Miniaturized Dual-Band SIW-Based Bandpass Filters Using Open-Loop Ring Resonators
Abstract
:1. Introduction
2. Filter Design
2.1. Dual-Band SIW Filter (Filter I)
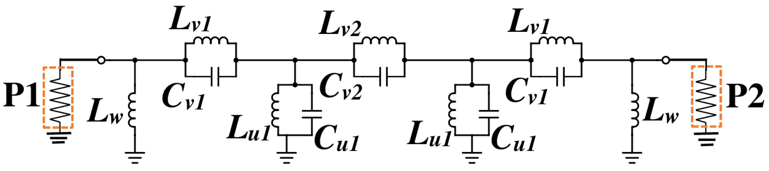
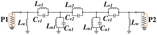
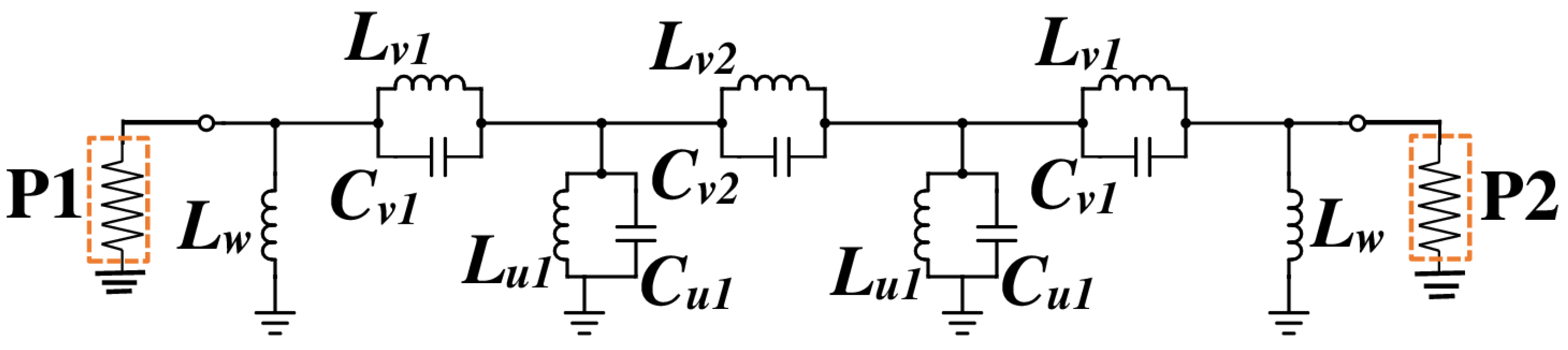
2.2. Two-Pole Dual-Band SIW Filter (Filter II)
- In the first step, design an SIW cavity with the dimensions of 0.08 for L and 0.012 for W;
- Observe the filtering response of the single cavity with no load applied to the top of the cavity;
- Next, to realize a dual-band single-pole BPF, implement two identical open-loop ring resonators (OLRRs) in a face-to-face arrangement on the top of the SIW cavity;
- Develop the equivalent circuit model for a single-pole dual-band BPF by considering all the physical parameters of the BPF;
- Next, design another SIW cavity with the dimensions of 0.22 for L and 0.019 for W;
- To obtain two-pole dual band characteristics, assemble two OLRR resonant units horizontally within the top metal layer of SIW cavity;
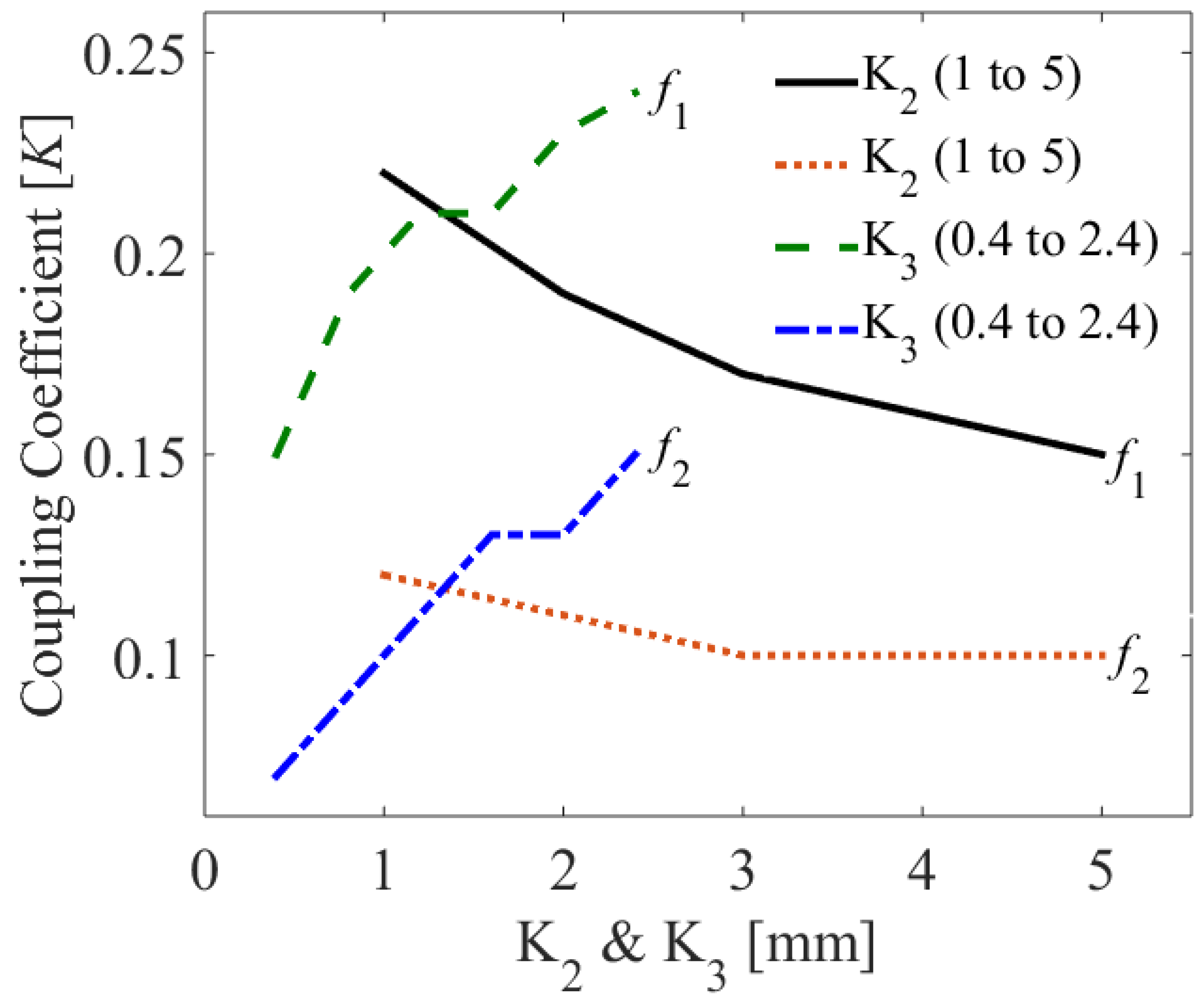
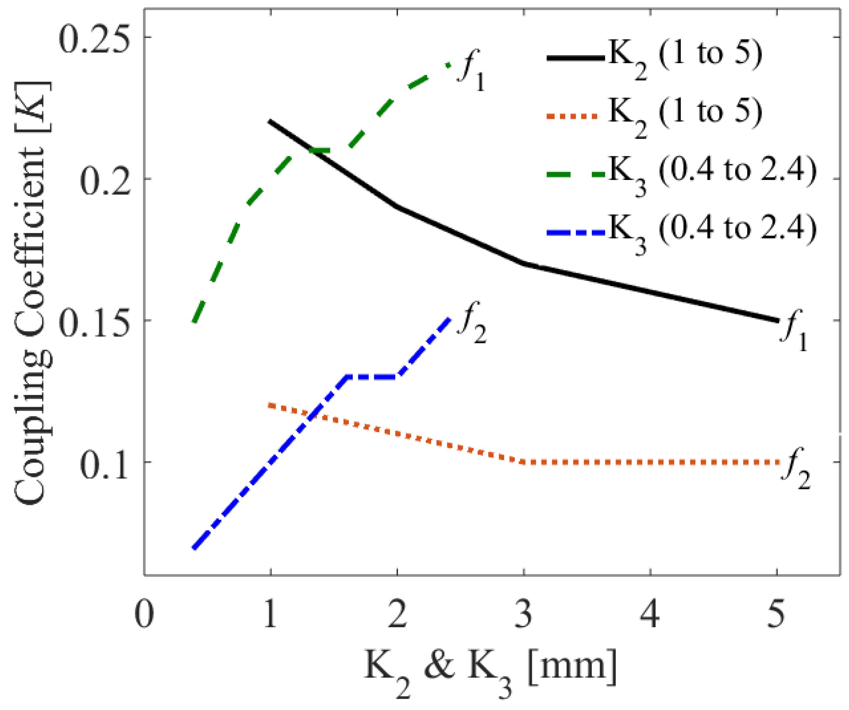
- To achieve the desired filtering response, optimize and .
3. Experimental Validation
- Unlike the proposed filters, the majority of the benchmark circuits [8] exhibited significant insertion loss;
4. Conclusions
Author Contributions
Funding
Data Availability Statement
Acknowledgments
Conflicts of Interest
References
- Bozzi, M.; Georgiadis, A.; Wu, K. Review of substrate-integrated waveguide circuits and antennas. IET Microw. Ant. Propag. 2011, 5, 909–920. [Google Scholar] [CrossRef]
- Dong, Y.D.; Yang, T.; Itoh, T. Substrate integrated waveguide loaded by complementary split-ring resonators and its applications to miniaturized waveguide filters. IEEE Trans. Microw. Theory Tech. 2009, 57, 2211–2223. [Google Scholar] [CrossRef]
- Li, M.; Chen, C.; Chen, W. Miniaturized dual-band filter using dual-capacitively loaded SIW cavities. IEEE Microw. Wirel. Compon. Lett. 2017, 27, 344–346. [Google Scholar] [CrossRef]
- Azad, A.R.; Mohan, A. Single-and dual-band bandpass filters using a single perturbed SIW circular cavity. IEEE Microw. Wirel. Compon. Lett. 2019, 29, 201–203. [Google Scholar] [CrossRef]
- Zhang, H.; Kang, W.; Wu, W. Miniaturized dual-band SIW filters using E-shaped slotlines with controllable center frequencies. IEEE Microw. Wirel. Compon. Lett. 2018, 28, 311–313. [Google Scholar] [CrossRef]
- Zhang, H.; Kang, W.; Wu, W. Dual-band substrate integrated waveguide bandpass filter utilising comple-mentary split-ring resonators. Electron. Lett. 2018, 54, 85–87. [Google Scholar] [CrossRef]
- Li, M.; Chen, C.; Chen, W.; Zhang, H. A novel dual-band bandpass filter using a single perturbed substrate integrated waveguide cavity. In Proceedings of the 2017 IEEE MTT-S International Microwave Symposium (IMS), Honolulu, HI, USA, 4–9 June 2017; pp. 1076–1079. [Google Scholar]
- Zhang, S.; Rao, J.Y.; Hong, J.S.; Liu, F.L. A novel dual-band controllable bandpass filter based on fan-shaped substrate integrated waveguide. IEEE Microw. Wirel. Compon. Lett. 2018, 28, 308–310. [Google Scholar] [CrossRef]
- Shen, W.; Yin, W.Y.; Sun, X.W. Miniaturized dual-band substrate integrated waveguide filter with control-lable bandwidths. IEEE Microw. Wirel. Compon. Lett. 2011, 21, 418–420. [Google Scholar] [CrossRef]
- Xie, H.W.; Zhou, K.; Zhou, C.X.; Wu, W. Compact SIW diplexers and dual-band bandpass filter with wide-stopband performances. IEEE Trans. Circuits Syst. II Express Briefs 2020, 67, 2933–2937. [Google Scholar] [CrossRef]
- Iqbal, A.; Tiang, J.J.; Lee, C.K.; Mallat, N.K.; Wong, S.W. Dual-band half mode substrate integrated wave-guide filter with independently tunable bands. IEEE Trans. Circuits Syst. II Express Briefs 2019, 67, 285–289. [Google Scholar]
- Yin, B.; Lin, Z. A novel dual-band bandpass SIW filter loaded with modified dual-CSRRs and Z-shaped slot. AEU-Int. J. Electron. Commun. 2020, 121, 153261. [Google Scholar] [CrossRef]
- Iqbal, A.; Ahmad, A.W.; Smida, A.; Mallat, N.K. Tunable SIW bandpass filters with improved upper stopband performance. IEEE Trans. Circuits Syst. II Express Briefs 2019, 67, 1194–1198. [Google Scholar] [CrossRef]
- Cheng, F.; Lin, X.Q.; Lancaster, M.; Song, K.; Fan, Y. A dual-mode substrate integrated waveguide filter with controllable transmission zeros. IEEE Microw. Wirel. Compon. Lett. 2015, 25, 576–578. [Google Scholar] [CrossRef]
- Liu, Q.; Zhou, D.; Shi, J.; Hu, T. High-selective triple-mode SIW bandpass filter using higher-order resonant modes. Electron. Lett. 2020, 56, 37–39. [Google Scholar] [CrossRef]
- Duong, T.V.; Hong, W.; Tran, V.H.; Vu, T.A.; Huang, W.C.; Choubey, P.N. An Alternative Technique to Minimize the Phase Noise of X-band Oscillators Using Improved Group Delay SIW Filters. IEEE Microw. Wirel. Compon. Lett. 2017, 27, 153–155. [Google Scholar] [CrossRef]
- Zhu, F.; Wu, Y.; Zhao, X.; Chu, P.; Luo, G.Q.; Wu, K. Stopband Bandpass Filters Based on Dual-Mode Folded Circular Substrate IntegratedWaveguide Cavities. IEEE Trans. Microw. Theory Tech. 2023. early access. [Google Scholar]
- Liu, Q.; Zhang, D.; Tang, M.; Deng, H.; Zhou, D. A Class of Box-Like Bandpass Filters With Wide Stopband Based on New Dual-Mode Rectangular SIW Cavities. IEEE Trans. Microw. Theory Tech. 2021, 69, 101–110. [Google Scholar] [CrossRef]
- Deng, H.W.; Han, Y.K.; Sun, L.; Zhu, J.M.; Xing, S.B. Multilayer dualmode balanced SIW filter utilizing PEC-PMC characteristic for commonmode suppression. IEEE Microw. Wirel. Compon. Lett. 2020, 30, 865–868. [Google Scholar] [CrossRef]
- Xie, H.W.; Zhou, K.; Zhou, C.X.; Wu, W. Wide-stopband SIW filters using modified multi-spurious modes suppression technique. IEEE Trans. Circuits Syst. II Exp. Briefs 2020, 67, 2883–2887. [Google Scholar] [CrossRef]
- Zhu, F.; Luo, G.Q.; You, B.; Zhang, X.H.; Wu, K. Planar dual-mode bandpass filters using perturbed sub-strate-integrated waveguide rectangular cavities. IEEE Trans. Microw. Theory Tech. 2021, 69, 3048–3057. [Google Scholar] [CrossRef]
- Zhu, F.; Luo, G.Q.; Liao, Z.; Dai, X.W.; Wu, K. Compact dual-mode bandpass filters based on half-mode substrate-integrated waveguide cavities. IEEE Microw. Wirel. Compon. Lett. 2021, 31, 441–444. [Google Scholar] [CrossRef]
- Jia, D.; Feng, Q.; Xiang, Q.; Wu, K. Multilayer substrate integrated waveguide (SIW) filters with higher-order mode suppression. IEEE Microw. Wirel. Compon. Lett. 2016, 26, 678–680. [Google Scholar] [CrossRef]
- Lee, B.; Nam, S.; Lee, T.H.; Ahn, C.S.; Lee, J. Single-filter structure with tunable operating frequency in noncontiguous bands. IEEE Trans. Compon. Packag. Manuf. Technol. 2016, 7, 98–105. [Google Scholar] [CrossRef]
- Lee, B.; Nam, S.; Jeong, S.W.; Lee, J. Post-loaded substrate-integrated waveguide bandpass filter with wide upper stopband and reduced electric field intensity. IEEE Microw. Wirel. Compon. Lett. 2020, 30, 371–374. [Google Scholar] [CrossRef]
- Sanchez-Soriano, M.A.; Sirci, S.; Martinez, J.D.; Boria, V.E. Compact dual-mode substrate integrated waveguide coaxial cavity for bandpass filter design. IEEE Microw. Wirel. Compon. Lett. 2016, 26, 386–388. [Google Scholar] [CrossRef]
- Moscato, S.; Tomassoni, C.; Bozzi, M.; Perregrini, L. Quarter-mode cavity filters in substrate integrated waveguide technology. IEEE Trans. Microw. Theory Tech. 2016, 64, 2538–2547. [Google Scholar] [CrossRef]
- Liu, Z.; Xiao, G.; Zhu, L. Triple-mode bandpass filters on CSRR-loaded substrate integrated waveguide cavities. IEEE Trans. Compon. Pack. Manuf. Technol. 2016, 6, 1099–1105. [Google Scholar] [CrossRef]
- Zhu, Y.; Dong, Y. A novel compact wide-stopband filter with hybrid structure by combining SIW and mi-crostrip technologies. IEEE Microw. Wirel. Compon. Lett. 2021, 31, 841–844. [Google Scholar] [CrossRef]
- Weng, M.H.; Tsai, C.Y.; Chen, D.L.; Chung, Y.C.; Yang, R.Y. A bandpass filter using half mode SIW structure with step impedance resonator. Electronics 2020, 10, 51. [Google Scholar] [CrossRef]
- Bayati, M.S.; Khorand, T. Compact SIW directional filter using substrate integrated circular cavities. Int. J. Microw. Wirel. Technol. 2020, 12, 352–355. [Google Scholar] [CrossRef]
- Kim, P.; Jeong, Y. Compact and wide stopband substrate integrated waveguide bandpass filter using mixed quarter-and one-eighth modes cavities. IEEE Microw. Wirel. Compon. Lett. 2019, 30, 16–19. [Google Scholar] [CrossRef]
- Liu, Q.; Zhou, D.; Wang, S.; Zhang, Y. Highly-selective pseudoelliptic filters based on dual-mode substrate integrated waveguide resonators. Electron. Lett. 2016, 52, 1233–1235. [Google Scholar] [CrossRef]
- Xu, Z.; Shi, Y.; Xu, C.; Wang, P. A novel dual mode substrate integrated waveguide filter with mixed source-load coupling (MSLC). Prog. Electromagn. Res. 2013, 136, 595–606. [Google Scholar] [CrossRef]
- Liu, D.; Dong, Y. Compact Low-Loss Half-Mode Substrate Integrated Waveguide Filter with Controllable Transmission Zeros. IEEE Trans. Circuits Sys. II Exp. Briefs 2022, 69, 4248–4252. [Google Scholar] [CrossRef]
- Chen, K.F.; Yang, X.; Zhou, L.; Mao, J.F. Miniaturized half-mode T-septum SIW bandpass filter with an ultrawide stopband. IEEE Microw. Wireless Compon. Lett. 2021, 31, 853–856. [Google Scholar] [CrossRef]
- Praveena, N.; Gunavathi, N. High Selectivity SIW Cavity Bandpass Filter Loaded CSRR with Perturbing Vias for Sub-6 GHz Applications. Progress Electrom. Res. Lett. 2023, 109, 103–110. [Google Scholar] [CrossRef]
- Qin, P.Y.; Liang, C.H.; Wu, B.; Su, T. Novel dual-mode bandpass filter with transmission zeros using substrate integrated waveguide cavity. J. Electromagn. Waves Appl. 2008, 22, 723–730. [Google Scholar] [CrossRef]
- You, B.; Chen, L.; Luo, G. The novel reconfigurable double-layer half-mode SIW filter with tunable DMS structure. J. Electromagn. Waves Appl. 2018, 32, 1816–1823. [Google Scholar] [CrossRef]
- Tharani, D.; Barik, R.K.; Cheng, Q.S.; Selvajyothi, K.; Karthikeyan, S.S. Compact dual-band SIW filters loaded with double ring D-shaped resonators for sub-6 GHz applications. J. Electromagn. Waves Appl. 2021, 35, 923–936. [Google Scholar] [CrossRef]
- Li, R.; Du, G. A SIW filter with asymmetric frequency response by non-resonating node. J. Electromagn. Waves Appl. 2013, 27, 1550–1556. [Google Scholar] [CrossRef]
- Kurudere, S.; Ertürk, V.B. SIW-based interdigital bandpass filter with harmonic suppression. Microw. Opt. Technol. Lett. 2015, 57, 66–96. [Google Scholar] [CrossRef]
- Li, D.; Yu, Y.; Tang, M.C.; Shi, T. Design of compact wideband bandpass filter with broad stopband using hybrid HMSIW and open-circuit tri-section stepped impedance resonators. Microw. Opt. Technol. Lett. 2018, 60, 2998–3003. [Google Scholar] [CrossRef]
- Pelluri, S.; Mv, K. A narrow band and high selectivity half-mode substrate integrated waveguide bandpass filter with interdigital slots. Microw. Opt. Technol. Lett. 2021, 63, 1180–1186. [Google Scholar] [CrossRef]
- Tharani, D.; Barik, R.K.; Cheng, Q.S.; Selvajyothi, K.; Karthikeyan, S.S. Miniaturized SIW filter using D-shaped resonators with wide out-of-band rejection for 5G applications. J. Electromagn. Waves Appl. 2020, 34, 2397–2409. [Google Scholar]
- Che, W.; Li, C.; Deng, K.; Yang, L. A novel bandpass filter based on complementary split rings resonators and substrate integrated waveguide. Microw. Opt. Technol. Lett. 2008, 50, 699–701. [Google Scholar] [CrossRef]
- Liu, C.; An, X. A SIW-DGS wideband bandpass filter with a sharp roll-off at upper stopband. Microw. Opt. Technol. Lett. 2017, 59, 789–792. [Google Scholar] [CrossRef]
- Zhao, Q.; Chen, Z.; Huang, J.; Li, G.; Zhang, Z.; Dang, W. Compact dual-band bandpass filter based on composite right/left-handed substrate integrated waveguide loaded by complementary split-ring resonators defected ground structure. J. Electromagn. Waves Appl. 2014, 28, 1807–1814. [Google Scholar] [CrossRef]
- Xu, Z.Q.; Shi, Y.; Wang, P.; Liao, J.X.; Wei, X.B. Substrate integrated waveguide (SIW) filter with hexagonal resonator. J. Electromagn. Waves Appl. 2012, 26, 1521–1527. [Google Scholar] [CrossRef]
- Alhzzoury, A.I.; Raveu, N.; Prigent, G.; Pigaglio, O.; Baudrand, H.; Al-Abdullah, K. Substrate integrated waveguide filter design with wave concept iterative procedure. Microw. Opt. Technol. Lett. 2011, 53, 2939–2942. [Google Scholar] [CrossRef]
- Rhbanou, A.; Bri, S.; Sabbane, M. Design of X-band substrate integrated waveguide bandpass filter with dual high rejection. Microw. Opt. Technol. Lett. 2015, 57, 1744–1752. [Google Scholar] [CrossRef]
- Chu, H.; Shi, X.Q. Compact ultra-wideband bandpass filter based on SIW and DGS technology with a notch band. J. Electromagn. Waves Appl. 2011, 25, 589–596. [Google Scholar] [CrossRef]
- Mahant, K.; Mewada, H. A novel substrate integrated waveguide (SIW) based highly selective filter for radar applications. J. Electromagn. Waves Appl. 2019, 33, 1718–1725. [Google Scholar] [CrossRef]
- Song, S.; Guo, Y.; Wang, Y. Compact quasi-elliptic SIR-SIW filter with multiple transmission zeros. Microw. Opt. Technol. Lett. 2021, 63, 2348–2354. [Google Scholar] [CrossRef]
- Hu, G.; Liu, C.; Yan, L.; Huang, K.; Menzel, W. Novel dual mode substrate integrated waveguide band-pass filters. J. Electromagn. Waves Appl. 2010, 24, 1661–1672. [Google Scholar] [CrossRef]
- Li, R.; Du, G. Substrate integrated waveguide filter with high-design flexibility. J. Electromagn. Waves Appl. 2013, 27, 1751–1758. [Google Scholar] [CrossRef]
- Jiang, W.; Shen, W.; Zhou, L.; Yin, W.Y. Miniaturized and high-selectivity substrate integrated waveguide (SIW) bandpass filter loaded by complementary split-ring resonators (CSRRs). J. Electromagn. Waves Appl. 2012, 26, 1448–1459. [Google Scholar] [CrossRef]
- Pradhan, N.C.; Koziel, S.; Barik, R.K.; Pietrenko-Dabrowska, A. Bandwidth-Controllable Third-Order Band Pass Filter Using Substrate-Integrated Full-and Semi-Circular Cavities. Sensors 2023, 23, 6162. [Google Scholar] [CrossRef]
- Hong, J.S.; Lancaster, M.J. Microstrip Filters for RF/Microwave Applications; John Wiley & Sons: Hoboken, NJ, USA, 2004. [Google Scholar]
- Papapolymerou, J.; Cheng, J.C.; East, J.; Katehi, L.P. A micromachined high-Q X-band resonator. IEEE Microw. Wirel. Compon. Lett. 1997, 7, 168–170. [Google Scholar] [CrossRef]
- Hill, M.J.; Ziolkowski, R.W.; Papapolymerou, J. A high-Q reconfigurable planar EBG cavity resonator. IEEE Microw. Wirel. Compon. Lett. 2001, 11, 255–257. [Google Scholar] [CrossRef]














| Specifications | Value | Specifications | Value |
|---|---|---|---|
| 2.457 | 0.359 | ||
| 0.918 | 1.258 | ||
| 12.01 | 2.887 | ||
| 3.486 | − | − |
| Ref. | Frequency (GHz) | 3-dB FBW | IL (dB) | RL (dB) | F.R. | Area () | Technology |
|---|---|---|---|---|---|---|---|
| [4] | 7.71/9.64 | 5/7.55 | 1.9 | 10, 11 | 1.25 | N.R | SIW |
| [5] | 3.6/7.1 | 8.2/6.7 | 1.3, 1.2 | 14, 15 | 1.97 | 0.084 | SIW with E-shaped Slot |
| [6] | 7.89/8.89 | 3.42/3.39 | 1.5, 1.9 | 14, 12 | 1.12 | 0.73 | SIW with CSRRs |
| [7] | 9.32/11.32 | 4.3, 4.2 | 2.43, 2.35 | 14, 19 | 1.21 | N.R | SIW |
| [8] | 7.45/10 | 6/4 | 0.83, 0.95 | 20, 20 | 1.34 | 0.06 | SIW with CSRRs |
| [9] | 4.05/5.8 | 4.59/3.58 | 2.15, 2.25 | 18, 20 | 1.43 | 0.037 | SIW with CSRRs |
| [10] | 8/11.4 | 3.01/2.46 | 2.26, 3.07 | 15, 16 | 1.425 | 2.17 | SIW |
| [11] | 3.47/6.13 | 9.7/9.8 | 2.9, 2.1 | 14, 19 | 1.76 | N.R | HMSIW with E-shaped Slot |
| [12] | 1.94/4.84 | 14.43/2.69 | 1.26, 2.69 | 15, 16 | 2.49 | 0.018 | SIW with CSRRs and Z-shaped slot |
| Filter I | 1.5/4.96 | 14/7.3 | 0.85, 0.9 | 20, 23 | 3.30 | 0.012 | SIW with OLRRs |
| Filter II | 1.75/4.65 | 14.9/10.4 | 1.1, 1.15 | 14, 21 | 2.65 | 0.041 | SIW with OLRRs |
Disclaimer/Publisher’s Note: The statements, opinions and data contained in all publications are solely those of the individual author(s) and contributor(s) and not of MDPI and/or the editor(s). MDPI and/or the editor(s) disclaim responsibility for any injury to people or property resulting from any ideas, methods, instructions or products referred to in the content. |
© 2023 by the authors. Licensee MDPI, Basel, Switzerland. This article is an open access article distributed under the terms and conditions of the Creative Commons Attribution (CC BY) license (https://creativecommons.org/licenses/by/4.0/).
Share and Cite
Pradhan, N.C.; Koziel, S.; Barik, R.K.; Pietrenko-Dabrowska, A.; Karthikeyan, S.S. Miniaturized Dual-Band SIW-Based Bandpass Filters Using Open-Loop Ring Resonators. Electronics 2023, 12, 3974. https://doi.org/10.3390/electronics12183974
Pradhan NC, Koziel S, Barik RK, Pietrenko-Dabrowska A, Karthikeyan SS. Miniaturized Dual-Band SIW-Based Bandpass Filters Using Open-Loop Ring Resonators. Electronics. 2023; 12(18):3974. https://doi.org/10.3390/electronics12183974
Chicago/Turabian StylePradhan, Nrusingha Charan, Slawomir Koziel, Rusan Kumar Barik, Anna Pietrenko-Dabrowska, and Sholampettai Subramanian Karthikeyan. 2023. "Miniaturized Dual-Band SIW-Based Bandpass Filters Using Open-Loop Ring Resonators" Electronics 12, no. 18: 3974. https://doi.org/10.3390/electronics12183974
APA StylePradhan, N. C., Koziel, S., Barik, R. K., Pietrenko-Dabrowska, A., & Karthikeyan, S. S. (2023). Miniaturized Dual-Band SIW-Based Bandpass Filters Using Open-Loop Ring Resonators. Electronics, 12(18), 3974. https://doi.org/10.3390/electronics12183974

