Abstract
In this paper, we study a multi-hop amplify-and-forward (AF) simultaneous wireless information and power transmission (SWIPT) relay system. Each relay node harvests power using a power split (PS) method from a portion of the received signal, amplifies the remaining received signal, and passes it to the next relay. Based on this system model and signal flow, we derived and solved the convex power minimization problem with the optimal PS ratio. In this case, it was found that using the optimal PS ratio consumed a lower amount of power than when using a fixed PS ratio (0.5). We then investigated the impact of processing cost on the AF-SWIPT system using decoding and forwarding SWIPT as benchmarks, and found that AF-SWIPT was superior.
1. Introduction
The Internet of Things (IoT) connects network-enabled devices communicating with each other over the Internet. Hence, the objective of the IoT is to integrate the physical world and the virtual world to attain a self-sustaining system [1]. Currently, research into the application of the IoT for the creation of smart cities, smart homes, smart energy, intelligent transportation systems, and many more innovations is growing. An IoT network consists of the use of routing schemes, a gateway supporting communication between the different nodes and a central system [1,2,3]. These routing schemes facilitate either direct or relaying communication between a gateway and a particular node. As the demand for data service provision rapidly increases worldwide, cooperative communication through relays has recently been recommended as an effective solution. The use of cooperative relay systems significantly enhances the reliability of data transmission [4,5]. Additionally, relay technology is applied to effectively minimize path loss, expanding the system’s coverage area and capacity [6,7,8]. The relaying nodes can be opportunistically implemented by non-active user devices [1,9]. This results in the selected user nodes consuming their power in facilitating communication between the two user pairs [10,11]. This implies that the selected users sacrifice their resources to facilitate relaying procedures [10,12]. The strain on the relay nodes can be mitigated by employing wireless power transfer (WPT) [1,10,11,13,14].
Recently, the amount of research into alternative wireless sources of energy (e.g., radio frequency (RF) and light energy harvesting) to power IoT devices is also increasing [1,4,5,6,10,11,15,16,17,18,19]. WPT can be accomplished by using two different techniques, namely, simultaneous wireless information and power transfer (SWIPT), and wireless powered communication networks (WPCNs) [1,10,11,16].
SWIPT is a technology proposed to extend the life of power-constrained wireless networks and provide an alternative solution for battery-operated devices with limited lifespans [20,21]. SWIPT involves the transmission of wireless information signals and wireless power signals concurrently [1,10,11,16]. SWIPT can benefit significantly from power consumption, spectrum efficiency, interference management, and transmission latency by enabling the simultaneous transmission of power and information [17,22]. Thus, SWIPT is an essential solution for beyond fifth-generation (B5G) technology, providing the energy needed to wirelessly charge energy-limited devices and transmit and receive information [23]. Furthermore, SWIPT can be effectively integrated with B5G small cell systems, including Millimeter-Wave (mmWave) technology and massive multiple-input multiple-output (MIMO) systems, to enhance both throughput and energy efficiency [17,18]. To implement the SWIPT system, time switching (TS) and power splitting (PS) are the two main techniques [1,10,11]. Zhou et al. [24] and Zhang and Ho [25] investigated both PS and TS methods and compared the performance of these two methods.
The successive transmission of a wireless information signal and a wireless power signal is used to accomplish a WPCN [1,10,11]. A WPCN can be deployed efficiently to power multiple communication devices with different physical conditions and service requirements. Moreover, RF-enabled wireless energy transfer also allows information to be transmitted along with energy using the same waveform [26]. Compared with existing battery-powered networks, a WPCN does not require manual battery replacement/charging, which can effectively reduce operating costs and improve communication performance [5].
Research on RF-based WPT has evolved from point-to-point systems and dual-hop cooperative systems to multi-hop cooperative systems. A few studies in the literature on both dual-hop and multi-hop cooperative systems can be found in [1,10,11]. Asiedu et al. [11] considered a single-antenna amplify-and-forward (AF) dual-hop configuration with multiple relay nodes. Both the power control elements and the PS ratio of each relay node have been optimized with the goal of maximizing the achievable speed. In [1], a single-antenna multi-hop decode-and-forward (DF) SWIPT system was optimized. Both the transmission power and data rate were optimized based on the PS ratio.
In this paper, we extend the work in [1], which focused on a DF-SWIPT multi-hop system model to an AF-SWIPT multi-hop system model. We consider single-antenna relay nodes, a SWIPT PS mode at each node, unlike [1] each relay node operated as a AF mode. And, we derive the transmit power optimization problem based on a PS scheme. Finally, the closed-form solution is obtained for our optimization problem. In the simulation results, we compare AF-SWIPT multi-hop systems to the DF-SWIPT in [1].
The rest of the paper is organized as follows: Section 2, Section 3 and Section 4 contain the the stepwise process in formulating the AF-SWIPT multi-hop optimization problem, the solutions for our the optimization problem, and the simulation results and discussion, respectively. Finally, concluding remarks are provided in Section 5.
2. System Model and Problem Formulation
Consider the system model shown in Figure 1, which consists of a single base station (BS), a single destination, and K relay nodes. All nodes have single antennas. The BS node communicates with the destination node through multi-hop relays. Each relay node uses the AF protocol to forward its signals to the next node. We assume that each relay does not have a dedicated power but utilizes energy harvesting to forward its signals during coherence time. The relay nodes operate according to the SWIPT technique, where the received signal is split into information and energy harvesting (EH) parts. In this work, the PS ration technique is adopted for the SWIPT EH process at the multi-hop nodes. The relays store the harvested energy in their batteries for signal retransmission.
Figure 1.
Multi-hop AF relay systems with SWIPT architecture.
The structure of our AF-SWIPT relay is shown in Figure 2. Each relay node has a battery that can store energy harvested from the received RF signal and use it only to retransmit the relaying data after amplification. The signal transmitted to the relay node is divided into an information part and an EH part by the PS ratio .
Figure 2.
Multihop AF relay node SWIPT architecture.
We assume that the source node knows the channel state information (CSI) for all communication nodes. However, each relay and the destination node only know the CSI of their own communication channel. It is assumed that there is no direct communication link between the current node and the next second or more nodes. For example, there is no direct link between the first node and the third node.
The received RF signal at node () from the previous node is given as
where is the channel coefficient between the current node and the previous node, and ∼(0,) represents the antenna noise at the current node. The channel is defined as , where is the large-scale fading coefficient, is the attenuation constant at a reference distance , is the pathloss exponent, is the distance between the transmit and receive nodes, and ∼(0,1) is the Rayleigh fading component. The received signal at the kth relay node is split into EH and information signals which are written, respectively, as
and the harvested energy at the kth node and the destination node are given by, respectively,
where is the processing power for information decoding at the destination node, is the transmit power at the source node, is the energy conversion efficiency for the kth node, and the signal for information transmission at the kth relay is represented by
where is the additional noise introduced by the information decoding (ID) circuitry. The signal-to-noise ratio (SNR) is expressed as
The signal to be transmitted to the kth relay is represented by
where is the amplification factor [27], and is the information signal at the source node.
We now consider the problem of optimizing the PS ratio at the relay nodes and the power at the source node . We aim to minimize the source transmit power subject to the destination node SNR and PS ratio constraints. Consequently, we formulate the optimization problem as
The first constraint means that the SNR threshold value at the destination is greater or equal to the SNR value at the destination node.
3. Problem Solution
In this section, we provide the solution for the source transmit power minimization problem. The optimal transmit power at the source node is determined to be
where is the SNR threshold constraint of the destination node. The optimal PS ratio at the kth node is written as
where , , and are defined as
Proof.
The proof in acquiring the optimal values is provided in Appendix A. □
4. Simulation Results
This section contains the evaluation of the performance of the AF-SWIPT system compared with the DF-SWIPT system as a benchmark [1]. In the simulation setup, for the large-scale fading component, the attenuation constant dB, and the pathloss exponent is assumed. The distance between each node is m, the antenna noise variance dBm, and the energy conversion efficiency . We assume that W at the destination node, because the destination node possesses enough power for decoding the received signal. The PS ratio used for the suboptimal scheme is . The simulation results are obtained over random channel realizations.
Figure 3 shows the effect of each relay circuit power on . When the PS ratio is fixed, the performance is the same when the relay circuit power is very low, but from −80 dBm, the transmission power of AF-SWIPT is lower than that of DF-SWIPT. In the case of the optimal PS ratio, DF-SWIPT has a less transmission power than AF-SWIPT for a very low . However, above −70 dBm, the trend reverses. Through this, it can be seen that above a certain , the performance of AF-SWIPT is better than DF-SWIPT in terms of transmission power.
Figure 3.
The influence of increasing each relay ( dB).
Figure 4 shows a plot of the average power against the number of relays K for different circuit powers . When is 0, there is little difference in performance between both DF-SWIPT and AF-SWIPT, but when is −50 dBm, the transmission power of DF-SWIPT is actually higher than that of AF-SWIPT. This shows the same trend for all numbers of relays. This is because there is no signal decoding (i.e., processing power) at the relays for AF-SWIPT, unlike in the DF-SWIPT. In the AF-SWIPT, signal decoding occurs only at the destination. Therefore, processing power is used only at the destination for the AF-SWIPT, while processing power is used at all nodes in the DF-SWIPT.
Figure 4.
Average against the number of relay nodes at dB, dBm.
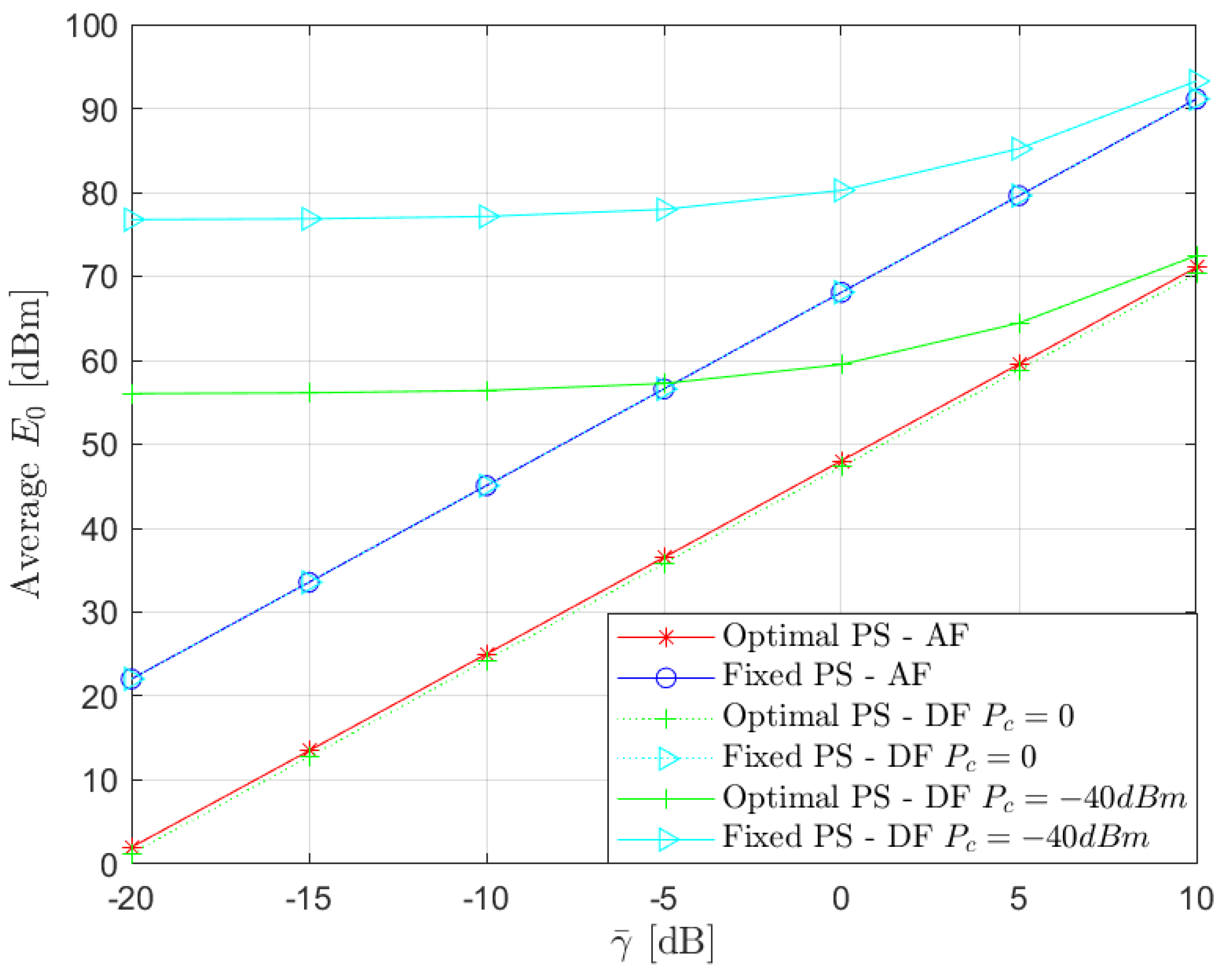
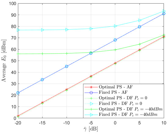
Figure 5 shows a plot of the average versus the SNR threshold (in dB). Similar to the previous results, when is 0, the transmission power of DF-SWIPT and AF-SWIPT are similar, but when is −40 dBm, DF-SWIPT consumes more power than AF-SWIPT. We can also see that the lower the SNR threshold, the larger the transmit power difference between DF-SWIPT and AF-SWIPT.
Figure 5.
Average relative to at , dBm.
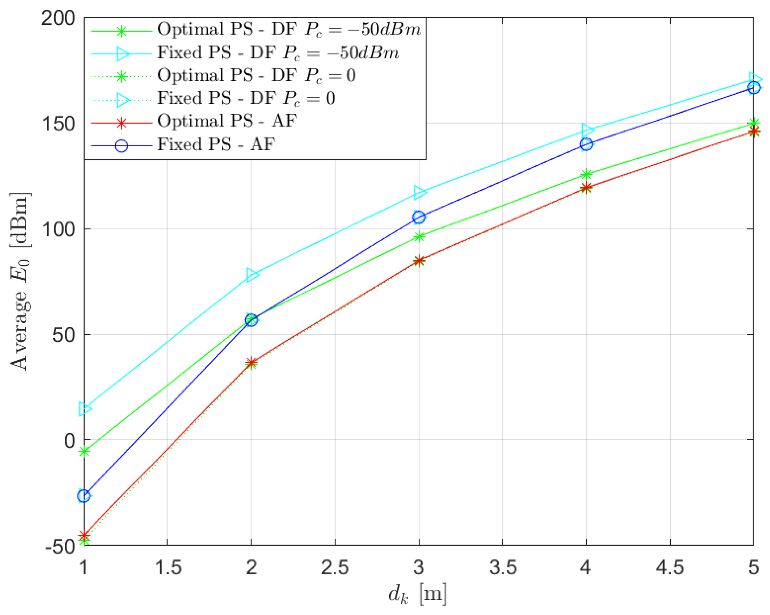
Figure 6 shows the against the internode distance, . As increases, more transmission power is required. Additionally, when is −50 dBm, it can be seen that AF-SWIPT consumes less power than DF-SWIPT.
Figure 6.
Average relative to at , dBm.
5. Conclusions
This paper investigated AF-SWIPT multi-hop cooperative relaying in IoT networks. The AF-SWIPT source power minimization optimization problem is presented, studied, and evaluated in this paper. The reason for the energy minimization is to promote energy efficiency during signal transmission, reduce energy cost, and lengthen network lifespan in the netowrk operation. When considering computational overhead and operational cost, the AF-SWIPT is shown to be more efficient compared to the DF-SWIPT benchmark. Simulation results showed that the AF-SWIPT has better energy efficiency in terms of decoding cost compared to the DF-SWIPT. Possible extensions of this research are in the area of implementing the time-switching SWIPT protocol, MIMO multi-hop systems, WPCN multi-hop networks, and the development of routing algorithms for the multi-hop wireless-powered networks.
Author Contributions
Conceptualization, D.K.P.A. and K.K.; methodology, K.K.; software, K.K.; validation, D.K.P.A. and K.-J.L.; writing—original draft preparation, K.K. and D.K.P.A.; writing—review and editing, P.A., E.K. and K.-J.L.; visualization, K.K.; supervision, K.-J.L. All authors have read and agreed to the published version of the manuscript.
Funding
This research was supported in part by Korea Electric Power Corporation under Grant R22XO02-29 and in part by the Institute of Information & Communications Technology Planning & Evaluation (IITP) through the Korea Government (MSIT) under Grant 2022-0-01053-002 (Development of network load balancing techniques based on multiple communication/computing/storage resources).
Data Availability Statement
Data are contained within the article.
Conflicts of Interest
The authors declare no conflicts of interest.
Appendix A
Problem (9) is nonconvex with respect to and . We rewrite Problem (9) into an equivalent convex problem given as
where . The Lagrangian of Problem (A1) is defined with its KKT conditions, given as
Next, Problem (A1) is changed into a convex problem with respect to , and we introduce new variables, x, y. The new problem is defined as
and we formulate the Lagrangian of the changed Problem (A7) as
The KKT conditions are represented as
where and are defined as follows:
References
- Asiedu, D.K.P.; Lee, H.; Lee, K.-J. Simultaneous wireless information and power transfer for decode-and-forward Multi-hop Relay systems in energy-constrained IoT networks. IEEE Internet Things J. 2019, 6, 9413–9426. [Google Scholar] [CrossRef]
- He, S.; Xie, K.; Chen, W.; Zhang, D.; Wen, J. Energy-aware routing for SWIPT in multi-hop energy-constrained wireless network. IEEE Access 2018, 6, 17996–18008. [Google Scholar] [CrossRef]
- Zhang, Z.; Pang, H.; Georgiadis, A.; Cecati, C. Wireless power transfer—An overview. IEEE Trans. Indust. Elect. 2018, 66, 1044–1058. [Google Scholar] [CrossRef]
- Krikidis, I. Simultaneous information and energy transfer in large-scale networks with/without relaying. IEEE Trans. Commun. 2014, 62, 900–912. [Google Scholar] [CrossRef]
- Bi, S.; Zeng, Y.; Zhang, R. Wireless powered communication networks: An overview. IEEE Wirel. Commun. 2016, 23, 10–18. [Google Scholar] [CrossRef]
- Ashraf, N.; Sheihkh, S.A.; Khan, S.A.; Shayea, I.; Jalal, M. Simultaneous Wireless Information and Power Transfer with Cooperative Relaying for Next-Generation Wireless Networks: A Review. IEEE Access 2021, 9, 71482–71504. [Google Scholar] [CrossRef]
- Rossi, P.S.; Ciuonzo, D.; Kansanen, K.; Ekman, T. Performance analysis of energy detection for MIMO decision fusion in wireless sensor networks over arbitrary fading channels. IEEE Trans. Wirel. Commun. 2016, 15, 7794–7806. [Google Scholar] [CrossRef]
- Liu, X.; Wen, Z.; Liu, D.; Zou, J.; Li, S. Joint source and relay beamforming design in wireless multi-hop sensor networks with SWIPT. Sensors 2019, 19, 182. [Google Scholar] [CrossRef]
- Djiroun, F.Z.; Djenouri, D. Mac protocols with wake-up radio for wireless sensor networks: A review. IEEE Commun. Surv. Tutor. 2017, 19, 587–618. [Google Scholar] [CrossRef]
- Mahama, S.; Asiedu, D.K.P.; Lee, K.-J. Simultaneous wireless information and power transfer for cooperative relay networks with battery. IEEE Access 2017, 5, 13171–13178. [Google Scholar] [CrossRef]
- Asiedu, D.K.P.; Mahama, S.; Jeon, S.-W.; Lee, K.-J. Optimal power splitting for simultaneous wireless information and power transfer in amplify-and-forward multiple-relay systems. IEEE Access 2018, 6, 3459–3468. [Google Scholar] [CrossRef]
- Ciuonzo, D.; Rossi, P.S.; Dey, S. Massive MIMO channelaware decision fusion. IEEE Trans. Signal Process. 2015, 63, 604–619. [Google Scholar] [CrossRef]
- Raghavendra, C.S.; Sivalingam, K.M.; Znati, T. Wireless Sensor Networks; Springer: New York, NY, USA, 2006. [Google Scholar]
- Sandeep, D.N.; Kumar, V. Review on clustering, coverage and connectivity in underwater wireless sensor networks: A communication techniques perspective. IEEE Access 2017, 5, 11176–11199. [Google Scholar] [CrossRef]
- Lee, H.; Lee, K.-J.; Kim, H.; Lee, I. Joint transceiver optimization for MISO SWIPT systems with time switching. IEEE Trans. Wirel. Commun. 2018, 17, 3298–3312. [Google Scholar] [CrossRef]
- Lee, H.; Lee, K.-J.; Kim, H.; Lee, I. Wireless information and power exchange for energy-constrained device-to-device communications. IEEE Internet Things J. 2018, 5, 3175–3185. [Google Scholar] [CrossRef]
- Krikidis, I.; Timotheou, S.; Nikolaou, S.; Zheng, G.; Ng, D.W.K.; Schober, R. Simultaneous wireless information and power transfer in modern communication systems. IEEE Commun. Mag. 2014, 52, 104–110. [Google Scholar] [CrossRef]
- Tu, N.H.; Lee, K. IRS-Assisted Coordinated Direct and Multiantenna Relay Transmission for MIMO SWIPT Systems. IEEE Syst. J. 2024, 18, 1208–1219. [Google Scholar] [CrossRef]
- Clerckx, B.; Zhang, R.; Schober, R.; Ng, D.W.K.; Kim, D.I.; Poor, H.V. Fundamentals of wireless information and power transfer: From RF energy harvester models to signal and system designs. IEEE J. Sel. Areas Commun. 2018, 37, 4–33. [Google Scholar] [CrossRef]
- Mohjazi, L.; Muhaidat, S.; Dianati, M.; Al-Qutayri, M. Performance analysis of SWIPT relay networks with noncoherent modulation. IEEE Trans. Green Commun. Netw. 2018, 2, 1072–1086. [Google Scholar] [CrossRef]
- Sabor, N.; Sasaki, S.; Abo-Zahhad, M.; Ahmed, S.M. A comprehensive survey on hierarchical-based routing protocols for mobile wireless sensor networks: Review, taxonomy, and future directions. Wirel. Commun. Mob. Comput. 2017, 2017, 2818542. [Google Scholar] [CrossRef]
- Ding, Z.; Zhong, C.; Ng, D.W.K.; Peng, M.; Suraweera, H.A.; Schober, R.; Poor, H.V. Application of smart antenna technologies in simultaneous wireless information and power transfer. IEEE Commun. Mag. 2015, 53, 86–93. [Google Scholar] [CrossRef]
- Özyurt, S.; Coşkun, A.F.; Büyükçorak, S.; Karabulut Kurt, G.; Kucur, O. A Survey on Multiuser SWIPT Communications for 5G+. IEEE Access 2022, 10, 109814–109849. [Google Scholar] [CrossRef]
- Zhou, X.; Zhang, R.; Ho, C.K. Wireless information and power transfer: Architecture design and rate-energy tradeoff. IEEE Trans. Commun. 2013, 61, 4754–4767. [Google Scholar] [CrossRef]
- Zhang, R.; Ho, C.K. MIMO broadcasting for simultaneous wireless information and power transfer. IEEE Trans. Wirel. Commun. 2013, 12, 1989–2001. [Google Scholar] [CrossRef]
- Bi, S.; Ho, C.K.; Zhang, R. Wireless powered communication: Opportunities and challenges. IEEE Commun. Mag. 2015, 53, 117–125. [Google Scholar] [CrossRef]
- Mao, M.; Cao, N.; Chen, Y.; Zhou, Y. Multi-hop relaying using energy harvesting. IEEE Wirel. Commun. Lett. 2015, 4, 565–568. [Google Scholar] [CrossRef]
Disclaimer/Publisher’s Note: The statements, opinions and data contained in all publications are solely those of the individual author(s) and contributor(s) and not of MDPI and/or the editor(s). MDPI and/or the editor(s) disclaim responsibility for any injury to people or property resulting from any ideas, methods, instructions or products referred to in the content. |
© 2024 by the authors. Licensee MDPI, Basel, Switzerland. This article is an open access article distributed under the terms and conditions of the Creative Commons Attribution (CC BY) license (https://creativecommons.org/licenses/by/4.0/).





