Effects of Gamma Irradiation on Switching Characteristics of SiC MOSFET Power Devices of Different Structures
Abstract
:1. Introduction
2. Device Description and Experimental Setup
3. Experimental Results
3.1. Measured Threshold Characteristics after Irradiation
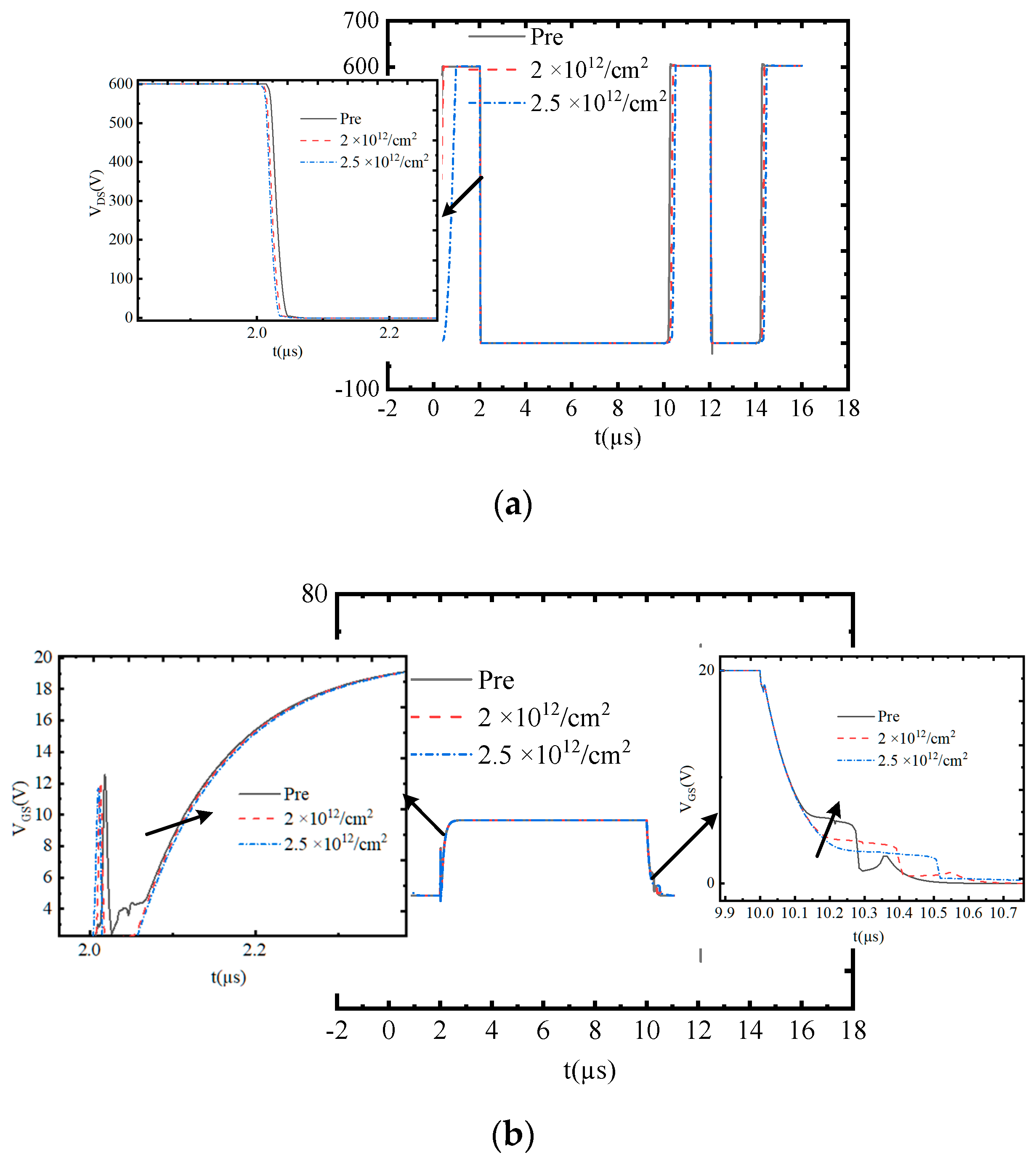
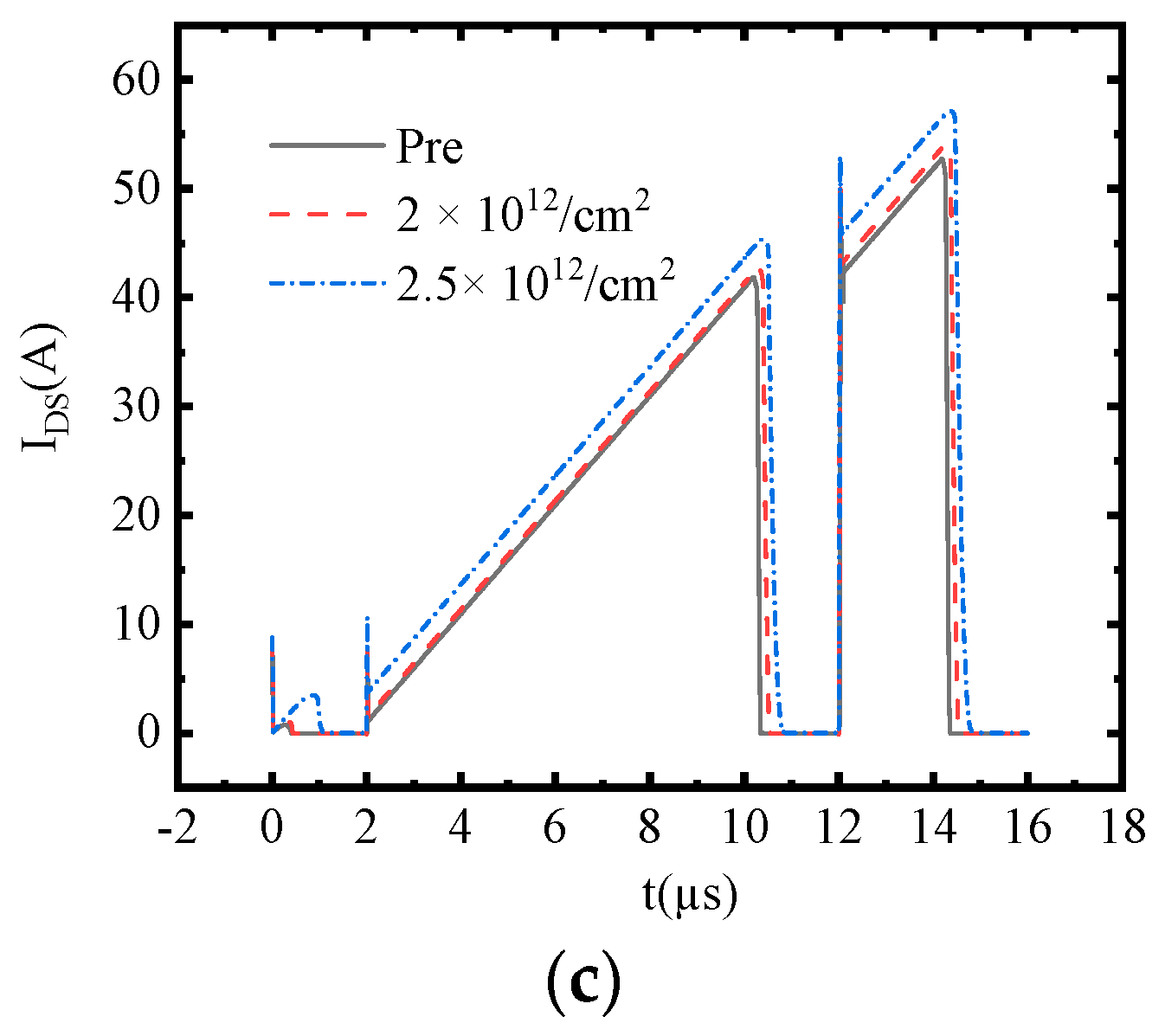
3.2. Measured Turn-On/Off Time Characteristics after Irradiation
3.3. Measured Turn-On/Off Energy Loss Characteristics after Irradiation
4. Analysis and Simulations
5. Conclusions
Author Contributions
Funding
Institutional Review Board Statement
Informed Consent Statement
Data Availability Statement
Conflicts of Interest
References
- Ball, D.R.; Galloway, K.F.; Johnson, R.A.; Alles, M.L.; Sternberg, A.L.; Witulski, A.F.; Reed, R.A.; Schrimpf, R.D.; Hutson, J.M.; Lauenstein, J.-M. Effects of Breakdown Voltage on Single Event Burnout Tolerance of High-Voltage SiC Power MOSFETs. IEEE Trans. Nucl. Sci. 2021, 68, 1430–1435. [Google Scholar] [CrossRef]
- Na, J.; Kim, K. A Novel 4H-SiC Double Trench MOSFET with Built-In MOS Channel Diode for Improved Switching Performance. Electronics 2013, 12, 92. [Google Scholar] [CrossRef]
- Yabin, S.; Wan, X.; Liu, Z.; Jin, H.; Yan, J.; Li, X.; Shi, Y. Investigation of total ionizing dose effects in 4H–SiC power MOSFET under gamma ray radiation. Radiat. Phys. Chem. 2022, 197, 110219. [Google Scholar]
- Luo, Z.; Chen, T.; Cressler, J.D.; Sheridan, D.C.; Williams, J.R.; Reed, R.A.; Marshall, P.W. Impact of proton irradiation on the static and dynamic characteristics of high-voltage 4H-SiC JBS switching diodes. IEEE Trans. Nucl. Sci. 2003, 50, 1821–1826. [Google Scholar]
- Hazdra, P.; Popelka, S. Displacement damage and total ionization dose effects on 4H-SiC power devices. IET Power Electron. 2019, 12, 3910–3918. [Google Scholar] [CrossRef]
- Hu, D.; Zhang, J.; Jia, Y.; Wu, Y.; Peng, L.; Tang, Y. Impact of Different Gate Biases on Irradiation and Annealing Responses of SiC MOSFETs. IEEE Trans. Electron Devices 2018, 65, 3719–3724. [Google Scholar] [CrossRef]
- Krishnamurthy, S.; Kannan, R.; Kiong, C.C.; Ibrahim, T.B.; Abdullah, Y. Impact of Gamma-ray Irradiation on Dynamic Characteristics of Si and SiC Power MOSFETs. Int. J. Electr. Comput. Eng. Sci. 2019, 9, 1453–1460. [Google Scholar]
- Akturk, A.; McGarrity, J.M.; Potbhare, S.; Goldsman, N. Radiation Effects in Commercial 1200 V 24 A Silicon Carbide Power MOSFETs. IEEE Trans. Nucl. Sci. 2012, 59, 3258–3264. [Google Scholar] [CrossRef]
- Feng, H.; Yang, S.; Liang, X.; Zhang, D.; Pu, X.; Cui, X.; Wang, H.; Sun, J.; Yu, X.; Guo, Q. Radiation Effects and Mechanisms on Switching Characteristics of Silicon Carbide Power MOSFETs. J. Nanoelectron. Optoelectron. 2021, 16, 1423–1429. [Google Scholar] [CrossRef]
- Godignon, P.; Massetti, S.; Jordà, X.; Soler, V.; Moreno, J.; Lopez, D.; Maset, E. SiC Power Switches Evaluation for Space Applications Requirements. Mater. Sci. Forum 2016, 858, 852–855. [Google Scholar] [CrossRef]
- Available online: https://www.alldatasheet.com/view.jsp?Searchword=C3M0075120D&sField=4 (accessed on 1 February 2019).
- Available online: https://www.alldatasheet.com/view.jsp?Searchword=SCT3080KR&sField=4 (accessed on 1 July 2019).
- Available online: https://www.infineon.com/cms/cn/product/power/mosfet/silicon-carbide/discretes/imw120r090m1h/ (accessed on 1 December 2020).
- Schwank, J.R.; Shaneyfelt, M.R.; Fleetwood, D.M.; Felix, J.A.; Dodd, P.E.; Paillet, P.; Ferlet-Cavrois, V. Radiation Effects in MOS Oxides. IEEE Trans. Nucl. Sci. 2008, 55, 1833–1853. [Google Scholar] [CrossRef]












Disclaimer/Publisher’s Note: The statements, opinions and data contained in all publications are solely those of the individual author(s) and contributor(s) and not of MDPI and/or the editor(s). MDPI and/or the editor(s) disclaim responsibility for any injury to people or property resulting from any ideas, methods, instructions or products referred to in the content. |
© 2023 by the authors. Licensee MDPI, Basel, Switzerland. This article is an open access article distributed under the terms and conditions of the Creative Commons Attribution (CC BY) license (https://creativecommons.org/licenses/by/4.0/).
Share and Cite
Shu, L.; Liao, H.-L.; Wu, Z.-Y.; Fang, X.-Y.; Liang, S.-W.; Li, T.-D.; Wang, L.; Wang, J.; Zhao, Y.-F. Effects of Gamma Irradiation on Switching Characteristics of SiC MOSFET Power Devices of Different Structures. Electronics 2023, 12, 2194. https://doi.org/10.3390/electronics12102194
Shu L, Liao H-L, Wu Z-Y, Fang X-Y, Liang S-W, Li T-D, Wang L, Wang J, Zhao Y-F. Effects of Gamma Irradiation on Switching Characteristics of SiC MOSFET Power Devices of Different Structures. Electronics. 2023; 12(10):2194. https://doi.org/10.3390/electronics12102194
Chicago/Turabian StyleShu, Lei, Huai-Lin Liao, Zi-Yuan Wu, Xing-Yu Fang, Shi-Wei Liang, Tong-De Li, Liang Wang, Jun Wang, and Yuan-Fu Zhao. 2023. "Effects of Gamma Irradiation on Switching Characteristics of SiC MOSFET Power Devices of Different Structures" Electronics 12, no. 10: 2194. https://doi.org/10.3390/electronics12102194
APA StyleShu, L., Liao, H.-L., Wu, Z.-Y., Fang, X.-Y., Liang, S.-W., Li, T.-D., Wang, L., Wang, J., & Zhao, Y.-F. (2023). Effects of Gamma Irradiation on Switching Characteristics of SiC MOSFET Power Devices of Different Structures. Electronics, 12(10), 2194. https://doi.org/10.3390/electronics12102194

