Next Article in Journal
Lightweight Segmentation Method for Wood Panel Images Based on Improved DeepLabV3+
Previous Article in Journal
Performance Study of FSO/THz Dual-Hop System Based on Cognitive Radio and Energy Harvesting System
Previous Article in Special Issue
Power Flow Management of Interconnected AC Microgrids Using Back-to-Back Converters
 
 
Font Type:
Arial Georgia Verdana
Font Size:
Aa Aa Aa
Line Spacing:
Column Width:
Background:
Article

A Novel Analysis of the Influence of Zero-Axis Control on Neutral-Point Potential Self-Balancing of Three-Level Converters

Key Laboratory of Control of Power Transmission and Conversion, Ministry of Education, Shanghai Jiao Tong University, Shanghai 200240, China
*
Author to whom correspondence should be addressed.
Electronics 2024, 13(23), 4657; https://doi.org/10.3390/electronics13234657
Submission received: 16 October 2024 / Revised: 11 November 2024 / Accepted: 12 November 2024 / Published: 26 November 2024
(This article belongs to the Special Issue Power Electronics in Smart Grids)

Abstract

The neutral-point potential balance issues in three-level converters have obtained great attention. The popular view thinks that the neutral-point voltage deviation can be suppressed by regulating the injected zero-sequence component, whether via carrier modulation or space vector modulation techniques. However, this paper presents a novel finding: the efficacy of different frame controllers on the self-balancing of neutral-point potential in three-level converters differs when a comprehensive analysis of zero-sequence dynamics, including neutral-point current and PWM modulation, is conducted. That is, the proportional-resonant (PR) controller in the abc frame effectively introduces a zero-axis PR control of the zero-sequence component, which subsequently degrades the stability of neutral-point potential self-balancing. In contrast, the PI control in the dq frame does not incorporate any additional control of the zero-sequence component, thereby enhancing the self-balancing capability of the neutral-point potential. To substantiate this novel finding, a series of simulations and experimental validations were performed.

1. Introduction

Three-level converters have been widely applied in high-voltage and high-power fields, such as distributed energy grid integration, active power filters, and motor drive systems [1,2,3]. Compared with two-level converters, three-level converters have the advantages of reduced dv/dt, lower voltage stress on switching devices, and lower total harmonic distortion [4]. Additionally, in comparison to neutral point clamped (NPC) three-level converters, T-type three-level converters reduce two clamping diodes for each phase bridge arm. This design results in benefits such as reduced conduction losses and higher power density [5].
Existing literature has studied the fluctuations and deviations in the neutral-point potential of three-level converters. These phenomena are influenced by various factors, including asymmetric DC-link capacitors and parasitic parameters, modulation index [2], unbalanced three-phase loads or grids [6], three-wire or four-wire topologies [7], and power factor [8]. Fluctuations in neutral-point potential can lead to an increase in harmonic content within the output voltage and current, potentially reducing the operational lifespan of the DC-link capacitors. Moreover, deviations in neutral-point potential may elevate the voltage stress on switching devices, and threaten the operation of the converter [6]. Strategies for addressing neutral-point potential issues can be generally categorized into several approaches: the carrier-based zero-sequence component injection method [9,10], the space vector regulation-based zero-sequence component injection method [11], the virtual space vector pulse width modulation (VSVPWM) method [12,13], and the implementation of hardware auxiliary circuits [14,15], among others. Most improved modulation strategies will result in increased condition judgment and higher calculation burden [16,17].
Moreover, the self-balancing mechanism of neutral-point voltage in three-level converters has consistently been an important research topic. Ref. [18] proposed the implementation of parallel LC branches on the load to mitigate damping, shorten self-balancing time, and enhance self-balancing performance. However, this approach is limited to inverter off-grid operating conditions and results in increased circuit losses. Ref. [19] highlighted that higher sampling frequency, higher control gains, and reduced time delays positively influence self-balancing characteristics. Ref. [20] introduced a hybrid method that incorporates a series of resonant circuits in hardware and active negative damping in software to decrease self-balancing time. However, this scheme increases system costs and diminishes system damping, potentially leading to oscillations. Ref. [21] examined the neutral-point voltage self-balancing mechanism of the three-level full-bridge converter, and incorporated flying capacitors into the three-level bridge arm to enhance the self-balancing capability of the converter. Ref. [22] developed a neutral-point current model that accounted for dc components and explored the mechanism of neutral-point self-balancing within a three-level, three-wire converter. Furthermore, the self-balancing strategies for neutral-point clamp five-level converters have been extensively investigated in recent years [23,24,25,26].
Besides, it is widely accepted that in two-level converters, the proportional-resonant (PR) controller in the abc frame is equivalent to the proportional-integral (PI) controller in the dq frame. The impact of the proportional and integral control parameters on the self-balancing characteristics of a three-phase four-wire topology was analyzed in [26]. Nevertheless, the equivalence of these two control schemes in three-level converters, as well as the differential effects they may have on self-balancing capabilities, has not been mentioned or investigated in existing literature.
To fill the research gap, this paper develops a linear model for neutral-point potential and PWM modulation within a three-level converter. Utilizing this, this paper investigates the self-balancing characteristics of neutral-point voltage. The fundamental principle of neutral-point potential self-balancing is that the three-level topology generates a self-balancing current through both the zero-level current path and the N-line current path when there is a deviation in the neutral-point potential, thereby facilitating the correction of this deviation. It is noted that the zero-sequence component in the output current or modulation voltage can influence the neutral-point voltage self-balancing characteristic. Additionally, this paper demonstrates the distinctions between the PR controller in the abc frame and the PI controller in the dq frame and concludes that the PR controller in the abc frame may destroy the self-balancing characteristics of the neutral-point voltage due to the introduction of additional zero-axis current closed-loop control. The main innovations of this paper are summarized as follows:
(1)
A novel linear model based on the zero-sequence component is developed, which incorporates the derivation of neutral-point potential, the PWM modulation, and the zero-axis controller.
(2)
Through mathematical derivation, it is demonstrated that the PR controller in the abc frame is equivalent to the dq-axis PI controller and zero-axis PR controller in the dq0 frame. This relationship has been overlooked in most existing literature on three-level converters.
(3)
It is proved that the PR controller in the abc frame may threaten the self-balancing of the neutral-point potential due to the introduction of equivalent zero-axis PR control. This phenomenon has not been previously explored in existing studies.
The remainder of this paper is structured as follows: Section 2 introduces the operational principle of the three-level converter and establishes the zero-axis component model. Section 3 derives the equivalent relationship between the PR controller in the abc frame and the PI controller in the dq frame. Section 4 provides the theory analysis of neutral-point potential based on the Nyquist plots and simulation results obtained through PLECS software (version 4.1.2). The findings indicate that the increase in the zero-axis proportional coefficient adversely affects the self-balancing capabilities of the neutral-point potential. Section 5 showcases experimental results to validate the effectiveness of the theoretical analysis. Finally, Section 6 concludes this paper.

2. Analysis and Model of the T-Type Three-Level Grid-Connected Converter

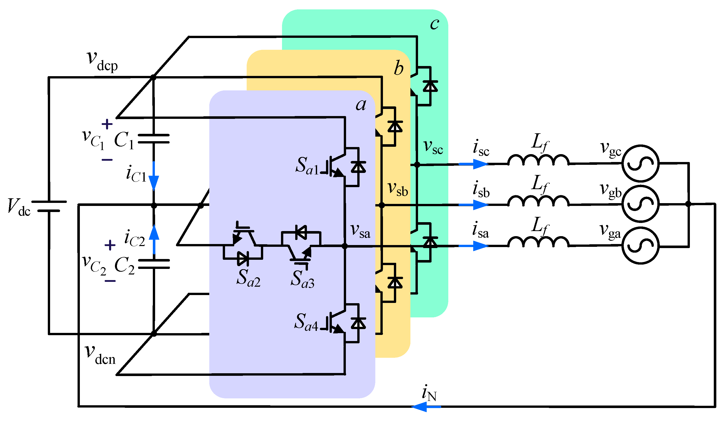
Figure 1 shows the topology of a T-type three-level grid-connected converter. The converter consists of a phase-A bridge arm Sa1–4, a phase-B bridge arm Sb1–4, a phase-C bridge arm Sc1–4, two dc-link capacitors C1 and C2, and three-phase filter inductor Lf. The AC voltage and output current are denoted as vsabc, and isabc, respectively. The grid voltage is denoted as vgabc. The DC voltage is denoted as Vdc, and the half-bus voltages are vC1, and vC2, respectively. The positive-bus, negative-bus, and neutral-point potentials are denoted as vdcp, vdcn, and vnp, respectively.

2.1. Model of the Switching Bridge

As shown in Figure 2, based on the phase disposition pulse width modulation technology (PDPWM), it is assumed that the frequency of the modulation voltage vmabc is much smaller than the frequency of the triangular carrier voltage. Therefore, the modulation voltage can be considered constant during the switching cycle. The amplitude of vmabc is denoted as Vm. The triangular carriers include positive carrier vpcarrier and negative carrier vncarrier, both of which are in the same phase, one above the zero axis, one below the zero axis, and the peak value is recorded as Vtri.
In the process of modulation, the modulation voltage of each phase is compared with the triangular carrier voltage to obtain the switching state function and control the switching devices of this phase. Take phase A as an example; when vma is greater than vpcarrier, sa is set to 1. In this case, Sa1 and Sa2 are on, Sa3 and Sa4 are off, then vsa is equal to vdcp. When vma is less than vpcarrier but greater than vncarrier, sa is set to 0. In this case, Sa2 and Sa3 are on, Sa1 and Sa4 are off, then vsa is equal to zero. When vma is less than vncarrier, sa is set to −1. In this case, Sa3 and Sa4 are on, Sa1 and Sa2 are off, then vsa is equal to vdcn. In the same way, the corresponding relationship between sb and vmb, sc and vmc can be obtained.
The relationship between sa and vsa is expressed as
v sa = 1 + s a s a 2 v dcp 1 s a s a 2 v dcn
where vdcp and vdcn can be represented as follows:
v dcp v dcn = v C 1 + v C 2 = V dc v dcp + v dcn = v C 1 v C 2 = v np
By substituting (2) into the Formula (1), the following can be obtained:
v sa = V dc 2 s a + v np 2 s a
In one switching period, the average value of vsa can be calculated as
v sa T sw = V dc 2 s a T sw + v np 2 s a T sw
where the average value of sa is expressed as
s a T sw = v ma V tri
Therefore, the relationship between the inverter-side voltage vsa and the modulation voltage vma can be obtained as
v sa T sw = V dc 2 V tri v ma + v np 2 V tri v ma
In the same way, the corresponding relationship between vsb and vmb and vsc and vmc can be obtained. According to Formula (6), it can be noted that the inverter-side voltage of the three-level converter is not only related to the modulation voltage, but also related to the neutral-point potential of the dc bus.

2.2. Model of the DC-Bus Neutral-Point Current

When sa is equal to 1 or −1, the output point of the switching bridge is not connected with the neutral point, and the output current isa is not injected into the neutral point. However, when sa is equal to 0, the output point of the switching bridge is connected with the neutral point, and the output current isa is injected into the neutral point. Therefore, the current injected to the neutral point can be represented by the zero-level duty cycle of the switching arm, which is given as:
i np = i C 1 + i C 2 = d 0 a i sa + d 0 b i sb + d 0 c i sc i N
where iC1 and iC2 denote the current flowing through C1 and C2, respectively. d0a, d0b, and d0c denote the zero-level duty cycle of three phases, respectively And iN represents the current flowing through the N line.
Since d0a = 1 − |sa|, d0b = 1 − |sb|, d0c = 1 − |sc|, and iN = isa + isb + isc, inp can be further represented by:
i np = s a i sa + s b i sb + s c i sc
By substituting (5) into the Formula (8), the following can be obtained:
i np T sw = v ma i sa T sw + v mb i sb T sw + v mc i sc T sw / V tri
In a fundamental period, the above formula can be directly written as
i np = v ma i sa + v mb i sb + v mc i sc / V tri
where the frequencies of |vma|, |vmb|, and |vmc| are 100 Hz, and the frequencies of isa, isb, and isc are 50 Hz. Hence, the neutral point current inp contains triple frequency components.
Besides, assuming that C1 = C2 = Cdc, the relationship between inp and vnp can be represented by
i np = C 1 d d t v C 1 + C 2 d d t v C 2 = C dc d d t v np
Since inp contains triple frequency components, it can be deduced that the neutral-point potential vnp also contains triple frequency fluctuations.

2.3. Model of the AC-Side Filter

The model of ac-side filter circuit dynamics is given by:
i sabc = 1 s L f + R f v sabc v gabc
where Lf and Rf represent the filter inductor and its equivalent series resistance. Then, for the zero-sequence components of vsabc, vgabc, and isabc, i.e., vs0, vg0, and isabc, i.e., vs0, vg0, and is0, the following relationship exists:
i s 0 = 1 s L f + R f v s 0 v g 0
Since the grid is generally assumed to be in a three-phase equilibrium state, vg0 is equal to zero.

2.4. Model Linearization

Both Formulas (6) and (9) contain nonlinear terms, indicating that there are coupling relationships between the neutral-point current and the modulation voltage. To simplify the analysis, this paper linearizes the term of |vma| in (6) and the term of |vma|isa in (9).
Assuming that the modulation voltage vma contains a fundamental frequency component with the amplitude Vm and a DC component vm0, and the output current isa contains a fundamental frequency component with the amplitude Is and a DC component is0, where Vm >> vm0 and Is >> is0. The phase angle difference between vma and isa is denoted as φ. Then vmabc and isabc can be represented as:
v ma v mb v mc = V m sin ( θ ) sin ( θ 2 π / 3 ) sin ( θ + 2 π / 3 ) + v m 0 v m 0 v m 0
i sa i sb i sc = I s sin ( θ φ ) sin ( θ φ 2 π / 3 ) sin ( θ φ + 2 π / 3 ) + i s 0 i s 0 i s 0
Figure 3 depicts the waveform of three-phase modulation voltage, where vma interacts with the horizontal axis at π + θ1. Due to sin(θ1) = vm0/Vm and Vm >> vm0, it can be considered that θ1 approaches zero. In a fundamental period T1, the average value of |vma| and |vma|isa can be calculated as:
v ma T 1 2 π V m , v ma i sa T 1 2 V m i s 0 + 2 v m 0 I s cos φ π
In the same way, the results of <|vmb|>T1, <|vmc|>T1, <|vmb|isb>T1, and <|vmc|isc>T1 can be obtained. Therefore, the average value of inp in a fundamental period can be represented by
i np T 1 = 6 π V tri V m i s 0 + v m 0 I s cos φ
Further, in a fundamental period, the average value of vsa can be represented by
v sa T 1 = V dc 2 V tri v ma T 1 + v np T 1 2 V tri v ma T 1
In the same way, the results of <vsb>T1 and < vsc>T1 can be obtained. Based on (16) and (18), the following equation can be derived:
v s 0 T 1 = V dc 2 V tri v m 0 T 1 + V m π V tri v np T 1
where vs0 and vm0 represent the DC component of vsa and vma. And vs0 = <vs0>T1, vm0 = <vm0>T1.
Based on the above modeling and analysis, the three-level mathematical model considering the neutral-point potential balance is summarized as follows.
i np T 1 = 6 V m π V tri i s 0 T 1 6 I s cos φ π V tri v m 0 T 1 v s 0 T 1 = V dc 2 V tri v m 0 T 1 + V m π V tri v np T 1 v s 0 T 1 = 1 s L f + R f i s 0 T 1 v np T 1 = 1 s C dc i np T 1
Since all variables in (20) denote the average value in a fundamental period, in order to simplify the expression, the symbol of the average value is omitted in the following contents. The coefficients in (20) are represented as Kis0 = 6VmVtri, Kvm0 = 6IscosφVtri, Kpwm = Vdc/2Vtri, Knp = VmVtri, ZC = 1/sCdc, YL = 1/(sLf + Rf).

3. Mathematical Relationship Between the Current Controllers in Different Frames

The current control strategies for grid-connected converters usually encompass two schemes: one is the PI controller in the dq frame, and the other is the PR controller in the abc frame. In engineering, it is generally considered that the two controllers have the same effect, but this conclusion only applies to two-level converters.
As shown in Equation (20), the dynamics of neutral-point voltage in three-level converters can be influenced by zero-sequence components. Especially, the zero-sequence component of vmabc and isabc will impact the current injected into the neutral point, and the neutral-point voltage will also affect the zero-sequence component of the output voltage vsabc. Therefore, the AC-DC coupling characteristics of three-level converters differ from that of two-level converters. This section aims to explore the equivalence of the aforementioned two controllers in three-level converters.

3.1. Equivalent Transformation Between abc and αβ0 Frames

For the PR controller in the abc frame, the input variables are denoted as ia, ib and ic, and the output variables are denoted as va, vb and vc. The control laws are given by:
v a v b v c = K r s s 2 + ω 1 2 i a i b i c
where Kr and ω1 are the gain and central frequency of the resonant controller. The transformation from abc frame to αβ0 frame can be expressed as:
v α v β v 0 = T C v a v b v c = K r s s 2 + ω 1 2 T C i a i b i c = K r s s 2 + ω 1 2 i α i β i 0
where TC represents the Clark transformation matrix, whose elements are constants. Hence, the resonant controller in the abc frame is equivalent to the resonant controller in the αβ0 frame.

3.2. Equivalent Transformation Between dq0 and αβ0 Frames

The transformation between the αβ0 frame and dq0 frame consists of two parts: (1) nonlinear transformation from αβ to dq and (2) linear transformation between two zero axes. In the dq frame, the integral controller can be represented as:
v d v q = K i s i d i q
where Ki is the gain of the integral controller. The scalar variables of (23) can be converted to the complex vectors as follows:
v d + j v q = K i s i d + j i q v d j v q = K i s i d j i q
Since that the complex vectors of the αβ frame and the complex vectors of the dq frame system exist the following correspondence:
v d + j v q = e j ω 1 t v α + j v β v d j v q = e j ω 1 t v α j v β i d + j i q = e j ω 1 t i α + j i β i d j i q = e j ω 1 t i α j i β
Equation (24) can be converted to
s e j ω 1 t v α + j v β = K i e j ω 1 t i α + j i β s e j ω 1 t v α j v β = K i e j ω 1 t i α j i β
By replacing the Laplace operator ‘s’ in (26) with the differential operator d/dt and applying the differential chain rule, it can be derived as follows:
d d t e j ω 1 t v α + j v β = d d t e j ω 1 t v α + j v β + d d t v α + j v β e j ω 1 t d d t e j ω 1 t v α j v β = d d t e j ω 1 t v α j v β + d d t v α j v β e j ω 1 t
By substituting (27) into (26) and eliminating the exponential terms, it can be derived as follows:
j ω 1 v α + j v β + d d t v α + j v β = K i i α + j i β j ω 1 v α j v β + d d t v α j v β = K i i α j i β
Further, by replacing the differential operator d/dt of (28) with the Laplace operator ‘s’, the following equations can be obtained:
v α + j v β = K i s j ω 1 i α + j i β v α j v β = K i s + j ω 1 i α j i β
The complex vectors of (29) can be converted to the scalar variables as follows.
v α = K i s s 2 + ω 1 2 i α K i ω 1 s 2 + ω 1 2 i β v β = K i ω 1 s 2 + ω 1 2 i α + K i s s 2 + ω 1 2 i β
It can be noted that the integral controller in the dq frame has additional non-diagonal coupling terms compared to the resonant controller in the αβ frame. Consequently, the resonant control in αβ frame cannot be considered entirely equivalent to the integral control in the dq frame. Generally speaking, within the context of engineering precision, the non-diagonal coupling terms in (30) may be disregarded.
Furthermore, due to the existence of a linear transformation between the zero axes of the αβ0 frame and the dq0 frame, the zero-axis resonant controller in the αβ0 frame is equivalent to the zero-axis resonant controller in the dq0 frame.
Figure 4 summarizes the equivalence among different frame controllers. It is evident that the PR controller in the abc frame is equivalent to the PR controller in the αβ0 frame. Further, this equivalence extends to the dq-axis PI controller and the 0-axis PR controller in the dq0 frame. Based on this equivalence, the subsequent sections will analyze the impact of different frame controllers on the self-balancing performance of neutral-point potential.

4. A Novel Finding: ABC-Axis PR Controller Will Threaten the Neutral-Point Self-Balancing Due to the Introduction of Equivalent Zero-Axis PR Control

4.1. Self-Balancing Characteristics

Figure 5 shows the block diagram corresponding to (20), where the characteristic equation of the system can be derived as
1 + K is 0 K np Z C Y L = 0
This study defines the active power flow direction from the converter to the grid as positive. The self-balancing characteristics (31) are indeed affected by the direction of active power. According to the Routh criterion, the system does not have poles located in the right half of the complex plane. Therefore, the neutral-point potential has self-balancing characteristics.

4.2. Influence of Zero-Axis Controller

In the implementation of a PR controller in the abc frame for a three-level converter, an additional zero-axis PR control is also incorporated, resulting in a modification of the control structure, as illustrated in Figure 6. The input of the zero-axis controller Gi(s) is represented by (0–is0), and its output is expressed as −Gi(s)is0. Consequently, the input to the block diagram comprise the components vm0 and −Gi(s)is0.
Then, the characteristic equation of the system can be derived as:
1 + K is 0 K vm 0 G i K np Z C Y L 1 + K pwm G i Y L = 0
The open-loop transfer function can then be derived as:
T open = K is 0 K vm 0 G i K np Z C Y L 1 + K pwm G i Y L
In engineering applications, quasi-resonant controllers with specified bandwidth are generally adopted. Notably, regardless of variations in control parameters, the coefficients of the denominator polynomial of the open-loop transfer function Topen remain positive. Additionally, the elements in the first column of the Routh array are also positive. According to the Routh stability criterion, the open-loop transfer function Topen does not exhibit poles in the right half-plane. Consequently, stability can be directly evalutated by examining whether the Nyquist plot encircles the point (−1, 0).

4.3. Stability Analysis and Simulation Results

Table 1 lists the circuit and control parameters of the converter system.
Figure 7 shows the Nyquist plots as Kp and Kr change. The turns of the Nyquist curve around the point (−1, j0) counterclockwise are denoted by N. In Figure 7a, Kr remains at 200. As Kp increases from 1.2 to 20, N changes from 0 to −1. In Figure 7b, Kp remains at 1.2. As Kr increases to 4000, N changes from 0 to −1. Therefore, if the control parameters are within a certain range, the number of poles in the right half plane is zero. If the control parameters exceed the constraint range, the number of poles in the right half plane becomes 1, and the system changes from stable to unstable.
Based on the above theoretical analysis, it can be indicated that the system can remain stable when Kr falls within the range of 100~2000. Hence, the resonant controller has little impact on the self-balancing characteristics. However, the change in Kp has more obvious impacts on the self-balancing characteristics
Figure 8 shows the simulated waveforms when the bias value of phase-A current isaΔ changes. In Figure 8a, a QPR controller in the abc frame is utilized, where Kp is set to 1.2, and Kr is set to 200. The offset value between vC1 and vC2 increases with the increase in isaΔ, thereby maintaining a static error control. In Figure 8b, a PI controller in the dq frame is utilized. The offset value between vC1 and vC2 remains constant despite variations in isaΔ, thereby implementing the nonstatic-error control.
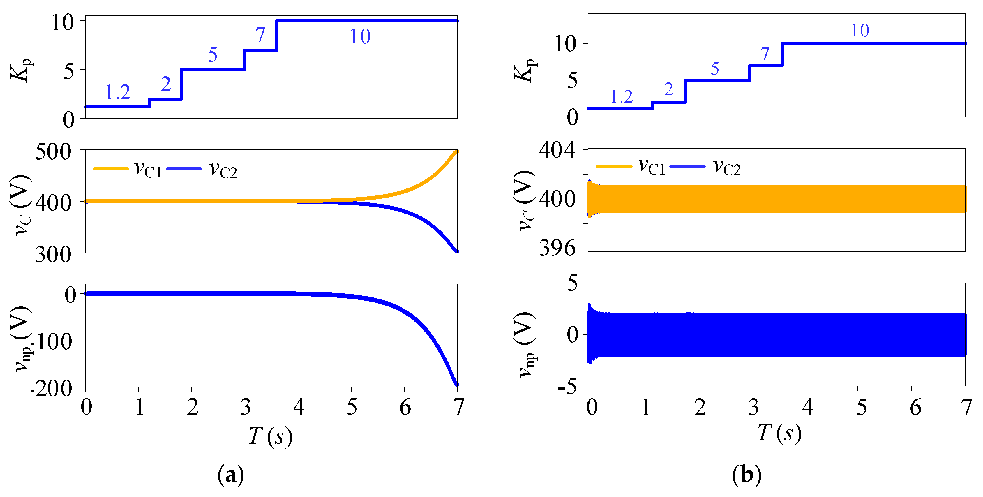
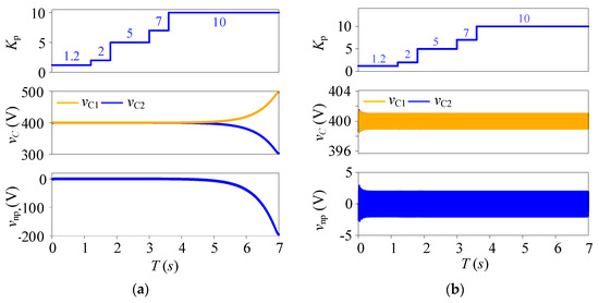
Figure 9 shows the simulated waveforms when isaΔ is fixed at zero and Kp changes. In Figure 9a, it is observed that as Kp increases from 1.2 to 7, the neutral-point potential vnp remains stable. However, upon increasing Kp to 10, vnp changes from an equilibrium state to a divergence state, which aligns with the conclusions derived from Figure 7a. Conversely, in Figure 9b, a PI controller in the dq frame is adopted, which ensures that the neutral-point potential remains balanced regardless of variations in Kp.
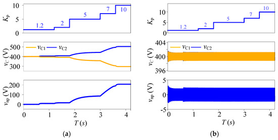
Figure 10 shows the simulated waveforms when isaΔ is fixed at 5A and Kp changes. In Figure 10a, it can be observed that as Kp changes from 1.2 to 7. The offset value between vC1 and vC2 gradually increases, and the offset value reaches 200 V when Kp increases to 10. In Figure 10b, the neutral-point potential remains balanced regardless of variations in Kp.
In summary, when the QPR controller in the abc frame is adopted, the neutral-point self-balancing characteristics are influenced by the zero-sequence component in the output current and the control parameters. An excessive zero-sequence component in the output current or control parameters that exceed acceptable limits can lead to an offset in the neutral-point potential, thereby compromising the safe and stable operation of the system. The PI controller in the dq frame can ensure the self-balancing capability without being affected by the bias of output current and control parameters.

4.4. Comparisons

Table 2 presents a detailed comparison between our work and recent State-of-the-Art works.
(1)
Impact of Zero-Axis Control: Prior research has overlooked the influence of zero-axis control on maintaining neutral-point voltage balance. This paper highlights that the zero-axis control branch significantly contributes to neutral-point voltage imbalance.
(2)
Role of DC Components: In line with [19,27], this study examines the effect of DC components by introducing an offset in current sampling during simulations. It reveals that DC sampling offset is a pivotal factor in causing neutral-point voltage imbalance.
(3)
Neutral-point Voltage Balance Control: Existing methods for enhancing neutral-point voltage balance can be categorized into zero-sequence signal injection and novel modulation techniques. The strategy presented in this paper effectively separates neutral-point voltage dynamics from zero-sequence control, providing a simpler and more efficient solution.
(4)
Computational Load: Many advanced modulation strategies lead to increased conditional checks and higher computational demands, as noted in [11,12,13,14,15,16,17,18]. Conversely, the proposed strategy incurs a lower computational burden.
(5)
Hardware Requirements: Previous research has incorporated additional hardware circuits to improve neutral-point voltage balance, thereby increasing costs, as seen in [28,29]. The scheme proposed here avoids additional hardware, resulting in lower costs and easier implementation.
Table 2. Comparisons with Existing Relevant Literature on Three-level Converters.
Table 2. Comparisons with Existing Relevant Literature on Three-level Converters.
Methods[11][13][14][17][18]
Aspects
Impact of Zero-Axis ControlNoNoNoNoNo
Role of DC ComponentsNoNoNoNoNo
Neutral-point Voltage Balance ControlYesYesYesYesYes
Computational LoadHighModerateHighHighModerate
Hardware RequirementsNoNoNoNoNo
Methods[19][27][29][28]This paper
Aspects
Impact of Zero-Axis ControlNoNoNoNoYes
Role of DC ComponentsYesYesNoNoYes
Neutral-point Voltage Balance ControlNoNoNoNoYes
Computational LoadLowLowLowLowLow
Hardware RequirementsNoNoYesYesNo

5. Experiments

The prototype and experimental setup are shown in Figure 11. The bidirectional DC power supply is IT6018C, which provides the DC voltage. The programmable AC power supply is Chroma-61812, which generates 220Vrms@50 Hz grid voltage. The control chip adopts STM32H743ZIT6, and the CPLD chip adopts LCMX02-4000HC-4TG144C. The voltage and current probes are connected to the inverter hardware and the oscilloscope. The neutral-point voltage is monitored by the waveform displayed in the oscilloscope. The detailed specifications of the prototype have been given in Table 1.
Figure 12 shows the dynamic response waveforms when the proportional coefficient Kp changes, where Figure 12a,b correspond to the abc-frame QPR controller and the dq-frame PI controller, respectively. In Figure 12a, as Kp increases from 1.2 to 2 and then to 4, the deviation between vC1 and vC2 gradually increases. When Kp is set to 8, vC1 and vC2 rapidly diverge and then trigger software protection. This phenomenon is consistent with Figure 10a. In Figure 12b, as Kp changes, vC1 and vC2 can always be adjusted to a balanced state. This phenomenon indicates that the PI controller in the dq frame can effectively maintain the balance of the neutral-point voltage when the control parameter changes.
Figure 13 displays the dynamic response waveforms when the DC offset isaΔ of current sampling changes. Figure 13a,b correspond to the abc-frame QPR controller and the dq-frame PI controller, respectively. In Figure 13a, as isaΔ increases from 0 to 5 A and then to 10 A, the deviation between vC1 and vC2 gradually increases. Furthermore, when isaΔ decreases from 10 A to 5 A and then to 0 A, the deviation between vC1 and vC2 gradually decreases. This phenomenon is consistent with Figure 8a. In Figure 13b, as isaΔ increases from 0 to 5 A and then to 10 A, vC1 and vC2 remain balanced. This phenomenon indicates that the PI controller in the dq frame can effectively maintain the balance of the neutral-point voltage when the DC offset of current sampling changes.

6. Conclusions

This paper demonstrates that the three-level converter exhibits self-balancing capabilities. However, the effectiveness of this self-balancing performance is limited by the DC offset in the current sampling and zero-axis control loop. The existing abc-frame QPR control introduces an additional zero-axis QPR control, which couples with the inherent dynamic loop of neutral-point voltage and negatively impacts the self-balancing of the neutral-point voltage. To address this issue, this paper proposes to implement the current control by adopting PI control in the dq frame. Compared to existing methods, this method is simple to implement and does not add any calculation burden. Moreover, it does not equivalently introduce any additional zero-axis control, thereby achieving decoupling between zero-axis control and the neutral-point voltage dynamic loop. With the proposed method, the three-level converter exhibits excellent self-balancing characteristics. The above conclusions are verified through simulations and experiments.

Author Contributions

Methodology, H.T.; software, H.T.; validation, L.K.; writing—original draft, H.T.; supervision, Y.W. All authors have read and agreed to the published version of the manuscript.

Funding

This research received no external funding.

Data Availability Statement

The original contributions presented in the study are included in the article, further inquiries can be directed to the corresponding author.

Conflicts of Interest

The authors declare no conflicts of interest.

References

  1. Hu, Z.; Xing, X.; Zhang, H.; Blaabjerg, F. Modeling and Suppression Method of Low Order Harmonics for Three-Level Inverter with Small Capacitance Value. IEEE Trans. Ind. Electron. 2024, 1–11. [Google Scholar] [CrossRef]
  2. Guo, F.; Yang, T.; Diab, A.M.; Yeoh, S.S.; Li, C.; Bozhko, S.; Wheeler, P. An Overmodulation Algorithm with Neutral-Point Voltage Balancing for Three-Level Converters in High-Speed Aerospace Drives. IEEE Trans. Power Electron. 2022, 37, 2021–2032. [Google Scholar] [CrossRef]
  3. Chen, J.; Gong, L.; Li, J.; Shao, Z.; Wang, J.; Xu, J.; Peng, Y.; Wang, Y. A Novel Modulation Method for LLC Converter-Based Semi-Single-Stage Isolated Inverter with Hybrid Sliding Mode Control. IEEE Trans. Power Electron. 2024, 1–11. [Google Scholar] [CrossRef]
  4. Venkatramanan, D.; Johnson, B.; Dhople, S. Averaged Dynamic Model of Three-level NPC Grid-following Inverter for Examining Neutral-point Instability. In Proceedings of the 2021 IEEE 22nd Workshop on Control and Modelling of Power Electronics (COMPEL), Cartagena, Colombia, 2–5 November 2021; pp. 1–7. [Google Scholar]
  5. Pal, A.; Basu, K. A Three-Phase Three-Level Isolated DC–AC Converter with Line Frequency Unfolding. IEEE Trans. Power Electron. 2020, 35, 11758–11769. [Google Scholar] [CrossRef]
  6. Jung, K.; Suh, Y. Analysis and Control of Neutral-Point Deviation in Three-Level NPC Converter Under Unbalanced Three-Phase AC Grid. IEEE Trans. Ind. Appl. 2019, 55, 4944–4955. [Google Scholar] [CrossRef]
  7. Wang, J.; Wang, J.; Ma, M.; Jiang, W. Neutral Point Voltage Analysis for Three-Phase Four-Wire Three-Level Grid-Connected Converter Based on CBPWM Strategy. IEEE Access 2020, 8, 165583–165592. [Google Scholar] [CrossRef]
  8. Shen, J.; Schroder, S.; Duro, B.; Roesner, R. A Neutral-Point Balancing Controller for a Three-Level Inverter with Full Power-Factor Range and Low Distortion. IEEE Trans. Ind. Appl. 2013, 49, 138–148. [Google Scholar] [CrossRef]
  9. Wang, J.; Yuan, X.; Dagan, K.J.; Bloor, A. Optimal Neutral-Point Voltage Balancing Algorithm for Three-Phase Three-Level Converters With Hybrid Zero-Sequence Signal Injection and Virtual Zero-Level Modulation. IEEE Trans. Ind. Appl. 2020, 56, 3865–3878. [Google Scholar] [CrossRef]
  10. Wang, J.; Gui, Z.; Wang, P.; Wang, J.; Jiang, W. A Carrier-Based Modulation with Planned Zero Sequence Voltage Injection to Control Neutral Point Voltage for Three-Level Inverter. IEEE Access 2020, 8, 64799–64809. [Google Scholar] [CrossRef]
  11. Yang, Y.; Chen, R.; Fan, M.; Xiao, Y.; Zhang, X.; Norambuena, M.; Rodriguez, J. Improved Model Predictive Current Control for Three-Phase Three-Level Converters with Neutral-Point Voltage Ripple and Common Mode Voltage Reduction. IEEE Trans. Energy Convers. 2021, 36, 3053–3062. [Google Scholar] [CrossRef]
  12. Hu, C.; Yu, X.; Holmes, D.G.; Shen, W.; Wang, Q.; Luo, F.; Liu, N. An Improved Virtual Space Vector Modulation Scheme for Three-Level Active Neutral-Point-Clamped Inverter. IEEE Trans. Power Electron. 2017, 32, 7419–7434. [Google Scholar] [CrossRef]
  13. Jiang, W.; Wang, P.; Ma, M.; Wang, J.; Li, J.; Li, L.; Chen, K. A Novel Virtual Space Vector Modulation with Reduced Common-Mode Voltage and Eliminated Neutral Point Voltage Oscillation for Neutral Point Clamped Three-Level Inverter. IEEE Trans. Ind. Electron. 2020, 67, 884–894. [Google Scholar] [CrossRef]
  14. Zhang, L.; Yang, H.; Tang, Y.; Pou, J.; Tolbert, L.M. Decoupled Modulation with Common-Mode Load-Voltage Control for Three-Phase Four-Leg Three-Level Inverter. IEEE Trans. Ind. Electron. 2022, 69, 8594–8598. [Google Scholar] [CrossRef]
  15. Ding, W.; Ming, L.; Yin, C.; Loh, P.C.; Duan, B.; Zhang, C. An Integrated Common-Mode Fast-Balancing Mechanism for Three-Phase Three-Level Converter with LCL Filter. IEEE Trans. Power Electron. 2021, 36, 12694–12709. [Google Scholar] [CrossRef]
  16. du Toit Mouton, H. Natural balancing of three-level neutral-point-clamped PWM inverters. IEEE Trans. Ind. Electron. 2002, 49, 1017–1025. [Google Scholar] [CrossRef]
  17. Zhang, H.; Zhang, W.; Xu, Y.; Zou, J. An improved virtual space vector method for three-level NPC inverters. In Proceedings of the 2024 IEEE 10th International Power Electronics and Motion Control Conference (IPEMC2024-ECCE Asia), Chengdu, China, 17–20 May 2024; pp. 2659–2664. [Google Scholar]
  18. Beniwal, N.; Townsend, C.D.; Farivar, G.G.; Pou, J.; Ceballos, S.; Tafti, H.D. Band-Limited Three-Level Modulation for Balancing Capacitor Voltages in Neutral-Point-Clamped Converters. IEEE Trans. Power Electron. 2020, 35, 9737–9752. [Google Scholar] [CrossRef]
  19. Shen, J.; Schröder, S.; Rösner, R.; El-Barbari, S. A Comprehensive Study of Neutral-Point Self-Balancing Effect in Neutral-Point-Clamped Three-Level Inverters. IEEE Trans. Power Electron. 2011, 26, 3084–3095. [Google Scholar] [CrossRef]
  20. Chen, P.; Tang, F.; Xu, Z.; Wang, W.; Wu, X.; Loh, P.C. A Natural-balancing Filter for Three-Level Grid-Connected Converter. In Proceedings of the 2019 IEEE Power & Energy Society General Meeting (PESGM), Atlanta, GA, USA, 4–8 August 2019; pp. 1–5. [Google Scholar]
  21. Liu, P.; Duan, S. Analysis of the Neutral-Point Voltage Self-Balance Mechanism in the Three-Level Full-Bridge DC–DC Converter by Introduction of Flying Capacitors. IEEE Trans. Power Electron. 2019, 34, 11736–11747. [Google Scholar] [CrossRef]
  22. Wan, W.; Chen, C.; Duan, S.; Hu, W.; Song, L. DC Component Self-Balancing Analysis of Neutral-Point in Neutral-Point-Clamped Three-Level Converters. In Proceedings of the 2020 IEEE 9th International Power Electronics and Motion Control Conference (IPEMC2020-ECCE Asia), Nanjing, China, 29 November–2 December 2020; pp. 1752–1757. [Google Scholar]
  23. Zhao, Q.; Diao, N.; Sun, X.; Song, C.; Zhao, X.; Wang, Y. SVPWM for Five-Level Active Neutral-Point-Clamped Converter Based on Multispace Voltage Vector Mapping and Midpoint-Voltage Self-Balancing Strategy. IEEE Trans. Power Electron. 2022, 37, 13456–13467. [Google Scholar] [CrossRef]
  24. Ye, Y.; Hua, T.; Chen, S.; Wang, X. Neutral-Point-Clamped Five-Level Inverter with Self-Balanced Switched Capacitor. IEEE Trans. Ind. Electron. 2022, 69, 2202–2215. [Google Scholar] [CrossRef]
  25. Zhang, W.; Wang, H.; Zhu, X.; Wang, H.; Deng, X.; Yue, X. A Three-Phase Five-Level Inverter with High DC Voltage Utilization and Self-Balancing Capacity of Floating Capacitor. IEEE Trans. Power Electron. 2022, 37, 10609–10619. [Google Scholar] [CrossRef]
  26. Bao, L. Research on Control Strategy of Grid-Connected and Islanded Three-Phase Four-Wire Microgrid Inverters Based on Impedance Model. Master’s Thesis, Zhejiang University, Hangzhou, China, 2021. [Google Scholar]
  27. Jiang, W.; Jiang, H.; Liu, S.; Ji, S.; Wang, J. A Carrier-Based Discontinuous PWM Strategy for T-Type Three-Level Converter with Reduced Common Mode Voltage, Switching Loss, and Neutral Point Voltage Control. IEEE Trans. Power Electron. 2022, 37, 1761–1771. [Google Scholar]
  28. Zhang, L.; Shi, D.; Yang, T.; Wang, K.; Tang, Y.; Loh, W.K. Partial Power Processing for Power Decoupling Network in Three-Phase Three-Leg Four-Wire Three-Level T-Type Inverter with Reduced Split DC-Bus Capacitance. IEEE Trans. Ind. Electron. 2022, 69, 3643–3655. [Google Scholar] [CrossRef]
  29. Guo, F.; Yang, T.; Li, C.; Bozhko, S.; Wheeler, P. Active Modulation Strategy for Capacitor Voltage Balancing of Three-Level Neutral-Point-Clamped Converters in High-Speed Drives. IEEE Trans. Ind. Electron. 2022, 69, 2276–2287. [Google Scholar] [CrossRef]
Figure 1. Topology of the T-type three-level grid-connected converter.
Figure 1. Topology of the T-type three-level grid-connected converter.
Electronics 13 04657 g001
Figure 2. Illustration of the PDPWM.
Figure 2. Illustration of the PDPWM.
Electronics 13 04657 g002
Figure 3. Illustration of the modulation voltage with zero sequence component injection.
Figure 3. Illustration of the modulation voltage with zero sequence component injection.
Electronics 13 04657 g003
Figure 4. Equivalent transformations of controllers in different frames.
Figure 4. Equivalent transformations of controllers in different frames.
Electronics 13 04657 g004
Figure 5. Block diagram of the linear model considering neutral potential and PWM modulation.
Figure 5. Block diagram of the linear model considering neutral potential and PWM modulation.
Electronics 13 04657 g005
Figure 6. Block diagram of the linear model considering an additional zero-axis controller Gi(s).
Figure 6. Block diagram of the linear model considering an additional zero-axis controller Gi(s).
Electronics 13 04657 g006
Figure 7. Nyquist plots corresponding to the zero-axis controller. (a) Kp varies. (b) Kr varies.
Figure 7. Nyquist plots corresponding to the zero-axis controller. (a) Kp varies. (b) Kr varies.
Electronics 13 04657 g007
Figure 8. Relationship between the DC component of isa and the neutral-point potential offset. (a) QPR controller in abc frame. (b) PI controller in dq frame.
Figure 8. Relationship between the DC component of isa and the neutral-point potential offset. (a) QPR controller in abc frame. (b) PI controller in dq frame.
Electronics 13 04657 g008
Figure 9. The relationship between the DC components of isa and the neutral-point potential offset. (a) The QPR controller in the abc frame. (b) The PI controller in the dq frame.
Figure 9. The relationship between the DC components of isa and the neutral-point potential offset. (a) The QPR controller in the abc frame. (b) The PI controller in the dq frame.
Electronics 13 04657 g009
Figure 10. The relationship between Kp and the neutral-point potential offset when isaΔ = 5A. (a) The QPR controller in the abc frame. (b) The PI controller in the dq frame.
Figure 10. The relationship between Kp and the neutral-point potential offset when isaΔ = 5A. (a) The QPR controller in the abc frame. (b) The PI controller in the dq frame.
Electronics 13 04657 g010
Figure 11. Experimental configuration.
Figure 11. Experimental configuration.
Electronics 13 04657 g011
Figure 12. Experimental results of the three-level converter as Kp varies. (a) with abc-frame QPR controller. (b) with dq-frame PI controller.
Figure 12. Experimental results of the three-level converter as Kp varies. (a) with abc-frame QPR controller. (b) with dq-frame PI controller.
Electronics 13 04657 g012
Figure 13. Experimental results of the three-level converter as isaΔ varies. (a) with the abc-frame QPR controller and (b) with the dq-frame PI controller.
Figure 13. Experimental results of the three-level converter as isaΔ varies. (a) with the abc-frame QPR controller and (b) with the dq-frame PI controller.
Electronics 13 04657 g013
Table 1. Control and circuit parameters.
Table 1. Control and circuit parameters.
SymbolsDescriptionsValues
PRated active power20 kW
VgrmsRMS value of grid phase voltage220 V
fsampleSampling frequency10 kHz
fswitchingSwitching frequency20 kHz
VdcDC-side voltage800 V
VmAmplitude of modulation voltage311 V
VtriAmplitude of carrier voltage400 V
C1, C2DC-link capacitor10 mF
LfFilter inductor0.9 mH
RfFilter resistor0.014 Ω
fcBandwidth of current loop270 Hz
KpGain of proportional controller1.2 Ω
KrGain of resonant controller200 F−1
ωcBandwidth of resonant controller2 rad/s
Disclaimer/Publisher’s Note: The statements, opinions and data contained in all publications are solely those of the individual author(s) and contributor(s) and not of MDPI and/or the editor(s). MDPI and/or the editor(s) disclaim responsibility for any injury to people or property resulting from any ideas, methods, instructions or products referred to in the content.

Share and Cite

MDPI and ACS Style

Tang, H.; Kong, L.; Wang, Y. A Novel Analysis of the Influence of Zero-Axis Control on Neutral-Point Potential Self-Balancing of Three-Level Converters. Electronics 2024, 13, 4657. https://doi.org/10.3390/electronics13234657

AMA Style

Tang H, Kong L, Wang Y. A Novel Analysis of the Influence of Zero-Axis Control on Neutral-Point Potential Self-Balancing of Three-Level Converters. Electronics. 2024; 13(23):4657. https://doi.org/10.3390/electronics13234657

Chicago/Turabian Style

Tang, Haiguo, Lingchao Kong, and Yong Wang. 2024. "A Novel Analysis of the Influence of Zero-Axis Control on Neutral-Point Potential Self-Balancing of Three-Level Converters" Electronics 13, no. 23: 4657. https://doi.org/10.3390/electronics13234657

APA Style

Tang, H., Kong, L., & Wang, Y. (2024). A Novel Analysis of the Influence of Zero-Axis Control on Neutral-Point Potential Self-Balancing of Three-Level Converters. Electronics, 13(23), 4657. https://doi.org/10.3390/electronics13234657

Note that from the first issue of 2016, this journal uses article numbers instead of page numbers. See further details here.

Article Metrics

Back to TopTop