Next Article in Journal
AmazingFS: A High-Fidelity and Occlusion-Resistant Video Face-Swapping Framework
Next Article in Special Issue
Simple and Effective Control System for Active AC Ripple Filtering Circuits
Previous Article in Journal
Quality Assessment of Light Field Images Based on Adaptive Attention in ViT
Previous Article in Special Issue
Large Signal Stability Analysis of Hybrid AC/DC Microgrids When a Single-Phase-to-Ground Fault Occurs
 
 
Font Type:
Arial Georgia Verdana
Font Size:
Aa Aa Aa
Line Spacing:
Column Width:
Background:
Article

Implementation of Series Resonance-Based Fault Current Limiter for Enhanced Transient Stability of Grid-Connected Photovoltaic Farm

1
Department of Electrical and Electronics Engineering, Shamoon College of Engineering, Beer-Sheva 84100, Israel
2
Department of Software Science, Tallinn University of Technology, 19086 Tallinn, Estonia
3
Department of Electrical Engineering, School of Energy Technology, Pandit Deendayal Petroleum University, Gandhinagar 382007, India
4
Department of Computer Systems, Tallinn University of Technology, 19086 Tallinn, Estonia
5
The Andrew and Erna Viterbi Faculty of Electrical & Computer Engineering, Technion—Israel Institute of Technology, Haifa 3200003, Israel
*
Author to whom correspondence should be addressed.
Electronics 2024, 13(15), 2987; https://doi.org/10.3390/electronics13152987
Submission received: 20 May 2024 / Revised: 30 June 2024 / Accepted: 23 July 2024 / Published: 29 July 2024
(This article belongs to the Special Issue New Trends in Power Electronics for Microgrids)

Abstract

This paper presents the implementation of an improved resonance-type FCL, designed to enhance the transient stability of a photovoltaic farm. This FCL overcomes the well-known drawbacks associated with the conventional resonance-based FCLs. This FCL limits the fault during the fault period, quickly achieves stability during the recovery period, independent of the reactor’s charging state, and notably reduces DC-link voltage fluctuations during faults. A power system simulation setup comprising a PV farm, synchronous generator, transformers, circuit breakers, transmission system, and several branches of loads is used for testing the proposed FCL. The simulation results validate that the proposed FCL better improves the system’s stability and leads to improved fault current, PCC voltage, active power, reactive power, and DC-link voltage compared to other common types of resonant FCLs.

1. Introduction

Depletion of traditional carbon-based energy sources, as well as the rapid increase in power demand all over the world and environmental pollution concerns, has increased the popularity of renewable energy sources [1]. Solar energy demand is constantly rising due to wide accessibility and reducing cost of photovoltaic panel installation, leading to increased integration of high-scale PV farms into the electrical grid [2,3]. Despite the significant advantages associated with integrating PV power sources into the grid, it increases systems’ sensitivity to grid faults. Grid-connected PV sources can affect the voltage profile depending on several factors such as the amount of PV penetration level, load fluctuations, and effects of the PV system transients caused by clouds. Therefore, the power inverters must have excess power capability to absorb or generate reactive power to allow additional voltage regulation [4]. The transient faults cause an imbalance of generated power by the PV system, a rapid increase of the DC-link voltage, and overcurrent. The power imbalance adds additional stress on the components and has the potential to damage them permanently [5].
Large-scale penetration of PV power sources into the grid leads to enhanced short-circuit currents. Therefore, it is crucial to maintain the stability of the power system, continuous power flow, and its optimal operation point during transient fault events.
The duration of a fault in a power system is significantly influenced by the nature and location of the fault. The fault that is located closer to the power source will cause higher fault currents. Moreover, three-phase faults tend to be more severe than single-phase faults, resulting in longer durations and more complex recovery processes [6]. The design and complexity of the power system, especially with the integration of distributed energy resources like PV and wind, can lead to more prolonged and complicated fault and recovery periods due to the need for coordinated responses [7]. Additionally, the characteristics of system components, such as circuit breakers’ response times and the dynamic behavior of power electronic devices like inverters, also play a critical role in determining fault duration.
Traditional circuit breakers have a relatively long response time during which severe damage can be caused to the components of the power system. Furthermore, the excessive dynamic stress endured during severe faults can result in circuit breaker failures, leading to cascading power outages that can persist for an extended period [8]. Applying fault current limiters (FCLs) in power grids overcomes the limitations of traditional circuit breakers. This protection approach offers fast response and flexible protection, enhancing safety, reliability, and overall power quality [9]. Moreover, the FCLs allow the operation of the faulted power line during the faults without opening it. This prevents undesired transient processes in the feeding power sources (e.g., inverter of PV power source) and their faster recovery when the fault ends.
The most common approaches for FCL development can be categorized into three main groups: superconducting FCL (SFCL), solid-state FCL (SSFCL), and hybrid FCL (HFCL). The main element in the SFCL is the superconductor material. This type of FCL is characterized by near-zero operational power losses and good fault-limiting properties [10]. However, superconductivity requires a thermal management system and has a higher footprint leading to additional operational costs. The most popular types of SFCL are resistive-type SFCL [11,12], inductive-type SFCL [13,14], and flux-locked-type SFCL [15].
The SSFCL is a power electronics-based device designed to operate seamlessly within the existing power system, effectively addressing issues arising from short-circuit faults. The SSFCL continuously monitors system parameters like line current and voltage and dynamically introduces additional impedance into the line when a fault occurs. Recent advancements in semiconductor technology have resulted in fast-responding switching components with higher voltage and current ratings, enabling SSFCLs to integrate into medium- and high-voltage systems and making them economically viable. SSFCLs offer various advantages, including modularity, a flexible structure, and significantly reduced costs compared to SFCLs. Nevertheless, there are several drawbacks. One of the primary drawbacks of FCLs, especially SFCLs, is their high cost [16]. This includes the initial investment and ongoing costs associated with advanced materials, cooling requirements, and power losses associated with the internal resistance of the components for the non-superconducting FCLs [17]. Moreover, FCLs can add significant complexity to power systems.
The common types of SSFCLs are switched impedance SSFCL [18], resonance type SSFCL [19], and bridge type SSFCL [20].
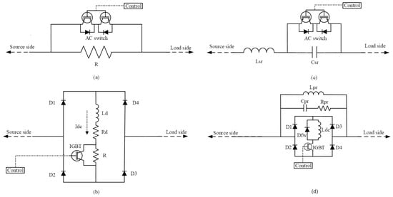
The series dynamic braking resistor (SDBR) FCL shown in Figure 1a represents one of the most widely adopted and straightforward topologies. The SDBR-FCL is comprises a series resistor with a parallel AC switch, implemented by a pair of IGBT transistors [21]. Under normal operation conditions, the AC switch is activated to bypass the resistor allowing lossless operation. During fault occurrence, the bypass switch is deactivated, forcing the fault current through the limiting resistor. The increased resistance suppresses the rise of fault current and reduces the peak to a maintainable level. SDBR has several advantages such as straightforward design with simple control, high cost-efficiency, and no power losses during normal operation.
Another prevalent topology is the bridge-type FCL (B-FCL) [22,23,24]. The common structure has four diodes forming a bridge-like configuration, creating a rectified voltage at the center, as shown in Figure 1b. The simplified topology of the bridge-type FCL uses four diodes, and a reactor is placed inside the bridge [20]. During both operation periods, the current flows through the reactor in the same direction through the entire cycle. As a fault occurs, a rapid increase in fault current is suppressed by the reactor. The advantage is the simple structure combined with the passive current limitation that provides a practical solution. However, the main drawback of this topology is its relatively low current limitation capability, as the fault current will be limited only to several cycles of the fault current until the reactor is fully charged. Moreover, this topology has power losses associated with the reactor’s internal resistance during normal operation. Extended variations of this topology include additional components connected to the bridge part such as reactors and/or resistors, forming a high-impedance path during fault operation of the system [23,24,25].
The resonant FCLs can be divided into three main topologies: series resonance [26,27], parallel resonance [28,29], and series–parallel resonance FCLs [30]. The conventional series resonance-based FCL topology is shown in Figure 1c. This topology has a series resonance between the inductive and capacitive components at the grid’s frequency resulting in almost zero impedance for the series path during normal operation of the system. It allows current to flow through this path without restriction and power losses. In the event of a fault, the operation of the resonance circuit is interrupted when the controller bypasses the capacitor, causing an increase in the total impedance and providing enhanced fault current limitation. The major advantage of the series resonance topology is the simplicity of construction and low price. However, the main disadvantage of the series resonance topology is the current limitation capability only until the reactor is fully charged.
The parallel resonance FCL (PR-FCL) is another approach used to enhance the performance of the B-FCL. This involves introducing a parallel resonance branch, as referenced in [28]. The standard PR-FCL topology, depicted in Figure 1d, consists of a bridge-type FCL supplemented with a parallel branch. This branch includes a parallel LC circuit that operates in resonance at the network frequency, creating a path with very high impedance [29]. During normal operation, the IGBT switch is ON, allowing current to flow through the bridge charging reactor. During a fault condition, the switch is turned OFF to divert the current flow away from the reactor, enabling the current to be shared between the series and parallel branches. This flexibility enables the PR-FCL to adapt to different fault scenarios. However, this approach has several disadvantages. The first drawback is the large oscillations between the inductor and capacitor during transient states, which may affect system stability under fault conditions. Another drawback is that integrating a parallel branch requires additional components to achieve higher current limitation capability.
This paper presents a new improved resonant FCL topology. The main contributions of the proposed LC resonance-based FCL are:
  • It provides better transient stability than other studied FCLs.
  • It allows improved fault current suppression and DC-link voltage stabilization.
  • It reduces the amount of injected power by the PV system during the fault.
  • It has fewer components compared to standard B-FCL.
  • It reduces power losses by maintaining near-zero impedance during normal operation.
  • It provides a passive current limitation, quickly limiting fault current even during the FCL’s response period, eliminating the uncontrolled rise of fault current, and enhancing safety.
Despite all the above-mentioned advantages, the proposed FCL also has a tradeoff: to ensure zero power losses during normal operation, the resonant inductor and capacitor must have precise values that may not be available from the components’ manufacturers.
The rest of the paper is organized as follows: Section 2 presents the proposed FCL, Section 3 describes the tested power system, Section 4 presents the simulation results and their analysis, Section 5 presents the experimental results, and Section 6 presents the conclusions and future research.

2. The Proposed FCL Topology and Its Control

The improved configuration of series LC resonance-based FCL is illustrated in Figure 2. The reactor L S R is connected in series to the capacitor ( C S R ) and the AC switch, and the limiting resistor R S h is connected between the reactor and capacitor, in parallel to the capacitor and AC switch. The values of the components were selected to create a series LC resonance at the network frequency as shown in Equation (1). To reduce power losses, the value of the limiting resistor ( R S h ) should have a relatively high resistance.
L s r = 1 ( 2 π f ) 2 C s r
During normal operation of the system, the AC switch is set to conduct to allow the resonance state. Consequently, the impedance and power losses in the inductor–capacitor branch approach zero. The relatively high resistance of the parallel resistor constrains the current flow to the resonance branch.
Figure 3 presents the equivalent circuit of the power system with FCL protection. The impedance of the power line during normal operation is given by Z L i n e = R L i n e + j X L i n e while the load impedance is expressed as Z L o a d = R L o a d + j X L o a d . The sinusoidal voltage source is given by V s t = 2 V ( s i n ω t ).
The total impedance of the power system during normal operation is given by
Z n r m = R l i n e + R L o a d + j ( X l i n e + X L o a d ) ,
while the modulus and the angle are
Z n r m = ( R l i n e + R L o a d ) 2 + ( X l i n e + X L o a d ) 2 ,
θ n r m = t a n 1 2 π f ( L l i n e + L L o a d ) R l i n e + R L o a d .
The KVL equation of the power system is given by
V S = ( R l i n e + R L o a d ) i l i n e + ( L l i n e + L L o a d ) d i l i n e d t + 2 V T F ,
where V T F denotes voltage drop across IGBTs.
Solving (5) leads to the line current calculation
i l i n e ( t ) = e ( R l i n e + R L o a d ) L l i n e + L L o a d ( t t 0 ) [ i l i n e ( I . C . ) 2 V | Z n r m | sin ( 2 π f t 0 θ n r m ) + 2 V T F R l i n e + R L o a d ] + 2 V | Z n r m | sin ( 2 π f t θ n r m ) 2 V T F R l i n e + R L o a d ,
where i l i n e ( I . C . ) denotes the initial condition of the line current and t 0 the initial condition of the time.
In the event of a fault, the current rises rapidly, quickly reaching hazardous levels, which threaten the system. To prevent damage to components, the control system of the FCL must promptly detect the fault development and execute the transition to the current limitation mode. The threshold should be set near the value of the nominal line current as the limited current is targeted to stay at the pre-fault level.
The control unit is continuously monitoring the PCC voltage. In the event of a fault, a sudden voltage drop is caused by a short circuit with low impedance. The controller recognizes the voltage drop exceeding the permitted threshold, forcing the AC switch to open which causes a swift increase in the FCL’s impedance that restricts the rise of fault current. Nevertheless, both the fault detection and the switch have a response time, during which the power system is potentially vulnerable to damage. Throughout this response period, the rise of the fault current is suppressed only by the reactor L S R until the controller activates the AC switch.
Implementing fast and accurate fault detection and classification algorithms, such as artificial neural networks and machine learning models, may reduce detection time [31,32]. However, large-scale deployment of these solutions is challenging due to data requirements, computational complexity, and cost. Another solution is using new gallium nitride (GaN) and silicon carbide (SiC) MOSFET technologies which are now available, with ultrafast switch response times of around 25–30 ns, allowing further reduction in response time [33,34]. In the experimental setup, we used silicon carbide (SiC) MOSFETs with ultrafast (22 ns) response time. This response time is so fast that the fault current cannot gain high values—the fault current rising rate is not high enough.
Following the activation of the AC switch, the flow of the fault current is redirected to the high-impedance pathway composed of L S R and R S H , restricting the fault current with better efficiency.
The FCL impedance in fault operation is given by
Z F = R l i n e + R s h + j ( X l i n e + j X L s r ) + ( R F a u l t + j X F a u l t ) ( R L o a d + j X L o a d ) ( R F a u l t + R L o a d ) + j ( X F a u l t + j X L o a d ) = R F + j X F ,
where
| Z F | = R F 2 + X F 2
θ F = a r c t a n X F R F
The KVL equation of the studied power system during fault operation is
V S = R F i l i n e + X F 2 π f d i l i n e d t + 2 V T F .
Consequently, the fault current can be calculated by
i L i n e _ F ( t ) = e R F X F / 2 π f ( t t 1 ) [ i L i n e _ F ( I . C . ) 2 V sin ( 2 π f t 1 θ F ) | Z F | + 2 V T F R F ] + 2 V m sin ( 2 π f t θ F ) | Z F | 2 V T F R F .
where i L i n e _ F ( I . C . ) and t 1 are initial conditions of the fault current and time, respectively.
Figure 4 depicts the block diagram of the fault detection method and control scheme of the FCLs. The control unit transforms the three-phase values of the PCC voltage into the dq reference frame. The threshold voltage V t h value is set to 0.9 pu. Following this, V t h is subtracted from V d q , φ , resulting in a positive value during normal system operation and a negative value during a fault. This signal serves as the gate control signal for the IGBT-based AC switch within the control unit. Employing the dq0 transformation results in better tracking and stable fault detection than the direct monitoring of the three-phase voltage [35,36].

3. The Tested Power System

The simulated power system has a 400 kW PV farm with a 100 MW synchronous generator connected to the PCC (see Figure 5). The power system’s load is divided at the PCC into three parallel branches, each linked to the PCC via power lines. The load distribution includes a 30 MVA load located 2 km away, a 3 MVA load 14 km away, and a 2 MVA load 10 km away from the PCC. A pair of transformers are used to transform the voltage of the power sources, a step-up at a voltage of 0.5/25 kV for the PV farm and a step-down of 120/25 kV for the synchronous generator. The tested FCLs are positioned between the step-up transformer and the PCC. A simulated fault is introduced in one of the load branches, resembling a power line failure. The faulty branch is protected by a three-phase circuit breaker with a response time of 60 ms.
The PV farm consists of four PV arrays delivering each a maximum power of 100 kW and a total of 400 kW for the whole system, at the sun irradiance of 1000 W / m 2 . Each PV array is connected through a DC/DC boost converter. In contrast, the output converters are connected to a common DC bus rated at 500 V. Each converter is controlled individually by the maximum power point trackers (MPPTs), utilizing the “Perturb and Observe” algorithm to adjust the output voltage across the terminals of the PV arrays to obtain the maximum power output. A three-phase voltage source converter (VSC) is used to convert the DC to AC voltage and transfer the generated power into the grid.
The purpose of the simulations is to investigate the transient stability of the PV farm in the tested power system using the proposed FCL and to compare its performance during faults to conventional PR-FCL, SR-FCL, B-FCL, and SDBR-FCL. The simulation parameters are shown in Table 1. The power system and FCLs were modeled in MATLAB/Simulink R2023b for all tested cases. The simulation type is set to “variable-step” with a discrete solver that adjusts the simulation step size to match the actual rate of discrete state changes in the model, avoiding unnecessary steps and shortening simulation time. The discrete solver relies on each block in the model to update its discrete states. In this simulation, Simulink models the circuit by solving time-domain differential equations. The step time of the simulation is set to 5 µs, the time tolerance to 2.84 × 10−13 s, and the number of consecutive zero crossings to 1000.
The proposed FCL’s design parameters include the values of the series-connected inductor (Lsr), capacitor (Csr), and shunt resistor (Rsh). The first step of the design process is to set the values of the shunt resistor (Rsh) and the inductor (Lsr) for the fault operation mode. The values of Rsh and Lsr are selected to keep the DC-link voltage below 1.1 pu during a fault to limit the fault current to desired and acceptable values that ensure the safe operation of the PV farm and protected power line. The next step of the design process is calculating the value of the capacitor (Csr). The capacitor is used only during normal operation. To ensure zero power losses during normal operation, the inductor (Lsr) and capacitor (Csr) must be in resonance according to Equation (1).
The system was studied for a three-phase to-ground fault. This fault occurred in proximity to the PCC, after the circuit breaker, as illustrated in Figure 5. The transient stability evaluation was conducted for both the fault and the restoration periods. The fault started at 2.5 s, continuing until the circuit breaker was activated at 2.56 s, resulting in a fault duration of 60 m seconds. Therefore, the fault period T F P is defined as T F P 2.5   s , 2.56   s , while the return-to-normal operation period is defined as ( 2.56   s , 2.75   s ) .
The following formula allows the numerical evaluation of the transient stability of each studied parameter:
E i n d e x = t P S t P E Δ X d t
X denotes evaluated parameters such as current, voltage, active and reactive power, torque, and DC-link voltage, t P S stands for the starting time point of the corresponding fault or return period, and t P E stands for the end time point of the corresponding period. The difference between the measured parameter value and the nominal (pre-fault) value at a single point in time is summed by integrating over the tested period (the fault period or the return-to-normal period). A lower value of the evaluation index indicates better transient stability. The transient stability index allows precise comparison of the performance of each studied FCL, per parameter, for both fault and return-to-normal periods.

4. Simulation Results

The transient stability of the PV farm was evaluated based on DC-link voltage fluctuations, fault current magnitude, PCC voltage sags, and the amount of injected active and reactive power. In this simulation, two fault scenarios were considered. In the first scenario, the fault resistance (Rf) was set at 7.5 Ω, in the second scenario, it was set at 5 Ω. In all simulated cases, a three-phase to-ground fault was applied. The fault was located between the PCC and the circuit breaker of a load branch, as shown in Figure 5. The transient stability analysis was performed for the fault operation period, starting at 2.5 s and ending when the circuit breaker tripped at 2.56 s for all studied cases. Therefore, the fault period is defined as T F P ( 2.5   s , 2.56   s ) . The duration of the return-to-normal operation is defined as the period it takes for the power system parameters to return to pre-fault values. Therefore, the return-to-normal period is defined as T R P ( 2.56   s , 2.75   s ) .
The simulation results for the tested fault scenarios with all examined parameters are displayed in Figure 5, Figure 6, Figure 7, Figure 8 and Figure 9. The evaluated stability index values for all studied cases are summarized in Table 2 and Table 3. The evaluated parameters are represented in the per-unit system to normalize these quantities. Table 2 shows the evaluated stability index values for all studied cases with a three-phase to-ground fault with a resistance of 7.5 Ω.
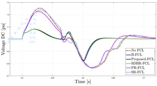
The simulation results of DC-link voltages for all studied cases are presented in Figure 6. Throughout the fault period, there is a rise in the DC-link voltage. The proposed FCL, SDBR-FCL, and B-FCLs had the most effective limitation of the voltage rise, suppressing it to 1.04 pu and quickly stabilizing at the pre-fault level. The PR-FCL limited the voltage spike to 1.09 pu, while the SR-FCL was slightly worse, restricting the spike to 1.10 pu. Both SR- and PR-FCLs struggled to maintain the voltage at the pre-fault level. Furthermore, the proposed FCL, SDBR-, and B-FCLs operated with the best transient stability index of 0.07. The PR-FCL performed significantly worse with a transient stability index of 0.35. The worst result of 0.41 was obtained with SR-FCL (see Table 2). For reference, the non-protected system had the highest index of 0.48 indicating the lowest stability.
Regarding the return-to-normal period, the proposed FCL showed superior performance compared to other FCLs, having a voltage sag of only 0.98 pu with minimal fluctuations and a stability index of 0.06. The SDBR- and B-FCLs showed nearly identical performance, with the voltage sag down to 0.97 pu and stability indexes of 0.08. The three FCLs reached stabilization near the 2.61 s time point. Oppositely, the PR-FCL and SR-FCL demonstrated worse performance with stability indexes of 0.53 and 0.42, and voltage sags dropping to 0.82 pu and 0.79 pu, respectively. Notably, substantial fluctuations persisted throughout the period, ultimately stabilizing later at 2.68 s. The system without FCL experienced a voltage spike up to 1.12 pu during the fault period and for the recovery period sagged as deep as 0.78 pu and stabilized at the 2.7 s time point, with a stability index of 0.61.
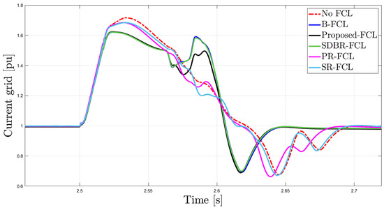
The fault currents for all cases are shown in Figure 7. During the fault period, the proposed FCL restricts the fault current spike to 1.5 pu, stabilizing at 1.28 pu, performing similarly to SDBR-FCL and B-FCL, which is the most effective performance among the compared FCLs. In contrast, PR- and SR-FCLs performed significantly worse, struggling to limit the initial fault current spike, peaking at 1.64 pu and 1.63 pu, only slightly lower than the system without FCL, which peaked at 1.64 pu. The examination of stability indexes draws a similar picture, as the SDBR-FCL and the B-FCL excelled with a stability index of 1.86, while the proposed FCL showed an insignificant difference and achieved an index of 1.87. The PR-FCL and SR-FCL were the least effective with stability indexes of 2.91 and 2.93, respectively, while the stability index of the system without FCL was 2.99.
During the return period starting at 2.56 s, the current fluctuates before stabilizing at the pre-fault levels. The proposed FCL shows superior performance among the tested FCLs, reaching a peak current of 1.33 pu and a dip of 0.94 pu and quickly stabilizing at time 2.62 s to pre-fault level, achieving a stability index of 1.07. The SDBR-FCL and B-FCL performed less effectively, peaking at 1.43 pu for the SDBR-FCL and 1.44 pu for the B-FCL, followed by sagging to 0.93 pu with worse stability indexes of 1.28 and 1.26, respectively. The PR- and SR-FCLs had the weakest performance, peaking at 1.35 pu and 1.4 pu, sagging to 0.69 pu and 0.62 pu, and stabilizing at 2.63 s and 2.64 s, with stability indexes of 2.11 and 2.42, respectively. The unprotected system had the deepest sag among the tested cases, down to 0.61 pu, and a stability index of 2.62.
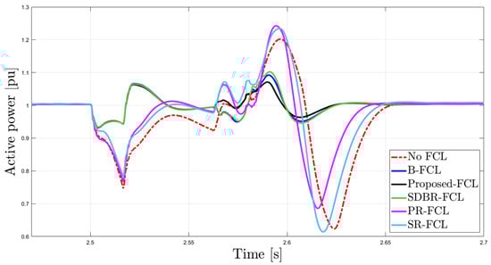
The active power simulations are shown in Figure 8. During the fault period, the proposed FCL, B-FCL, and SDBR-FCL effectively limit the drop in active power to 0.93 pu. Considering the stability indexes, the proposed FCL outperforms the other FCLs, providing a slight advantage with an index of 0.19 compared to the identical stability index of 0.20 for the other two cases. The SR-FCL performed slightly worse, allowing a larger drop in power to 0.79 pu, leading to an increased stability index value of 0.35. The PR-FCL provided the least effective performance due to a large power drop of 0.77 pu, leading to the worst stability index of 0.36. At the same time, the system without FCL experienced a power drop of 0.74 pu and a stability index of 0.55. During the return period, the proposed FCL offers superior transient stability in terms of active power with an index of 0.17, peaking at 1.07 pu and the lowest sag at 0.96 pu, minimal fluctuations, and quick stabilization to the pre-fault level at 2.62 s. The SDBR-FCL and B-FCL performance was slightly worse with indexes of 0.28 and 0.25, peaking at 1.10 pu and 1.09 pu, and dipping down to 0.94 pu and 0.95 pu, respectively. Both FCLs stabilized at the pre-fault level at the 2.625 s time point. Once more, the PR- and SR-FCLs demonstrate poor performance, with significant fluctuations during the entire period, peaking at 1.24 pu and 1.23 pu, which is worse than the system without an FCL with a peak of 1.2 pu. Similarly, both cases show deep sags of 0.68 pu and 0.61 pu, stabilizing relatively late at 2.64 s and 2.65 s, resulting in stability indexes of 0.91 and 1.19, respectively. The stability index of the system without FCL is 1.17.
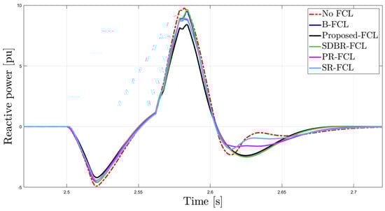
Reactive power simulation results are detailed in Figure 9. During the fault period, the proposed FCL limited the sag in reactive power to −4.2 pu, achieving the best stability index of 10.95 among the tested FCLs. The PR-FCL and SR-FCL showed slightly inferior performance, limiting the drop to −4.5 pu with a stability index of 11.78 and 11.81, respectively. The worst outcomes were observed with the SDBR- and B-FCLs, which allowed a deeper drop in reactive power to −4.6 pu contributing to the worst stability indexes of 11.86 and 11.87. The system without an FCL experienced the deepest drop to −4.9 pu with a stability index of 13.07.
During the return period, the proposed FCL performed best in terms of limiting the reactive power spike to 8.4 pu. The SR-FCL and PR-FCL have a slightly worse performance due to higher peaks of 9.0 pu and 8.9 pu but stabilize quickly. The worst performance is observed with the SDBR- and B-FCLs, which limit the peak of reactive power to 9.5 pu and 9.6 pu, respectively. The examination of stability indexes confirmed the superior performance of the proposed FCL with a stability index of 29.81, followed closely by the SR-FCL at 29.91. The PR-FCL, B-FCL, and SDBR-FCL had worse performance, with stability indexes of 31.28, 32.75, and 33.02, respectively, marking the SDBR as the worst case. Without an FCL, the system peaked at 9.8 pu with a stability index of 31.85. The stabilization for all examined cases occurred nearly simultaneously, at the time point of 2.68 s.
The behavior of PCC voltage during fault and recovery periods is depicted in Figure 10. The SDBR-FCL and B-FCL exhibit the most effective performance, limiting the voltage dip to 0.72 pu and stabilizing at 0.77 pu, with transient stability indexes of 1.29 for the SDBR-FCL and 1.28 for the B-FCL. The system equipped with the proposed FCL had a slightly less effective performance; the voltage sag is limited to 0.71 pu and recovers gradually to 0.77 pu, resulting in a stability index of 1.33. For systems with PR-FCL and SR-FCL, the voltage sag worsens to 0.57 pu, the poorest result among the cases compared; however, they gradually recover to 0.65 pu and 0.64 pu for PR-FCL and SR-FCL, respectively, with stability indexes of 1.93 and 2.00.
During the return period, the proposed FCL performed similarly to the SDBR-FCL and B-FCL, demonstrating the most effective performance with the quickest recovery, achieving a stability index of 0.41. The PR-FCL and SR-FCL displayed significant performance declines, each securing a stability index of 0.54, with the SR-FCL being the least effective FCL, particularly in voltage stability. For comparison, the system without any FCL achieved a transient stability index of 0.61 for this period.
Compared to the SDBR-FCL, during the first fault scenario, the proposed FCL outperformed and showed significantly better results for all tested parameters during the return period, with the most significant advantages observed for DC-link voltage, current, active power, and reactive power parameters. During the fault period, the proposed FCL achieved better transient stability indexes for active power and reactive power. Moreover, both proposed and SDBR-FCLs showed the best performance in DC-link voltage recovery. However, the SDBR-FCL had insignificantly better performance in only one test: the PCC voltage drop during the fault period.
Similar outcomes were observed when compared to the B-FCL. In the first fault scenario, the proposed FCL outperformed the B-FCL, showing significantly better results for all tested parameters during the return period, with notable advantages in DC-link voltage, current, active power, and reactive power. During the fault period, the proposed FCL achieved better transient stability indexes for active power and reactive power parameters. Both FCLs excelled in DC-link voltage recovery. However, the B-FCL had a marginally better performance in one test: the PCC voltage drop during the fault period.
A comparison of the proposed FCL to the SR-FCL and PR-FCL shows that the proposed FCL offers enhanced transient stability of the power system, due to a major performance advantage in every tested parameter in both fault and return periods.
The simulation results for the second tested fault scenario, with a three-phase to-ground fault resistance of 5 Ω, are displayed in Figure 11, Figure 12, Figure 13, Figure 14 and Figure 15. The evaluated stability index values for all studied cases for fault resistance of 5 Ω are summarized in Table 3.
Figure 11 presents the simulation results of DC-link voltages for all studied cases. Throughout the fault period, there was a rise in DC-link voltage. The proposed FCL, SDBR-FCL, and B-FCL effectively limited the voltage rise to 1.08 pu and quickly stabilized it at the pre-fault level. In contrast, the PR-FCL performed significantly worse, limiting the voltage spike to 1.22 pu, while the SR-FCL performed the worst, restricting the spike to 1.24 pu. Both SR- and PR-FCLs struggled to maintain the voltage at the pre-fault level. The proposed FCL, SDBR-FCL, and B-FCL achieved the best transient stability index of 0.27. The PR-FCL had a significantly worse index of 0.92, and the SR-FCL had the worst result with an index of 1.01 (see Table 3). For reference, the non-protected system had the highest index of 1.03, indicating the lowest transient stability.
Regarding the return to normal period, the proposed FCL and SDBR-FCL demonstrated superior performance compared to other FCLs, showing a voltage sag of only 0.82 pu with minimal fluctuations and the lowest stability index of 0.41. The B-FCL performed similarly, with a voltage sag of 0.83 pu and a transient stability index of 0.44. These three FCLs reached stabilization around the 2.62 s time point. In contrast, the PR-FCL and SR-FCL showed worse performance, with stability indexes of 1.13 and 1.25, and voltage sags dropping to 0.77 pu and 0.76 pu, respectively. Notably, substantial fluctuations persisted throughout the period for both cases, ultimately stabilizing later at 2.71 s. The system without FCL experienced a voltage spike up to 1.12 pu during the fault period and, during the recovery period, sagged as low as 0.76 pu, stabilizing at the 2.72 s time point with a stability index of 1.26.
Figure 12 shows the fault currents for all cases. During the fault period, the proposed FCL restricts the fault current spike to 1.62 pu, performing similarly to the SDBR-FCL and B-FCL, which is the most effective performance among the compared FCLs. In contrast, the PR-FCL and SR-FCL performed significantly worse, struggling to limit the initial fault current spike and peaking at 1.6 pu, only slightly lower than the system without an FCL, which peaked at 1.71 pu. The examination of stability indexes paints a similar picture: the proposed FCL, SDBR-FCL, and B-FCL excelled with a transient stability index of 2.85. The PR-FCL and SR-FCL were the least effective, with stability indexes of 3.14 and 3.15, respectively, while the stability index of the system without an FCL was 3.26.
During the return period, the proposed FCL shows superior performance among the tested FCLs, reaching a peak current of 1.49 pu and a dip of 0.69 pu, and quickly stabilizing at 2.64 s to the pre-fault level, achieving a stability index of 2.37. Despite a smoother recovery at the beginning of the return period, the PR-FCL and SR-FCL performed less effectively, with significant fluctuations and deeper sags of 0.66 pu and 0.67 pu, respectively, resulting in worse stability indexes of 2.42 and 2.48. The SDBR-FCL and B-FCL had the weakest performance, both peaking at 1.59 pu, sagging to 0.69 pu and 0.62 pu, and stabilizing at 2.63 s and 2.64 s, with stability indexes of 2.55 and 2.59, respectively. The unprotected system had the deepest sag among the tested cases, down to 0.67 pu, with a stability index of 2.55.
The active power simulations are shown in Figure 13. During the fault period, the proposed FCL, B-FCL, and SDBR-FCL effectively limit the drop in active power to 0.82 pu. Considering the stability indexes, the proposed FCL outperforms the other FCLs, providing a slight advantage with an index of 0.29 compared to the identical stability index of 0.31 for the other two cases. The PR-FCL performed significantly worse, allowing a larger drop in power to 0.57 pu, leading to an increased transient stability index of 1.38. The SR-FCL provided the least effective performance due to a large power drop to 0.59 pu, resulting in the worst stability index of 1.39. At the same time, the system without an FCL experienced a power drop to 0.55 pu and a stability index of 1.61.
During the return period, the proposed FCL, the SDBR-FCL, and B-FCLs offer superior transient stability in terms of active power, with a slight advantage to the proposed FCL, which has an index of 1.08 compared to 1.09 for the SDBR-FCL and 1.13 for the B-FCL. Throughout the entire period, all three cases performed similarly and recovered to the pre-fault value at 2.64 s, with the proposed FCL having a minor advantage in terms of peak reduction. The PR- and SR-FCLs demonstrated poor performance, with significant fluctuations throughout the entire period and extended recovery near 2.69 s, resulting in transient stability indexes of 1.93 and 1.98, respectively. The stability index of the system without an FCL is 2.18.
Reactive power simulation results are detailed in Figure 14. During the fault period, the proposed FCL limited the sag in reactive power to −4.3 pu, achieving the best stability index of 12.67 among the tested FCLs. The PR-FCL and SR-FCL showed slightly inferior performance, limiting the drop to −4.4 pu, with transient stability indexes of 12.99 and 13.22, respectively. The worst outcomes were observed with the SDBR- and B-FCLs, which allowed a deeper drop in reactive power to −4.8 pu, contributing to the worst stability indexes of 13.96 and 13.93, respectively. The system without an FCL experienced the deepest drop to −4.82 pu, with a transient stability index of 14.59.
During the return period, the proposed FCL performed best in terms of transient stability, with a peak of 10.85 pu and a smooth recovery curve, resulting in a transient stability index of 36.03. The SDBR- and B-FCLs performed closely behind, with peaks of 11.92 pu and transient stability indexes of 38.86 and 38.71, respectively. All three cases recovered to the pre-fault level at 2.69 s. Despite having significantly lower peaks of 9.6 pu, the SR-FCL and PR-FCL recovered relatively late at 2.75 s with fluctuations, resulting in higher transient stability indexes of 43.26 for the PR-FCL and 47.18 for the SR-FCL. For comparison, the system without any FCL showed even more fluctuations and received a transient stability index of 51.25.
Figure 15 depicts the PCC voltage during fault and recovery periods. The SDBR-FCL and B-FCL exhibit the most effective performance, limiting the voltage dip to 0.61 pu and stabilizing at 0.66 pu, with transient stability indexes of 1.85 for the SDBR-FCL and 1.84 for the B-FCL. The system equipped with the proposed FCL had slightly less effective performance; the voltage sag was limited to 0.59 pu and gradually recovered to 0.66 pu, resulting in an increased transient stability index of 1.90. For systems protected with PR-FCL and SR-FCL, the voltage sag worsened to 0.45 pu, like the non-protected system, achieving the poorest results among the cases compared. However, they gradually recovered to 0.52 pu and 0.50 pu for PR-FCL and SR-FCL, respectively, with stability indexes of 2.68 and 2.69. The non-protected system achieved an index of 2.77.
During the return period, the proposed FCL performed similarly to the B-FCL, both demonstrating the most effective performance with the quickest recovery, achieving a stability index of 0.53. The SDBR-FCL showed very close performance, achieving a transient stability index of 0.54. The PR-FCL and SR-FCL displayed significant performance declines with longer recovery times, securing transient stability indexes of 0.72 and 0.74, respectively, with the SR-FCL being the least effective. For comparison, the system without any FCL achieved a transient stability index of 0.80 for this period.
In the second fault scenario, the same tendency was observed as in the first fault scenario: during the return period, the proposed FCL had a performance advantage over the SDBR-FCL in current, active power, reactive power, and PCC voltage recovery. For the rest of the parameters, both FCLs had nearly identical performance in current and DC-link voltage parameters. The SDBR-FCL had no advantages over the proposed FCL during the return period. Regarding the fault period, the proposed FCL had a significant performance advantage in the active power and reactive power parameters. Both the SDBR-FCL and the proposed FCL achieved the best performance for the current and DC-link parameters during this period. However, the SDBR-FCL had a slight advantage over the proposed FCL in terms of PCC voltage recovery.
The proposed FCL demonstrated a performance advantage over the B-FCL, during the return period, in DC-link voltage, current, active power, and reactive power. Both FCLs performed identically in current and PCC voltage, showing the best transient stability in these tests. The B-FCL had no advantages over the proposed FCL during the recovery period. Considering the fault period, the proposed FCL had a significant performance advantage in active power and reactive power parameters. Both FCLs performed best in current and DC-link parameters during this period. However, the B-FCL had a slight advantage over the proposed FCL in the PCC voltage parameter.
Similarly to the first fault scenario, the proposed FCL offers enhanced transient stability compared to the SR-FCL and PR-FCL, demonstrating a major performance advantage in every tested parameter for both fault and return periods.

5. Experimental Results

We could not access a real PV power plant and electric grid for experimental validation. Therefore, to validate the proposed FCL’s operation, the studied power system was implemented at a reduced voltage and current scale in the laboratory. Figure 16 shows the experimental setup, with a single 135 W solar panel with a pair of high-power spotlights as light sources, coupled with a 300 W on-grid inverter to synchronize the output voltage to 220 V at a frequency of 50 Hz. The tested system was loaded with a 40 W incandescent light bulb. The proposed FCL was constructed on the table via separate components such as a reactor, capacitor, resistor, and semiconductor-based switch, connected by external wiring. The switch was implemented using a pair of silicon carbide-based power MOSFETs, characterized by ultrafast response times, allowing the rapid insertion of the fault-limiting impedance into the fault circuit. A circuit breaker was integrated at the output of the inverter to prevent damage to the system in case of high fault currents.
The circuit diagram of the experimental setup is displayed in Figure 17. The solar panel is placed on a separate stand in a horizontal position with two spotlights installed above it, used as light sources for energy conversion. The solar panel is connected directly to the on-grid inverter, which converts the direct current from the solar panel to alternating current and synchronizes with the utility grid. The clamp-type current sensor for monitoring the phase current is connected between the FCL and the faulty branch. Fully detailed parameters of the tested setup are presented in Table 4.
Figure 17, Figure 18 and Figure 19 show experimental results of the phase current for several studied cases. In all the experimentally studied cases, the normal operation of the power system was followed by a phase-to-ground fault with a resistance of 0.1 Ω. Different values of the Rsh resistor were selected for the proposed FCL in each case.
Figure 18 shows the line current during normal and fault operation modes with the proposed FCL. In this case, the resistance of Rsh was set to 600 Ω. During normal operation, the nominal phase current is 250 mA (peak-to-peak). When the fault was initiated, the control unit kept the IGBT switch in the OFF position, limiting the initial peak of the fault current to 800 mA (peak-to-peak), which rapidly stabilized at 600 mA. The application of the proposed FCL prevented the circuit breaker from tripping the disconnection of the source during the fault.
Figure 19 shows the phase current for the case where the resistor Rsh was set to 800 Ω. When the fault was initiated, the current quickly rose above the nominal value of 250 mA (peak-to-peak). However, the rise of the fault current was quickly limited by the proposed FCL and stabilized at 430 mA (peak-to-peak). Compared to the first case, the application of the proposed FCL not only prevented the circuit breaker from tripping but also resulted in a lower peak of the fault current due to the increased resistance of Rsh.
Figure 20 depicts the phase current for the case where the resistor Rsh was set to 1000 Ω. When the fault was initiated, the phase current value slightly increased from the nominal 250 mA (peak-to-peak) to 375 mA (peak-to-peak). The rise in fault current was quickly restricted by the proposed FCL, preventing the operation of the circuit breaker. Compared to the previous cases, the increased resistance of Rsh resulted in an improved transition nearly from normal operation to fault operation and limited the fault current to near nominal value.

6. Conclusions

This paper introduces a new resonance FCL topology that addresses the limitations of conventional resonance-based FCLs while retaining their advantages. Tested in a power system with a 400 kW PV farm, a 100 MW synchronous generator, voltage transformers, and various load branches, the proposed FCL was evaluated through extensive simulations and experimental work.
The proposed FCL consistently outperformed the SDBR-FCL and B-FCL in multiple fault scenarios, showing superior results in DC-link voltage, current, active power, and reactive power during the return period. It demonstrated better transient stability indexes for active and reactive power during the fault period and excelled in DC-link voltage recovery. Compared to the SDBR-FCL, the proposed FCL had notable advantages except for a slight underperformance in PCC voltage sag. Its structure, featuring a series reactor, provides passive current limitation during both operation periods, enhancing safety.
Similarly, the proposed FCL outperformed the B-FCL in most parameters. It also showed a major improvement in transient stability compared to the SR-FCL and PR-FCL across all tested parameters. Furthermore, the proposed FCL has fewer components compared to B-FCL, resulting in reduced complexity.
The proposed FCL was tested in the experimental setup where it effectively protected the power system from short-circuit faults, quickly limiting fault currents and preventing circuit breaker trips.
The proposed FCL has shown promising results in PV-based power systems, significantly enhancing transient stability. Our future research will focus on new control methods of the proposed FCL performance, including adaptive impedance and machine learning algorithms, to further improve its effectiveness. Furthermore, future research will also focus on FCL’s effectiveness under additional power sources that were not tested in this paper.

Author Contributions

Conceptualization, J.B. and D.B.; Methodology, E.B., E.P. and Y.L.; Software, S.D. and L.H.; Validation, D.B.; Formal analysis, Y.L.; Investigation, S.D., E.P. and D.B.; Data curation, E.B. and L.H.; Writing—original draft, D.B.; Writing—review & editing, J.B. and D.B. All authors have read and agreed to the published version of the manuscript.

Funding

This research received no external funding.

Data Availability Statement

Data are contained within the article.

Conflicts of Interest

The authors declare no conflict of interest.

References

  1. Yang, B.; Li, W.; Zhao, Y.; He, X. Design and Analysis of a Grid-Connected Photovoltaic Power System. IEEE Trans. Power Electron. 2010, 25, 992–1000. [Google Scholar] [CrossRef]
  2. Hammons, T. Integrating renewable energy sources into European grids. Int. J. Electr. Power Energy Syst. 2008, 30, 462–475. [Google Scholar] [CrossRef]
  3. Wang, L.; Thi, M.S.N. Stability enhancement of large-scale integration of wind, solar, and marine-current power generation fed to an SG-based power system through an LCC-HVDC link. IEEE Trans. Sustain. Energy 2014, 5, 160–170. [Google Scholar] [CrossRef]
  4. Eftekharnejad, S.; Vittal, V.; Heydt, G.T.; Keel, B.; Loehr, J. Impact of Increased Penetration of Photovoltaic Generation on Power Systems. IEEE Trans. Power Syst. 2012, 28, 893–901. [Google Scholar] [CrossRef]
  5. Yang, F.; Yang, L.; Ma, X. An advanced control strategy of PV system for low-voltage ride-through capability enhancement. Sol. Energy 2014, 109, 24–35. [Google Scholar] [CrossRef]
  6. Shuai, Z. Transient Characteristics of Voltage Controlled IIDGs During Grid Fault. In Transient Characteristics, Modelling and Stability Analysis of Microgrid; Springer: Berlin/Heidelberg, Germany, 2021; pp. 45–79. [Google Scholar]
  7. Hooshyar, H.; Baran, M.E. Fault Analysis on Distribution Feeders with High Penetration of PV Systems. IEEE Trans. Power Syst. 2013, 28, 2890–2896. [Google Scholar] [CrossRef]
  8. Zhang, Y.; Dougal, R.A. State of the art of Fault Current Limiters and their applications in smart grid. In Proceedings of the 2012 IEEE Power & Energy Society General Meeting. New Energy Horizons—Opportunities and Challenges, San Diego, CA, USA, 22–26 July 2012; pp. 1–6. [Google Scholar]
  9. Lamont, D. Smart Electric Grid of the Future: A National Distributed Store-Gen; Lamont-Doherty Earth Observatory: Palisades, NY, USA, 2003. [Google Scholar]
  10. Jo, H.C.; Joo, S.K. Superconducting Fault Current Limiter Placement for Power System Protection Using the Minimax [Regret Criterion. IEEE Trans. Appl. Supercond. 2015, 25, 1–5. [Google Scholar] [CrossRef]
  11. Hagh, M.T.; Abapour, M. Nonsuperconducting fault current limiter with controlling the magnitudes of fault currents. IEEE Trans. Power Electron. 2009, 24, 613–619. [Google Scholar] [CrossRef]
  12. Moghadasi, A.; Sarwat, A.; Guerrero, J.M. Multi-objective optimization in combinatorial wind farms system integration and resistive SFCL using analytical hierarchy process. Renew. Energy 2016, 94, 366–382. [Google Scholar] [CrossRef]
  13. Zou, Z.C.; Xiao, X.Y.; Liu, Y.F.; Zhang, Y.; Wang, Y.H. Integrated protection of DFIG-based wind turbine with a resistive-type SFCL under symmetrical and asymmetrical faults. IEEE Trans. Appl. Superconduct. 2016, 26, 1–5. [Google Scholar] [CrossRef]
  14. Okedu, K.E. Enhancing DFIG wind turbine during three-phase fault using parallel interleaved converters and dynamic resistor. IET Renew. Power Gener. 2016, 10, 1211–1219. [Google Scholar] [CrossRef]
  15. Kozak, J.; Majka, M.; Kozak, S.; Janowski, T. Design and tests of coreless inductive superconducting fault current limiter. IEEE Trans. Appl. Superconduct. 2012, 22, 5601804. [Google Scholar] [CrossRef]
  16. Bafrooei, M.R.B.; Ashkezari, J.D.; Foroud, A.A.; Alhelou, H.H. Fault Current Limiters: Concepts and Applications; Springer: Berlin/Heidelberg, Germany, 2021. [Google Scholar]
  17. Prigmore, J.; Uzelac, N. Fault Current Limiting (FCL) Devices and Techniques. Switching Equipment. In CIGRE Green Books; Springer: Berlin/Heidelberg, Germany, 2019; pp. 399–432. [Google Scholar]
  18. You, H.; Jin, J. Characteristic analysis of a fully controlled bridge type superconducting fault current limiter. IEEE Trans. Appl. Supercond. 2016, 26, 1–6. [Google Scholar] [CrossRef]
  19. Ghanbari, T.; Farjah, E. Development of an Efficient Solid-State Fault Current Limiter for Microgrid. IEEE Trans. Power Deliv. 2012, 27, 1829–1834. [Google Scholar] [CrossRef]
  20. Alam, M.S.; Abido, M.A.Y. Fault ride through capability enhancement of a large-scale PMSG wind system with bridge type fault current limiters. Adv. Electr. Comput. Eng. 2018, 18, 43–50. [Google Scholar] [CrossRef]
  21. Huang, J.; Zhang, L.; Sang, S.; Xue, X.; Zhang, X.; Sun, T.; Wu, W.; Gao, N. Optimized Series Dynamic Braking Resistor for LVRT of Doubly-Fed Induction Generator with Uncertain Fault Scenarios. IEEE Access 2022, 10, 22533–22546. [Google Scholar] [CrossRef]
  22. Firouzi, M.; Aslani, S.; Gharehpetian, G.; Jalilvand, A. Effect of Superconducting Fault Current Limiters on Successful Interruption of Circuit Breakers. Renew. Energy Power Qual. J. 2012, 10, 120–124. [Google Scholar] [CrossRef]
  23. Baimel, D.; Chowdhury, N.; Belikov, J.; Levron, Y. New type of bridge fault current limiter with reduced power losses for transient stability improvement of DFIG wind farm. Electr. Power Syst. Res. 2021, 197, 107293. [Google Scholar] [CrossRef]
  24. Chaudhary, U.; Tripathy, P.; Nayak, S.K. Application of bridge-type FCL for betterment of FRT capability for DFIG-based wind turbine. In Proceedings of the 6th IEEE Power India International Conference (PIICON), Delhi, India, 5–7 December 2014; pp. 1–6. [Google Scholar]
  25. Firouzi, M.; Gharehpetian, G.B. LVRT Performance Enhancement of DFIG-Based Wind Farms by Capacitive Bridge-Type Fault Current Limiter. IEEE Trans. Sustain. Energy 2017, 9, 1118–1125. [Google Scholar] [CrossRef]
  26. Moghimian, M.M.; Radmehr, M.; Firouzi, M. Series resonance fault current limiter (SRFCL) with MOV for LVRT enhancement in DFIG-Based wind farms. Electr. Power Compon. Syst. 2019, 47, 1814–1825. [Google Scholar] [CrossRef]
  27. Arai, H.; Inaba, M.; Ishigohka, T. Fundamental characteristics of superconducting fault current limiter using LC reso-nance circuit. IEEE Trans. Appl. Supercond. 2006, 16, 642–645. [Google Scholar] [CrossRef]
  28. Naderi, S.B.; Jafari, M.; Hagh, M.T. Parallel-Resonance-Type Fault Current Limiter. IEEE Trans. Ind. Electron. 2012, 60, 2538–2546. [Google Scholar] [CrossRef]
  29. Sadi, M.A.H.; Ali, M.H. Transient stability enhancement of multi-machine power system by parallel resonance type fault current limiter. In Proceedings of the 2015 North American Power Symposium (NAPS), Charlotte, NC, USA, 4–6 October 2015; pp. 1–6. [Google Scholar]
  30. Haque, M.Y.U.; Hasan, J.; Shipon, M.R.R.; Sadi, M.A.H.; Hussein, A.A.; Roy, T.K. Low-Voltage Ride through Capability Augmentation of DFIG-Based Wind Farms Using Series-Parallel Resonance-Type Fault Current Limiter. Wind 2021, 1, 20–43. [Google Scholar] [CrossRef]
  31. Goni, M.F.; Nahiduzzaman, M.; Anower, M.; Rahman, M.; Islam, M.; Ahsan, M.; Haider, J.; Shahjalal, M. Fast and Accurate Fault Detection and Classification in Transmission Lines using Extreme Learning Machine. e-Prime 2023, 3, 100107. [Google Scholar] [CrossRef]
  32. Leh, N.A.M.; Zain, F.M.; Muhammad, Z.; Hamid, S.A.; Rosli, A.D. Fault Detection Method Using ANN for Power Transmission Line. In Proceedings of the 2020 10th IEEE International Conference on Control System, Computing and Engineering (ICCSCE), Penang, Malaysia, 21–22 August 2020; pp. 79–84. [Google Scholar]
  33. Ding, X.; Zhou, Y.; Cheng, J. A review of gallium nitride power device and its applications in motor drive. CES Trans. Electr. Mach. Syst. 2019, 3, 54–64. [Google Scholar] [CrossRef]
  34. Yaakub, M.F.; Radzi, M.A.M.; Noh, F.H.M.; Azri, M. Silicon carbide power device characteristics, applications and challenges: An overview. Int. J. Power Electron. Drive Syst. 2020, 11, 2194. [Google Scholar] [CrossRef]
  35. Islam, M.R.; Huda, M.N.; Hasan, J.; Sadi, M.A.H.; AbuHussein, A.; Roy, T.K.; Mahmud, M.A. Mahmud, Fault Ride Through Capability Improvement of DFIG Based Wind Farm Using Nonlinear Controller Based Bridge-Type Flux Coupling Non-Superconducting Fault Current Limiter. Energies 2020, 13, 1696. [Google Scholar] [CrossRef]
  36. Rashid, G.; Ali, M.H. Nonlinear Control-Based Modified BFCL for LVRT Capacity Enhancement of DFIG-Based Wind Farm. IEEE Trans. Energy Convers. 2017, 32, 284–295. [Google Scholar] [CrossRef]
Figure 1. Conventional fault current limiter topologies: (a) The series dynamic braking resistor FCL topology; (b) The bridge-type FCL topology; (c) The series resonance FCL; (d) The parallel resonance FCL topology.
Figure 1. Conventional fault current limiter topologies: (a) The series dynamic braking resistor FCL topology; (b) The bridge-type FCL topology; (c) The series resonance FCL; (d) The parallel resonance FCL topology.
Electronics 13 02987 g001
Figure 2. The proposed series resonance FCL topology.
Figure 2. The proposed series resonance FCL topology.
Electronics 13 02987 g002
Figure 3. Equivalent circuit diagram of the power system.
Figure 3. Equivalent circuit diagram of the power system.
Electronics 13 02987 g003
Figure 4. The fault detection and control scheme of the FCLs.
Figure 4. The fault detection and control scheme of the FCLs.
Electronics 13 02987 g004
Figure 5. The studied power system.
Figure 5. The studied power system.
Electronics 13 02987 g005
Figure 6. PV farm DC-link voltage for different FCLs, first fault scenario (fault resistance is 7.5 Ω).
Figure 6. PV farm DC-link voltage for different FCLs, first fault scenario (fault resistance is 7.5 Ω).
Electronics 13 02987 g006
Figure 7. Fault currents for different FCLs, first fault scenario (fault resistance is 7.5 Ω).
Figure 7. Fault currents for different FCLs, first fault scenario (fault resistance is 7.5 Ω).
Electronics 13 02987 g007
Figure 8. PV farm active power for different FCLs, first fault scenario (fault resistance is 7.5 Ω).
Figure 8. PV farm active power for different FCLs, first fault scenario (fault resistance is 7.5 Ω).
Electronics 13 02987 g008
Figure 9. PV farm reactive power for different FCLs, first fault scenario (fault resistance is 7.5 Ω).
Figure 9. PV farm reactive power for different FCLs, first fault scenario (fault resistance is 7.5 Ω).
Electronics 13 02987 g009
Figure 10. PCC voltage for different FCLs, first fault scenario (fault resistance is 7.5 Ω).
Figure 10. PCC voltage for different FCLs, first fault scenario (fault resistance is 7.5 Ω).
Electronics 13 02987 g010
Figure 11. PV farm DC-link voltage for different FCLs, second fault scenario (fault resistance is 5 Ω).
Figure 11. PV farm DC-link voltage for different FCLs, second fault scenario (fault resistance is 5 Ω).
Electronics 13 02987 g011
Figure 12. Fault currents for different FCLs, second fault scenario (fault resistance is 5 Ω).
Figure 12. Fault currents for different FCLs, second fault scenario (fault resistance is 5 Ω).
Electronics 13 02987 g012
Figure 13. PV farm active power for different FCLs, second fault scenario (fault resistance is 5 Ω).
Figure 13. PV farm active power for different FCLs, second fault scenario (fault resistance is 5 Ω).
Electronics 13 02987 g013
Figure 14. PV farm reactive power for different FCLs, second fault scenario (fault resistance is 5 Ω).
Figure 14. PV farm reactive power for different FCLs, second fault scenario (fault resistance is 5 Ω).
Electronics 13 02987 g014
Figure 15. PCC voltage for different FCLs, second fault scenario (fault resistance is 5 Ω).
Figure 15. PCC voltage for different FCLs, second fault scenario (fault resistance is 5 Ω).
Electronics 13 02987 g015
Figure 16. The experimental setup.
Figure 16. The experimental setup.
Electronics 13 02987 g016
Figure 17. The experimental setup circuit diagram.
Figure 17. The experimental setup circuit diagram.
Electronics 13 02987 g017
Figure 18. Phase current during normal and fault operation, with the protection of the proposed FCL (Rsh = 600 Ω).
Figure 18. Phase current during normal and fault operation, with the protection of the proposed FCL (Rsh = 600 Ω).
Electronics 13 02987 g018
Figure 19. Phase current during normal and fault operation, with the protection of the proposed FCL (Rsh = 800 Ω).
Figure 19. Phase current during normal and fault operation, with the protection of the proposed FCL (Rsh = 800 Ω).
Electronics 13 02987 g019
Figure 20. Phase current during normal and fault operation, with the protection of the proposed FCL (Rsh = 1000 Ω).
Figure 20. Phase current during normal and fault operation, with the protection of the proposed FCL (Rsh = 1000 Ω).
Electronics 13 02987 g020
Table 1. System parameter values used in simulations.
Table 1. System parameter values used in simulations.
ParameterValueUnits
Nominal PV farm output power400kW
Nominal DC bus voltage500V
Nominal generator output power100MVA
Nominal load35MVA
Frequency60hz
Fault to ground resistance (first scenario)7.5Ω
Fault to ground resistance (second scenario)5Ω
Threshold current value for turning IGBT OFF1.07pu
Threshold current value for turning IGBT ON0.84pu
Diode forward voltage drop0.7V
Time of fault start2.5s
Time of fault end2.7s
Circuit breaker response time60ms
Limiting resistor (R, Rsh)200Ω
Reactor inductance (Lsh, Lpr, Lsr, Ldc)100mH
Resonant capacitor series and parallel (Csr, Cpr, Csh)71μF
Parallel resistor (Rpr)30Ω
Table 2. The calculated stability index values for fault resistance of 7.5 Ω.
Table 2. The calculated stability index values for fault resistance of 7.5 Ω.
ParametersPeriodNo FCLSR-FCLPR-FCLSDBR-FCLBridge FCLProposed FCL
DC-link voltageFault0.480.410.350.070.070.07
Return0.610.530.420.080.080.06
CurrentFault2.992.932.911.861.861.87
Return2.622.422.111.281.261.07
Active powerFault0.550.350.360.200.200.19
Return1.171.190.910.280.250.17
Reactive powerFault13.0711.8111.7811.8611.8710.95
Return31.8529.9131.2833.0232.7529.81
PCC voltageFault2.112.002.001.291.281.31
Return0.610.540.540.410.410.41
Table 3. The calculated stability index values for fault resistance of 5 Ω.
Table 3. The calculated stability index values for fault resistance of 5 Ω.
ParametersPeriodNo FCLSR-FCLPR-FCLSDBR-FCLBridge FCLProposed FCL
DC-link voltageFault1.031.010.920.270.270.27
Return1.261.251.130.410.440.41
CurrentFault3.263.153.142.852.852.85
Return2.552.482.422.552.592.37
Active powerFault1.611.391.380.310.310.29
Return2.191.981.931.091.131.08
Reactive powerFault14.5913.2212.9913.9613.9312.67
Return51.2547.1843.2638.8638.7136.03
PCC voltageFault2.772.692.681.851.841.90
Return0.800.740.720.540.530.53
Table 4. Parameter values of the tested power system setup used in the experiment.
Table 4. Parameter values of the tested power system setup used in the experiment.
General ParametersValueUnits
Series reactor (Lsr)50mH
Resonant capacitor (Csr)200μF
Limiting resistor (Rsh)0.6–1k Ω
Nominal load40W
Fault resistance0.1Ω
Canadian solar PV panel model: CS6C-135M--
Nominal maximum power output135W
Optimal operating voltage17.8V
Optimal operating current7.58A
Open circuit voltage22.2V
Short circuit current8.07A
On-grid inverter--
DC voltage input range10–28V
Maximum power output300W
AC voltage output220V
Frequency50hz
High-performance halogen spotlights--
Nominal power400W
Luminous flux8600lm
Nominal correlated color temperature2900k
Silicon carbide power MOSFET C3M0040120J1--
Drain–source voltage1.2kV
Continuous drain current64A
Turn-off delay time22ns
Oscilloscope model: KEYSIGHT EXR054A--
Disclaimer/Publisher’s Note: The statements, opinions and data contained in all publications are solely those of the individual author(s) and contributor(s) and not of MDPI and/or the editor(s). MDPI and/or the editor(s) disclaim responsibility for any injury to people or property resulting from any ideas, methods, instructions or products referred to in the content.

Share and Cite

MDPI and ACS Style

Demin, S.; Barbie, E.; Heistrene, L.; Belikov, J.; Petlenkov, E.; Levron, Y.; Baimel, D. Implementation of Series Resonance-Based Fault Current Limiter for Enhanced Transient Stability of Grid-Connected Photovoltaic Farm. Electronics 2024, 13, 2987. https://doi.org/10.3390/electronics13152987

AMA Style

Demin S, Barbie E, Heistrene L, Belikov J, Petlenkov E, Levron Y, Baimel D. Implementation of Series Resonance-Based Fault Current Limiter for Enhanced Transient Stability of Grid-Connected Photovoltaic Farm. Electronics. 2024; 13(15):2987. https://doi.org/10.3390/electronics13152987

Chicago/Turabian Style

Demin, Slava, Eli Barbie, Leena Heistrene, Juri Belikov, Eduard Petlenkov, Yoash Levron, and Dmitry Baimel. 2024. "Implementation of Series Resonance-Based Fault Current Limiter for Enhanced Transient Stability of Grid-Connected Photovoltaic Farm" Electronics 13, no. 15: 2987. https://doi.org/10.3390/electronics13152987

APA Style

Demin, S., Barbie, E., Heistrene, L., Belikov, J., Petlenkov, E., Levron, Y., & Baimel, D. (2024). Implementation of Series Resonance-Based Fault Current Limiter for Enhanced Transient Stability of Grid-Connected Photovoltaic Farm. Electronics, 13(15), 2987. https://doi.org/10.3390/electronics13152987

Note that from the first issue of 2016, this journal uses article numbers instead of page numbers. See further details here.

Article Metrics

Back to TopTop