Abstract
We analyze square antennas with one and quasi-two sources to reveal the relationship between loop and plate antennas. First, using the moment method, one-source antennas with corner truncation are investigated versus antenna height above the ground plane. As the height increases, the CP wave bandwidth of the plate antenna increases 17% for a 3 dB axial ratio criterion, whereas the loop antenna’s bandwidth remains less than 3%. Next, we study quasi-two-source antennas without corner truncation versus antenna height. The plate antenna’s bandwidth is found to reach 30%, which is wider than that of a loop antenna by a factor of two. Last, the plate antenna with quasi-two sources is applied in an array antenna, whose properties are compared to those of the corresponding loop antenna array. We present experimental results to verify the simulated results.
1. Introduction
Wireless communication systems have required circularly polarized (CP) antennas [1]. Unique characteristics of CP antennas (e.g., reducing multipath interference and polarization mismatching) are helpful in many applications, such as mobile, navigation, and satellite communications [2,3]. This paper deals with a CP antenna and proposes a novel radiation element inspired by a loop antenna. Loop antennas have been studied using several methods for CP radiation [4,5,6,7,8]. The methods involve an additional segment [4], quasi-two sources [5], and loop-shaped deformation [6,7,8]. A square wire loop with corner truncation is one of the shape deformation antennas, which shows a wide axial ratio bandwidth when replacing the wire loop with a plate one.
The relationship between the wire and plate-loop antennas leads to some questions: (1) If the plate loop is further replaced with a plate, does the plate antenna exhibit a broader axial ratio bandwidth than the plate-loop antenna? (2) Do the loop-to-plate transformation effects on the bandwidth depend on the methods for CP radiation? To answer these questions, we investigate square loop and plate antennas using different CP radiation methods: corner truncation and quasi-two sources. The investigation is performed using the method of moments (MoM) [9]. This paper reveals the relationship between the loop and plate antennas versus antenna height above the ground plane. As a result, the antenna height is found to be a crucial parameter for understanding the two-antenna relationship. The technical novelty is in proposing a plate antenna with quasi-two sources and its application in an array antenna. The array antenna has a simple feed and exhibits a CP wave bandwidth that is twice as wide as a corresponding loop antenna array.
This paper first analyzes one-source antennas with corner truncation for CP radiation. We reveal the effects of antenna height on the radiation characteristics of loop and plate antennas. Next, quasi-two-source antennas without corner truncation are investigated, and the results are compared to those of the one-source antennas. Last, we apply a plate antenna with quasi-two sources in an array antenna without a complicated balun circuit design.
2. Antennas with One Source
Figure 1a,b shows loop and plate antennas with one source, respectively. Each square element of side length L is at height H above the ground plane. The element has a feed point F1, and the diagonal corners are truncated with length Δ for CP radiation. We connect the element to a vertical, straight feedline F1–F′1 of length H and excite the lower end F′1 by a coaxial line. The antenna is made of wires with a radius r, and the plate is approximated using a wire grid model [10]. We analyze the antenna using our coded software based on MoM [9]. The ground plane is assumed to be infinite to an extent, so image theory is applied to the analysis. Note that our coded software assumes that current along an antenna wire flows only in the wire axis direction and expands the current with piecewise sinusoidal functions, which are also used as weighting functions.
Figure 1.
Antennas with one source using a vertical, straight feedline F1–F′1. (a) Loop antenna; (b) Plate antenna; (c) Perspective view of a plate antenna.
We design the antenna to radiate a CP wave in the z-axis direction. The side length and corner truncation (L, Δ) are selected for CP radiation with an axial ratio close to 0.1 dB at f0. The antenna height varies from H = λ0/10 to λ0/4, where λ0 is the free-space wavelength at a test frequency of f0. The wire radius is ρ = λ0/200 [5] throughout the paper.
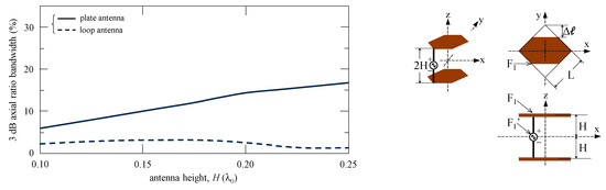
Figure 2 shows the simulated CP wave bandwidths of the loop and plate antennas versus height H. At each value of H, the element parameters (L, Δ) are optimized so that the axial ratio becomes close to 0.1 dB at f0. The difference between the bandwidths of the loop and plate antennas is observed to become more significant with an increase in the antenna height. As the height increases to H = λ0/4, the bandwidth of the plate antenna increases by 17%, whereas the loop’s bandwidth remains less than 3%. Note that the CP radiation of the loop antenna is attributable to loop-shaped deformation, which transforms a standing wave type of current distribution along the loop into a traveling wave type. This radiation mechanism can be applied to a square plate-loop antenna since the loop of plate width w corresponds to a concentric double loop spaced with w and connected at their corners. Taking this into account, we may attribute the CP radiation of the plate antenna of side length L to that of a plate-loop antenna whose width becomes w ≈ L/2.
Figure 2.
Simulated CP wave bandwidths versus height H for antennas with one source. The insets show a plate antenna modeled in the analysis using image theory, where the ground plane is removed and the image element at z = −H and straight feedline are added with a balanced source at F1′.
We explain why the axial ratio bandwidths of the loop and plate antennas change with antenna height H. For this, a plate antenna modeled in the analysis using image theory is shown in the insets of Figure 2, where the model is a two-element array antenna with a distance of 2H in the z-axis direction and the array distance varies in a range of 0.2λ0 ≤ 2H ≤ 0.5λ0. This fact means that the mutual coupling effects of the two elements vary with 2H, resulting in a change in the axial ratio bandwidth. From Figure 2, the plate antenna has stronger mutual coupling effects than the loop antenna, since the bandwidth of the plate antenna changes with H appreciably compared to the loop antenna’s bandwidth.
The simulated radiation patterns of the plate antenna at H = λ0/4 are shown in Figure 3. The side length and corner truncation are (L, Δ) = (0.38λ0, 0.15λ0). The radiation is decomposed into left (EL) and right-hand (ER) CP wave components. It is seen that the antenna radiates a CP beam of EL in the direction normal to the antenna plane. The half-power beam widths (HPBWs) are 79° and 117° in the ϕ = 0° and 90° planes, respectively. The gain is 5.7 dBi.
Figure 3.
Simulated radiation patterns of a plate antenna with one source at H = λ0/4. (a) ϕ = 0° plane; (b) ϕ = 90° plane.
3. Antennas with Quasi-Two Sources
Thus far, we have discussed one-source antennas with corner truncation. This section investigates quasi-two-source antennas without truncation. We reveal the effects of different methods for CP radiation on antenna characteristics.
Figure 4 shows square loop and plate antennas with quasi-two sources. Each square element has two adjacent corners Fn (n = 1 and 2), which are connected to a vertical, branched feedline Fn–B–F′2, and the lower end F′2 is excited by a coaxial line. The branch point B is at height hB. The branch height and side length (L, hB) are selected for CP radiation. Note that an excitation phase difference between the loop corners Fn is 90°, since the path length difference to Fn from the excitation point F′2 is λ0/4 (=L, the loop side length). Also, note that the same amplitude excitation (a balanced amplitude division of 1:1) at the loop corners is accomplished with appropriate selection of the branch height and side length (e.g., an amplitude division of 1:1.3 at f0 will be obtained for a plate antenna with (L, hB) = (0.28λ0, 0.11λ0) at H = 0.25λ0, as will be mentioned).
Figure 4.
Antennas with quasi-two sources using a vertical, branched feedline F1/F2–B–F′2. (a) Loop antenna; (b) Plate antenna; (c) Perspective view of a plate antenna.
The simulated axial ratio bandwidths versus height H are shown in Figure 5. The element parameters (L, hB) are optimized for CP radiation at each height, H. With an increase in the height, the difference between the loop and plate antennas’ bandwidths becomes appreciable, as in the case of corner truncation (see Figure 2). The difference at H = λ0/4 becomes 17% (=30–13%). Note that the solid and dotted lines disappear into small values of height H, indicating that the antennas do not radiate CP waves for a 3 dB axial ratio criterion at f0. Also, note that the CP radiation of the loop antenna is attributable to quasi-two sources, which excite adjacent loop corners with the same amplitudes and a phase difference of 90°. This radiation mechanism is applicable to a square plate-loop antenna with plate width w for the reason mentioned in Section 2. Therefore, the CP radiation of the plate antenna of side length L is attributed to that of a plate-loop antenna whose width becomes w ≈ L/2.
Figure 5.
Simulated CP wave bandwidths versus height H for antennas with quasi-two sources.
We comment on a considerable change in the CP wave bandwidth shown in Figure 5 compared to that of antennas with one source shown in Figure 2. Based on the reasoning mentioned in Section 2, it can be said that the mutual coupling effects in the quasi-two-source antennas are more considerable than those of the one-source antennas. This is because the quasi-two-source antennas have a branched feedline with branch height hB being smaller than antenna height H. The smaller the height, the stronger the mutual coupling effects, leading to a considerable change in the axial ratio bandwidth from that in Figure 2.
Figure 6 shows the simulated radiation patterns of the plate antenna at H = λ0/4. The side length and branch height are (L, hB) = (0.28λ0, 0.11λ0), for which the plate antenna has a balanced amplitude division of 1:1.3 (=0.155 mA: 0.201 mA) at the loop corners F1 and F2, respectively. It is observed that the antenna radiates a CP beam similar to that of the corner truncation in Section 2 (see Figure 3). The HPBWs are 99° and 86° when ϕ = 0° and 90°, respectively. The gain is 6.8 dBi. The gain and axial ratio versus frequency are shown with solid lines in Figure 7. The gain is more than 5.4 dBi in the axial ratio bandwidth. For comparison, the results of the loop antenna at H = λ0/4 with (L, hB) = (0.25λ0, 0.13λ0) are also shown with dotted lines. The gain is more than 7.1 dBi in the axial ratio bandwidth.
Figure 6.
Simulated radiation patterns of a plate antenna with quasi-two sources at H = λ0/4. (a) ϕ = 0° plane; (b) ϕ = 90° plane.
Figure 7.
Simulated frequency responses of gain and axial ratio of antennas with quasi-two sources at H = λ0/4.
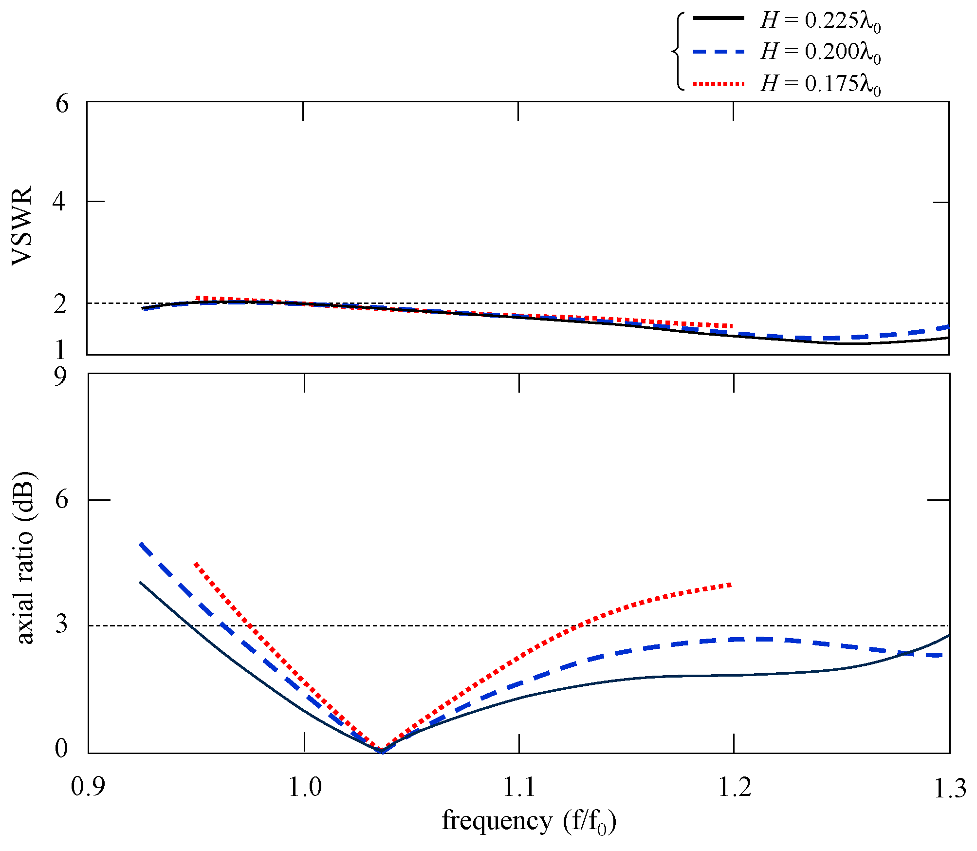
Next, we consider input impedance matching by modifying the straight feedline B–F′2 of the plate antenna into a crank one, as shown in the inset of Figure 8. The crank feedline is specified by lengths (1, 2), which are selected for VSWR < 2. Note that the other parameters are fixed at the same values as those for H = λ0/4.
Figure 8.
Simulated frequency responses of the VSWR, gain, and axial ratio of a plate antenna with a crank feedline B–F′2.
The simulated VSWR versus frequency is shown with a solid line in the upper part of Figure 8, together with the gain and axial ratio. The crank parameters are (1, 2) = (0.02λ0, 0.26λ0). It is found that the VSWR remains less than 2 in an axial ratio bandwidth of 30%, where the gain is more than 5.1 dBi. For comparison, the dotted line shows the VSWR for a straight feedline B–F′2 (without the crank feedline). The VSWRs are more than 4. It can be said that the crank feedline transforms the antenna’s input impedance Zin (=Rin + j Xin) to a coaxial line’s characteristic impedance of Z0 = 50 Ω. Note that the Z0 of the horizontal part of the crank feedline of length 2 is 125 Ω, and the Zin of the antenna with the straight feedline B–F′2 is 190—j 60 Ω at f0 (in contrast, the Zin of the corresponding antenna shown in Figure 1b is 190—j 270 Ω). Simulated radiation patterns for the crank feedline are shown with solid and dotted lines in Figure 9. The radiation beams are almost identical to those of the straight feedline B–F′2 (see Figure 6). The HPBWs in the ϕ = 0° and 90° planes and gain are 92°, 85° and 7.1 dBi, respectively.
Figure 9.
Simulated radiation patterns of a plate antenna with a crank feedline B–F′2. (a) ϕ = 0° plane; (b) ϕ = 90° plane.
Up to this point, we have discussed the radiation characteristics using the MoM. To verify the results, we reproduce them using a finite integration technique (FIT) [11], i.e., a commercial software called CST Studio Suite. The CST results are shown with small circles and dots in Figure 8 and Figure 9, which agree with the MoM results.
Before moving on to the next section, we refer to the VSWR and axial ratio bandwidths shown in Figure 8. It is seen that the VSWR bandwidth is large enough to include the axial ratio bandwidth at an antenna height of H = 0.25λ0. Further simulated results at heights of H < 0.25λ0 are shown in Figure 10. The VSWR bandwidth is wider than the axial ratio bandwidth at H < 0.25λ0.
Figure 10.
Simulated frequency responses of the VSWR and axial ratio for a parameter of height H of a plate antenna with a crank feedline B–F′2.
4. Array Antennas with Quasi-Two Sources
So far, we have analyzed loop and plate antennas with one and quasi-two sources versus antenna height H. A plate antenna with quasi-two sources exhibits the widest CP wave bandwidth at H = λ0/4. This section focuses on the plate antenna with quasi-two sources at H = λ0/4 and designs its antenna array.
The array antenna is shown in Figure 11. Two plate elements with quasi-two sources are connected to a horizontal feedline T1–T2 of length Lf at a height of hL. A feedline at end T1 is excited by a coaxial line via a vertical, straight feedline T1– F′2 of a radius ρ. We take the horizontal feedline parameters to be (Lf, hL) = (λ0/2, λ0/50) [5] and select the element parameters (L, hB) so that the antenna radiates a CP wave in the z-axis direction. The other parameters are the same as those in Section 3. Note that we rotate a loop element of #2 (loop#2) by 180° concerning loop#1 to compensate for an excitation phase difference of 180° due to the path length along the horizontal feedline.
Figure 11.
Array antennas with quasi-two sources using a horizontal, straight feedline T1–T2. (a) Perspective view of a present antenna; (b) Side view; (c) Top view of the present antenna; (d) Top view of a reference loop antenna array.
Solid and dotted lines in Figure 12 show the simulated radiation patterns for (L, hB) = (0.31λ0, 0.13λ0). It is observed that a CP radiation beam is formed in the direction normal to the antenna plane. The HPBWs are 37° and 61° in the ϕ = 0° and 90° planes, respectively. The gain is evaluated to be 9.7 dBi. The simulated gain, axial ratio, and VSWR versus frequency are shown with solid lines in Figure 13. Dotted lines show the simulated results of a reference array antenna composed of loop elements with quasi-two sources [see Figure 11d], having parameters of (L, hB) = (0.26λ0, 0.14λ0). It is found that the present antenna has an axial ratio bandwidth of 28%, which is twice as wide as that of the reference antenna (15%). The gain and VSWR of the present antenna are more than 8.7 dBi and less than 2.1 in the axial ratio bandwidth. Note that an overlap bandwidth for VSWR < 2 and axial ratio < 3 dB is 26%, and the VSWR is calculated concerning a 75 Ω coaxial cable since the VSWRs for a 50 Ω coaxial line are less than three in the CP wave bandwidth. Also, note that the horizontal feedline T1–T2 has a characteristic impedance of Z0 = 125 Ω, the same as that of the crank feedline mentioned in Section 3.
Figure 12.
Radiation patterns of a present array antenna with quasi-two sources. (a) ϕ = 0° plane; (b) ϕ = 90° plane.
Figure 13.
Frequency responses of the VSWR, gain, and axial ratio.
The abovementioned results of the present antenna are verified with experimental results using a prototype made at f0 = 3 GHz; its photographs are shown in Figure 14. The experimental results are shown with dots and small circles in Figure 12 and Figure 13. Agreement is observed between the experimental and simulated results.
Figure 14.
Photographs of a fabricated present array antenna. (a) Perspective view; (b) Side view.
It is necessary to compare our antenna to those of other antennas. Table 1 summarizes the comparisons. Unlike other antennas, our antenna does not need a complicated balun circuit design. At the same time, we realize an axial ratio bandwidth of 26% comparable to that of a resonant element array [5]. Note that none of the studies in Table 1 use techniques to enhance the axial ratio bandwidth, such as sequential rotation. Our antenna’s axial ratio bandwidth would be expanded using a sequential rotation technique.
Table 1.
Comparisons with similar studies.
Before the conclusion, the relevant parameters of the designed antennas are shown in Table 2 so that the results in this paper can be reproduced. The parameters are classified into two groups by design methods: optimization and precedent. Two parameters are optimized for each antenna with the other parameters being fixed, which enables one to reproduce the results.
Table 2.
Relevant parameters of designed antennas.
5. Conclusions
Loop and plate antennas have been investigated as a function of antenna height. With an increase in the height, the difference between the CP wave bandwidths of the loop and plate antennas becomes appreciable, and the plate antennas at the height of λ0/4 for one and quasi-two sources have maximum bandwidths of 17% and 30%, respectively. Subsequently, a plate antenna with quasi-two sources is applied to a two-element array antenna without a complicated balun circuit design. It is found numerically and experimentally that the axial ratio bandwidth of the antenna is 28%, broader than that of an array antenna composed of loop elements with quasi-two sources by a factor of two.
We need to explain the impedance-matching mechanism of the array antenna in a future study.
Author Contributions
Conceptualization, K.H.; software, K.H.; validation, K.H.; investigation, M.H. and S.M.; resources, K.H.; data curation, M.H., S.M. and T.F.; writing—original draft preparation, K.H.; writing—review and editing, K.H.; visualization, K.H.; supervision, K.H. and H.N.; project administration, K.H. All authors have read and agreed to the published version of the manuscript.
Funding
This research received no external funding.
Data Availability Statement
Numerical and experimental data used to support the findings of this study are included in this article.
Acknowledgments
The authors would like to thank Blair Thomson for his invaluable assistance in preparing this paper.
Conflicts of Interest
The authors declare no conflicts of interest.
References
- Nadeem, I.; Alibakhshikenari, M.; Babaeian, F.; Althuwayb, A.A.; Virdee, B.S.; Azpilicueta, L.; Khan, S.; Huynen, I.; Falcone, F.; Denidni, T.A.; et al. A comprehensive survey on ‘circular polarized antennas’ for existing and emerging wireless communication technologies. J. Phys. D Appl. Phys. 2022, 55, 033002. [Google Scholar] [CrossRef]
- Akbar, F.; Yektakhah, B. A multi-mode superposition technique for circular polarized beamforming and steering in mobile communication and radar systems. IEEE Access 2024, 12, 117308–117317. [Google Scholar] [CrossRef]
- Wu, R.; Lin, J.; Wen, G.; Cai, S.; Chen, F. A compact broadband circularly polarized antenna with novel tilt fences for GNSS applications. IEEE Antennas Wirel. Propag. Lett. 2024, 23, 1528–1532. [Google Scholar] [CrossRef]
- Han, T.; Sim, C.; Chen, C. A circularly polarized meander loop antenna design for GNSS application. IEEE Antennas Wirel. Propag. Lett. 2021, 20, 2235–2239. [Google Scholar] [CrossRef]
- Sum, M.; Hirasawa, K.; Shi, S. Two rectangular loops fed in series for broadband circular polarization and impedance matching. IEEE Trans. Antennas Propag. 2004, 52, 551–554. [Google Scholar] [CrossRef]
- Li, L.; Zhang, C.; Qiao, X.; Shao, Y. A broadband SIW-fed rhombic loop antenna with endfire radiation for millimeter-wave application. IEEE Antennas Wirel. Propag. Lett. 2022, 21, 1293–1297. [Google Scholar] [CrossRef]
- Zhang, Y.; Zhu, L. Printed dual spiral-loop wire antenna for broadband circular polarization. IEEE Trans. Antennas Propag. 2006, 54, 284–288. [Google Scholar] [CrossRef]
- Murakami, Y.; Nakamura, T.; Yoshida, A.; Ieda, K. Rectangular loop antenna for circular polarization. IEICE Trans 1995, J78-B-II, 520–527. [Google Scholar] [CrossRef]
- Harrington, R.F. Field Computation by Moment Methods; Macmillan: New York, NY, USA, 1968. [Google Scholar]
- Richmond, J.H. A wire-grid model for scattering by conducting bodies. IEEE Trans. Antennas Propag 1966, AP-14, 782–786. [Google Scholar] [CrossRef]
- CST Studio Suite. Available online: https://www.cst.com/applications/mwandrf (accessed on 12 August 2024).
- Hirose, K.; Nakatsu, M.; Nakano, H. Dual-curl antennas for broadband circular polarisation. Electron. Lett. 2021, 57, 542–544. [Google Scholar] [CrossRef]
- Hirose, K.; Nishino, K.; Nakano, H. Dual-loop antennas with an expanded axial ratio. Electron. Lett. 2023, 59, e12784. [Google Scholar] [CrossRef]
Disclaimer/Publisher’s Note: The statements, opinions and data contained in all publications are solely those of the individual author(s) and contributor(s) and not of MDPI and/or the editor(s). MDPI and/or the editor(s) disclaim responsibility for any injury to people or property resulting from any ideas, methods, instructions or products referred to in the content. |
© 2024 by the authors. Licensee MDPI, Basel, Switzerland. This article is an open access article distributed under the terms and conditions of the Creative Commons Attribution (CC BY) license (https://creativecommons.org/licenses/by/4.0/).













