Improved Repetitive Control for an LCL-Type Grid-Tied Inverter with Frequency Adaptive Capability in Microgrids
Abstract
1. Introduction
2. Grid-Tied Inverter System Modeling
3. Improved RC
3.1. CRC
3.2. The Proposed IRC
4. The Proposed Frequency Adaptive IRC
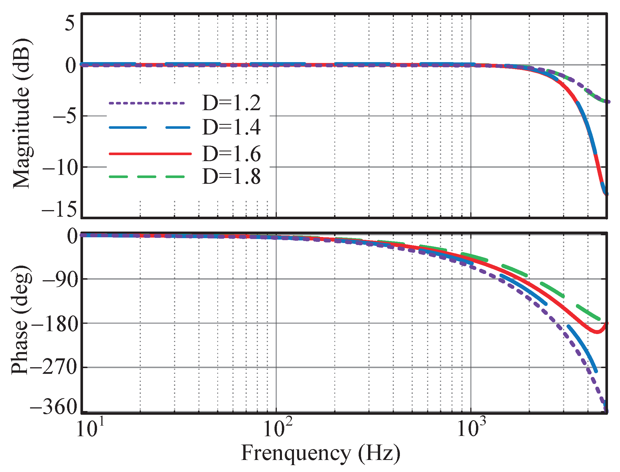
4.1. Fractional Delay FIR Filter
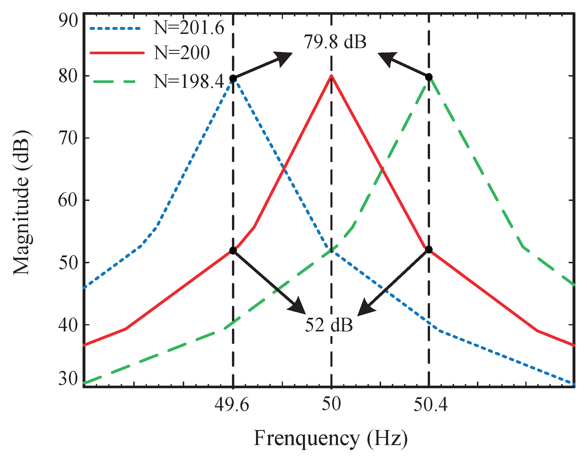
4.2. Stability Analysis of FA-IRC System
- The roots of within the unit circle.
- .
4.3. Characteristic Analysis
5. Simulation Verification
5.1. Steady State Response
5.2. Transient Response
6. Conclusions
Author Contributions
Funding
Data Availability Statement
Conflicts of Interest
Abbreviations
| IRC | Improved repetitive control |
| RC | Repetitive control |
| CRC | Conventional repetitive control |
| HORC | Higher-order repetitive control |
| FA-IRC | Frequency adaptive improved repetitive control |
| FD | Fractional delay |
| FIR | Finite impulse response |
| IIR | Infinite impulse response |
| PIMR-RC | Proportional integral multi resonant-type repetitive control |
| IMP | Internal model principle |
| THD | Total harmonic distortion |
| PWM | Pulse width modulation |
| ZOH | Zero-order holder |
| PLL | Phase-locked loop |
| PCC | Point of common coupling |
| QPR | Quasi-proportional resonant |
References
- Abdullah, M.A.; Muttaqi, K.M.; Agalgaonkar, A.P. Sustainable energy system design with distributed renewable resources considering economic, environmental and uncertainty aspects. Renew. Energy 2015, 78, 165–172. [Google Scholar] [CrossRef]
- Seifi, K.; Moallem, M. Synchronization and control of a single-phase grid-tied inverter under harmonic distortion. Electronics 2023, 12, 860. [Google Scholar] [CrossRef]
- Yang, Y.; Zhou, K.; Blaabjerg, F. Current harmonics from single-phase grid-connected inverters—Examination and suppression. IEEE J. Emerg. Sel. Top. Power Electron. 2015, 4, 221–233. [Google Scholar] [CrossRef]
- Lunardi, A.; Conde, E.; Assis, J.; Meegahapola, L. Repetitive predictive control for current control of grid-connected inverter under distorted voltage conditions. IEEE Access 2022, 10, 16931–16941. [Google Scholar] [CrossRef]
- Peng, F.; Xie, W.; Yan, J. State feedback and deadbeat predictive repetitive control of three-phase Z-source inverter. Electronics 2023, 12, 1005. [Google Scholar] [CrossRef]
- Ramos, G.A.; Costa-Castelló, R. Comparison of different repetitive control architectures: Synthesis and comparison. application to VSI converters. Electronics 2018, 7, 446. [Google Scholar] [CrossRef]
- Jiang, S.; Cao, D.; Li, Y.; Liu, J.; Peng, F.Z. Low-THD, fast-transient, and cost-effective synchronous-frame repetitive controller for three-phase UPS inverters. IEEE Trans. Power Electron. 2012, 27, 2994–3005. [Google Scholar] [CrossRef]
- Yang, Y.; Zhou, K.; Cheng, M.; Zhang, B. Phase compensation multiresonant control of CVCF PWM converters. IEEE Trans. Power Electron. 2012, 28, 3923–3930. [Google Scholar] [CrossRef]
- Zhao, Q.; Ye, Y. Fractional phase lead compensation RC for an inverter: Analysis, design, and verification. IEEE Trans. Ind. Electron. 2016, 64, 3127–3136. [Google Scholar] [CrossRef]
- Chen, S.; Zhao, Q.; Ye, Y.; Qu, B. Using IIR filter in fractional order phase lead compensation PIMR-RC for grid-tied inverters. IEEE Trans. Ind. Electron. 2022, in press. [CrossRef]
- Wang, Y.; Darwish, A.; Holliday, D.; Williams, B.W. Plug-in repetitive control strategy for high-order wide-output range impedance-source converters. IEEE Trans. Power Electron. 2016, 32, 6510–6522. [Google Scholar] [CrossRef]
- Zhao, Q.; Ye, Y. A PIMR-type repetitive control for a grid-tied inverter: Structure, analysis, and design. IEEE Trans. Power Electron. 2017, 33, 2730–2739. [Google Scholar] [CrossRef]
- Kim, B.S.; Tsao, T.C. Robust repetitive controller design with improved performance. In Proceedings of the 2001 American Control Conference, Arlington, VA, USA, 25–27 June 2001; pp. 2027–2032. [Google Scholar]
- Pandove, G.; Singh, M. Robust repetitive control design for a three-phase four wire shunt active power filter. IEEE Trans. Ind. Informat. 2018, 15, 2810–2818. [Google Scholar] [CrossRef]
- Kurniawan, E.; Cao, Z.; Man, Z. Design of robust repetitive control with time-varying sampling periods. IEEE Trans. Ind. Electron. 2014, 61, 2834–2841. [Google Scholar] [CrossRef]
- Kolluri, S.; Gorla, N.B.Y.; Sapkota, R.; Panda, S.K. A new control architecture with spatial comb filter and spatial repetitive controller for circulating current harmonics elimination in a droop-regulated modular multilevel converter for wind farm application. IEEE Trans. Power Electron. 2019, 34, 10509–10523. [Google Scholar] [CrossRef]
- Song, Y.; Nian, H. Sinusoidal output current implementation of DFIG using repetitive control under a generalized harmonic power grid with frequency deviation. IEEE Trans. Power Electron. 2015, 30, 6751–6762. [Google Scholar] [CrossRef]
- Zhu, M.; Ye, Y.; Xiong, Y.; Zhao, Q. Multibandwidth repetitive control resisting frequency variation in grid-tied inverters. IEEE J. Emerg. Sel. Top. Power Electron. 2021, 10, 446–454. [Google Scholar] [CrossRef]
- Lu, W.; Wang, W.; Zhou, K.; Fan, Q. General high-order selective harmonic repetitive control for PWM converters. IEEE J. Emerg. Sel. Top. Power Electron. 2022, 10, 1178–1191. [Google Scholar] [CrossRef]
- Zhao, Q.; Zhang, H.; Gao, Y.; Chen, S.; Wang, Y. Novel fractional-order repetitive controller based on Thiran IIR filter for grid-connected inverters. IEEE Access 2022, 10, 82015–82024. [Google Scholar] [CrossRef]
- Escobar, G.; Hernandez-Gomez, M.; Valdez-Fernandez, A.A.; Lopez-Sanchez, M.J.; Catzin-Contreras, G.A. Implementation of a 6n ± 1 repetitive controller subject to fractional delays. IEEE Trans. Ind. Electron. 2015, 62, 444–452. [Google Scholar] [CrossRef]
- Yang, Y.; Zhou, K.; Wang, H.; Blaabjerg, F.; Wang, D.; Zhang, B. Frequency adaptive selective harmonic control for grid-connected inverters. IEEE Trans. Power Electron. 2015, 30, 3912–3924. [Google Scholar] [CrossRef]
- Zhao, Q.; Chen, S.; Wen, S.; Qu, B.; Ye, Y. A frequency adaptive PIMR-type repetitive control for a grid-tied inverter. IEEE Access 2018, 6, 65418–65428. [Google Scholar] [CrossRef]
- Jamil, M.; Waris, A.; Gilani, S.O.; Khawaja, B.A.; Khan, M.N.; Raza, A. Design of robust higher-order repetitive controller using phase lead compensator. IEEE Access 2020, 8, 30603–30614. [Google Scholar] [CrossRef]
- Chen, Y.; Zhou, K.; Tang, C.; Shu, Y.; Yang, Y. Fractional-order multiperiodic odd-harmonic repetitive control of programmable AC power sources. IEEE Trans. Power Electron. 2022, 37, 7751–7758. [Google Scholar] [CrossRef]
- Chen, D.; Zhang, J.; Qian, Z. An Improved repetitive control scheme for grid-connected inverter with frequency-adaptive capability. IEEE Trans. Ind. Electron. 2013, 60, 814–823. [Google Scholar] [CrossRef]
- Zou, Z.X.; Zhou, K.; Wang, Z.; Cheng, M. Frequency-adaptive fractional-order repetitive control of shunt active power filters. IEEE Trans. Ind. Electron. 2015, 62, 1659–1668. [Google Scholar] [CrossRef]
- Ye, J.; Liu, L.; Xu, J.; Shen, A. Frequency adaptive proportional-repetitive control for grid-connected inverters. IEEE Trans. Ind. Electron. 2021, 68, 7965–7974. [Google Scholar] [CrossRef]
- Jalili, K.; Bernet, S. Design of LCL filters of active-front-end two-level voltage-source converters. IEEE Trans. Ind. Electron. 2009, 56, 1674–1689. [Google Scholar] [CrossRef]
- Zhang, Z.; Ding, W. Improved active disturbance rejection control strategy for LCL-type grid-connected inverters based on the backstepping method. Electronics 2022, 11, 2237. [Google Scholar] [CrossRef]
- Wang, X.; Zhuang, R.; Cai, J. Theoretical analysis of a fractional-order LLCL filter for grid-tied inverters. Fractal Fract. 2023, 7, 135. [Google Scholar] [CrossRef]
- Cespedes, M.; Sun, J. Adaptive Control of Grid-Connected Inverters Based on Online Grid Impedance Measurements. IEEE Trans. Sustain. Energy 2014, 5, 516–523. [Google Scholar] [CrossRef]
- IEEE Standard 1547.2-2008; IEEE Application Guide for IEEE Std 1547, IEEE Standard for Interconnecting Distributed Resources with Electric Power Systems. IEEE: New York, NY, USA, 2009.
- Laakso, T.I.; Valimaki, V.; Karjalainen, M.; Laine, U.K. Splitting the unit delay [FIR/all pass filters design]. IEEE Signal Process. Mag. 1996, 13, 1996. [Google Scholar] [CrossRef]
- Xie, C.; Zhao, X.; Savaghebi, M.; Meng, L.; Guerrero, J.M.; Vasquez, J.C. Multirate fractional-order repetitive control of shunt active power filter suitable for microgrid applications. IEEE J. Emerg. Sel. Top. Power Electron. 2017, 5, 809–819. [Google Scholar] [CrossRef]
- Kwan, H.K.; Jiang, A. FIR, allpass, and IIR variable fractional delay digital filter design. IEEE Trans. Circuits Syst. I Reg. Pap. 2009, 56, 2064–2074. [Google Scholar] [CrossRef]
- Zmood, D.N.; Holmes, D.G. Stationary frame current regulation of PWM inverters with zero steady-state error. IEEE Trans. Circuits Syst. I Reg. Pap. 2003, 18, 814–822. [Google Scholar] [CrossRef]





















| Parameters | Symbols | Value | Parameters | Symbols | Value |
|---|---|---|---|---|---|
| DC-link voltage | 380 V | equivalent resistance | 0.48 | ||
| Fundamental frequency | 50 Hz | Grid-side inductor | 2.5 mH | ||
| Sampling frequency | 10 kHz | equivalent resistance | 0.32 | ||
| Switching frequency | 10 kHz | Output filter capacitance | C | 10 μF | |
| Inverter-side inductor | 3 mH | Passive damping resistor | 10 | ||
| RMS value of grid voltage | 220 V | Switching dead time | - | 3 μs |
| Frequency (Hz) | 49.5 | 49.6 | 49.7 | 49.8 | 49.9 | 50 | 50.1 | 50.2 | 50.3 | 50.4 | 50.5 |
| 202 | 201.6 | 201.2 | 200.8 | 200.4 | 200 | 199.6 | 199.2 | 198.8 | 198.4 | 198 |
| D | |||
| Fundamental Frequency (Hz) | THD Results of Different Control Systems (%) | ||||
|---|---|---|---|---|---|
| QPR | CRC | IRC | IRC with IIR | Proposed FA-IRC | |
| 49.6 | 4.19 | 1.70 | 2.36 | 0.62 | 0.59 |
| 49.7 | 4.19 | 1.52 | 1.51 | 0.67 | 0.66 |
| 49.8 | 3.97 | 1.22 | 0.99 | 0.72 | 0.59 |
| 49.9 | 3.96 | 0.80 | 0.75 | 0.67 | 0.68 |
| 50 | 3.91 | 0.60 | 0.67 | 0.67 | 0.67 |
| 50.1 | 3.98 | 0.91 | 0.84 | 0.64 | 0.67 |
| 50.2 | 3.87 | 1.43 | 1.59 | 0.64 | 0.66 |
| 50.3 | 3.80 | 1.69 | 2.17 | 0.68 | 0.61 |
| 50.4 | 3.93 | 1.73 | 2.40 | 0.62 | 0.70 |
Disclaimer/Publisher’s Note: The statements, opinions and data contained in all publications are solely those of the individual author(s) and contributor(s) and not of MDPI and/or the editor(s). MDPI and/or the editor(s) disclaim responsibility for any injury to people or property resulting from any ideas, methods, instructions or products referred to in the content. |
© 2023 by the authors. Licensee MDPI, Basel, Switzerland. This article is an open access article distributed under the terms and conditions of the Creative Commons Attribution (CC BY) license (https://creativecommons.org/licenses/by/4.0/).
Share and Cite
Zhang, H.; Zhao, Q.; Wang, S.; Yue, X. Improved Repetitive Control for an LCL-Type Grid-Tied Inverter with Frequency Adaptive Capability in Microgrids. Electronics 2023, 12, 1736. https://doi.org/10.3390/electronics12071736
Zhang H, Zhao Q, Wang S, Yue X. Improved Repetitive Control for an LCL-Type Grid-Tied Inverter with Frequency Adaptive Capability in Microgrids. Electronics. 2023; 12(7):1736. https://doi.org/10.3390/electronics12071736
Chicago/Turabian StyleZhang, Hongwei, Qiangsong Zhao, Shuanghong Wang, and Xuebin Yue. 2023. "Improved Repetitive Control for an LCL-Type Grid-Tied Inverter with Frequency Adaptive Capability in Microgrids" Electronics 12, no. 7: 1736. https://doi.org/10.3390/electronics12071736
APA StyleZhang, H., Zhao, Q., Wang, S., & Yue, X. (2023). Improved Repetitive Control for an LCL-Type Grid-Tied Inverter with Frequency Adaptive Capability in Microgrids. Electronics, 12(7), 1736. https://doi.org/10.3390/electronics12071736

