A CMOS Rectifier with a Wide Dynamic Range Using Switchable Self-Bias Polarity for a Radio Frequency Harvester
Abstract
1. Introduction
2. Proposed Rectifier Analysis and Description
2.1. The Cross-Coupled Rectifier and Its Issues
2.2. Description of the Proposed Rectifier
2.3. Operation of the Proposed Rectifier
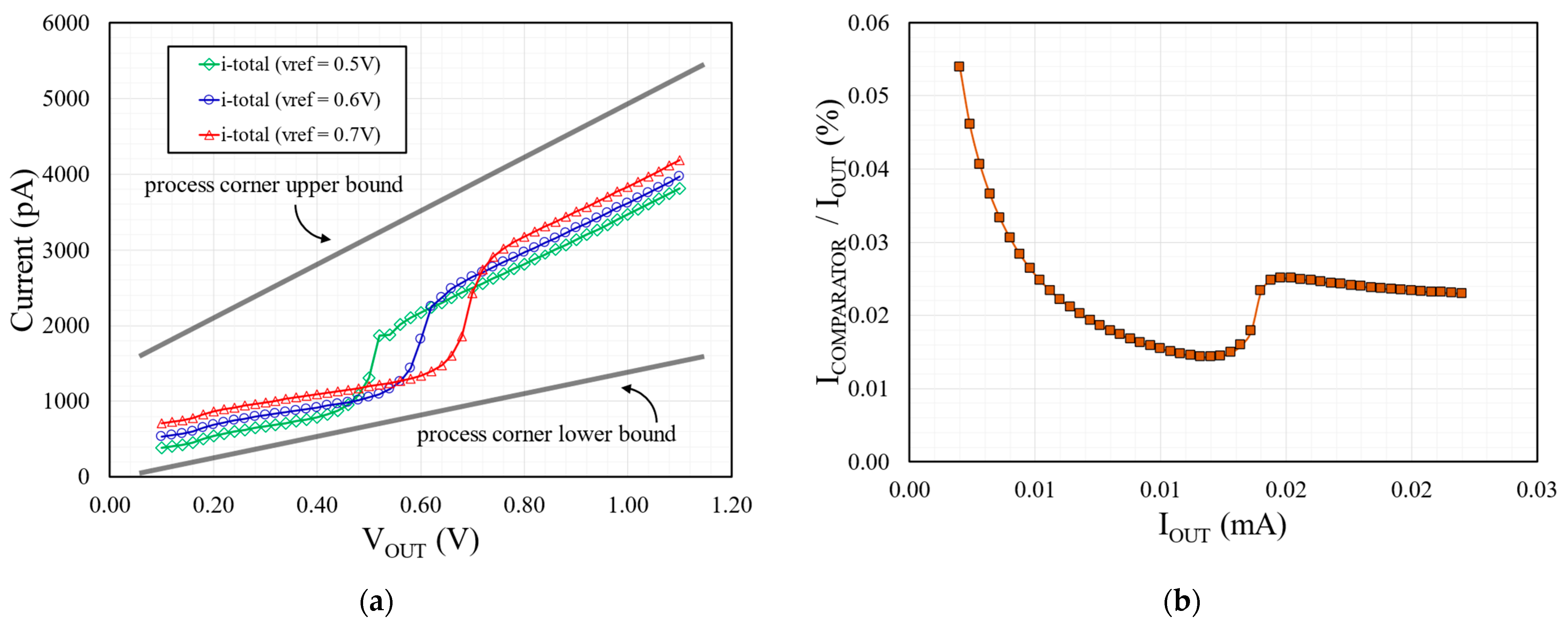
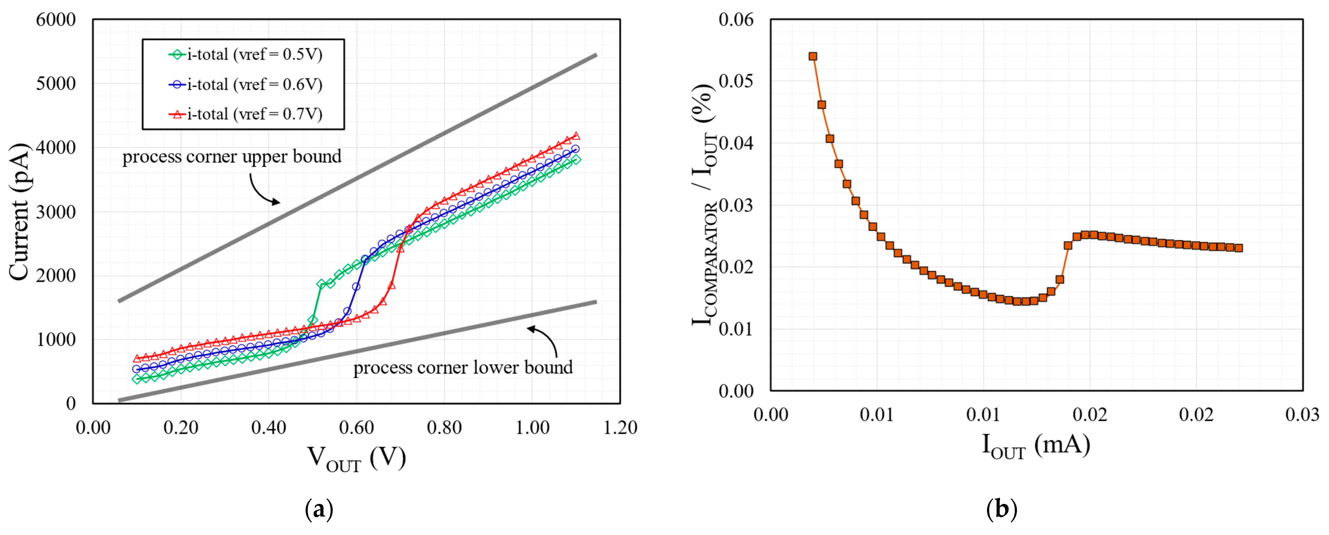
2.4. Description of the Common-Gate Comparator
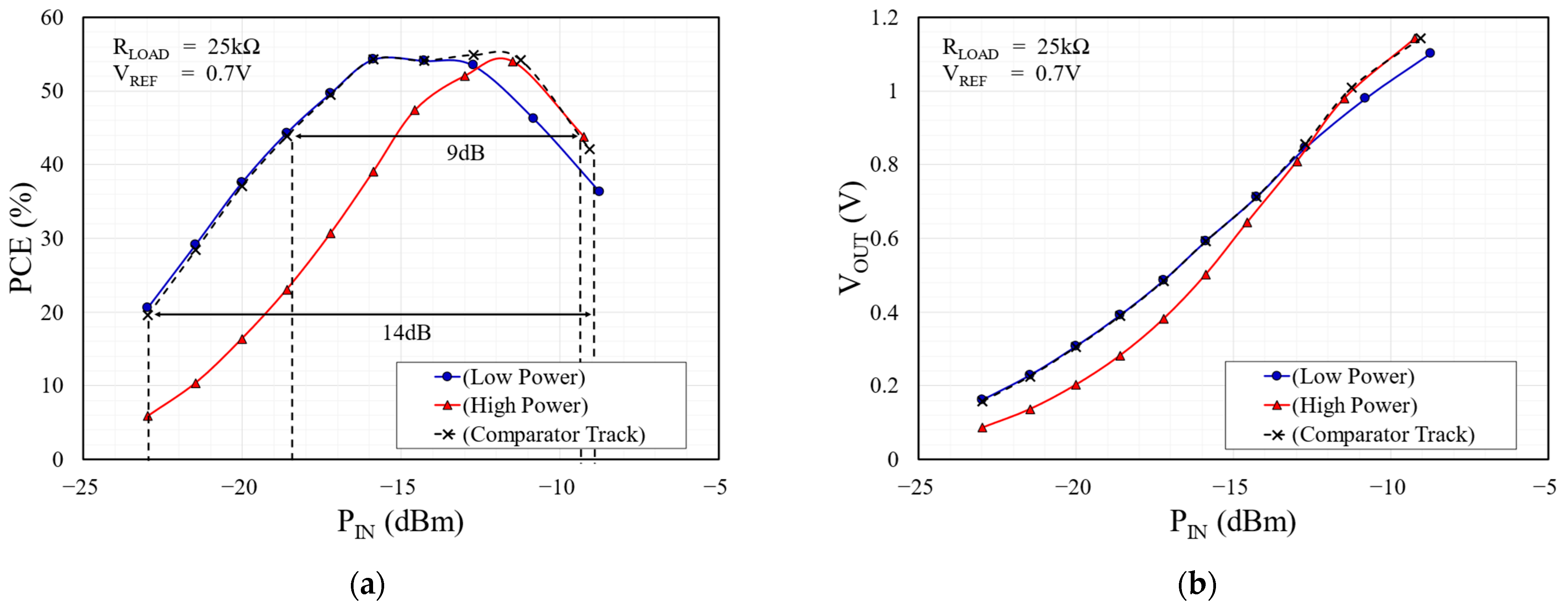
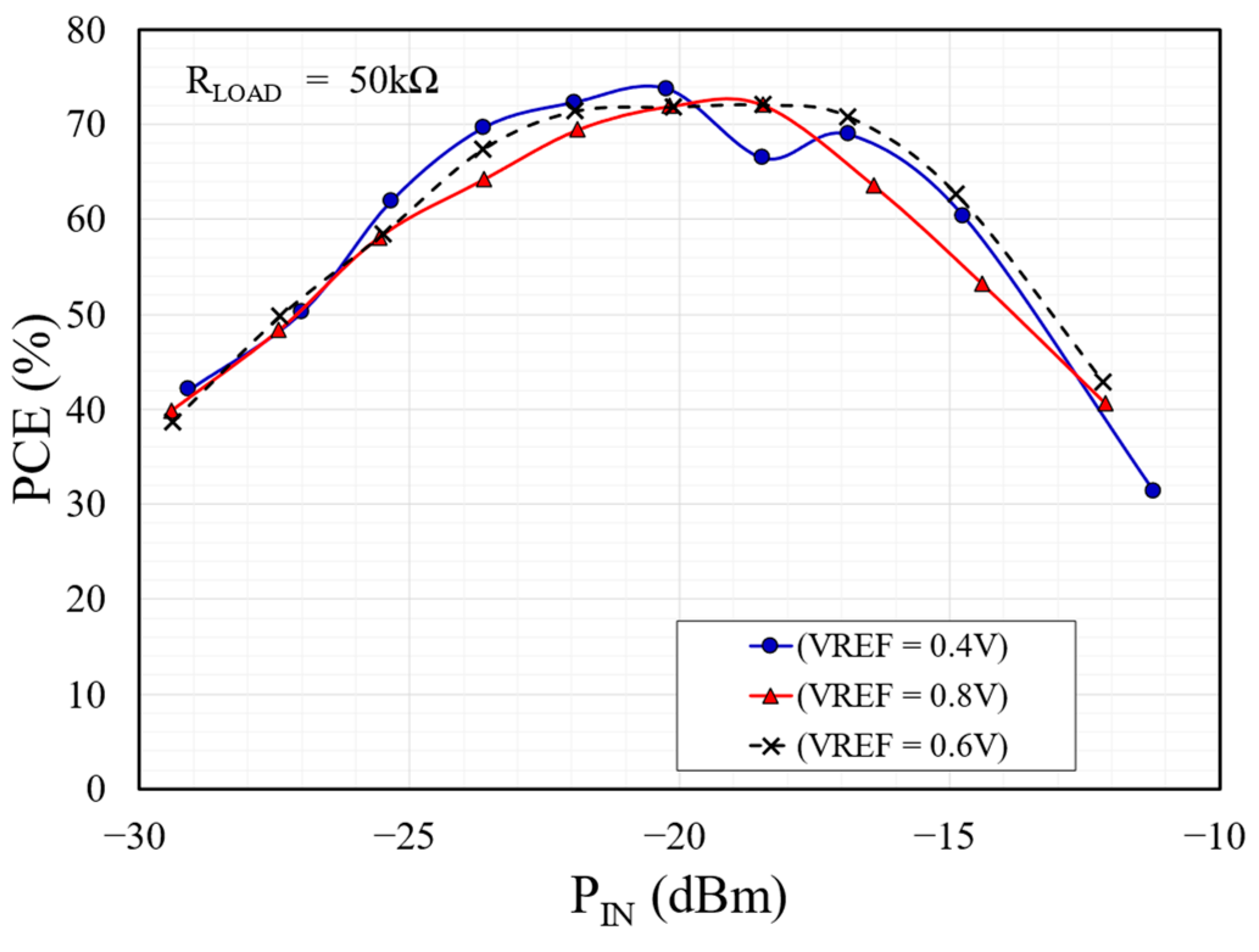
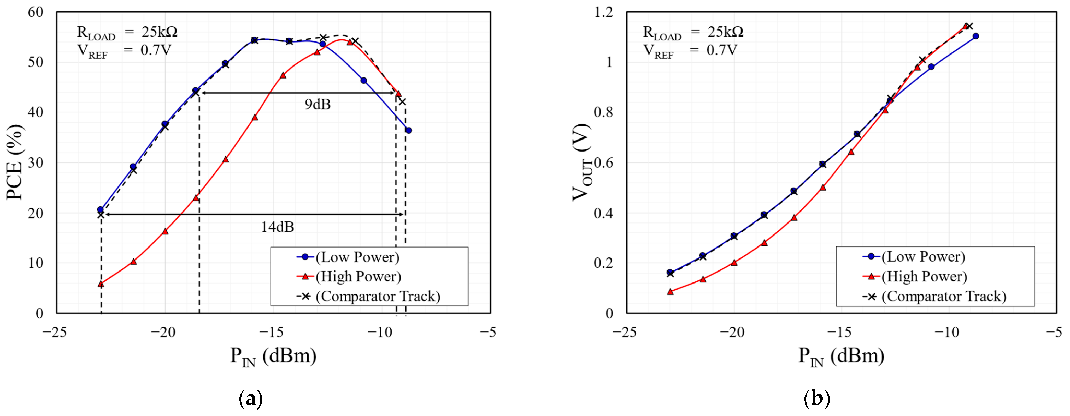
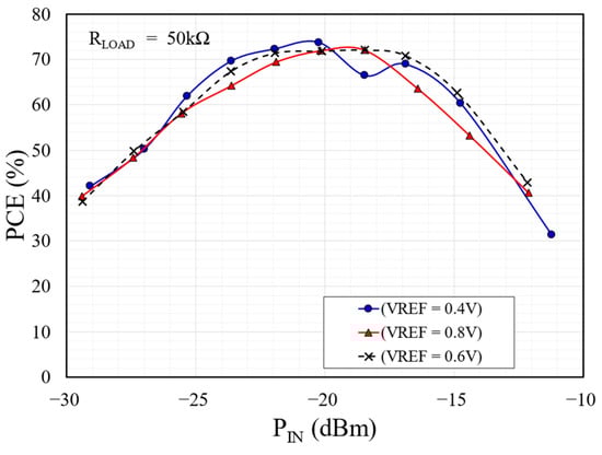
3. Measurement Results
4. Conclusions
Author Contributions
Funding
Data Availability Statement
Acknowledgments
Conflicts of Interest
References
- Kotani, K.; Sasaki, A.; Ito, T. High-Efficiency Differential-Drive CMOS Rectifier for UHF RFIDs. IEEE J. Solid-State Circuits 2009, 44, 3011–3018. [Google Scholar] [CrossRef]
- Moghaddam, A.K.; Chuah, J.H.; Ramiah, H.; Ahmadian, J.; Mak, P.-I.; Martins, R.P. A 73.9%-Efficiency CMOS Rectifier Using a Lower DC Feeding (LDCF) Self-Body-Biasing Technique for Far-Field RF Energy-Harvesting Systems. IEEE Trans. Circuits Syst. Regul. Pap. 2017, 64, 992–1002. [Google Scholar] [CrossRef]
- Moghaddam, A.K.; Choo, A.C.C.; Ramiah, H.; Churchill, K.K.P. A Self-Protected, High-Efficiency CMOS Rectifier Using Reverse DC Feeding Self-Body-Biasing Technique for Far-Field RF Energy Harvesters. AEU Int. J. Electron. Commun. 2022, 152, 154238. [Google Scholar] [CrossRef]
- Chen, S.-E.; Lin, Y.-C.; Cheng, K.-W. A High Sensitivity RF Energy Harvester with Dynamic Body-Biasing CMOS Rectifier. In Proceedings of the 2022 20th IEEE Interregional NEWCAS Conference (NEWCAS), Quebec City, QC, Canada, 19–22 June 2022; pp. 308–312. [Google Scholar]
- Huang, Y.; Shinohara, N.; Mitani, T. Impedance Matching in Wireless Power Transfer. IEEE Trans. Microw. Theory Tech. 2017, 65, 582–590. [Google Scholar] [CrossRef]
- Kim, S.-Y.; Abbasizadeh, H.; Rikan, B.S.; Oh, S.J.; Jang, B.G.; Park, Y.-J.; Khan, D.; Nga, T.T.K.; Kang, K.T.; Pu, Y.G.; et al. A −20 to 30 dBm Input Power Range Wireless Power System with a MPPT-Based Reconfigurable 48% Efficient RF Energy Harvester and 82% Efficient A4WP Wireless Power Receiver with Open-Loop Delay Compensation. IEEE Trans. Power Electron. 2019, 34, 6803–6817. [Google Scholar] [CrossRef]
- Martins, G.C.; Serdijn, W.A. An RF Energy Harvesting and Power Management Unit Operating Over −24 to +15 dBm Input Range. IEEE Trans. Circuits Syst. Regul. Pap. 2021, 68, 1342–1353. [Google Scholar] [CrossRef]
- Lau, W.W.Y.; Ho, H.W.; Siek, L. Deep Neural Network (DNN) Optimized Design of 2.45 GHz CMOS Rectifier with 73.6% Peak Efficiency for RF Energy Harvesting. IEEE Trans. Circuits Syst. Regul. Pap. 2020, 67, 4322–4333. [Google Scholar] [CrossRef]
- Lu, Y.; Dai, H.; Huang, M.; Law, M.; Sin, S.; Seng-Pan, U.; Martins, R.P. A Wide Input Range Dual-Path CMOS Rectifier for RF Energy Harvesting. IEEE Trans. Circuits Syst. II Express Briefs 2017, 64, 166–170. [Google Scholar] [CrossRef]
- Tsai, J.; Kuo, C.; Lin, S.; Lin, F.; Liao, Y. A Wirelessly Powered CMOS Electrochemical Sensing Interface With Power-Aware RF-DC Power Management. IEEE Trans. Circuits Syst. Regul. Pap. 2018, 65, 2810–2820. [Google Scholar] [CrossRef]
- Choo, A.; Ramiah, H.; Churchill, K.K.P.; Chen, Y.; Mekhilef, S.; Mak, P.-I.; Martins, R.P. A High-Performance Dual-Topology CMOS Rectifier with 19.5-dB Power Dynamic Range for RF-Based Hybrid Energy Harvesting. IEEE Trans. Very Large Scale Integr. VLSI Syst. 2023, 31, 1253–1257. [Google Scholar] [CrossRef]
- Choo, A.; Lee, Y.C.; Ramiah, H.; Chen, Y.; Mak, P.-I.; Martins, R.P. A High-PCE Range-Extension CMOS Rectifier Employing Advanced Topology Amalgamation Technique for Ambient RF Energy Harvesting. IEEE Trans. Circuits Syst. II Express Briefs 2023, 70, 3747–3751. [Google Scholar] [CrossRef]
- Lian, W.X.; Yong, J.K.; Chong, G.; Churchill, K.K.P.; Ramiah, H.; Chen, Y.; Mak, P.-I.; Martins, R.P. A Reconfigurable Hybrid RF Front-End Rectifier for Dynamic PCE Enhancement of Ambient RF Energy Harvesting Systems. Electronics 2023, 12, 175. [Google Scholar] [CrossRef]
- Choo, A.; Ramiah, H.; Churchill, K.K.P.; Chen, Y.; Mekhilef, S.; Mak, P.-I.; Martins, R.P. A Reconfigurable CMOS Rectifier with 14-dB Power Dynamic Range Achieving >36-dB/Mm2 FoM for RF-Based Hybrid Energy Harvesting. IEEE Trans. Very Large Scale Integr. VLSI Syst. 2022, 30, 1533–1537. [Google Scholar] [CrossRef]
- Churchill, K.K.P.; Ramiah, H.; Choo, A.; Chong, G.; Chen, Y.; Mak, P.-I.; Martins, R.P. A Reconfigurable CMOS Stack Rectifier with 22.8-dB Dynamic Range Achieving 47.91% Peak PCE for IoT/WSN Application. IEEE Trans. Very Large Scale Integr. VLSI Syst. 2023, 31, 1619–1623. [Google Scholar] [CrossRef]
- Xu, P.; Flandre, D.; Bol, D. Analysis and Design of RF Energy-Harvesting Systems with Impedance-Aware Rectifier Sizing. IEEE Trans. Circuits Syst. II Express Briefs 2023, 70, 361–365. [Google Scholar] [CrossRef]
- Abouzied, M.A.; Ravichandran, K.; Sánchez-Sinencio, E. A Fully Integrated Reconfigurable Self-Startup RF Energy-Harvesting System With Storage Capability. IEEE J. Solid-State Circuits 2017, 52, 704–719. [Google Scholar] [CrossRef]
- Chen, M.-C.; Sun, T.-W.; Tsai, T.-H. Dual-Domain Maximum Power Tracking for Multi-Input RF Energy Harvesting with a Reconfigurable Rectifier Array. Energies 2022, 15, 2068. [Google Scholar] [CrossRef]
- Almansouri, A.S.; Ouda, M.H.; Salama, K.N. A CMOS RF-to-DC Power Converter With 86% Efficiency and −19.2-dBm Sensitivity. IEEE Trans. Microw. Theory Tech. 2018, 66, 2409–2415. [Google Scholar] [CrossRef]
- Almansouri, A.S.; Kosel, J.; Salama, K.N. A Dual-Mode Nested Rectifier for Ambient Wireless Powering in CMOS Technology. IEEE Trans. Microw. Theory Tech. 2020, 68, 1754–1762. [Google Scholar] [CrossRef]
- Terence, T.B.C.; Navaneethan, V.; Yang, L.X.; Utomo, N.; Ziming, L.; Boon, T.C.; Bryan, S.Y.D.; Ji-Jon, S.; Liter, S. A RF-DC Rectifier with Dual Voltage Polarity Self-Biasing for Wireless Sensor Node Application. In Proceedings of the 2021 IEEE International Symposium on Circuits and Systems (ISCAS), Daegu, Republic of Korea, 22–28 May 2021; pp. 1–5. [Google Scholar]
- Alhoshany, A. A 900 MHz, Wide-Input Range, High-Efficiency, Differential CMOS Rectifier for Ambient Wireless Powering. Sensors 2022, 22, 974. [Google Scholar] [CrossRef]
- Li, X.; Mao, F.; Lu, Y.; Martins, R.P. A VHF Wide-Input Range CMOS Passive Rectifier With Active Bias Tuning. IEEE J. Solid-State Circuits 2020, 55, 2629–2638. [Google Scholar] [CrossRef]
- Li, X.; Lu, Y.; Martins, R.P. A 200 MHz Passive Rectifier with Active-Static Hybrid VTH Compensation Obtaining 8% PCE Improvement. IEEE Trans. Power Electron. 2023, 38, 5655–5658. [Google Scholar] [CrossRef]
- Liang, Z.; Yuan, J. Modelling and Optimisation of High-Efficiency Differential-Drive Complementary Metal–Oxide–Semiconductor Rectifier for Ultra-High-Frequency Radio-Frequency Energy Harvesters. IET Power Electron. 2019, 12, 588–597. [Google Scholar] [CrossRef]
- Nariman, M.; Shirinfar, F.; Pamarti, S.; Rofougaran, A.; Flaviis, F.D. High-Efficiency Millimeter-Wave Energy-Harvesting Systems With Milliwatt-Level Output Power. IEEE Trans. Circuits Syst. II Express Briefs 2017, 64, 605–609. [Google Scholar] [CrossRef]
- Ouda, M.H.; Khalil, W.; Salama, K.N. Wide-Range Adaptive RF-to-DC Power Converter for UHF RFIDs. IEEE Microw. Wirel. Compon. Lett. 2016, 26, 634–636. [Google Scholar] [CrossRef]


















| Device | Type | Width/Length |
|---|---|---|
| M1–M2 | LVT | 24 µm/40 nm |
| M3–M4 | LVT | 4 µm/40 nm |
| M5–M6 | HVT | 0.2 µm/2 µm |
| M7–M8 | LVT | 0.2 µm/2 µm |
| M9–M10 | LVT | 2 µm/100 nm |
| R1–R2 | Poly | 4 MΩ |
| C1–C6 | MIM | 630 fF |
| M11–M12 | LVT | 600 nm/2 µm |
| M13–M14 | 2.5V GP 1 | 500 nm/4 µm |
| M15–M16 | 2.5V GP 1 | 3 µm/2 µm |
| Inverter p-MOS | 2.5V GP 1 | 600 nm/2 µm |
| Inverter n-MOS | 2.5V GP 1 | 3 µm/2 µm |
| This Work | TVLSI 2023 [15] | TCAS II 2023 [12] | T-MTT 2020 [20] # * | T-MTT 2018 [19] | MWCL 2016 [27] | |
|---|---|---|---|---|---|---|
| Technology | 40 nm | 0.13 µm | 65 nm | 65 nm | 0.18 µm | 0.18 µm |
| Frequency | 900 MHz | 900 MHz | 900 MHz | 900 MHz | 900 MHz | 1 GHz |
| Technique | Switchable bias | Reconfigurable stack | Topology amalgamation | Dual-mode nested | Double-sided bias | Self-adapting feedback bias |
| Matching Network | No | No | No | No | No | No |
| No. of Stages, N | 1 | 3 | 2+1 | 1 | 1 | 1 |
| Load, RLOAD | 50 kΩ | 100 kΩ | 100 kΩ | 100 kΩ | 100 kΩ | 100 kΩ |
| PCEPEAK (%) @ PIN (dBm) | 72.1% @ −18 dBm | 47.91% @ −14 dBm | 79.8% @ −17.5 dBm | 80% @ −25 dBm a | 66% @ −18.8 dBm a | 65% @ −20.9 dBm a |
| Sensitivity (dBm) @ RLOAD (kΩ) for VOUT = 1 V | −14.9 @ 50 kΩ −16.3 @100 kΩ −20.8 @ 1 MΩ | −14 @ 50 kΩ −16 @ 100 kΩ −21 @ 1 MΩ | −15.5 @ 100 kΩ | −14.9 @ 100 kΩ | −16.2 @ 50 kΩ a −18.2 @ 100 kΩ | −18 @ 100 kΩ |
| PIN Range (dB), PR1 @ PCE > 0.8xPCEPEAK | 11.5 | 12 a | 7 a | 6.5 | 7 a | 9.5 a |
| PIN Range (dB), PR2 @ PCE > 20% | 17 | 22.8 | 21 | Not reported | 14.5 a | 17 a |
| Area (mm2) | 0.0175 | 0.18 | 0.023 | 0.00648 | 0.0088 | 0.105 |
Disclaimer/Publisher’s Note: The statements, opinions and data contained in all publications are solely those of the individual author(s) and contributor(s) and not of MDPI and/or the editor(s). MDPI and/or the editor(s) disclaim responsibility for any injury to people or property resulting from any ideas, methods, instructions or products referred to in the content. |
© 2024 by the authors. Licensee MDPI, Basel, Switzerland. This article is an open access article distributed under the terms and conditions of the Creative Commons Attribution (CC BY) license (https://creativecommons.org/licenses/by/4.0/).
Share and Cite
Teo, B.C.T.; Lim, W.C.; Venkadasamy, N.; Lim, X.Y.; Kok, C.L.; Siek, L. A CMOS Rectifier with a Wide Dynamic Range Using Switchable Self-Bias Polarity for a Radio Frequency Harvester. Electronics 2024, 13, 1953. https://doi.org/10.3390/electronics13101953
Teo BCT, Lim WC, Venkadasamy N, Lim XY, Kok CL, Siek L. A CMOS Rectifier with a Wide Dynamic Range Using Switchable Self-Bias Polarity for a Radio Frequency Harvester. Electronics. 2024; 13(10):1953. https://doi.org/10.3390/electronics13101953
Chicago/Turabian StyleTeo, Boon Chiat Terence, Wu Cong Lim, Navaneethan Venkadasamy, Xian Yang Lim, Chiang Liang Kok, and Liter Siek. 2024. "A CMOS Rectifier with a Wide Dynamic Range Using Switchable Self-Bias Polarity for a Radio Frequency Harvester" Electronics 13, no. 10: 1953. https://doi.org/10.3390/electronics13101953
APA StyleTeo, B. C. T., Lim, W. C., Venkadasamy, N., Lim, X. Y., Kok, C. L., & Siek, L. (2024). A CMOS Rectifier with a Wide Dynamic Range Using Switchable Self-Bias Polarity for a Radio Frequency Harvester. Electronics, 13(10), 1953. https://doi.org/10.3390/electronics13101953

