Abstract
Geosmin and 2-methylisoborneol (MIB) are the most common causes of unpleasant odours in drinking water. A method was proposed to detect and recognise these compounds in water and determine their concentrations. The method utilises commercial solid-state gas sensors and data analysis. Sample preparation plays an important role. The aqueous solution is converted into a gas sample using a specially designed dynamic headspace. The responses of the sensors are recorded during exposure to headspace vapours in a dynamic mode. The best limit of detection for geosmin, LOD = 6.20 µg/L, was attained with a TGS2602 sensor. The best limit of detection for MIB, LOD = 0.52 µg/L, was attained with a TGS826 sensor. Geosmin and MIB recognition was 100% successful based on TGS826 and TGS2602 response classifications. Geosmin and MIB concentrations were effectively determined in solutions containing one or both compounds. The respective mathematical models utilised the responses of TGS826 and TGS2602. The smallest concentration prediction error was RMSE = 2.19 µg/L (for geosmin) and RMSE = 0.33 µg/L (for MIB). The study demonstrated the application potential of non-specific gas sensors for the early warning monitoring of geosmin and MIB presence in water. Further studies are needed to develop a system that can be tested in field conditions.
1. Introduction
Geosmin and 2-methylisoborneol (MIB) are the most common causes of sensory problems with drinking water obtained from natural water. These two compounds are semi-volatile terpenoid compounds produced as secondary metabolites by benthic and planktonic cyanobacteria, several genera of fungi, and various actinomycetes that impart an earthy, musty taste and odour to water [1]. Geosmin and MIB presence in water has not been associated with any serious health effects. However, the unpleasant taste and odour they cause means the water is perceived as unsafe by consumers. Geosmin and MIB are detected by human senses at exceptionally low levels of 4 ng/L and 15 ng/L, respectively [2]. Some other works define the range from 5 to 10 parts per trillion (ng/L) [3,4,5,6].
There are currently no regulations for these two compounds in the EU or WHO. However, the WHO guidelines for drinking water mention geosmin and MIB as biologically derived contaminants resulting in objectionable tastes and odours in drinking water and which have taste thresholds of a few nanograms per litre [7]. These compounds influence the acceptability of water. Water that is aesthetically unacceptable can lead to the use of water from sources that are aesthetically more acceptable, but potentially less safe [7]. Some countries limit the concentrations of odour and taste compounds in water and implement monitoring and protection systems. For example, in South Korea, when the concentration of geosmin or 2-MIB exceeds the maximum allowable limit (MAL = 20 ng/L), a daily analysis must be conducted until the concentration drops below 10 ng/L [8].
Earthy-musty taste and odour episodes in raw water containing the compounds are frequent and usually unpredictable. Hence, there is a growing need for a sensitive, reliable, and rapid diagnostic method for detecting, monitoring and managing geosmin/MIB events [9]. Advanced analytical techniques such as gas chromatography–mass spectrometry (GC–MS), preceded by a preconditioning step, allow both compounds to be detected [10,11,12]. However, the analytical instruments are expensive and complex to use, which makes the analysis difficult. In addition, frequently, large sample volumes are required to achieve sufficient sensitivity, making their collection and transportation troublesome when a large number of samples has to be examined. Hence, a new generation of measurement equipment is required [13]. The devices should be small-scale, portable or operatable online, cost-effective, easy to use, and offer appropriate metrological characteristics. Sensing technology may be useful in this field of water analysis.
Several attempts have been made to measure odour and taste (O&T) compounds in water using sensor technology. For example, Braga et al. [14] effectively applied polymeric sensors, impedance measurements, and multivariate data analysis to perform a discrimination and quantification of water samples tainted with MIB and geosmin at levels as low as 25 ng/L. Lvova et al. [15] utilised potentiometric sensors based on low-selective polymeric membrane and chalcogenide-glass electrodes coupled with partial least squares (PLS) discriminant analysis (DA) and achieved geosmin/MIB concentration prediction as well as a discrimination of tap water samples containing these compounds into two concentration ranges, from 20 to 100 ng/L and from 0.25 to 10 mg/L. Nam et al. [16] demonstrated the possibility of discriminating and quantifying eight taste and odour compounds, including geosmin and MIB, at a concentration as low as 0.02 μg/L with a commercial e-tongue ASTREE.
The initial work on O&T compound detection in water using gas sensors was presented by Stuetz et al. [17]. By assessing headspace gas above a water sample, they demonstrated that water tainted with geosmin, MIB, and some other O&T compounds could be separated into distinct clusters using non-specific sensors and DA. Hogben et al. [18] demonstrated that geosmin, MIB, and some other O&T compounds’ occurrence in water may be successfully detected in a flow-through system, with online headspace sample generation. However, the detection limits were in a range of 5–10 ppm, which is considerably higher than the respective odour threshold concentrations. The real-time monitoring of geosmin and MIB using a bioelectronic nose with human-like performance was proposed [19]. Wang et al. [20] found that geosmin (8–85 ng/L), MIB (5–85 ng/L), and eight other O&T compounds, in similar concentrations to the individual compounds, are effectively differentiated by the portable electronic nose PEN3, which was based on using metal oxide sensors and dynamic headspace technology. Principal component analysis (PCA) and DA were applied for sensor signal analysis.
In this study, we describe an approach that can address many limitations of the current analytical techniques and provide an affordable and more effective method to detect these odorous water pollutants. The subject of the study was a sensing method for the detection and quantification of geosmin and MIB in water. The paper aims to show that metal oxide (MOS) gas sensors allow the determination of the concentration of these pollutants [21]. SnO2 is an n-type semiconductor whose electrical conductivity is affected by surrounding gases. It is commonly applied as a gas-sensing material. Sensors using this semiconductor offer numerous advantages, like small size, low cost, durability, and high sensitivity to various volatile organic compounds. Their detection limit is at the level of ppm or even ppb concentrations. Either reducing or oxidising gases may be detected. The method proposed in the work relies on a measurement of electrical conductivity changes occurring in a tin dioxide gas sensor upon its exposure to different concentrations of target chemicals, i.e., geosmin and MIB.
Three issues are fundamental in the developed method: (1) sample preparation and its delivery to a sensing device; (2) measurement signal generation; and (3) data processing and analysis.
2. Measurement Method
2.1. Sampling
Sampling and sample delivery to a measurement instrument are the first and an essential part of the measurement process. MOS sensors are devices dedicated to detecting gases and vapours. Gas phase detection requires that the molecules of the target analyte come into physical contact with a sensing element of the sensor. Geosmin and MIB are water-soluble, semi-volatile terpenoid compounds. Hence, to detect these compounds, a special method of sample preparation and its delivery to a sensing device is needed.
Generally, molecules are released from water into the air in different concentrations, based on their vapour pressures. They may arrive at the sensor surface either by diffusion or due to the movement of the carrier gas. Such mechanisms allow for the use of a headspace technique for sampling geosmin and MIB molecules from the water sample and their delivery to the gas sensor. The term headspace refers to the volume of vapour above a liquid phase. It was assumed in this study that headspace vapours contain the chemical signature of the water sample. Hence, sensor responses to headspace gas may provide information about the concentration of geosmin and MIB dissolved in water.
There are two types of headspace sampling: static and dynamic. In the first method, the target analyte is sampled from a thermostated, hermetically sealed vessel once the sample has reached thermodynamic equilibrium with its vapour at a predetermined temperature. The free flow of analyte molecules from the sampled medium to a sensor results from the diffusion caused by the difference in chemical potentials. The static headspace technique is most suitable for sampling the very light volatile compounds because they can be efficiently partitioned into the headspace gas volume from the liquid sample. This method is not effective in the case of volatiles with higher boiling points and semi-volatiles due to their low partition in the gas headspace volume. The vapour pressure of geosmin and MIB is low. Thus, the static headspace technique was not an option in this work.
To achieve physical contact between molecules of target molecules and a semiconductor in a sensing layer, dynamic headspace sampling was chosen as an alternative approach. This method is based on a multistep process in which the inert gas flows continuously, in a controlled manner, through the sample. To increase the efficiency of sampling, the inert gas was bubbled below the surface of a liquid phase. The volatile compounds released from the liquid sample were captured by the gas stream and left the sample container. The headspace volatiles were immediately delivered to the measurement instrument, where they entered the sensor chamber for analysis. After the measurement, the exhaust gas was subsequently released to the atmosphere. The dynamic headspace sampling offered important advantages. It enabled gaseous samples to be produced with a constant water content and for a rapid exchange of gas to be attained inside the measurement chamber. In addition, the gas flow intensified the evaporation of water components, and thus this method is suitable for the determination of analytes that are too low in concentration to be measured using static headspace sampling.
2.2. Analytical Signal Generation
On reaching the sensor chamber, the molecules released from a liquid phase during the sampling process interact with the tin dioxide (SnO2) layer or are directly removed to the atmosphere. The interactions include chemisorption, gas diffusion, surface reactions, and charge carrier transfer [22,23,24]. This is followed by the transduction of these phenomena to an electrical signal caused by the resistance change in the sensing material. Although the transduction mechanism is simple, molecular-level processes, including gas diffusion, surface reactions, and charge carrier transfer, are extraordinarily complicated [25].
The proposed method relies on a measurement of electrical conductivity changes generated in SnO2 upon exposure of this material to headspace vapours [26,27,28]. The electrical conductivity of the SnO2 granular layer is strongly dependent on the density of pre-adsorbed oxygen ions [29,30]. Oxygen species (O2−, O−, O2−, O2) play a major role in the operating mechanism of MOS gas sensors. While molecular oxygen is stable below 150 °C, atomic species dominate at higher temperatures as oxygen ionises to form molecular (O2−) and atomic (O−, O2−) species. The adsorbed oxygen species modify the charge distribution on the surface of the semiconductor [31]. The depletion of conduction band electrons causes a decrease in charge carriers in an n-type semiconductor, thereby increasing the resistance of the sensing material. A physical change in the sensing material may additionally result in the chemisorption of organic compounds on the sensor surface.
The signals induced in tin oxide gas sensors result from the decomposition of the target analytes as an effect of oxidation/reduction reactions that take place on the surface of the semiconductor. Geosmin and MIB are relatively resistant to chemical degradation. However, at high temperatures on the semiconductor surface, they are oxidised. In MOS sensors, the sensing material is sintered to form a film on the surface of the support which is fitted with an internal heater. Sensors are designed to show optimum sensitivity characteristics under a certain constant heater voltage. The process of oxygen ion formation is dependent on temperature. When the temperature is less than 150 °C, O2 molecules are adsorbed in the form of poorly reactive O2− ions. When the temperature is in the range of 150–200 °C or greater than 200 °C, then O− and O2− ions are formed. The number of highly reactive O− ions becomes excessive at temperatures of 300–400 °C. It is believed that oxygen ions O− are dominant at the operating temperature of 300–450 °C, which is the working temperature for tin oxide gas sensors. It can be assumed that target compounds are degraded in these conditions and the process of sensor response generation is effective. Hence, the temperature of oxygen ion O− formation is fundamental for the mechanism of geosmin and 2-MIB sensing.
During oxidation reactions, the adsorbed oxygen species O− that are distributed on the surface of SnO2 are consumed. This leads to an electronic change in the sensing material and an increase in semiconductor conductivity that is transduced into a measurement signal. In this way, the transducer function of the sensor is realised. The oxidation/reduction reactions that take place between the semiconductor surface and molecules of target chemicals play a major role in the operating mechanisms of the sensor. In general, the relationship between the resistance of SnO2 and target gas concentration is nonlinear.
Semiconductor gas sensors are nonspecific devices [32,33]. This limitation comes from the fundamental features of the sensing mechanism. The specificity is lacking since chemiresistors react with functional groups and fractured analyte rather than specifically with the molecule itself. Since many gases may be oxidised on the surface of the sensing layer, semiconductor gas sensors yield nonspecific responses to a wide range of organic compounds. In our opinion, the poor selectivity does not disqualify MOS sensors from the detection of geosmin or MIB.
There are several reasons why sensor responses may provide information about geosmin and MIB. The analytical signals generated in MOS sensors during exposure to headspace vapours result mainly from the interaction of a SnO2 layer with molecules of H2O and organic volatile compounds that are components of the test sample. The semiconductor resistance is modified or even reversed when the humidity of the surrounding gas is changed. In the presented method, the influence of water vapour on the electrical conductivity of a SnO2 layer is on the same level, because the physical conditions of the sampling (temperature of the sample and intensity of the inert gas flow) are stable during the measurement. This causes constant humidity of headspace vapours and of the gas which is in contact with a sensor. The baseline manipulation allows the influence of water vapour on the sensor response to be corrected and eliminated. The air used for test sample generation is purified, and hence this gas cannot cause changes in the semiconductor sensor’s electrical conductivity. In this work, geosmin and MIB are the only organic contaminants of the tested water. Therefore, the sensor response to headspace vapours is mainly caused by these compounds.
2.3. Measurement Signal
The gas sensor signal was defined as the voltage across the voltage divider, which consists of the chemosensing element and the load resistor. The method to convert the sensor resistance to the recorded signal is given by Equation (1).
where is the circuit voltage equal to 3.3 V and is the value of the load resistor, equal to 10 kW for TGS sensors series 800 and 2 kW for TGS sensors series 2000.
Data acquisition includes electrical signal sampling and their conversion into digital numeric values that could be manipulated by a computer.
2.4. Mode of Sensor Operation
Many MOS gas sensors suffer from susceptibility to drift, a memory effect, and a tendency to become saturated. Additionally, due to the slow dynamics of the sensing process, tin dioxide gas sensors may not reach an equilibrium state during exposure to headspace vapours. For that reason, the sensor operation mode consisted of two stages: (1) sensor exposure to tested gas and (2) cleaning of the sensing element. The duration of the sensor exposure to headspace vapours was 5 min. The recovery period needed after each gas exposure was 5 min as well. During this time, the atmosphere around sensors was completely exchanged. Pure air was used as a cleaning gas. The sensor operation mode based on the cyclically repeated operations of exposure and cleaning was beneficial in terms of the improved range and dynamics of sensor response as well as in reducing the signal drift and memory effect.
The measurement setup enabled the sequential execution of any number of measurement cycles (series) and for the tracing of the progress of the current measurement cycle as well as the entire measurement series.
3. Data Analysis
3.1. Data Preprocessing
In this study, MOS sensors produced electrical signals in response to the headspace vapours. The signals contained information about the target analytes The sensor operation mode applied in this work caused transient signals to be measured. They were presented and analysed as a time series.
To improve the performance of the measurement process, data preprocessing was performed. Data preprocessing included baseline correction and feature extraction.
The baseline was defined as the sensor response to pure air. The baseline instability was not observed in this work. Therefore, it was used as a reference. The corrected sensor’s response, , was attained by baseline correction (Equation (2)). Differential baseline correction was applied. It was realised by subtracting, from the entire sensor signal, the sensor response to pure air, at the predefined time point, , before exposure to the test gas.
where {1, …, 600} s, s, and is the value of the sensor signal, as defined by Equation (1). The corrected responses of sensors were used in data analysis.
Raw signals usually contain noise and redundant information. The purpose of feature extraction is to retain the robust information pattern contained in the raw signal while removing redundancy and noise. Feature extraction preserves only the information uniquely characterising the analyte. In this work, features were extracted from the raw signals in the time domain. That is, they were extracted from the original response curve. The feature was the corrected sensor response obtained at the individual, defined time point of sensor exposure to the test sample. The features characterised the local sensor response pattern and they represented small parts of the complete signals.
The extracted features were used for the qualitative and quantitative analysis of the test samples. The qualitative analysis aimed to distinguish geosmin and MIB. The goal of the quantitative analysis was to detect these compounds and determine their concentrations.
3.2. Recognition of Geosmin and MIB in Aqueous Solutions
Principal component analysis (PCA) was employed to examine the separation of the measurement results obtained for the blanks, the aqueous solutions of geosmin, the aqueous solutions of MIB, and the aqueous solutions of geosmin and MIB. Sensors offering the best limits of detection for gesomine and MIB were included in the analysis. PCA was applied to the selected fragments of their signals. The measurement results were displayed in the coordinates of the first two principal components to visualise their separation in this domain.
Measurement data classification was applied to examine the possibility of recognising the analyte presence in the test sample. Two classes were defined: Class 1—no analyte (indicating the lack of the analyte in the test sample), and Class 2—analyte (indicating the presence of the analyte in the sample).
Individual models were built to recognise geosmin and MIB in the water.
- In the case of geosmin recognition, Class 1 included all blanks and all aqueous solutions containing only MIB. Class 2 included all aqueous solutions containing only geosmin as well as all aqueous solutions containing geosmin and MIB.
- In the case of MIB recognition, Class 1 included all blanks and all aqueous solutions containing only geosmin. Class 2 included all aqueous solutions containing only MIB as well as all aqueous solutions containing geosmin and MIB.
Sensors offering the best limits of detection for geosmin and MIB were involved in classification. The selected fragments of their signals were used as the input data for the classifier.
The K-NN classifier was chosen for its capability to address nonlinear classification problems and simplicity. The classifier was trained and tested using a leave-one-out procedure. The classification performance was evaluated using a confusion matrix. The classification results were given in terms of true positive rate (TPR), true negative rate (TNR), false positive rate (FPR), and false negative rate (FNR) [34].
3.3. Limit of Detection for Geosmin and MIB
The limit of detection (LOD) was determined using the formula given by Equation (3).
where is the population standard deviation of the blank signals and is the slope of the measurement signal/analyte concentration functional relationship, obtained by ordinary least squares regression. The expansion factor k is chosen according to the preferences about the acceptable error α and β values. We applied the most commonly used 3.3, which implies controlling both kinds of errors, α and β, at the level of 5% (α = β = 5%) [35].
In the study, the LOD of the individual sensors was determined for geosmin and MIB based on sensor responses at successive time points of exposure to the test samples (Equation (4)).
where indicates a sensor, {TGS822, TGS823, TGS826, TGS2600, TGS2602, TGS2603}, and {301, …, 600}.
The population standard deviation of the blank signals was determined based on several measurements of the distilled water samples. This parameter was determined for the individual sensors and successive time points of exposure.
The slope was attained by fitting the measurement data with the signal/concentration functional relationship given by Equation (5).
where is the corrected response of sensor , obtained during the time point of exposure to the test gas sample generated from the water solution containing analyte at the concentration . Responses of all sensors at all time points of exposure were examined.
The levels of detection for geosmin and MIB were determined in two scenarios:
- The only volatile substance present in the water was the detected substance,
- There may be a second substance present in the water in addition to the substance being detected. In the case of geosmin detection, the second substance was MIB. In the case of MIB detection, the second substance was geosmin.
3.4. Model to Determine Geosmin and MIB Concentrations in Aqueous Solution
A mathematical formula given by Equation (6) was proposed to determine the concentration of an individual analyte in water which contains both geosmin and MIB or just one of them. The model utilises the responses of two gas sensors to the test sample at a particular time of exposure. The concentration of an analyte is represented as follows:
where is the concentration of an analyte , and indicate sensors, {TGS822, TGS823, TGS826, TGS2600, TGS2602, TGS2603}, {TGS822, TGS823, TGS826, TGS2600, TGS2602, TGS2603} and , is the corrected response of the i-th sensor associated with the time point of exposure, is the corrected response of the j-th sensor associated with the time point of exposure, and , , and are model parameters.
The models were parameterised individually for geosmin and MIB. Different sensors and time points of exposure were considered to find their best configuration. When selecting sensors to be included in the model for a particular analyte, we referred to the results of LOD determination as well as the correlation between sensor responses and the analyte concentration in the test samples. The sensors which offered the lowest LOD and their responses that were most correlated with analyte concentration were included in the final models.
The selection of the time points of sensor response to be included in the model was based on the RMSE of the analyte concentration prediction. To identify the best time points, an exhaustive search was performed in the domain of sensor responses collected during the exposure stage. The best time points were those which allowed for the lowest RMSE of concentration prediction, and they were included in the final models.
4. Experimental Section
4.1. Analytes
The following chemicals were used in the study: geosmin (Merck, Darmstadt, Germany), 2-Methylisoborneol for water analysis (FUJIFILM Wako Pure Chemical Corporation, Tokyo, Japan), and deionised water (Direct –Q UV-R system, Millipore, MA, USA).
The chemicals were applied to prepare test solutions. The following test solutions were examined in the study:
- Deionised water (blanks);
- Aqueous solutions of geosmin, i.e., deionised water containing geosmin at the concentrations of 2.5, 5, 25, 50 µg/L;
- Aqueous solutions of MIB, i.e., deionised water containing MIB at the concentrations of 0.5, 1, 5, and 10 µg/L;
- Aqueous solutions of geosmin and MIB, i.e., deionised water containing geosmin and MIB at the following concentrations: geosmin 2.5 µg/L and MIB 0.5 µg/L, geosmin 5 µg/L and MIB 1 µg/L, geosmin 25 µg/L and MIB 5 µg/L, geosmin 50 µg/L and MIB 10 µg/L.
The concentration grid used in the experiment is displayed in Figure 1.
Figure 1.
Concentration grid. A blue circle indicates a combination of concentrations of geosmin and MIB in a test solution.
For test sample preparation, the stock solutions were used. They were 100 µg/L for geosmin and 100 µg/L for MIB. Deionised water was added to attain the concentrations shown in Figure 1. The volume of the test sample was 30 mL.
4.2. Measurement Set-Up
It was assumed that the measurement set-up (see Figure 2) should be able to (1) produce head space volatiles that contain geosmin and MIB while the water vapour content remains constant; (2) deliver the sample of target analyte to the sensing device; (3) rapidly exchange gaseous atmosphere around sensors; (4) deliver pure air to the measurement chamber to regenerate a sensing element after exposure to the target analyte; and (5) realise data acquisition.
Figure 2.
The measurement set-up. -1-. A section supplying room air to the inlet port of the bubbler, -2- a section supplying headspace vapours from the bubbler to the sensor device, -3-. A section supplying room air to the sensor device for sensors regeneration and sensors system cleaning, and -4-. a section discharging gas from the outlet of the sensor device.
These functions were performed by the system, and included
- Filters;
- Bubbling device;
- Pneumatic system for gas delivery to a sensing device;
- Sensing device;
- Computer with software.
The applied instrumentation guaranteed constant operating conditions. The measurement set-up was installed in the laboratory.
4.2.1. Filters
The stream of pure air was used to produce headspace vapours, convey target analytes from space over the water to sensors, clean the gas transfer line, and realise the recovery of the sensing element. In addition, the sensor response to pure air was used as a baseline in data preprocessing.
To prepare pure air, suitable filters were applied. A syringe filter (Nylon, 25/0.45 µm, Chemland, Stargard, Poland) and a small size activated carbon filter were mounted at the inlet of a gas line to ensure the supply of test substance-free air to the measurement system for sample preparation and sensor regeneration. Particle matter and organic compounds were removed from the stream of atmospheric air. Volatile organic compounds were adsorbed on charcoal. A pump drew the pure air from the filter into the bubbler (impact vessel) containing water with dissolved target compounds, or directly to a sensing device. The pump was an element of the sensing device.
4.2.2. Bubbler
Many different instruments can be used for dynamic headspace extraction. It depends on the applied method. Dynamic headspace sampling in this study can be referred to as the process in which pure air is bubbled below the surface of a liquid sample. The bubbling device consisted of a supply pipe and glass vessel that contained a sample of water with dissolved geosmin, MIB, or both. The inlet tube had a fritted orifice to produce finely dispersed bubbles. Headspace vapours were generated by passing the air through glass frits immersed in the water sample. Its end was located just above the bottom of the vessel. Negative pressure was applied in the pneumatic system to drive pure air through the inlet into the bubbler. The bubbling device functioned by forcing pure air through the water sample, at a fairly constant flow rate of 1 L/min. The temperature of the water sample was controlled by a thermostat at room temperature level, and therefore constant pressure could be achieved. The bubbling process was independent of environmental conditions. The bubbler was combined with the gas delivery system. Such a configuration allowed the headspace vapours to be aspirated by the sensing device.
4.2.3. Pneumatic System for Gas Delivery
During the measurement of target analytes, the headspace vapours were drawn from a bubbling device and directed to a sensor chamber. The delivery of the vapours to a sensing device had to be rapid.
The gas delivery was performed by a suitable pneumatic system that could transfer pure air and headspace vapours. The delivery system included a pump to generate the gas flow, a system of valves to control sample flow, and Teflon tubes with a 4/2 mm diameter. As shown in Figure 1, the pneumatic system consisted of four parts: (1) a section supplying room air to the inlet port of the bubbler, (2) a section supplying headspace vapours from the bubbler to the sensor device, (3) a section supplying room air to the sensor device for sensors regeneration and sensors system cleaning, and (4) a section discharging gas from the outlet of the sensor device. Two shut-off valves were placed on the gas line. One was located in section (1), and it allowed the bubbler inlet port to be cut off from the room air supply. The second shut-off valve was located in section (2) and allowed the shutting off of the supply of test samples generated in the bubbler to the sensing device. Switching between section (2) and section (3) was realised by the additional valve in the sensing device.
The pure air and headspace vapours were aspirated by the pump mounted in the sensing device at a prescribed rate and for a prescribed time. The flow was constant at a relatively low rate of 1 L/min.
To prevent the adsorption or condensation of water vapours, the tube between the bubbler and the sensing device had a temperature higher than the dew points of headspace vapours. Otherwise, uncontrolled droplets could plug the gas line or pass into the sensor chamber, affecting the measurement process. The sample delivery system did not generate fluctuations in the sample chemical composition.
The headspace vapours left the glass vessel and reached the sensing device situated downstream in a short time. This method enabled the generation of a sample containing water vapour and dissolved geosmin, MIB, or both, which could reach the sensor and be analysed. The induced electrical signal was conditioned and converted to the digital signal. The supply of the headspace vapours to the sensing device was controlled by the regulated flow of pure air and the temperature of the water in the bubbler, resulting in a given vapour pressure of the chemicals.
4.2.4. Gas Sensing Device
The physical conditions inside the measurement chamber caused the adsorption of the molecules released from water and then their interaction with a semiconductor. This induced changes in the sensor’s resistivity and analytical signal generation. The signal was induced by particular components of headspace vapours and was dependent on their concentration. The resistivity of SnO2 could change due to varying physical and chemical properties of the gas interacting with a sensing material. The sensors were enclosed inside a chamber in which environmental conditions and gas exposure times were known and controlled. The sensors were exposed to the stream of headspace vapours. The flow rate through the sensor chamber was constant and exposure duration was predefined. Since chemiresistors vary widely in their sensitivity, several types of MOS sensors were tested. The following sensors were applied: TGS822, TGS823, TGS826, TGS2600, TGS2602, and TGS2603 (Figaro Engineering Inc., Osaka, Japan [36]). According to the producer, for sensors included in the array, the target gases are as follows: TGS822—organic solvent vapours, TGS823—organic solvent vapours, TGS826—ammonia, TGS2600—air contaminants (high sensitivity to hydrogen and carbon monoxide), TGS2602—air contaminants (high sensitivity to odorous gases such as ammonia and H2S), and TGS2603—air contaminants (high sensitivity to odorous gases such as amine-series and causing sulphurous odour). On purpose, sensors applied in our device had different detection ranges. In particular, the detection range of sensors TGS2600, TGS2602, and TGS2603 was from 1 ppm to several dozen ppm. The detection ranges of sensors TGS822, TGS823, and TGS826 were from 10 ppm to more than 1000 ppm. The measurements were conducted at room temperature, but the operating temperature of gas sensors was 300–450 °C, which is the working temperature for most metal oxide gas sensors.
4.2.5. Measurement Process
In the study, the measurement process consisted of several stages: (1) The headspace vapour generation. During this stage, the pure air was bubbled through the test water sample. (2) The delivery of the target substances to the sensor chamber. During this stage, the test gas sample was drawn from a bubbling device and directed to a sensor chamber. The gas flow rate was fixed and equal to 1 L/min. (3) The sensor exposure to the test gas sample. During this stage, the measurement signal was induced by the particular components of the test gas sample. The signal could continuously change due to the varying physical and chemical properties of this gas. Processes (1)–(3) ran in parallel. Their duration was 300 s. (4) Sensor regeneration/cleaning. At this stage, the purified room air was delivered to the sensing device. The sensor baseline was restored and the pneumatic system inside the device was cleaned. The air flow rate was fixed at 1 L/min. The duration of this phase was 300 s.
5. Results and Discussion
5.1. Gas Sensors’ Responses to Geosmin and MIB
Figure 3 shows corrected sensor responses to test samples generated from aqueous solutions of geosmin with concentrations of 0, 2.5, 5, 25, and 50 µg/L. Figure 4 shows corrected sensor responses to the samples generated from aqueous solutions of MIB with concentrations of 0, 0.5, 1, 5, and 10 µg/L.
Figure 3.
Corrected sensor responses which were recorded during their exposure to the test gas samples generated from aqueous solutions of geosmin with concentrations of 0 µg/L (blank; three samples—blue), 2.5 µg/L (red), 5 µg/L (green), 25 µg/L (black), and 50 µg/L (magenta).
Figure 4.
Corrected sensor responses which were recorded during their exposure to the test gas samples generated from aqueous solutions of MIB with concentrations of 0 µg/L (blank; three samples—blue), 0.5 µg/L (red), 1 µg/L (green), 5 µg/L (black), and 10 µg/L (magenta).
Figure 3 and Figure 4 show that all semiconductor gas sensors responded to the test gas samples generated from aqueous solutions of geosmin and MIB in the experimental concentration ranges (see Figure 1). During exposure, sensors’ responses varied over time. From the moment the test sample appeared in the sensors’ chamber, the sensors’ signals increased until they reached a maximum value, and then stabilised or decreased. The signal levels and character of their variation depended on the type and concentration of the analyte contained in the test sample. Individual sensors responded differently. Considering the variability of the sensors’ signals during exposure, the exposure time should be regarded as a factor that can be utilised to improve the sensors’ measurement properties.
The responses of the sensors in Figure 3 and Figure 4 showed concentration dependence. For lower concentrations (geosmin at 2.5 µg/L and 5 µg/L in Figure 3, as well as MIB at 0.5 µg/L and 1 µg/L in Figure 4), sensor responses to test samples were not distinctive compared with the blanks. For the higher concentrations (geosmin at 25 µg/L and 50 µg/L in Figure 3, and MIB at 5 µg/L and 10 µg/L in Figure 4), sensor responses to test samples were apparently higher than for the blanks and they correlated with the analyte concentration. Based on the comparison of Figure 3 and Figure 4, sensor responses to MIB solutions with a given concentration were similar in value to the responses to geosmin solutions with five times higher concentration.
Figure 5 shows corrected sensor signals recorded during exposure to test gas samples generated from aqueous solutions of geosmin and MIB with concentrations of 2.5 µg/L (G) and 0.5 µg/L (MIB), 5 µg/L (G) and 1 µg/L (MIB), 25 µg/L (G) and 5 µg/L (MIB), and 50 µg/L (G) and 10 µg/L (MIB).
Figure 5.
Corrected sensor responses which were recorded during their exposure to the test gas samples generated from aqueous solutions of geosmin and MIB with concentrations of 0 µg/L (G) and 0 µg/L (MIB) (blank; three samples—blue), 2.5 µg/L (G) and 0.5 µg/L (MIB) (red), 5 µg/L (G) and 1 µg/L (MIB) (green), 25 µg/L (G) and 5 µg/L (MIB) (black), and 50 µg/L (G) and 10 µg/L (MIB) (magenta).
As shown in Figure 5, all sensors responded to the test gas samples formed from aqueous solutions containing both geosmin and MIB. In the case of the two sensors, TGS826 and TGS2602, there was an unambiguous increase in the sensor response as the total concentration of the mixture components increased in the concentration range of 0 to 50 µg/L (G) and 0–25 µg/L (MIB). In the case of TGS822, TGS823, and TGS2600, the responses of the sensors to the lower mixture concentrations (2.5 µg/L (G) and 0.5 µg/L (MIB), as well as 5 µg/L (G), and 1 µg/L (MIB)) were not distinctive compared with the blanks. For higher concentrations of analytes, sensor responses increased with increasing total concentration. The TGS2603 sensor responded highly only to the test sample made of water containing 50 µg/L (G) and 10 µg/L (MIB).
5.2. Recognition of Geosmin and MIB in Aqueous Solution
Figure 6 displays the results of the principal component analysis of TGS826 and TGS2602 sensor responses recorded between 60 and 90 s of exposure to test samples. The domain of the sensor responses was transformed and its dimensionality was reduced down to the first two principal components. As a result of this operation, the groupings of data points were revealed, which represented deionised water (blanks), aqueous solutions of geosmin at different concentrations, aqueous solution of MIB at different concentrations, and aqueous solutions of geosmin and MIB mixture at different concentrations. The clusters shown in Figure 6 are quite distinctive, i.e., the distances between points within the clusters are less than between clusters. The only data point (the green point at the bottom of the chart) which has an illogical location represents the smallest concentration of geosmin.
Figure 6.
Results of principal component analysis of TGS826 and TGS2602 sensor responses recorded between 60 and 90 s of exposure to test samples. Measurement data are displayed in the domain of the first two principal components. Colours indicate groupings of data points associated with deionised water (blank), geosmin in aqueous solution (geosmin), aqueous solution of MIB (MIB), and aqueous solution of geosmin and MIB mixture (geosmin and MIB).
Table 1 presents the confusion matrix for the recognition of geosmin in aqueous solutions. The recognition was based on the classification of TGS826 and TGS2602 sensor responses recorded between 60 and 90 s of exposure to test samples. A K-NN classifier was applied. Table 2 presents the confusion matrix for the recognition of MIB in aqueous solutions. The recognition was based on the classification of TGS826 and TGS2602 sensor responses recorded between 60 and 90 s of exposure to test samples. A K-NN classifier was applied.
Table 1.
Confusion matrix for the recognition of geosmin in aqueous solutions.
Table 2.
Confusion matrix for the recognition of MIB in aqueous solutions.
As shown in Table 1, geosmin may be effectively recognised in aqueous solutions when its concentration is in the range of 2.5–50 μg/L. No misclassifications were encountered (see Table 1). The presence of MIB in the solution did not prevent the effective detection of geosmin. Based on Table 2, MIB may also be effectively recognised in water solutions when its concentration is in the range of 0.5–10 μg/L. One misclassification was encountered (see Table 2), which came from mistaking the aqueous solution of geosmin at the smallest concentration (2.5 μg/L(G)) for MIB. This error did not raise major concern because a geosmin concentration of 2.5 μg/L is below the best LOD for this compound, as shown in Table 3. Let us mention that the effective recognition of geosmin and MIB is not limited to the part of the sensor signal recorded between 60 and 90 s of exposure. Multiple other parts of sensor signals offer the same recognition performance. Regarding the test compounds, the recognition sensor signals are highly redundant.
Table 3.
The lowest LODs of the individual sensors for geosmin in water solution. The LODs were attained using the best time of exposure to the test sample. The determination coefficients (R2) refer to the signal/concentration functional relationship (Equation (4)) that is required to determine LOD.
5.3. Limits of Detection for Geosmin and MIB
Figure 7 shows the LOD of the individual sensors for geosmin. The LOD is the geosmin concentration in aqueous solution. Figure 7a shows the LOD for geosmin in aqueous solution containing only geosmin. Figure 7b refers to the detection of geosmin in an aqueous solution that may contain MIB in addition to geosmin. The analogous relationships for MIB are shown in Figure 8. Figure 8a refers to the detection of MIB in aqueous solution containing only MIB, and Figure 8b refers to the detection of MIB in aqueous solution that may contain geosmin in addition to MIB. Limits of detection are presented in Figure 7 and Figure 8 as a function of sensor exposure time.
Figure 7.
Limits of detection (LOD) of sensors for geosmin in aqueous solution of geosmin (a). LOD for geosmin in aqueous solution containing geosmin and MIB (b). The LOD for TGS2603 is out of range in (b).
Figure 8.
Limits of detection (LOD) of sensors for MIB in aqueous solution of MIB (a). LOD for MIB in aqueous solution containing geosmin and MIB (b). The LOD for TGS2603 is out of range in (b).
Figure 7 shows that for geosmin, LODs of the individual sensors were different. Moreover, the LOD of a sensor depended on whether the detection of the substance was carried out in an aqueous solution containing only the substance (Figure 7a), or if another additional substance was also present in the solution (Figure 7b). The LOD was also dependent on the duration of sensor exposure to the test sample. In other words, choosing an appropriate time of exposure potentially allows a low detection threshold to be attained. As shown in Figure 8, the LODs for MIB displayed similar regularities as for geosmin. The minimum LODs for geosmin and MIB were summarised in Table 3. For each sensor, the exposure time required to reach the minimum LOD was additionally displayed. We also provided the determination coefficients of the sensor response/analyte concentration functional relationship (Equation (4)), which were required to determine LODs. The respective results for MIB are shown in Table 4.
Table 4.
The lowest LODs of the individual sensors for MIB in water solution. The LODs were attained using the best time of exposure to the test sample. The determination coefficients (R2) refer to the signal/concentration functional relationship (Equation (4)) that is required to determine LOD.
Based on Figure 7 and Table 3, TGS2602 offered the best capability to detect geosmin. The LOD of this sensor was 6.20 μg/L(G) in pure aqueous solution and LOD = 21.2 μg/L(G) in aqueous solution which could contain MIB. Such detection capabilities were achieved by applying a sensor exposure time close to 5 min and 3 min, respectively. However, it can be seen in Figure 7a,b that the LOD of the TGS2602 sensor essentially stabilised after 3 min of exposure. The TGS826 sensor offered a similar capability to detect geosmin in aqueous solution as TGS2602. The LOD of TGS826 was 7.66 μg/L(G) upon exposure for about 4 min. However, the detection capability of this sensor for geosmin deteriorated when MIB could be additionally present in the solution (LOD = 78.6 μg/L(G)). The much higher detection thresholds of the other sensors, TGS822, TGS823, TGS2600, and TGS2603, show that their capability to detect geosmin was inferior to those of TGS826 and TGS2602, particularly in an aqueous solution additionally containing MIB. The determination coefficients (R2) displayed in Table 3 are meaningful. In the case of geosmin in an aqueous solution, R2 was high; R2 ∈ <0.87, 0.92>. This indicates the potential to determine the concentration of geosmin in water using a single sensor and its response recorded at a suitably selected time point of exposure. In the case of geosmin detection in solutions containing MIB, R2 ∈ <0.19, 0.58>, which indicated a low adequacy of the respective models. In this case, a single sensor was insufficient to determine analyte concentration.
Based on Figure 8 and Table 4, TGS826 offered the best capability to detect MIB. The LOD of this sensor was 0.52 μg/L(MIB). Such detection capabilities were achieved by applying a sensor exposure time of 4 min. However, it can be seen in Figure 8a that the LOD of the TGS826 sensor essentially stabilised after 2 min of exposure. The TGS2602 sensor offered a similar MIB detection capability in an aqueous solution as TGS826. The LOD of this sensor was 0.91 μg/L(MIB), with an exposure time of about 2 min. The detection capability of both sensors deteriorated when geosmin could be additionally present in the solution. However, the LOD of TGS2602 increased only to the level of 3.81 μg/L(MIB), while the LOD of TGS826 increased much more and reached 11.0 μg/L(MIB). Considering sensors TGS822, TGS823, TGS2600, and TGS2603, their LODs for MIB were much higher compared with TGS826 and TGS2602, indicating inferior detection capabilities, particularly in aqueous solution additionally containing geosmin (Figure 8b). As shown in Table 4, the R2 of the sensor response/analyte concentration models used to determine the LOD were high when it comes to MIB in pure aqueous solutions, R2 ∈ <0.88, 0.99>, and low for MIB in aqueous solutions additionally containing geosmin; R2 ∈ <0.25, 0.88>. This indicates the possibility of determining the concentration of MIB in an aqueous solution containing only this substance using a single sensor, in particular TGS826 and TGS2603.
5.4. Determination of Geosmin and MIB Concentration in Aqueous Solution
Based on Figure 3, Figure 4 and Figure 5, the sensor signals were dependent on the concentration of geosmin and MIB in aqueous solutions. The existence of this relationship provides a rationale for determining the concentrations of these compounds based on the responses of the sensors.
A mathematical model was developed to quantify geosmin in an aqueous solution, based on Equation (6). The parameters of the model are shown in Table 5, along with indicators of model performance (R2, RMSE of concentration prediction, and RMSE as a percentage of the measurement range). The explanatory variables of the model are the responses of sensors TGS826 and TGS2602. The selection of these sensors was justified by the fact that (1) TGS2606 offered the lowest LOD for geosmin, and TGS826 offered the second lowest LOD for this compound, and (2) the signals of the two sensors, TGS826 and TGS2602, showed an unambiguous increase with an increase in the total concentration of geosmin and MIB in the aqueous solution. The response of the TGS826 included in the model was associated with 325 s of exposure to the test sample, and for the TGS2602 sensor 498 s of exposure was used. These time points were chosen because they allowed geosmin concentration to be predicted with the smallest error. Figure 9a shows the RMSE of geosmin concentration prediction using models built based on TGS826 and TGS2602 sensor responses collected at all possible exposure times, and the best combination is highlighted. The diagnostic plot for the best model is shown in Figure 10a.
Table 5.
Mathematical models to determine the concentration of geosmin and MIB in aqueous solutions, based on Equation (6). The table presents the parameters and performance measures (R2, RMSE, and RMSE as a percentage of the concentration range (PCR)) for the models.
Figure 9.
Root mean square error (RMSE) of geosmin (a) and MIB (b) concentration prediction using responses of TGS826 and TGS2602 and the mathematical model based on the formula given by Equation (6). The time points of sensor exposure which offered the smallest RMSE are indicated (white dot).
Figure 10.
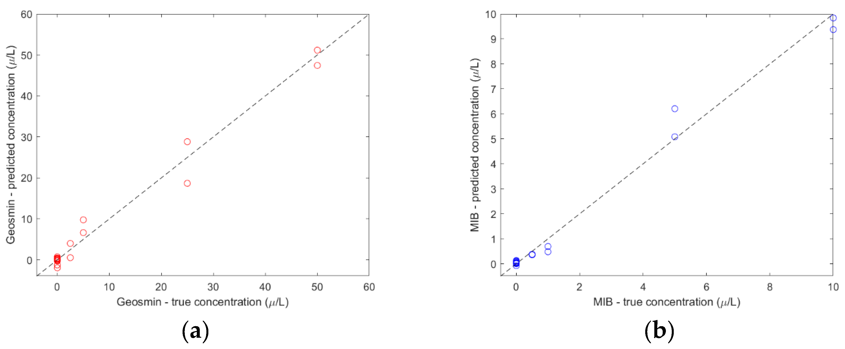
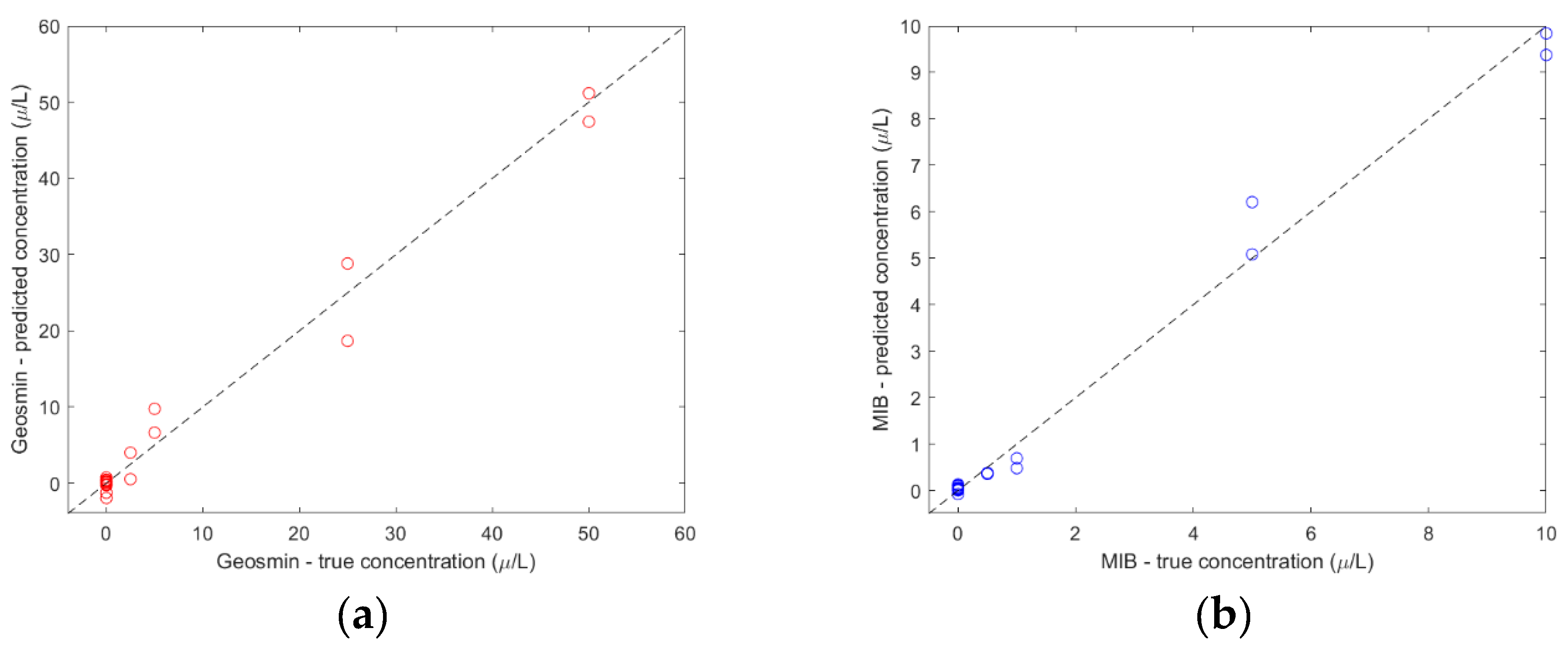
Diagnostic plots for the best model determining concentrations of geosmin (a) and MIB (b) in aqueous solutions. Red circles in (a) show geosmin concentrations, true versus predicted by the best model. The blue circles in (b) show MIB concentrations, true versus predicted by the best model. The models are shown in Table 5.
A model for MIB quantification was developed analogically. Sensors with the lowest MIB detection thresholds were chosen, whose responses show a relationship with the total concentration of the aqueous solution of geosmin and MIB. The sensors were TGS826 and TGS2602. The MIB concentration model utilised the TGS826 response from 209 s of exposure and TGS2606 response from 12 s of exposure. This selection allowed the minimum prediction error of the MIB concentration to be attained. The parameters and performance measures of the best model are shown in Table 5. The RMS of MIB concentration prediction as a function of exposure time of the TGS826 and TGS2602 sensors is shown in Figure 9b, with the best combination of time points highlighted. The diagnostic plot for the model is shown in Figure 10b.
As shown in Figure 9, the RMSE surfaces plotted in coordinates of sensor exposure time were smooth and without discontinuities. This assures that the time points utilised in models M1 and M2 (see Table 5) are not associated with a very local minimum of RMSE, which could potentially be accidental. Based on Figure 9, several other exposure time points offer low RMSE and could be used as a source of data for geosmin and MIB concentration determination without seriously impairing the results achieved by the best models. Based on performance indicators shown in Table 5, the quality of models M1 and M2 was high. The coefficients of determination show that model M1 explained 98% of the geosmin concentration variation and model M2 explained 98.8% of the MIB concentration variation. The concentration prediction errors were small and equal in the case of geosmin, RMSE = 2.19 μg/L, and in the case of MIB, RMSE = 0.33 μg/L. These values constituted the following percentages of the concentration range: 4.4% (for geosmin) and 3.3%, (for MIB). The diagnostic plots in Figure 10 reveal a very good correspondence between the true and predicted concentrations of geosmin and MIB. They are colinear. Moreover, the models neither underestimated nor overestimated.
6. Discussion
The main problems in the measurement of geosmin and MIB, as well as other O&T compounds, from the point of view of real-world applications, are the low concentrations of these compounds, interference from other substances in water (largely undefined qualitatively and quantitatively), the episodicity of elevated concentrations of these substances, and the unpredictability of their occurrence.
This paper presents the results of preliminary work on a method for measuring geosmin and MIB, which makes it possible to detect, identify, and determine their concentrations. However, the research was conducted with a full awareness of the problems and included a proposal to solve at least some of them.
Geosmin and MIB occur in water. However, during contact between water and air, they desorb into the air. The odour problem associated with geosmin and MIB manifests itself as a result of this phenomenon and indirectly justifies measurement in the gas phase. Under steady-state conditions, the ratio of concentrations of these compounds in the liquid and gas phase is described by equilibrium [37]. Because of the low concentrations of geosmin and MIB in water, when designing a measurement method using gas sensors, care must be taken to ensure that as much of these compounds as possible passes into the gas phase, while maintaining correspondence to the concentration in solution. This is fostered by increasing the liquid–gas phase contact surface [38,39,40] in a dynamic headspace system. In this work, this was achieved by using a bubbler operating under the negative pressure conditions induced by the sensing device.
The main limitation of the research conducted was the preparation of samples using deionised water. It should be emphasised that the decision not to use the drinking water or water coming directly from the intake was purposeful. The composition of such water is subject to fluctuations and one does not have control over it. Due to the partial selectivity of MOS sensors, there is the possibility of interferences from other O&T substances in the measurement of geosmin and MIB. Small concentrations of geosmin and MIB in water potentially cause little change in sensor response, compared to blank. The use of deionised water made it possible to work with solutions of well-defined composition, where the only variable was the concentration of the test substance. Under these conditions, the variability of the sensor response is essentially determined by the change in the content of the test substance, and the construction of a model for quantitative determinations is justified.
Due to the genesis of geosmin and MIB, the need to control these contaminants exists primarily at water intakes. The unpredictability of episodes of elevated concentrations means that measurements should be carried out continuously and automatically. It is particularly important to skip the manual sampling stage and reduce costs. The method proposed in the paper for preparing a gas sample from a solution can be easily adapted in a flow-through system, where the water sample is supplied continuously through a bypass of the main system. The paper showed the possibility of using ambient air as a carrier gas and for sensor regeneration. Air conditioning was limited to passing it through the syringe and activated carbon filters. This means there is no need for another carrier gas and the associated costs, and that allows for the simplification of the measurement system. The study showed that a sensor exposure time of 5 min was sufficient for the measurement. The measurement mode of the sensor device allows its regeneration, alternating with the measurement. Our research shows that a regeneration time of 5 min is sufficient to reproduce the baseline of the sensors in the measurements in the concentration range considered in the paper. In practice, this means that pollution control at the water intake could be performed at a frequency of once every 10 min.
7. Summary and Conclusions
A method to detect geosmin and MIB in water, recognise them, and determine their concentrations was proposed. The method utilises solid-state gas sensors and data analysis. The use of commercial sensors was considered: TGS822, TGS823, TGS826, TGS2600, TGS2602, and TGS2603. The suitability of the individual devices, as well as the sensor array, was examined. Test sample preparation plays an important role in the method. The tested solution is converted into a gas sample using a specially designed dynamic headspace. The responses of the sensors are recorded during exposure to headspace vapours in a dynamic mode. Tests were conducted using aqueous solutions containing geosmin and MIB as well as a geosmin and MIB mixture in the concentration range of geosmin 0–50 µg/L and MIB 0–10 µg/L. The study confirmed the possibility of detecting geosmin as well as MIB in water using single sensors. The best limit of detection for geosmin, LOD = 6.20 µg/L, was attained with the TGS2602 sensor. The best limit of detection for MIB, LOD = 0.52 µg/L, was attained using the TGS826 sensor. It was demonstrated that geosmin presence in an aqueous solution may be recognised with 100% effectiveness, using a classifier. An analogous result was obtained for MIB. The recognition was based on the dynamic responses of two selected sensors, TGS826 and TGS2602. The study showed that geosmin and MIB concentrations may be effectively determined in solutions containing one of these compounds, as well as both. A mathematical model was proposed that utilised the responses of two selected sensors, TGS826 and TGS2602. The concentration prediction error for geosmin was RMSE = 2.19 µg/L, and for MIB it was RMSE = 0.33 µg/L.
This work demonstrated the application potential of non-specific sensors for the early warning monitoring of geosmin and MIB presence in water. Further studies are needed to develop a system that could be tested in field conditions. The measurement method proposed in this work is intended for off-site measurements. The obtained results have shown that the method is particularly well-suited to providing preliminary or supplementary water assessment.
Author Contributions
Conceptualisation, A.S., M.M., M.K.-K. and M.W.; methodology, A.S. and M.M.; validation, A.S., M.M. and A.S.-P.; formal analysis, A.S. and M.M.; investigation, A.S., M.M. and A.S.-P.; resources, A.S. and M.K.-K.; data curation, M.M.; writing—original draft preparation, A.S., M.M., and M.K.-K.; writing—review and editing, A.S., M.M., M.K.-K. and M.W.; visualisation, M.M.; supervision, A.S. and M.K.-K.; project administration, A.S. and M.K.-K.; funding acquisition, A.S. and M.K.-K. All authors have read and agreed to the published version of the manuscript.
Funding
This research received no external funding.
Data Availability Statement
Data are contained within the article.
Conflicts of Interest
The authors declare no conflict of interest.
References
- Pozzer, A.C.; Gómez, P.A.; Weiss, J. Volatile organic compounds in aquatic ecosystems—Detection, origin, significance and applications. Sci. Total Environ. 2022, 838, 156155. [Google Scholar] [CrossRef] [PubMed]
- Young, W.F.; Horth, H.; Crane, R.; Ogden, T.; Arnott, M. Taste and odour threshold concentrations of potential potable water contaminants. Water Res. 1996, 30, 331–340. [Google Scholar] [CrossRef]
- Perkins, R.G.; Slavin, E.I.; Andrade, T.M.C.; Blenkinsopp, C.; Pearson, P.; Froggatt, T.; Godwin, G.; Parslow, J.; Hurley, S.; Luckwell, R.; et al. Managing taste and odour metabolite production in drinking water reservoirs: The importance of ammonium as a key nutrient trigger. J. Environ. Manag. 2019, 244, 276–284. [Google Scholar] [CrossRef] [PubMed]
- Chong, S.; Lee, H.; An, K. Predicting taste and odor compounds in a shallow reservoir using a three–dimensional hydrodynamic ecological model. Water 2018, 10, 1396. [Google Scholar] [CrossRef]
- Smith, V.H.; Sieber-Denlinger, J.; de Noyelles, F.; Campbell, S.; Pan, S.; Randtke, S.J.; Blain, G.T.; Strasser, V.A. Managing taste and odor problems in a eutrophic drinking water reservoir. Lake Reserv. Manag. 2002, 18, 319–323. [Google Scholar] [CrossRef]
- Yuan, B.; Xu, D.; Li, F.; Fu, M. Removal efficiency and possible pathway of odor compounds (2-methylisoborneol and geosmin) by ozonation. Sep. Purif. Technol. 2013, 117, 53–58. [Google Scholar] [CrossRef]
- WHO. Drinking Water Guidelines, 4th ed.; Incorporating the First Addendum; World Health Organization: Geneva, Switzerland, 2017. [Google Scholar]
- Seo, J.W.; Kim, Y.S.; Kim, K.B.; Kim, M.C.; Park, S.H.; Koo, J.Y. Removal characteristics of geosmin by advanced water treatment processes: A case study around the Han River, Republic of Korea. Desalination Water Treat. 2019, 157, 177–194. [Google Scholar] [CrossRef]
- Pochiraju, S.; Hoppe-Jones, C.; Adams, C.; Weinrich, L. Development and optimization of analytical methods for the detection of 18 taste and odor compounds in drinking water utilities. Water Res. X 2021, 11, 100099. [Google Scholar] [CrossRef]
- Kaziur, W.; Salemi, A.; Jochmann, M.A.; Schmid, T.C. Automated determination of picogram-per-liter level of water taste and odor compounds using solid-phase microextraction arrow coupled with gas chromatography-mass spectrometry. Anal. Bioanal. Chem. 2019, 411, 2653–2662. [Google Scholar] [CrossRef]
- Lian, H.; Lin, Q.; Sun, G. Automated ultratrace determination of musty odiferous compounds from environmental waters by online purge and trap (P&T) gas chromatography–mass spectrometry (GC–MS). Instrum. Sci. Technol. 2019, 47, 278–291. [Google Scholar]
- Bristow, R.L.; Haworth-Duff, A.; Young, I.S.; Myers, P.; Hampson, M.R.; Williams, J.; Maher, S. An automated micro solid phase extraction gas chromatography–mass spectrometry (μSPE-GC–MS) detection method for geosmin and 2-methylisoborneol in drinking water. Sci. Rep. 2023, 13, 1768. [Google Scholar] [CrossRef] [PubMed]
- Bristow, R.L.; Young, I.S.; Pemberton, A.; Williams, J.; Maher, S. An extensive review of the extraction techniques and detection methods for the taste and odour compound geosmin (trans-1,10-dimethyl-trans-9-decalol) in water. Trends Anal. Chem. 2019, 110, 233–248. [Google Scholar] [CrossRef]
- Braga, G.S.; Paterno, L.G.; Fonseca, F.J. Performance of an electronic tongue during monitoring 2-methylisoborneol and geosmin in water samples. Sens. Actuators B Chem. 2012, 171, 181–189. [Google Scholar] [CrossRef]
- Lvova, L.; Jahatspanian, I.; Mattoso, L.H.C.; Correa, D.S.; Oleneva, E.; Legin, A.; Di Natale, C.; Paolesse, R. Potentiometric E-Tongue System for Geosmin/Isoborneol Presence Monitoring in Drinkable Water. Sensors 2020, 20, 821. [Google Scholar] [CrossRef] [PubMed]
- Nam, S.-H.; Lee, J.; Kim, E.; Koo, J.-W.; Shin, Y.; Hwang, T.-M. Electronic tongue for the simple and rapid determination of taste and odor compounds in water. Chemosphere 2023, 338, 139511. [Google Scholar] [CrossRef] [PubMed]
- Stuetz, R.M.; White, M.; Fenner, R.A. Use of an electronic nose to detect tainting compounds in raw and treated water. J. Water SRT Aqua. 1998, 47, 223–228. [Google Scholar]
- Hogben, P.; Stuetz, R.M.; Drage, B. Use of chemical sensor array and an on-line flow-cell for monitoring water quality. In Proceedings of the AWWA Water Quality Technology Conference, Nashville, TN, USA, 11–14 November 2001; p. 9. [Google Scholar]
- Son, M.; Cho, D.-G.; Lim, J.H.; Park, J.; Hong, S.; Ko, H.J.; Park, T.H. Real-time monitoring of geosmin and 2-methylisoborneol, representative odor compounds in water pollution using bioelectronic nose with human-like performance. Biosens. Bioelectron. 2015, 74, 199–206. [Google Scholar] [CrossRef]
- Wang, Y.; Yan, X.; Wang, S.; Gao, S.; Yang, K.; Zhang, R.; Zhang, M.; Wang, M.; Ren, L.; Yu, J. Electronic nose application for detecting different odorants in source water: Possibility and scenario. Environ. Res. 2023, 227, 115677. [Google Scholar] [CrossRef]
- Saruhan, B.; Fomekong, R.L.; Nahirniak, S. Review: Influences of Semiconductor Metal Oxide Properties on Gas Sensing Characteristics. Front. Sens. 2021, 2, 657931. [Google Scholar] [CrossRef]
- Batzill, M. Surface Science Studies of Gas Sensing Materials: SnO2. Sensors 2006, 6, 1345–1366. [Google Scholar] [CrossRef]
- Chang, S.C. Oxygen chemisorption on tin oxide: Correlation between electrical conductivity and EPR measurements. J. Vac. Sci. Technol. 1980, 17, 366–369. [Google Scholar] [CrossRef]
- Wolkenstein, T. Electronic Processes on Semiconductor Surfaces during Chemisorption; Springer: New York, NY, USA, 1991. [Google Scholar]
- Morrison, S.R. Mechanism of semiconductor gas sensor operation. Sens. Actuators 1987, 11, 283–287. [Google Scholar] [CrossRef]
- Lantto, V. Chapter: Semiconductor Gas Sensors Based on SnO2 Thick Films. In Gas Sensors; Springer: Dordrecht, The Netherlands, 1992; pp. 117–167. ISBN 978-94-010-5214-6. [Google Scholar]
- Barsan, N.; Weimar, U. Conduction model of metal oxide gas sensors. J. Electroceramics 2001, 7, 143–167. [Google Scholar] [CrossRef]
- Barsan, N. Conduction models in gas-sensing SnO2 layers: Grain-size effects and ambient atmosphere influence. Sens. Actuators B Chem. 1994, 17, 241–246. [Google Scholar] [CrossRef]
- Kumar, A.; Kumar, M.; Kumar, R.; Singh, R.; Prasad, B.; Kumar, D. Numerical modelling of Chemisorption of oxygen gas molecules on the surface of semiconductor for gas sensors applications. Mater. Today Proc. 2019, 18, 1272–1279. [Google Scholar] [CrossRef]
- Kumar, A.; Kumar, R.; Singh, R.; Prasad, B.; Kumar, D.; Kumar, M. Effect of Surface State Density on Oxygen Chemisorption, Grain Potential and Carrier Concentration for Different Grain Sizes of Nanocrystallite Metal Oxide Semiconductors: A Numerical Modelling Approach. Arab. J. Sci. Eng. 2021, 46, 617–630. [Google Scholar] [CrossRef]
- Ciftyurek, E.; Li, Z.; Schierbaum, K. Adsorbed Oxygen Ions and Oxygen Vacancies: Their Concentration and Distribution in Metal Oxide Chemical Sensors and Influencing Role in Sensitivity and Sensing Mechanisms. Sensors 2023, 23, 29. [Google Scholar] [CrossRef]
- Wetchakun, K.; Samerjai, T.; Tamaekong, N.; Liewhiran, C.; Siriwong, C.; Kruefu, V.; Wisitsoraat, A.; Tuantranont, A.; Phanichphan, S. Semiconducting metal oxides as sensors for environmentally hazardous gases. Sens. Actuators B Chem. 2011, 160, 580–591. [Google Scholar] [CrossRef]
- Wang, C.; Yin, L.; Zhang, L.; Xiang, D.; Gao, R. Metal Oxide Gas Sensors: Sensitivity and Influencing Factors. Sensors 2010, 10, 2088–2106. [Google Scholar] [CrossRef]
- Confusion Matrix. Available online: https://en.wikipedia.org/wiki/Confusion_matrix (accessed on 15 November 2023).
- Desimoni, E.; Brunetti, B. About Estimating the Limit of Detection by the Signal to Noise Approach. Pharm. Anal. Acta 2015, 6, 4. [Google Scholar] [CrossRef]
- Figaro. Available online: https://www.figarosensor.com/product/sensor/ (accessed on 15 November 2023).
- Omur-Ozbek, P.; Dietrich, A.M. Determination of temperature -dependent Henry’s law constants of odorous containants and their application to human perception. Environ. Sci. Technol. 2005, 39, 3957–3963. [Google Scholar] [CrossRef] [PubMed]
- Kim, E.; Little, J.C.; Chiu, N. Estimating exposure to chemical contaminants in drinking water. Environ. Sci. Technol. 2004, 38, 1799–1806. [Google Scholar] [CrossRef] [PubMed]
- Bourgeois, W.; Stuetz, R.M. Use of a chemical sensor array for detecting pollutants in domestic wastewater. Water Res. 2002, 36, 4505–4512. [Google Scholar] [CrossRef] [PubMed]
- Little, J.C. Applying the two-resistance theory to water volatilization in showers. Environ. Sci. Technol. 1992, 26, 1341–1349. [Google Scholar] [CrossRef]
Disclaimer/Publisher’s Note: The statements, opinions and data contained in all publications are solely those of the individual author(s) and contributor(s) and not of MDPI and/or the editor(s). MDPI and/or the editor(s) disclaim responsibility for any injury to people or property resulting from any ideas, methods, instructions or products referred to in the content. |
© 2023 by the authors. Licensee MDPI, Basel, Switzerland. This article is an open access article distributed under the terms and conditions of the Creative Commons Attribution (CC BY) license (https://creativecommons.org/licenses/by/4.0/).









