Design of Efficient Methods for the Detection of Tomato Leaf Disease Utilizing Proposed Ensemble CNN Model
Abstract
1. Introduction
- Diagnosing plant diseases is essential for determining the quality and health of a crop, as it evaluates numerous parameters such as crop yield, yield capacity, grain quality, and nutrient retention.
- Suggesting new CNN models and creating new ensemble structures with the proposed CNNs models.
- The stratified 5-fold cross-validation method is used for classification problems, and the folds are selected so that each fold contains roughly the same ratios as the target class.
- Obtaining a higher accuracy ratio compared to the studies carried out in the literature. In particular, the architectures commonly used in the literature for the detection of tomato disease are selected and proposed CNN models and ensemble models are presented. After these systems are designed, it is intended to contribute to the literature by increasing the accuracy of the models.
- Automatically identifying tomato plant diseases.
- Achieving fast training and testing times and superior classification performance.
2. Material and Methods
2.1. Deep Learning
2.1.1. Proposed Convolutional Neural Networks (CNN)
2.1.2. CNN Models
MobileNet
EfficientNet
Inception
2.2. Dataset
2.3. Tuning
2.3.1. Fine Tuning
2.3.2. Hyperparameter Optimization with Particle Swarm Optimization (PSO)
2.3.3. Grid Search
2.4. Evaluation Metrics
- The true-positive (tp) value represents the number of correctly identified infected image samples.
- False-positive (fp) indicates the number of samples incorrectly identified as infected.
- True-negative (tn) identifies correctly classified non-infected plants.
- False-negative (fn) identifies individuals who are incorrectly classified as healthy.
3. Experimental Results
3.1. The Framework of Proposed Ensemble Models
3.1.1. Model I, 3-EnsCNNs (MobileNetV3Small, EfficientNetV2L, CNN2)
3.1.2. Model II, 3-EnsCNNs (MobileNetV3Small, EfficientNetV2L, CNN1)
3.1.3. Model III, 3-EnsCNNs (InceptionV3, CNN2, and MobileNetV2)
3.1.4. Model IV, 5-EnsCNNs (MobileNetV3Small, EfficientNetV2L, CNN2, CNN1, InceptionV3)
4. Conclusions
Author Contributions
Funding
Data Availability Statement
Acknowledgments
Conflicts of Interest
References
- Yu, Y.; Samali, B.; Rashidi, M.; Mohammadi, M.; Nguyen, T.N.; Zhang, G. Vision-based concrete crack detection using a hybrid framework considering noise effect. J. Build. Eng. 2022, 61, 105246. [Google Scholar] [CrossRef]
- Şahin, M.E.; Ulutaş, H.; Yuce, E. A deep learning approach for detecting pneumonia in chest x-rays. Avrupa Bilim Ve Teknol. Derg. 2021, 28, 562–567. [Google Scholar] [CrossRef]
- Kaloxylos, A.; Gavras, A.; Camps, D.; Ghoraishi, M.; Hrasnica, H. AI and ML–Enablers for beyond 5G Networks. Zenodo Tech. Rep. 2020, 1–145. [Google Scholar] [CrossRef]
- Yu, Y.; Liang, S.; Samali, B.; Nguyen, T.N.; Zhai, C.; Li, J.; Xie, X. Torsional capacity evaluation of RC beams using an improved bird swarm algorithm optimised 2D convolutional neural network. Eng. Struct. 2022, 273, 115066. [Google Scholar] [CrossRef]
- Spantideas, S.T.; Giannopoulos, A.E.; Kapsalis, N.C.; Capsalis, C.N. A deep learning method for modeling the magnetic signature of spacecraft equipment using multiple magnetic dipoles. IEEE Magn. Lett. 2021, 12, 1–5. [Google Scholar] [CrossRef]
- Park, H.; Eun, J.S.; Kim, S.H. Image-based disease diagnosing and predicting of the crops through the deep learning mechanism. In Proceedings of the 2017 International Conference on Information and Communication Technology Convergence (ICTC), Jeju Island, Republic of Korea, 18–20 October 2017; pp. 129–131. [Google Scholar]
- Sardogan, M.; Tuncer, A.; Ozen, Y. Plant leaf disease detection and classification based on CNN with LVQ algorithm. In Proceedings of the 2018 3rd International Conference on Computer Science and Engineering (UBMK), Sarajevo, Bosnia and Herzegovina, 20–23 September 2018; pp. 382–385. [Google Scholar]
- Singh, V.; Misra, A.K. Detection of plant leaf diseases using image segmentation and soft computing techniques. Inf. Process. Agric. 2017, 4, 41–49. [Google Scholar] [CrossRef]
- Zhang, S.; Wu, X.; You, Z.; Zhang, L. Leaf image based cucumber disease recognition using sparse representation classification. Comput. Electron. Agric. 2017, 134, 135–141. [Google Scholar] [CrossRef]
- Ferentinos, K.P. Deep learning models for plant disease detection and diagnosis. Comput. Electron. Agric. 2018, 145, 311–318. [Google Scholar] [CrossRef]
- Lu, Y.; Yi, S.; Zeng, N.; Liu, Y.; Zhang, Y. Identification of rice diseases using deep convolutional neural networks. Neurocomputing 2017, 267, 378–384. [Google Scholar] [CrossRef]
- Cruz, A.C.; Luvisi, A.; De Bellis, L.; Ampatzidis, Y. Vision-based plant disease detection system using transfer and deep learning. In Proceedings of the 2017 ASABE Annual International Meeting, Spokane, WA, USA, 16–19 July 2017; p. 1. [Google Scholar]
- Mohanty, S.P.; Hughes, D.P.; Salathé, M. Using deep learning for image-based plant disease detection. Front. Plant Sci. 2016, 7, 1419. [Google Scholar] [CrossRef]
- Hanson, A.M.G.J.; Joel, M.G.; Joy, A.; Francis, J. Plant leaf disease detection using deep learning and convolutional neural network. Int. J. Eng. Sci. 2017, 5324, 2–4. [Google Scholar]
- Namin, S.T.; Esmaeilzadeh, M.; Najafi, M.; Brown, T.B.; Borevitz, J.O. Deep phenotyping: Deep learning for temporal phenotype/genotype classification. Plant Methods 2018, 14, 66. [Google Scholar] [CrossRef] [PubMed]
- Too, E.C.; Yujian, L.; Njuki, S.; Yingchun, L. A comparative study of fine-tuning deep learning models for plant disease identification. Comput. Electron. Agric. 2019, 161, 272–279. [Google Scholar] [CrossRef]
- Kanda, P.S.; Xia, K.; Kyslytysna, A.; Owoola, E.O. Tomato Leaf Disease Recognition on Leaf Images Based on Fine-Tuned Residual Neural Networks. Plants 2022, 11, 2935. [Google Scholar] [CrossRef] [PubMed]
- Saranya, S.M.; Rajalaxmi, R.; Prabavathi, R.; Suganya, T.; Mohanapriya, S.; Tamilselvi, T. Deep Learning Techniques in Tomato Plant—A Review. J. Phys. Conf. Ser. 2021, 1767, 012010. [Google Scholar] [CrossRef]
- Sangeetha, R.; Rani, M.M.S. Tomato leaf disease prediction using convolutional neural network. Int. J. Innov. Technol. Explor. Eng. 2019, 9, 1348–1352. [Google Scholar] [CrossRef]
- Thangaraj, R.; Anandamurugan, S.; Kaliappan, V.K. Automated tomato leaf disease classification using transfer learning-based deep convolution neural network. J. Plant Dis. Prot. 2021, 128, 73–86. [Google Scholar] [CrossRef]
- Kwabena, P.M.; Weyori, B.A.; Mighty, A.A. Gabor capsule network for plant disease detection. Int. J. Adv. Comput. Sci. Appl. 2020, 11, 388–395. [Google Scholar] [CrossRef]
- Abdu, A.M.; Mokji, M.M.; Sheikh, U.U. Automatic vegetable disease identification approach using individual lesion features. Comput. Electron. Agric. 2020, 176, 105660. [Google Scholar] [CrossRef]
- Sahin, M.E. A Deep Learning-Based Technique for Diagnosing Retinal Disease by Using Optical Coherence Tomography (OCT) Images. Turk. J. Sci. Technol. 2022, 17, 417–426. [Google Scholar]
- Sahin, M.E. Deep learning-based approach for detecting COVID-19 in chest X-rays. Biomed. Signal Process. Control 2022, 78, 103977. [Google Scholar] [CrossRef]
- LeCun, Y. Deep learning & convolutional networks. In Proceedings of the Hot Chips Symposium, Cupertino, CA, USA, 22–25 August 2015; pp. 1–95. [Google Scholar]
- Sandler, M.; Howard, A.; Zhu, M.; Zhmoginov, A.; Chen, L.C. Mobilenetv2: Inverted residuals and linear bottlenecks. In Proceedings of the IEEE Conference on Computer Vision and Pattern Recognition, Salt Lake City, UT, USA, 18–23 June 2018; pp. 4510–4520. [Google Scholar]
- Tan, M.; Le, Q. Efficientnet: Rethinking model scaling for convolutional neural networks. In Proceedings of the International Conference on Machine Learning, Beach, CA, USA, 10–15 May 2019; pp. 6105–6114. [Google Scholar]
- Szegedy, C.; Liu, W.; Jia, Y.; Sermanet, P.; Reed, S.; Anguelov, D.; Erhan, D.; Vanhoucke, V.; Rabinovich, A. Going deeper with convolutions. In Proceedings of the IEEE Conference on Computer Vision and Pattern Recognition, Boston, MA, USA, 7–12 June 2015; pp. 1–9. [Google Scholar]
- Garcia-Garcia, A.; Orts-Escolano, S.; Oprea, S.; Villena-Martinez, V.; Martinez-Gonzalez, P.; Garcia-Rodriguez, J. A survey on deep learning techniques for image and video semantic segmentation. Appl. Soft Comput. 2018, 70, 41–65. [Google Scholar] [CrossRef]
- Pandian, J.A.; Geetharamani, G. Data for: Identification of Plant Leaf Diseases Using a 9-layer Deep Convolutional Neural Network. Mendeley Data 2019, V1, 323–338. [Google Scholar] [CrossRef]
- Xu, X.; Shi, B.; Gu, Z.; Deng, R.; Chen, X.; Krylov, A.S.; Ding, Y. 3D no-reference image quality assessment via transfer learning and saliency-guided feature consolidation. IEEE Access 2019, 7, 85286–85297. [Google Scholar] [CrossRef]
- Bergstra, J.; Bengio, Y. Random search for hyper-parameter optimization. J. Mach. Learn. Res. 2012, 13, 281–305. [Google Scholar]
- Kennedy, J.; Eberhart, R. Particle swarm optimization. In Proceedings of the ICNN’95—International Conference on Neural Networks, Perth, WA, Australia, 27 November–1 December 1995; pp. 1942–1948. [Google Scholar]
- Klein, A.; Falkner, S.; Bartels, S.; Hennig, P.; Hutter, F. Fast bayesian optimization of machine learning hyperparameters on large datasets. In Proceedings of the 20th International Conference on Artificial Intelligence and Statistics, AISTATS 2017, Lauderdale, FL, USA, 20–22 April 2017; pp. 528–536. [Google Scholar]
- Akay, B.; Karaboga, D.; Akay, R. A comprehensive survey on optimizing deep learning models by metaheuristics. Artif. Intell. Rev. 2022, 55, 829–894. [Google Scholar] [CrossRef]
- Yamasaki, T.; Honma, T.; Aizawa, K. Efficient optimization of convolutional neural networks using particle swarm optimization. In Proceedings of the 2017 IEEE Third International Conference on Multimedia Big Data (BigMM), Laguna Hills, CA, USA, 19–21 April 2017; pp. 70–73. [Google Scholar]
- Sahin, M.E. Image processing and machine learning-based bone fracture detection and classification using X-ray images. Int. J. Imaging Syst. Technol. 2023, 1–13. [Google Scholar] [CrossRef]
- Arlot, S.; Celisse, A. A survey of cross-validation procedures for model selection. Stat. Surv. 2010, 4, 40–79. [Google Scholar] [CrossRef]
- Ashqar, B.A.; Abu-Naser, S.S. Image-based tomato leaves diseases detection using deep learning. Int. J. Acad. Eng. Res. 2018, 2, 10–16. [Google Scholar]
- Brahimi, M.; Boukhalfa, K.; Moussaoui, A. Deep learning for tomato diseases: Classification and symptoms visualization. Appl. Artif. Intell. 2017, 31, 299–315. [Google Scholar] [CrossRef]
- Durmuş, H.; Güneş, E.O.; Kırcı, M. Disease detection on the leaves of the tomato plants by using deep learning. In Proceedings of the 2017 6th International Conference on Agro-Geoinformatics, Fairfax, VA, USA, 7–10 August 2017; pp. 1–5. [Google Scholar]
- Zhang, K.; Wu, Q.; Liu, A.; Meng, X. Can deep learning identify tomato leaf disease? Adv. Multimed. 2018, 10, 6710865. [Google Scholar] [CrossRef]
- Elhassouny, A.; Smarandache, F. Smart mobile application to recognize tomato leaf diseases using Convolutional Neural Networks. In Proceedings of the 2019 International Conference of Computer Science and Renewable Energies (ICCSRE), Agadir, Morocco, 22–24 July 2019; pp. 1–4. [Google Scholar]
- Agarwal, M.; Gupta, S.K.; Biswas, K.K. Development of Efficient CNN model for Tomato crop disease identification. Sustain. Comput. Inform. Syst. 2020, 28, 100407. [Google Scholar] [CrossRef]
- Lamba, M.; Gigras, Y.; Dhull, A. Classification of plant diseases using machine and deep learning. Open Comput. Sci. 2021, 11, 491–508. [Google Scholar] [CrossRef]
- Zhao, S.; Peng, Y.; Liu, J.; Wu, S. Tomato leaf disease diagnosis based on improved convolution neural network by attention module. Agriculture 2021, 11, 651. [Google Scholar] [CrossRef]
- Moussafir, M.; Chaibi, H.; Saadane, R.; Chehri, A.; Rharras, A.E.; Jeon, G. Design of efficient techniques for tomato leaf disease detection using genetic algorithm-based and deep neural networks. Plant Soil 2022, 479, 251–266. [Google Scholar] [CrossRef]
- Li, M.; Zhou, G.; Chen, A.; Yi, J.; Lu, C.; He, M.; Hu, Y. FWDGAN-based data augmentation for tomato leaf disease identification. Comput. Electron. Agric. 2022, 194, 106779. [Google Scholar] [CrossRef]
- Paymode, A.S.; Malode, V.B. Transfer Learning for Multi-Crop Leaf Disease Image Classification using Convolutional Neural Network VGG. Artif. Intell. Agric. 2022, 6, 23–33. [Google Scholar] [CrossRef]
- Devi, S.N.; Muthukumaravel, A. A Novel Salp Swarm Algorithm with Attention-Densenet Enabled Plant Leaf Disease Detection and Classification in Precision Agriculture. In Proceedings of the 2022 International Conference on Advanced Computing Technologies and Applications (ICACTA), Coimbatore, India, 4–5 March 2022; pp. 1–7. [Google Scholar]
- Bhujel, A.; Kim, N.E.; Arulmozhi, E.; Basak, J.K.; Kim, H.T. A lightweight Attention-based convolutional neural networks for tomato leaf disease classification. Agriculture 2022, 12, 228. [Google Scholar] [CrossRef]
- Zhao, Y.; Sun, C.; Xu, X.; Chen, J. RIC-Net: A plant disease classification model based on the fusion of Inception and residual structure and embedded attention mechanism. Comput. Electron. Agric. 2022, 193, 106644. [Google Scholar] [CrossRef]
- Tarek, H.; Aly, H.; Eisa, S.; Abul-Soud, M. Optimized Deep Learning Algorithms for Tomato Leaf Disease Detection with Hardware Deployment. Electronics 2022, 11, 140. [Google Scholar] [CrossRef]
- Özbılge, E.; Ulukök, M.K.; Toygar, Ö.; Ozbılge, E. Tomato Disease Recognition Using a Compact Convolutional Neural Network. IEEE Access 2022, 10, 77213–77224. [Google Scholar] [CrossRef]
- Mukherjee, G.; Chatterjee, A.; Tudu, B. Identification of the types of disease for tomato plants using a modified gray wolf optimization optimized MobileNetV2 convolutional neural network architecture driven computer vision framework. Concurr. Comput. Pract. Exp. 2022, 34, e7161. [Google Scholar] [CrossRef]














| Layer | CNN1 | CNN2 |
|---|---|---|
| input | 224 × 224 × 3 | 224 × 224 × 3 |
| Conv. + ReLU | Filter size: 3 × 3 | Filter size: 3 × 3 |
| Number of filters: 32 | Number of filters: 16 | |
| Max-pooling | Filter size: 2 × 2 | Filter size: 2 × 2 |
| Conv. + ReLU | Filter size: 3 × 3 | Filter size: 3 × 3 |
| Number of filters: 64 | Number of filters: 32 | |
| Max-pooling | Filter size: 2 × 2 | Filter size: 2 × 2 |
| Dropout | Dropout rate: 0.3 | |
| Conv. + ReLU | Filter size: 3 × 3 | Filter size: 3 × 3 |
| Number of filters: 128 | Number of filters: 64 | |
| Max-pooling | Filter size: 2 × 2 | Filter size: 2 × 2 |
| Dropout | Dropout rate: 0.4 | |
| Conv. + ReLU | Filter size: 3 × 3 | Filter size: 3 × 3 |
| Number of filters: 256 | Number of filters: 64 | |
| Max-pooling | Filter size: 2 × 2 | Filter size: 2 × 2 |
| Conv. + ReLU | Filter size: 3 × 3 | |
| Number of filters: 32 | ||
| Max-pooling | Filter size: 2 × 2 | |
| Flatten | 36,864 | 800 |
| Fully connected | 128 | 512 |
| Dropout | Dropout rate: 0.5 | |
| Dense | 10 | 10 |
| Output | C0–C9 | C0–C9 |
| Class Label | Total Data | Training and Validation Data | Test Data |
|---|---|---|---|
| Bacterial spot | 2127 | 1585 | 542 |
| Early blight | 1000 | 766 | 234 |
| Healthy | 1591 | 1122 | 469 |
| Late blight | 1909 | 1662 | 247 |
| Leaf mold | 952 | 544 | 408 |
| Septoria leaf spot | 1771 | 1306 | 465 |
| Spider mites two-spotted spider mite | 1676 | 1323 | 353 |
| Target spot | 1404 | 69 | 1335 |
| Tomato mosaic virus | 373 | 269 | 104 |
| Tomato yellow leaf curl virus | 5357 | 4974 | 383 |
| Name | Parameter |
|---|---|
| Memory | 64 GB |
| Processor | Intel® Xeon(R) Silver 4114 CPU @ 2.20 GHz × 40 |
| Server model | Hp z6 g4 |
| Graphics | NVIDIA Corporation GP102 [GeForce GTX 1080 Ti] |
| OS | Ubuntu 20.04.5 LTS |
| Language | Python 3 |
| Framework | Jupyter Notebook |
| Models | Size |
|---|---|
| MobileNetV3Small | 224 × 224 × 3 |
| EfficientNetV2L | 224 × 224 × 3 |
| InceptionV3 | 224 × 224 × 3 |
| MobileNetV2 | 224 × 224 × 3 |
| CNN1 | 224 × 224 × 3 |
| CNN2 | 224 × 224 × 3 |
| Layers | Hyperparameters | CNN1 | CNN2 |
|---|---|---|---|
| Convolution | Number of convolution layers | 4 | 5 |
| Pooling | Number of pooling layers | 4 | 5 |
| Dropout | Number of dropout layers | 3 | 0 |
| Flatten | Number of flatten layers | 1 | 1 |
| Fully connected | Number of fully connected layer | 1 | 1 |
| Number of filters | 32, 64, 128, 256 | 16, 32, 64, 64, 32 | |
| Convolution | Filter size | 3 × 3 | 3 × 3 |
| Pooling | Filter size | 2 × 2 | 2 × 2 |
| Dropout | Dropout rate | 0.3, 0.4, 0.5 | |
| Flatten | Vector length | 36,864 | 800 |
| Fully connected | Number of neurons | 128 | 512 |
| Training optimizers | Learning rate | 0.0001 | 0.0001 |
| Optimizer | Adam | Adam | |
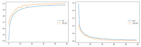
| Batch size | 4 | 4 | |
| Epoch | 50 | 50 |
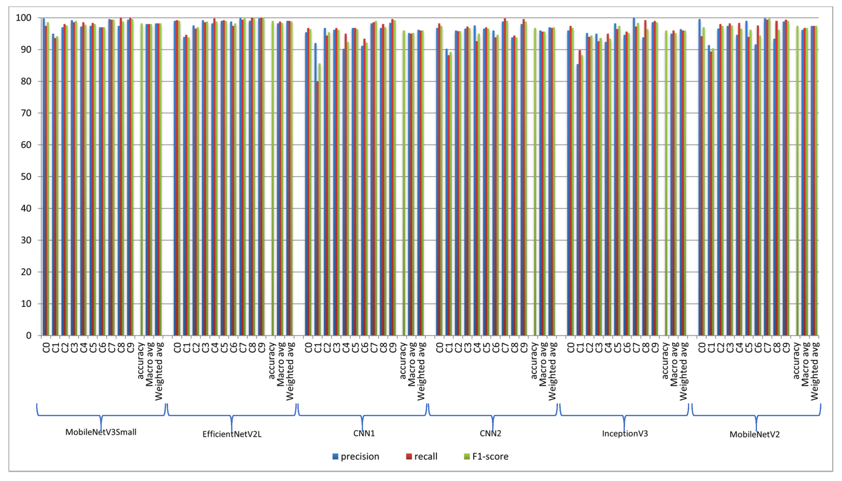
| Deep Learning Architectures | Parameters | Storage Space | Epochs Required to Train the Model | Training Time (in Hours) | Testing Time (in Seconds) | Training Accuracy | Validation Accuracy | Testing Accuracy | Precision | Recall | F1-Score |
|---|---|---|---|---|---|---|---|---|---|---|---|
| Mobile NetV3Small | 1,234,547 | 55.6 MB | 15 | 2.76 | 5.70 | 98.91% | 99.9% | 98.30% | 0.98 | 0.98 | 0.982 |
| EfficientNet V2L | 117,911,203 | 1.4 GB | 15 | 15.39 | 38.68 | 99.17% | 99.71% | 98.79% | 0.99 | 0.99 | 0.988 |
| InceptionV3 | 22,065,443 | 266 MB | 15 | 3.51 | 10.35 | 97.06% | 95.82% | 96.1% | 0.964 | 0.96 | 0.96 |
| MobileNetV2 | 2,422,339 | 29.7 MB | 15 | 2.32 | 7.0 | 98.34% | 96.94% | 96.99% | 0.974 | 0.974 | 0.974 |
| CNN1 | 5,108,426 | 5.1 MB | 50 | 1.38 | 3.69 | 96.39% | 99.03% | 95.45% | 0.956 | 0.954 | 0.96 |
| CNN2 | 494,218 | 6 MB | 50 | 1.37 | 3.49 | 97.61% | 99.48% | 96.87% | 0.97 | 0.968 | 0.97 |
| C0 | C1 | C2 | C3 | C4 | C5 | C6 | C7 | C8 | C9 | ||
|---|---|---|---|---|---|---|---|---|---|---|---|
| Mobile NetV3Small | 98% | 0% | 0% | 0% | 0% | 0% | 0% | 0% | 0% | 0% | C0 |
| 0% | 94% | 3% | 0% | 0% | 0% | 0% | 0% | 0% | 0% | C1 | |
| 0% | 1% | 99% | 0% | 0% | 0% | 0% | 0% | 0% | 0% | C2 | |
| 0% | 0% | 0% | 99% | 0% | 0% | 0% | 0% | 0% | 0% | C3 | |
| 0% | 0% | 0% | 0% | 99% | 0% | 0% | 0% | 0% | 0% | C4 | |
| 0% | 0% | 0% | 0% | 0% | 99% | 1% | 0% | 0% | 0% | C5 | |
| 0% | 0% | 0% | 0% | 0% | 1% | 98% | 0% | 0% | 0% | C6 | |
| 0% | 0% | 0% | 0% | 0% | 0% | 0% | 100% | 0% | 0% | C7 | |
| 0% | 0% | 0% | 0% | 0% | 0% | 0% | 0% | 100% | 0% | C8 | |
| 0% | 0% | 0% | 0% | 0% | 0% | 0% | 0% | 0% | 100% | C9 | |
| EfficientNetV2L | 100% | 0% | 0% | 0% | 0% | 0% | 0% | 0% | 0% | 0% | C0 |
| 0% | 95% | 3% | 0% | 0% | 0% | 0% | 0% | 0% | 0% | C1 | |
| 0% | 2% | 97% | 0% | 0% | 0% | 0% | 0% | 0% | 0% | C2 | |
| 0% | 0% | 0% | 99% | 0% | 0% | 0% | 0% | 0% | 0% | C3 | |
| 0% | 0% | 0% | 0% | 100% | 0% | 0% | 0% | 0% | 0% | C4 | |
| 0% | 0% | 0% | 0% | 0% | 100% | 0% | 0% | 0% | 0% | C5 | |
| 0% | 0% | 0% | 0% | 1% | 0% | 98% | 0% | 0% | 0% | C6 | |
| 0% | 0% | 0% | 0% | 0% | 0% | 0% | 100% | 0% | 0% | C7 | |
| 0% | 0% | 0% | 0% | 0% | 0% | 0% | 0% | 100% | 0% | C8 | |
| 0% | 0% | 0% | 0% | 0% | 0% | 0% | 0% | 0% | 100% | C9 | |
| CNN1 | 97% | 0% | 0% | 0% | 0% | 0% | 1% | 0% | 0% | 0% | C0 |
| 2% | 77% | 4% | 0% | 8% | 0% | 4% | 1% | 0% | 0% | C1 | |
| 0% | 2% | 94% | 0% | 1% | 0% | 0% | 0% | 0% | 0% | C2 | |
| 0% | 0% | 0% | 97% | 2% | 0% | 0% | 0% | 0% | 0% | C3 | |
| 1% | 0% | 0% | 1% | 94% | 0% | 1% | 0% | 0% | 0% | C4 | |
| 0% | 0% | 0% | 0% | 0% | 97% | 2% | 0% | 0% | 0% | C5 | |
| 0% | 0% | 0% | 0% | 2% | 3% | 92% | 0% | 0% | 1% | C6 | |
| 0% | 0% | 0% | 0% | 0% | 0% | 0% | 99% | 0% | 0% | C7 | |
| 0% | 0% | 0% | 0% | 0% | 1% | 0% | 0% | 98% | 0% | C8 | |
| 0% | 0% | 0% | 0% | 0% | 0% | 0% | 0% | 0% | 100% | C9 | |
| CNN2 | 99% | 0% | 0% | 0% | 0% | 0% | 0% | 0% | 0% | 0% | C0 |
| 1% | 89% | 3% | 0% | 2% | 0% | 1% | 1% | 0% | 0% | C1 | |
| 0% | 2% | 96% | 0% | 0% | 0% | 0% | 0% | 0% | 0% | C2 | |
| 0% | 0% | 0% | 98% | 0% | 0% | 0% | 0% | 0% | 0% | C3 | |
| 2% | 1% | 1% | 1% | 93% | 0% | 0% | 0% | 0% | 0% | C4 | |
| 0% | 0% | 0% | 0% | 0% | 97% | 1% | 0% | 1% | 0% | C5 | |
| 0% | 0% | 0% | 0% | 0% | 3% | 94% | 0% | 0% | 1% | C6 | |
| 0% | 0% | 0% | 0% | 0% | 0% | 0% | 100% | 0% | 0% | C7 | |
| 0% | 0% | 0% | 1% | 0% | 1% | 0% | 1% | 95% | 0% | C8 | |
| 0% | 0% | 0% | 0% | 0% | 0% | 0% | 0% | 0% | 100% | C9 | |
| InceptionV3 | 98% | 0% | 0% | 0% | 1% | 0% | 0% | 0% | 0% | 0% | C0 |
| 0% | 92% | 2% | 0% | 3% | 0% | 1% | 0% | 0% | 0% | C1 | |
| 0% | 4% | 94% | 0% | 1% | 0% | 0% | 0% | 0% | 0% | C2 | |
| 0% | 1% | 2% | 93% | 2% | 0% | 0% | 0% | 0% | 0% | C3 | |
| 0% | 1% | 0% | 0% | 95% | 0% | 0% | 0% | 0% | 0% | C4 | |
| 0% | 0% | 0% | 0% | 0% | 97% | 1% | 0% | 0% | 0% | C5 | |
| 0% | 0% | 0% | 0% | 1% | 1% | 96% | 0% | 0% | 0% | C6 | |
| 1% | 0% | 0% | 0% | 0% | 0% | 0% | 98% | 0% | 0% | C7 | |
| 0% | 0% | 0% | 0% | 0% | 0% | 0% | 0% | 100% | 0% | C8 | |
| 0% | 0% | 0% | 0% | 0% | 0% | 0% | 0% | 0% | 99% | C9 | |
| MobileNetV2 | 95% | 1% | 0% | 0% | 1% | 0% | 1% | 0% | 0% | 0% | C0 |
| 0% | 90% | 5% | 0% | 3% | 0% | 1% | 0% | 0% | 0% | C1 | |
| 0% | 0% | 99% | 0% | 0% | 0% | 0% | 0% | 0% | 0% | C2 | |
| 0% | 0% | 0% | 99% | 0% | 0% | 0% | 0% | 0% | 0% | C3 | |
| 0% | 0% | 0% | 0% | 99% | 0% | 0% | 0% | 0% | 0% | C4 | |
| 0% | 0% | 0% | 0% | 0% | 95% | 4% | 0% | 0% | 0% | C5 | |
| 0% | 0% | 0% | 0% | 0% | 0% | 98% | 0% | 0% | 0% | C6 | |
| 0% | 0% | 0% | 0% | 0% | 0% | 0% | 100% | 0% | 0% | C7 | |
| 0% | 0% | 0% | 0% | 0% | 0% | 0% | 0% | 100% | 0% | C8 | |
| 0% | 0% | 0% | 0% | 0% | 0% | 0% | 0% | 0% | 100% | C9 |
| Precision | Recall | F1-Score | Support | ||
|---|---|---|---|---|---|
| C0 | 98 | 100 | 99 | 447 | 3-EnsCNNs (MobileNet V3Small, EfficientNetV2L, CNN2) |
| C1 | 99 | 95 | 97 | 183 | |
| C2 | 99 | 99 | 99 | 362 | |
| C3 | 99 | 100 | 99 | 193 | |
| C4 | 98 | 98 | 98 | 333 | |
| C5 | 99 | 99 | 99 | 374 | |
| C6 | 99 | 97 | 98 | 283 | |
| C7 | 100 | 100 | 100 | 1061 | |
| C8 | 100 | 100 | 100 | 79 | |
| C9 | 100 | 100 | 100 | 317 | |
| accuracy | 99 | 3632 | |||
| Macro avg | 99 | 99 | 99 | 3632 | |
| Weighted avg | 99 | 99 | 99 | 3632 | |
| Precision | Recall | F1-Score | Support | ||
|---|---|---|---|---|---|
| C0 | 99 | 98 | 99 | 447 | 3-EnsCNNs (MobileNet V3Small, EfficientNetV2L, CNN1) |
| C1 | 97 | 98 | 98 | 183 | |
| C2 | 98 | 100 | 99 | 362 | |
| C3 | 99 | 99 | 99 | 193 | |
| C4 | 99 | 98 | 98 | 333 | |
| C5 | 98 | 100 | 99 | 374 | |
| C6 | 100 | 97 | 98 | 283 | |
| C7 | 100 | 100 | 100 | 1061 | |
| C8 | 99 | 100 | 99 | 79 | |
| C9 | 100 | 100 | 100 | 317 | |
| accuracy | 99 | 3632 | |||
| Macro avg | 99 | 99 | 99 | 3632 | |
| Weighted avg | 99 | 99 | 99 | 3632 | |
| Precision | Recall | F1-Score | Support | ||
|---|---|---|---|---|---|
| C0 | 99 | 98 | 99 | 447 | 3-EnsCNNs (InceptionV3, CNN2, MobileNetV2) |
| C1 | 98 | 92 | 95 | 183 | |
| C2 | 99 | 99 | 99 | 362 | |
| C3 | 98 | 96 | 97 | 193 | |
| C4 | 94 | 100 | 97 | 333 | |
| C5 | 98 | 99 | 99 | 374 | |
| C6 | 100 | 94 | 97 | 283 | |
| C7 | 100 | 100 | 100 | 1061 | |
| C8 | 93 | 100 | 96 | 79 | |
| C9 | 99 | 100 | 100 | 317 | |
| accuracy | 98 | 3632 | |||
| Macro avg | 98 | 98 | 98 | 3632 | |
| Weighted avg | 98 | 98 | 98 | 3632 | |
| Test Accuracy (%) | |||||
|---|---|---|---|---|---|
| 3-EnsCNNs | Unweighted Average (Acc) | Weighted Average (Acc) | Ideal Weighted (Acc) | F1-Score | Accuracy |
| MobileNetV3Small EfficientNetV2L CNN2 | 99.51 | 99.40 | 97.35 | 99 | 99.12 |
| MobileNetV3Small EfficientNetV2L CNN1 | 99.44 | 99.29 | 95.92 | 99 | 99.12 |
| InceptionV3 CNN2 MobileNetV2 | 99.44 | 99.09 | 97.64 | 98 | 98.43 |
| Precision | Recall | F1-Score | Support | ||
|---|---|---|---|---|---|
| C0 | 99 | 98 | 99 | 447 | 5-EnsCNNs (MobileNetV3Small, EfficientNetV2L, CNN2, CNN1, InceptionV3) |
| C1 | 98 | 93 | 96 | 183 | |
| C2 | 97 | 99 | 98 | 362 | |
| C3 | 99 | 99 | 99 | 193 | |
| C4 | 99 | 100 | 100 | 333 | |
| C5 | 99 | 99 | 99 | 374 | |
| C6 | 98 | 99 | 98 | 283 | |
| C7 | 100 | 100 | 100 | 1061 | |
| C8 | 100 | 100 | 100 | 79 | |
| C9 | 100 | 100 | 100 | 317 | |
| accuracy | 99 | 3632 | |||
| Macro avg | 99 | 99 | 99 | 3632 | |
| Weighted avg | 99 | 99 | 99 | 3632 | |
| Test Accuracy (%) | |||||
|---|---|---|---|---|---|
| 5-EnsCNNs | Unweighted Average (Acc) | Weighted Average (Acc) | Ideal Weighted (Acc) | F1-Score | Accuracy |
| MobileNetV3Small EfficientNetV2L InceptionV3 CNN1 CNN2 | 99.60 | 99.42 | 95.74 | 99 | 99.12 |
| C0 | C1 | C2 | C3 | C4 | C5 | C6 | C7 | C8 | C9 | ||
|---|---|---|---|---|---|---|---|---|---|---|---|
| Ensemble model 1 (MobileNet V3Small, EfficientNetV2L, CNN2) | 100% | 0% | 0% | 0% | 0% | 0% | 0% | 0% | 0% | 0% | C0 |
| 0% | 95% | 2% | 0% | 1% | 0% | 0% | 0% | 0% | 0% | C1 | |
| 0% | 0% | 100% | 0% | 0% | 0% | 0% | 0% | 0% | 0% | C2 | |
| 0% | 0% | 0% | 100% | 0% | 0% | 0% | 0% | 0% | 0% | C3 | |
| 0% | 0% | 0% | 0% | 99% | 0% | 0% | 0% | 0% | 0% | C4 | |
| 0% | 0% | 0% | 0% | 0% | 100% | 0% | 0% | 0% | 0% | C5 | |
| 1% | 0% | 0% | 0% | 0% | 0% | 98% | 0% | 0% | 0% | C6 | |
| 0% | 0% | 0% | 0% | 0% | 0% | 0% | 100% | 0% | 0% | C7 | |
| 0% | 0% | 0% | 0% | 0% | 0% | 0% | 0% | 100% | 0% | C8 | |
| 0% | 0% | 0% | 0% | 0% | 0% | 0% | 0% | 0% | 100% | C9 | |
| Ensemble model 2 (MobileNet V3Small, EfficientNetV2L, CNN1) | 98% | 0% | 0% | 0% | 0% | 0% | 0% | 1% | 0% | 0% | C0 |
| 0% | 98% | 2% | 0% | 0% | 0% | 0% | 0% | 0% | 0% | C1 | |
| 0% | 0% | 100% | 0% | 0% | 0% | 0% | 0% | 0% | 0% | C2 | |
| 0% | 0% | 0% | 99% | 0% | 0% | 0% | 0% | 0% | 0% | C3 | |
| 0% | 0% | 0% | 0% | 99% | 0% | 0% | 0% | 0% | 0% | C4 | |
| 0% | 0% | 0% | 0% | 0% | 100% | 0% | 0% | 0% | 0% | C5 | |
| 0% | 0% | 0% | 0% | 0% | 1% | 98% | 0% | 0% | 0% | C6 | |
| 0% | 0% | 0% | 0% | 0% | 0% | 0% | 100% | 0% | 0% | C7 | |
| 0% | 0% | 0% | 0% | 0% | 0% | 0% | 0% | 100% | 0% | C8 | |
| 0% | 0% | 0% | 0% | 0% | 0% | 0% | 0% | 0% | 100% | C9 | |
| Ensemble model 3 (InceptionV3, CNN2, MobileNetV2) | 98% | 0% | 0% | 0% | 1% | 0% | 0% | 0% | 0% | 0% | C0 |
| 0% | 92% | 1% | 0% | 4% | 0% | 0% | 0% | 1% | 0% | C1 | |
| 0% | 0% | 99% | 0% | 0% | 0% | 0% | 0% | 0% | 0% | C2 | |
| 0% | 0% | 0% | 97% | 1% | 0% | 0% | 0% | 0% | 0% | C3 | |
| 0% | 0% | 0% | 0% | 100% | 0% | 0% | 0% | 0% | 0% | C4 | |
| 0% | 0% | 0% | 0% | 0% | 100% | 0% | 0% | 0% | 0% | C5 | |
| 1% | 0% | 0% | 0% | 2% | 2% | 95% | 0% | 0% | 0% | C6 | |
| 0% | 0% | 0% | 0% | 0% | 0% | 0% | 100% | 0% | 0% | C7 | |
| 0% | 0% | 0% | 0% | 0% | 0% | 0% | 0% | 100% | 0% | C8 | |
| 0% | 0% | 0% | 0% | 0% | 0% | 0% | 0% | 0% | 100% | C9 | |
| Ensemble model 4 (MobileNet V3Small, EfficientNetV2L, CNN2, CNN1, InceptionV3) | 99% | 0% | 0% | 0% | 0% | 0% | 0% | 0% | 0% | 0% | C0 |
| 0% | 94% | 3% | 0% | 0% | 0% | 1% | 0% | 0% | 0% | C1 | |
| 0% | 0% | 100% | 0% | 0% | 0% | 0% | 0% | 0% | 0% | C2 | |
| 0% | 0% | 0% | 99% | 0% | 0% | 0% | 0% | 0% | 0% | C3 | |
| 0% | 0% | 0% | 0% | 100% | 0% | 0% | 0% | 0% | 0% | C4 | |
| 0% | 0% | 0% | 0% | 0% | 100% | 0% | 0% | 0% | 0% | C5 | |
| 0% | 0% | 0% | 0% | 0% | 0% | 99% | 0% | 0% | 0% | C6 | |
| 0% | 0% | 0% | 0% | 0% | 0% | 0% | 100% | 0% | 0% | C7 | |
| 0% | 0% | 0% | 0% | 0% | 0% | 0% | 0% | 100% | 0% | C8 | |
| 0% | 0% | 0% | 0% | 0% | 0% | 0% | 0% | 0% | 100% | C9 |
| Study | Cross-Validation | Method | Number of Diseases | Accuracy (%) |
|---|---|---|---|---|
| [39] | - | CNN (Full-Color, Grayscale) | 6 | 99.84, 95.56 |
| [16] | - | DenseNets-121 | 14 | 97.75 |
| [40] | 5 k | AlexNet, GoogleNet | 9 | 97.35, 97.71 |
| [41] | - | AlexNet | 10 | 95.65 |
| [10] | - | GoogleNet | 58 | 97.27 |
| [42] | - | AlexNet | 9 | 95.83 |
| [43] | - | MobileNet | 10 | 88.4 |
| [44] | - | VGG16 | 10 | 93.5 |
| [45] | 10 k | CNN | 10 | 98.2 |
| [46] | - | ResNet50 + SeNet | 10 | 96.81 |
| [47] | - | Wavelet-like Auto-Encoder (WAE) | 10 | 98.1 |
| [48] | - | FWDGAN + B-ARNet | 4 | 98.75 |
| [49] | - | VGG16 | 10 | 95.71 |
| [50] | - | DenseNet+ Attention mechanism | 5 | 97.56 |
| [51] | - | Lightweight Attention-Based CNN | 11 | 99.34 |
| [52] | - | Spatial attention with CNN | 10 | 95.20 |
| [53] | - | MobileNetV3 | 10 | 99.81 |
| [54] | - | Compact CNN | 10 | 98.49 |
| [55] | 10 k | Gray Wolf + MobileNetV2 | 8 | 98 |
| [17] | - | ResNet + Discriminative Learning | 10 | 99.51 |
| 5 k | MobileNetV3Small, EfficientNetV2L, InceptionV3, CNN1, CNN2 | 10 | 99.60 |
Disclaimer/Publisher’s Note: The statements, opinions and data contained in all publications are solely those of the individual author(s) and contributor(s) and not of MDPI and/or the editor(s). MDPI and/or the editor(s) disclaim responsibility for any injury to people or property resulting from any ideas, methods, instructions or products referred to in the content. |
© 2023 by the authors. Licensee MDPI, Basel, Switzerland. This article is an open access article distributed under the terms and conditions of the Creative Commons Attribution (CC BY) license (https://creativecommons.org/licenses/by/4.0/).
Share and Cite
Ulutaş, H.; Aslantaş, V. Design of Efficient Methods for the Detection of Tomato Leaf Disease Utilizing Proposed Ensemble CNN Model. Electronics 2023, 12, 827. https://doi.org/10.3390/electronics12040827
Ulutaş H, Aslantaş V. Design of Efficient Methods for the Detection of Tomato Leaf Disease Utilizing Proposed Ensemble CNN Model. Electronics. 2023; 12(4):827. https://doi.org/10.3390/electronics12040827
Chicago/Turabian StyleUlutaş, Hasan, and Veysel Aslantaş. 2023. "Design of Efficient Methods for the Detection of Tomato Leaf Disease Utilizing Proposed Ensemble CNN Model" Electronics 12, no. 4: 827. https://doi.org/10.3390/electronics12040827
APA StyleUlutaş, H., & Aslantaş, V. (2023). Design of Efficient Methods for the Detection of Tomato Leaf Disease Utilizing Proposed Ensemble CNN Model. Electronics, 12(4), 827. https://doi.org/10.3390/electronics12040827

