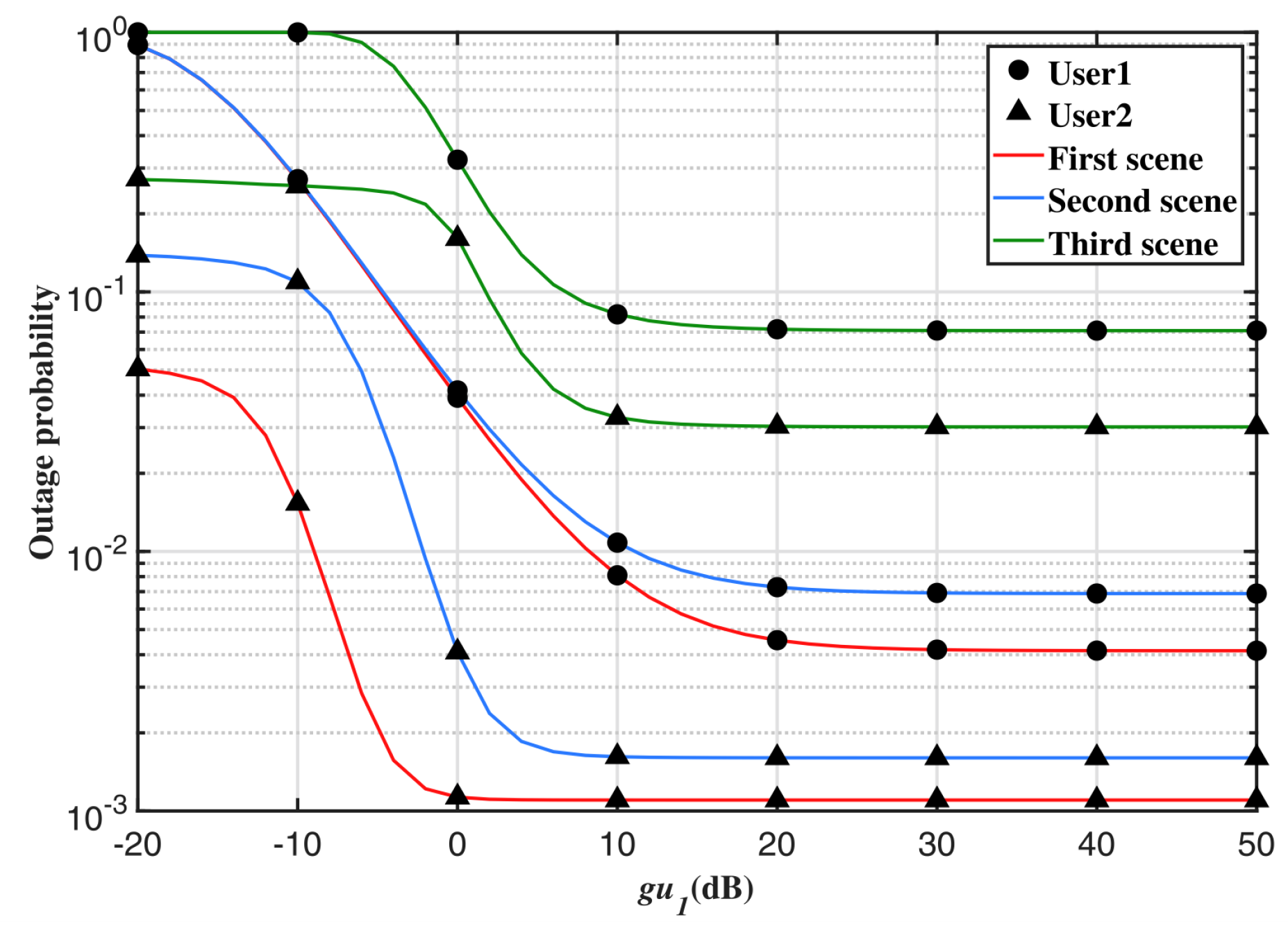
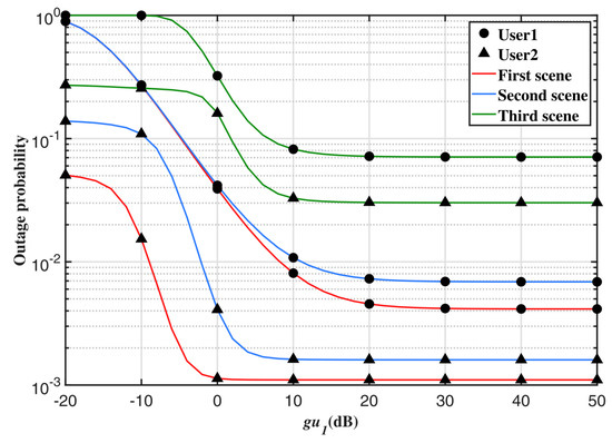
Different power gain results in varying OP values; in order to explore the impact of the relationship between OP performance and the channel coefficient for two users in three scenarios, we obtain Figure 7. Based on the trends in Figure 7, we categorize the three working scenarios into two groups. The first group includes the first and second scenarios, both utilizing the EH system and therefore exhibiting similar curve shapes, whereas the second group pertains to the third working scenario. In both categories, when is very small, the OP of is close to 1, i.e., the link will almost certainly fail to communicate. As increases, the OP performance of improves earlier and more significantly because is the channel coefficient of the link. Due to the NOMA system, the link also transmits a portion of information. As increases, ’s OP performance also improves. However, in general, and particularly in the first type of scenarios, it converges to a stable value earlier. All six curves in Figure 7 eventually converge to a stabilized value. This convergence occurs because the overall system’s OP performance is constrained by the various conditions of the first-hop SR link when is sufficiently boosted.
Figure 7.
OP versus with , = 1, = 2 dB, =-1.9 dB, = 3 dB, = 5 dB, = 0.77, and = 15 dB.
In practical application scenarios, two users need to allocate a portion of the transmission power for sending messages. This allocation ratio will impact their respective OP. Figure 8 shows the relationship between and the OP performance of the three scheme systems. As the value of gradually increases, more power will be allocated to , which will improve the OP performance of , while the OP performance of gradually deteriorates. However, it can be seen that the OP performance of improves relatively slowly. This is because simply increasing the power allocation factor without changing the total transmit power has a very limited impact on the system as a whole. Therefore, the OP of is more constrained by the rest of the system. Conversely, the OP performance of deteriorates drastically after exceeds 0.9, and the OP eventually approaches 1. This is because the allocated power is so small that it is almost impossible to achieve normal communication transmission.
Figure 8.
OP versus with , , , = 2 dB, = -1.9 dB, = 3 dB, = 5 dB, = 2.902, = 2.510, and = 8 dB.
In order to explore the relationship between the collected energy and the OP of the system more clearly, we decide to plot the first working scenario, which is not constrained by CR, and set three different values for distinction. Figure 9 illustrates the relationship between and the OP performance of the two users in the first working scenario. As can be seen from Figure 9, initially, increasing the saturation threshold improves the system’s performance. This is because the energy used for transmission also increases. After the saturation threshold is increased to a certain level (approximately 10 dB), the OP performance for both users no longer changes. This is because the transmit power of the PB does not change, and increasing the saturation threshold does not increase the energy received by the relay after the saturation threshold exceeds the transmit power. In addition, the three different values are 1.5 dB for case 1, 2 dB for case 2, and 2.5 dB for case 3. It can be seen that the different values affect the initial system performance when the saturation threshold is very low (−20 dB), but these differences become progressively smaller with the increase in received energy. Moreover, the entire system is influenced by the first hop, and eventually, all three different cases stabilize at a similar value.
Figure 9.
OP versus with , , , = 2 dB, = 3 dB, = 5 dB, = 2.902, = 2.510, = 0.77, and = 15 dB.
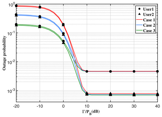
Figure 10 illustrates the relationship between I and the OP performance of the two users in the third working scenario. The third working scenario is chosen because there is no influence of the EH system in this scenario. It is a very classical CR model that allows for a clearer exploration of the impact of I on the transmission network. Since the third working scenario is energy-rich or has a stabilized power supply, we distinguish here three cases with higher values, namely = 5 dB, = 10 dB, and = 15 dB. As can be seen in Figure 10, as I is increased, i.e., the PN is able to allow the system to transmit higher power, the overall performance of the system is improved. However, this improvement is not infinite. When I exceeds , the actual power sent by R will no longer change, and the OP performance of the two users will remain constant.
Figure 10.
A comparison of the power of the SN network and OP at different I.
5. Conclusions
In this paper, we investigate a hybrid-assisted, dual-hop link system for DF relaying based on the deployment of the NOMA protocol, incorporating EH and CR. The first hop of the system consists of a hybrid FSO/THz link switched by a hard switching. In this setup, the FSO link follows Gamma–Gamma distribution and the THz link follows distribution. The second-hop link utilizes an RF link following a Rayleigh fading distribution. The channel for EH energy transmission also exhibits the characteristics of Rayleigh fading distribution. These statistical distributions are used to derive exact expressions for the PDF and CDF of the channel power coefficients for each link. By incorporating three different real-world operating scenarios, the exact closed expressions for the OPs of two users under the three operating scenarios are further derived. In addition, the study investigates the impact of various system parameters on the OP performance of the system. These parameters include atmospheric turbulence, pointing error, visual range, number of antennas, power allocation coefficient, EH saturation threshold, and channel power gain coefficient. The numerical results confirm the superiority of the hybrid system and its suitability for various operating scenarios. In the process of research, we mainly face the following challenges: First, due to resource limitations, the model proposed in this article is difficult to validate in practical environments and cannot achieve comprehensive experimental verification. Secondly, the adoption of some assumptions simplifies the complex problem, but there may be some differences from the real scenario. In addition, computational complexity is an issue that needs further optimization. To sum up, a new scheme is proposed in this paper to address the issues of spectrum resource scarcity and communication equipment energy life in communication systems simultaneously. This model offers a valuable approach for future research.
Author Contributions
Conceptualization and methodology, J.L. and H.L.; software, validation, and writing—original draft preparation, J.L.; formal analysis, investigation, and data curation, R.L. and Y.W.; writing—review and editing, and visualization, R.L., Z.W. and Y.W.; supervision, project administration, and funding acquisition, H.L. All authors have read and agreed to the published version of the manuscript.
Funding
This research was funded by the National Natural Science Foundation of China (No. 62175070, 62305116 and 92365109), the Guangdong Basic and Applied Basic Research Foundation (No. 2022A1515110752 and 2023A1515011385), and the Science and Technology Program of Guangzhou (No. 202201010340, and 2019050001).
Institutional Review Board Statement
Not applicable.
Informed Consent Statement
Not applicable.
Data Availability Statement
Data are contained within the article.
Conflicts of Interest
The authors declare no conflicts of interest.
References
- Moon, H.J.; Chae, C.B.; Wong, K.K.; Alouini, M.S. Pointing-and-Acquisition for Optical Wireless in 6G: From Algorithms to Performance Evaluation. IEEE Commun. Mag. 2023, 62, 32–38. [Google Scholar] [CrossRef]
- Jeon, H.B.; Kim, S.M.; Moon, H.J.; Kwon, D.H.; Lee, J.W.; Chung, J.M.; Han, S.K.; Chae, C.B.; Alouini, M.S. Free-space optical communications for 6G wireless networks: Challenges, opportunities, and prototype validation. IEEE Commun. Mag. 2023, 61, 116–121. [Google Scholar] [CrossRef]
- Chow, C.W. Recent Advances and Future Perspectives in Optical Wireless Communication, Free Space Optical Communication and Sensing for 6G. J. Light. Technol. 2024, 42, 3972–3980. [Google Scholar] [CrossRef]
- Soleimani-Nasab, E.; Uysal, M. Generalized performance analysis of mixed RF/FSO cooperative systems. IEEE Trans. Wirel. Commun. 2015, 15, 714–727. [Google Scholar] [CrossRef]
- Bag, B.; Das, A.; Ansari, I.S.; Prokeš, A.; Bose, C.; Chandra, A. Performance analysis of hybrid FSO systems using FSO/RF-FSO link adaptation. IEEE Photonics J. 2018, 10, 1–17. [Google Scholar] [CrossRef]
- Kim, I.I.; Korevaar, E.J. Availability of free-space optics (FSO) and hybrid FSO/RF systems. In Proceedings of the Optical Wireless Communications IV, SPIE, Denver, CO, USA, 21–22 August 2001; Volume 4530, pp. 84–95. [Google Scholar]
- Chaccour, C.; Soorki, M.N.; Saad, W.; Bennis, M.; Popovski, P.; Debbah, M. Seven defining features of terahertz (THz) wireless systems: A fellowship of communication and sensing. IEEE Commun. Surv. Tutorials 2022, 24, 967–993. [Google Scholar] [CrossRef]
- Cecconi, V.; Kumar, V.; Pasquazi, A.; Gongora, J.S.T.; Peccianti, M. Nonlinear field-control of terahertz waves in random media for spatiotemporal focusing. Open Res. Eur. 2023, 2, 32. [Google Scholar] [CrossRef]
- Fu, X.; Liang, Z.; Ding, X.; Yu, X.; Wang, Y. Image descattering and absorption compensation in underwater polarimetric imaging. Opt. Lasers Eng. 2020, 132, 106115. [Google Scholar] [CrossRef]
- Yang, J.; Han, P.; Li, X. Equilibrating the impact of fluid scattering attenuation on underwater optical imaging via adaptive parameter learning. Opt. Express 2024, 32, 23333–23346. [Google Scholar] [CrossRef]
- Huang, L.; Liu, S.; Dai, P.; Li, M.; Chang, G.K.; Shi, Y.; Chen, X. Unified performance analysis of hybrid FSO/RF system with diversity combining. J. Light. Technol. 2020, 38, 6788–6800. [Google Scholar] [CrossRef]
- Islam, S.R.; Avazov, N.; Dobre, O.A.; Kwak, K.S. Power-domain non-orthogonal multiple access (NOMA) in 5G systems: Potentials and challenges. IEEE Commun. Surv. Tutor. 2016, 19, 721–742. [Google Scholar] [CrossRef]
- Lv, L.; Wu, Q.; Li, Z.; Ding, Z.; Al-Dhahir, N.; Chen, J. Covert communication in intelligent reflecting surface-assisted NOMA systems: Design, analysis, and optimization. IEEE Trans. Wirel. Commun. 2021, 21, 1735–1750. [Google Scholar] [CrossRef]
- Najafi, M.; Jamali, V.; Diamantoulakis, P.D.; Karagiannidis, G.K.; Schober, R. Non-orthogonal multiple access for FSO backhauling. In Proceedings of the 2018 IEEE Wireless Communications and Networking Conference (WCNC), IEEE, Barcelona, Spain, 15–18 April 2018; pp. 1–6. [Google Scholar]
- Girdher, A.; Bansal, A.; Dubey, A. Energy Efficient NOMA for Mixed FSO-RF Communication System with IRS-Aided SLIPT. IEEE Trans. Veh. Technol. 2024, 73, 12873–12889. [Google Scholar] [CrossRef]
- Liu, R.; Yuan, J.; Wang, Z.; Wang, X.; Li, B.; Lu, J.; Wang, Y.; Wu, R.; Wei, Z.; Liu, H. Performance analysis of FSO/THz-RF dual-hop link based on NOMA. Opt. Commun. 2024, 557, 130332. [Google Scholar] [CrossRef]
- Jha, S.; Ahmad, S.; Abdeljaber, H.A.; Othman, N.A.; Nazeer, J.; Yadav, K.; Alkhayyat, A.H. Enabling Resilient Wireless Networks: OFDMA-Based Algorithm for Enhanced Survivability and Privacy in 6G IoT Environments. IEEE Trans. Consum. Electron. 2024, 70, 3810–3819. [Google Scholar] [CrossRef]
- Wang, B.; Liu, K.R. Advances in cognitive radio networks: A survey. IEEE J. Sel. Top. Signal Process. 2010, 5, 5–23. [Google Scholar] [CrossRef]
- Mondal, S.; Bhowal, A.; Kashyap, S.; Kshetrimayum, R.S.; Patra, M. Performance Analysis of a Mixed RF-FSO Aided Cognitive Radio Network. In Proceedings of the 2023 International Conference on Microwave, Optical, and Communication Engineering (ICMOCE), IEEE, Bhubaneswar, India, 26–28 May 2023; pp. 1–4. [Google Scholar]
- Erdogan, E. On the performance of cognitive underlay RF/FSO communication systems with limited feedback. Opt. Commun. 2019, 444, 87–92. [Google Scholar] [CrossRef]
- Chen, J.; Yang, L.; Wang, W.; Yang, H.C.; Liu, Y.; Hasna, M.O.; Alouini, M.S. A novel energy harvesting scheme for mixed FSO-RF relaying systems. IEEE Trans. Veh. Technol. 2019, 68, 8259–8263. [Google Scholar] [CrossRef]
- Abou-Rjeily, C.; Kaddoum, G.; Karagiannidis, G.K. Ground-to-air FSO communications: When high data rate communication meets efficient energy harvesting with simple designs. Opt. Express 2019, 27, 34079–34092. [Google Scholar] [CrossRef]
- Labghough, S.; Ayoub, F.; El Bouanani, F.; Belkasmi, M.; Qaraqe, K.A. Mixed coded RF/FSO EH-based communication system subject to multiuser interference and residual hardware impairments. IEEE Access 2023, 11, 94822–94839. [Google Scholar] [CrossRef]
- Valiulahi, I.; Masouros, C.; Salem, A.; Liu, F. Antenna selection for energy-efficient dual-functional radar-communication systems. IEEE Wirel. Commun. Lett. 2022, 11, 741–745. [Google Scholar] [CrossRef]
- Sanayei, S.; Nosratinia, A. Antenna selection in MIMO systems. IEEE Commun. Mag. 2004, 42, 68–73. [Google Scholar] [CrossRef]
- Sudarshan, P.; Mehta, N.B.; Molisch, A.F.; Zhang, J. Channel statistics-based RF pre-processing with antenna selection. IEEE Trans. Wirel. Commun. 2006, 5, 3501–3511. [Google Scholar] [CrossRef]
- Moradi, H.; Refai, H.H.; LoPresti, P.G. Circular MIMO FSO nodes with transmit selection and receive generalized selection diversity. IEEE Trans. Veh. Technol. 2012, 61, 1174–1181. [Google Scholar] [CrossRef]
- Jamshed, M.A.; Nauman, A.; Abbasi, M.A.B.; Kim, S.W. Antenna selection and designing for THz applications: Suitability and performance evaluation: A survey. IEEE Access 2020, 8, 113246–113261. [Google Scholar] [CrossRef]
- Zhang, Z.; Sun, Q.; López-Benítez, M.; Chen, X.; Zhang, J. Performance analysis of dual-hop RF/FSO relaying systems with imperfect CSI. IEEE Trans. Veh. Technol. 2022, 71, 4965–4976. [Google Scholar] [CrossRef]
- Garg, N.; Garg, R. Energy harvesting in IoT devices: A survey. In Proceedings of the 2017 International Conference on Intelligent Sustainable Systems (ICISS), IEEE, Palladam, India, 7–8 December 2017; pp. 127–131. [Google Scholar]
- Zeng, J.; Lv, T.; Lin, Z.; Liu, R.P.; Mei, J.; Ni, W.; Guo, Y.J. Achieving ultrareliable and low-latency communications in IoT by FD-SCMA. IEEE Internet Things J. 2019, 7, 363–378. [Google Scholar] [CrossRef]
- Singya, P.K.; Alouini, M.S. Performance of UAV-assisted multiuser terrestrial-satellite communication system over mixed FSO/RF channels. IEEE Trans. Aerosp. Electron. Syst. 2021, 58, 781–796. [Google Scholar] [CrossRef]
- Henniger, H.; Wilfert, O. An Introduction to Free-space Optical Communications. Radioengineering 2010, 19, 203–212. [Google Scholar]
- Yacoub, M.D. The α-μ Distribution: A Physical Fading Model for the Stacy Distribution. IEEE Trans. Veh. Technol. 2007, 56, 27–34. [Google Scholar] [CrossRef]
- Andrews, L.C.; Phillips, R.L.; Hopen, C.Y. Laser Beam Scintillation with Applications; SPIE Press: Cergy-Pontoise, France, 2001; Volume 99. [Google Scholar]
- Beals, R.; Szmigielski, J. Meijer G-functions: A gentle introduction. Not. AMS 2013, 60, 866–872. [Google Scholar] [CrossRef]
- Ye, J.; Zhao, H.; Lei, H.; Pan, G.; Ding, Z.; Ni, Q. Outage analysis on wireless powered cooperative systems with spatially random relays and finite energy storage over Rayleigh fading channels. In Proceedings of the 2016 IEEE International Conference on Ubiquitous Wireless Broadband (ICUWB), IEEE, Nanjing, China, 16–19 October 2016; pp. 1–4. [Google Scholar]
- Zhang, L.; Zhang, J.; Hu, N.; Li, X.; Pan, G. Outage performance for NOMA-based FSO-RF systems with transmit antenna selection and nonlinear energy harvesting. IEEE Internet Things J. 2022, 10, 6491–6506. [Google Scholar] [CrossRef]
- Zhang, J.l.; Pan, G.f.; Xie, Y.y. Secrecy outage performance for wireless-powered relaying systems with nonlinear energy harvesters. Front. Inf. Technol. Electron. Eng. 2017, 18, 246–252. [Google Scholar] [CrossRef]
- Liu, R.; Wang, Z.; Wang, X.; Lu, J.; Wang, Y.; Zhuo, Y.; Wu, R.; Wei, Z.; Liu, H. Performance Analysis of Soft-Switching FSO/THz-RF Dual-Hop AF-NOMA Link Based on Cognitive Radio. Photonics 2023, 10, 1086. [Google Scholar] [CrossRef]
- Gradshteyn, I.S.; Ryzhik, I.M. Table of Integrals, Series, and Products; Academic Press: Cambridge, MA, USA, 2014. [Google Scholar]
Disclaimer/Publisher’s Note: The statements, opinions and data contained in all publications are solely those of the individual author(s) and contributor(s) and not of MDPI and/or the editor(s). MDPI and/or the editor(s) disclaim responsibility for any injury to people or property resulting from any ideas, methods, instructions or products referred to in the content. |
© 2024 by the authors. Licensee MDPI, Basel, Switzerland. This article is an open access article distributed under the terms and conditions of the Creative Commons Attribution (CC BY) license (https://creativecommons.org/licenses/by/4.0/).









