Study on Body Size Measurement Method of Goat and Cattle under Different Background Based on Deep Learning
Abstract
:1. Introduction
2. Materials and Methods
2.1. Data Set
2.1.1. Data Acquisition
2.1.2. Data Annotation
2.2. Nomentclature of Body Traits and Measurement
2.3. Image Processing
2.3.1. Depth Image Restoration
2.3.2. Body-Part Segmentation
2.3.3. Feature Point Location
Dense Block
Objective Function Optimization
Multistage Densely Stacked Hourglass Network
2.4. Evaluation of Body Size Measurement
3. Results and Discussion
3.1. Depth Image Restoration
3.2. Body-Part Segmentation
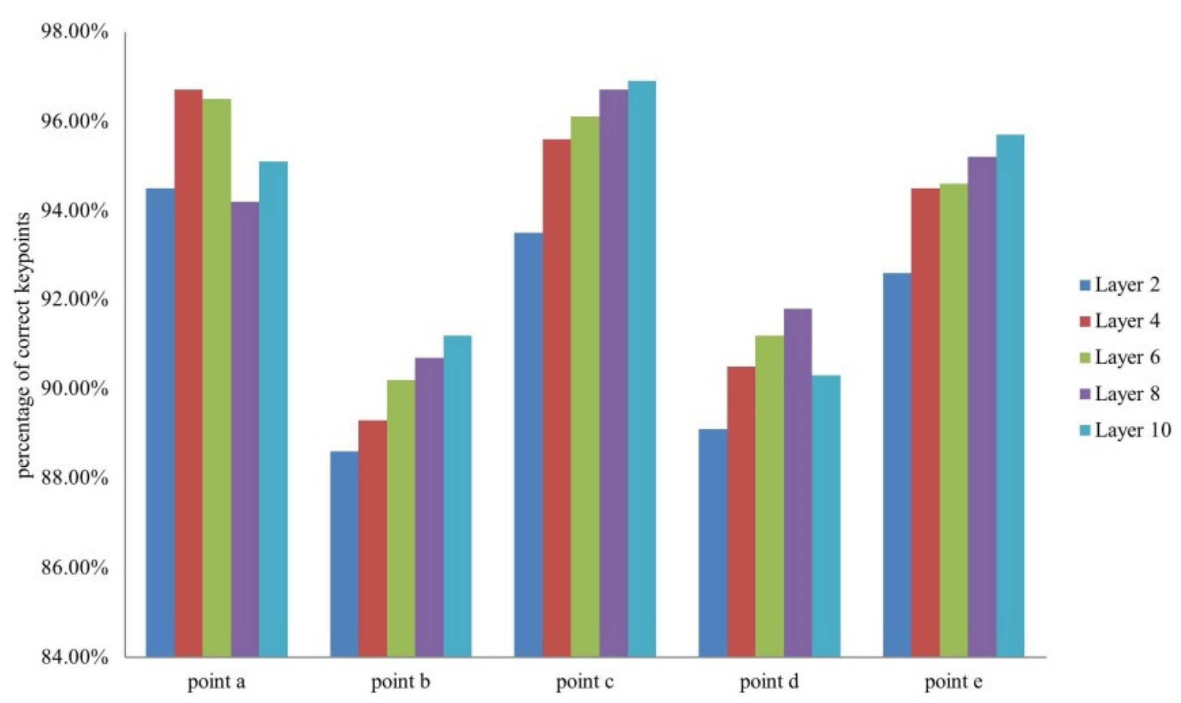
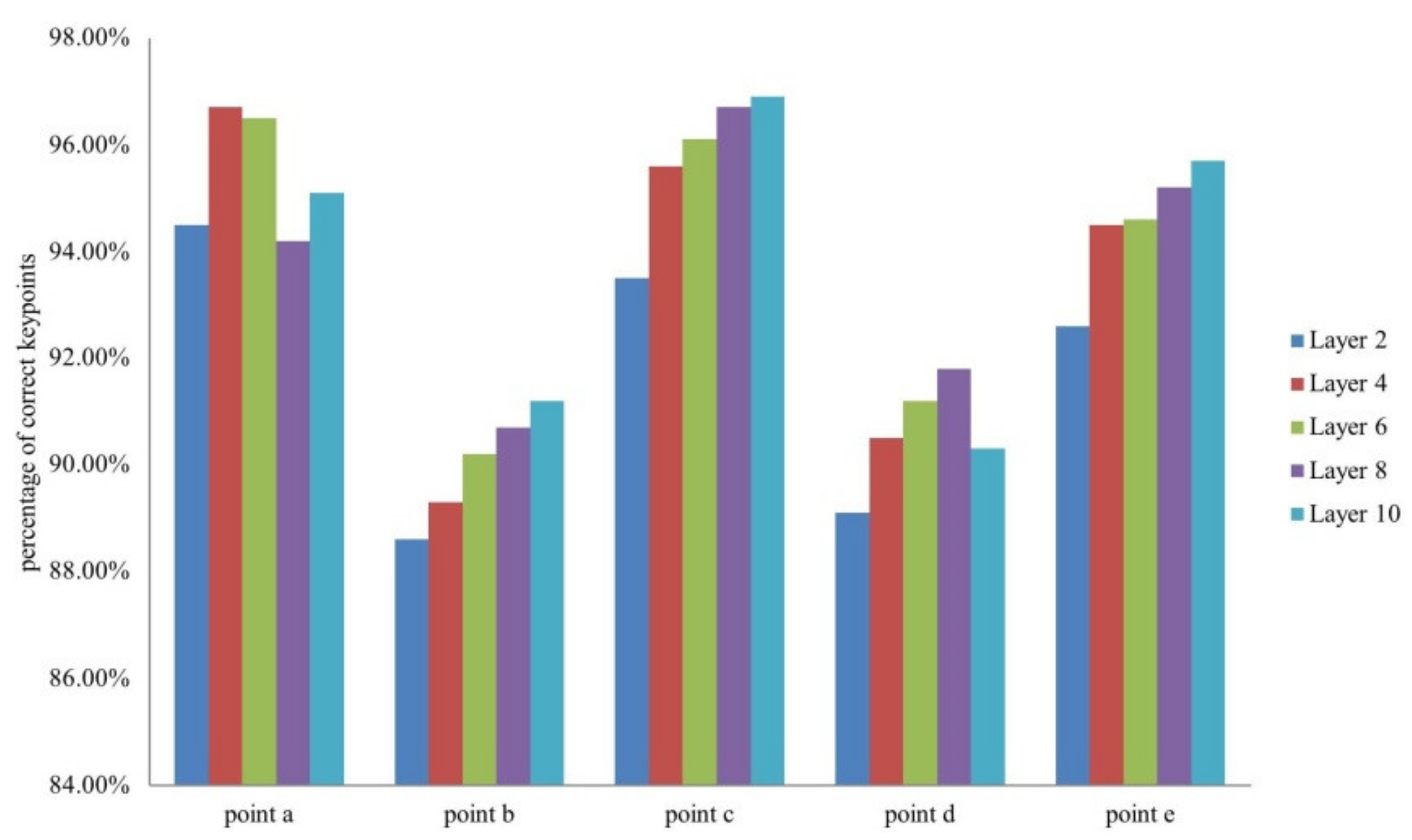
3.3. Accuracy of Feature Point Location
3.4. Accuracy of Measurement
3.5. The Linear Regerssion Analysis of Measurement Results
3.6. Repeatability of Measurement Results
4. Conclusions and Future Studies
- (1)
- Based on autoregressive models, a new penalty function was used to complete depth image super-resolution reconstruction through the color image and infrared image as guide image. The effect of illumination, distance and other factors on the quality of depth images was reduced.
- (2)
- Combining the characteristics exhibited by the attention module and the DropBlock2D module, this study used a self-built database to realize remote, contactless, automatic background segmentation and trunk segmentation of cattle and goats, respectively, by optimizing the activation function of U-Net neural network.
- (3)
- It was the first time to use deep learning technology to locate livestock feature points. The three-stage stacked hourglass network was constructed by optimizing the objective function;l moreover, the relay supervision strategy was applied for the supervised training to achieve the feature point location of cattle and goats.
Author Contributions
Funding
Data Availability Statement
Conflicts of Interest
References
- Thorup, V.M.; Edwards, D.; Friggens, N.C. On-farm estimation of energy balance in dairy cows using only frequent body weight measurements and body condition score. J. Dairy Sci. 2012, 95, 1784–1793. [Google Scholar] [CrossRef] [PubMed] [Green Version]
- Pezzuolo, A.; Guarino, M.; Sartori, L.; González, L.A.; Marinello, F. On-barn pig weight estimation based on body measurements by a Kinect v1 depth camera. Comput. Electron. Agric. 2018, 148, 29–36. [Google Scholar] [CrossRef]
- Kuzuhara, Y.; Kawamura, K.; Yoshitoshi, R.; Tamaki, T.; Sugai, S.; Ikegami, M.; Kurokawa, Y.; Obitsu, T.; Okita, M.; Sugino, T. A preliminarily study for predicting body weight and milk properties in lactating Holstein cows using a three-dimensional camera system. Comput. Electron. Agric. 2015, 111, 186–193. [Google Scholar] [CrossRef]
- Menesatti, P.; Costa, C.; Antonucci, F.; Steri, R.; Pallottino, F.; Catillo, G. A low-cost stereovision system to estimate size and weight of live sheep. Comput. Electron. Agric. 2014, 103, 33–38. [Google Scholar] [CrossRef]
- Leonard, S.M.; Xin, H.; Brown-Brandl, T.M.; Ramirez, B.C. Development and application of an image acquisition system for characterizing sow behaviors in farrowing stalls. Comput. Electron. Agric. 2019, 163, 104866. [Google Scholar] [CrossRef]
- Brandl, N.; Rgensen, E. Determination of live weight of pigs from dimensions measured using image analysis. Comput. Electron. Agric. 1996, 15, 57–72. [Google Scholar] [CrossRef]
- Marchant, J.A.; Schofield, C.P.; White, R.P. Pig growth and conformation monitoring using image analysis. Anim. Sci. 1999, 68, 141–150. [Google Scholar] [CrossRef]
- Tasdemir, S.; Urkmez, A.; Inal, S. Determination of body measurements on the Holstein cows using digital image analysis and estimation of live weight with regression analysis. Comput. Electron. Agric. 2011, 76, 189–197. [Google Scholar] [CrossRef]
- Ozkaya, S. Accuracy of body measurements using digital image analysis in female Holstein calves. Anim. Prod. Sci. 2012, 52, 917–920. [Google Scholar] [CrossRef]
- Federico, P.; Roberto, S.; Paolo, M.; Francesca, A.; Corrado, C.; Simone, F.; Catillo, G. Comparison between manual and stereovision body traits measurements of Lipizzan horses. Comput. Electron. Agric. 2015, 118, 408–413. [Google Scholar]
- Shi, C.; Teng, G.H.; Li, Z. An approach of pig weight estimation using binocular stereo system based on LabVIEW. Comput. Electron. Agric. 2016, 129, 37–43. [Google Scholar] [CrossRef]
- Salau, J.; Haas, J.H.; Junge, W.; Thaller, G. A multi-Kinect cow scanning system: Calculating linear traits from manually marked recordings of Holstein-Friesian dairy cows. Biosyst. Eng. 2017, 157, 92–98. [Google Scholar] [CrossRef]
- Wang, K.; Guo, H.; Ma, Q.; Su, W.; Zhu, D.H. A portable and automatic Xtion-based measurement system for pig body size. Comput. Electron. Agric. 2018, 148, 291–298. [Google Scholar] [CrossRef]
- Shi, S.; Yin, L.; Liang, S.H.; Zhong, H.J.; Tian, X.H.; Liu, C.X.; Sun, A.; Liu, H.X. Research on 3D surface reconstruction and body size measurement of pigs based on multi-view RGB-D cameras. Comput. Electron. Agric. 2020, 175, 105543. [Google Scholar] [CrossRef]
- Ruchay, A.; Kober, V.; Dorofeev, K.; Kolpakov, V.; Miroshnikov, S. Accurate body measurement of live cattle using three depth cameras and non-rigid 3-D shape recovery. Comput. Electron. Agric. 2020, 179, 105821. [Google Scholar] [CrossRef]
- Lina, Z.A.; Pei, W.B.; Tana, W.C.; Xinhua, J.D.; Chuanzhong, X.E.; Yanhua, M.F. Algorithm of body dimension measurement and its applications based on image analysis. Comput. Electron. Agric. 2018, 153, 33–45. [Google Scholar] [CrossRef]
- Guo, H.; Ma, X.; Ma, Q.; Wang, K.; Su, W.; Zhu, D.H. LSSA_CAU: An interactive 3d point clouds analysis software for body measurement of livestock with similar forms of cows or pigs. Comput. Electron. Agric. 2017, 138, 60–68. [Google Scholar] [CrossRef]
- Guo, H.; Li, Z.B.; Ma, Q.; Zhu, D.H.; Su, W.; Wang, K.; Marinello, F. A bilateral symmetry based pose normalization framework applied to livestock body measurement in point clouds. Comput. Electron. Agric. 2019, 160, 59–70. [Google Scholar] [CrossRef]
- Zhao, K.X.; Li, G.Q.; He, D.J. Fine Segment Method of Cows’ Body Parts in Depth Images Based on Machine Learning. Nongye Jixie Xuebao 2017, 48, 173–179. [Google Scholar]
- Jiang, B.; Wu, Q.; Yin, X.Q.; Wu, D.H.; Song, H.B.; He, D.J. FLYOLOv3 deep learning for key parts of dairy cow body detection. Comput. Electron. Agric. 2019, 166, 104982. [Google Scholar] [CrossRef]
- Li, B.; Liu, L.S.; Shen, M.X.; Sun, Y.W.; Lu, M.Z. Group-housed pig detection in video surveillance of overhead views using multi-feature template matching. Biosyst. Eng. 2019, 181, 28–39. [Google Scholar] [CrossRef]
- Song, X.; Bokkers, E.; Mourik, S.V.; Koerkamp, P.; Tol, P. Automated body condition scoring of dairy cows using 3-dimensional feature extraction from multiple body regions. J. Dairy Sci. 2019, 102, 4294–4308. [Google Scholar] [CrossRef] [PubMed] [Green Version]
- Zhang, J.; Shan, S.G.; Kan, M.; Chen, X.L. Coarse-to-Fine Auto-Encoder Networks (CFAN) for Real-Time Face Alignment. In Proceedings of the European Conference on Computer Vision, Zurich, Switzerland, 6–12 September 2014; pp. 1–16. [Google Scholar]
- Cozler, Y.L.; Allain, C.; Xavier, C.; Depuille, L.; Faverdin, P. Volume and surface area of Holstein dairy cows calculated from complete 3D shapes acquired using a high-precision scanning system: Interest for body weight estimation. Comput. Electron. Agric. 2019, 165, 104977. [Google Scholar] [CrossRef]
- Wang, K.; Zhu, D.; Gu, O.H.; Ma, Q.; Su, W.; Su, Y. Automated calculation of heart girth measurement in pigs using body surface point clouds. Comput. Electron. Agric. 2019, 156, 565–573. [Google Scholar] [CrossRef]
- Weisheng, D.; Lei, Z.; Rastislav, L.; Guangming, S. Sparse representation based image interpolation with nonlocal autoregressive modeling. IEEE Trans. Image Process. 2013, 22, 1382–1394. [Google Scholar]
- Hornácek, M.; Rhemann, C.; Gelautz, M.; Rother, C. Depth Super Resolution by Rigid Body Self-Similarity in 3D. In Proceedings of the 2013 IEEE Conference on Computer Vision and Pattern Recognition, Portland, OR, USA, 23–28 June 2013; pp. 1123–1130. [Google Scholar] [CrossRef] [Green Version]
- Smoli, A.; Ohm, J.R. Robust Global Motion Estimation Using A Simplified M-Estimator Approach. In Proceedings of the 2000 International Conference on Image Processing, Vancouver, BC, Canada, 10–13 September 2000; pp. 868–871. [Google Scholar]
- Zhu, R.; Yu, S.J.; Xu, X.Y.; Yu, L. Dynamic Guidance for Depth Map Restoration. In Proceedings of the 2019 IEEE 21st International Workshop on Multimedia Signal Processing (MMSP), Kuala Lumpur, Malaysia, 27–29 September 2019; pp. 1–6. [Google Scholar] [CrossRef]
- Ojala, T.; Pietikainen, M.; Maenpaa, T. Multiresolution Gray-Scale and Rotation Invariant Texture Classification with Local Binary Patterns. IEEE Trans. Pattern Anal. Mach. Intell. 2002, 24, 971–987. [Google Scholar] [CrossRef]
- Said, P.; Domenec, P.; Miguel, A.G. Analysis of focus measure operators for shape-from-focus. Pattern Recognit. 2013, 46, 1415–1432. [Google Scholar]
- Misra, D. Mish: A Self Regularized Non-Monotonic Neural Activation Function. In Proceedings of the British Machine Vision Conference, Cardiff, UK, 9–12 September 2019. [Google Scholar]
- Wang, Q.; Wu, B.; Zhu, P.; Li, P.; Zuo, W.; Hu, Q. ECA-Net: Efficient Channel Attention for Deep Convolutional Neural Networks. In Proceedings of the 2020 IEEE/CVF Conference on Computer Vision and Pattern Recognition (CVPR), Seattle, WA, USA, 14–19 June 2020; pp. 11531–11539. [Google Scholar]
- Ghiasi, G.; Lin, T.Y.; Le, Q.V. Dropblock: A regularization method for convolutional networks. arXiv 2018, arXiv:1810.12890. [Google Scholar]
- Shibata, E.; Takao, H.; Amemiya, S.; Ohtomo, K. 3D-Printed Visceral Aneurysm Models Based on CT Data for Simulations of Endovascular Embolization: Evaluation of Size and Shape Accuracy. Am. J. Roentgenol. 2017, 209, 243–247. [Google Scholar] [CrossRef]
- Carass, A.; Roy, S.; Gherman, A.; Reinhold, J.C.; Jesson, A.; Arbel, T.; Maier, O.; Handels, H.; Ghafoorian, M.; Platel, B.; et al. Evaluating White Matter Lesion Segmentations with Refined Sørensen-Dice Analysis. Sci. Rep. 2020, 10, 8242. [Google Scholar] [CrossRef]
- Abdel Aziz, T.; Allan, H. An Efficient Algorithm for Calculating the Exact Hausdorff Distance. IEEE Trans. Pattern Anal. Mach. Intell. 2015, 37, 2153–2163. [Google Scholar]
- Karimi, D.; Salcudean, S.E. Reducing the Hausdorff Distance in Medical Image Segmentation with Convolutional Neural Networks. IEEE Trans. Med. Imaging 2020, 39, 499–513. [Google Scholar] [CrossRef] [PubMed] [Green Version]
- Newell, A.; Yang, K.; Deng, J. Stacked Hourglass Networks for Human Pose Estimation. In Proceedings of the European Conference on Computer Vision, Amsterdam, The Netherlands, 8–16 October 2016; pp. 483–499. [Google Scholar]
- Chu, X.; Yang, W.; Ouyang, W.; Ma, C.; Yuille, A.L.; Wang, X.G. Multi-Context Attention for Human Pose Estimation. In Proceedings of the IEEE Conference on Computer Vision and Pattern Recognition, Honolulu, HI, USA, 21–26 July 2017; pp. 5669–5678. [Google Scholar]
- Cao, Z.; Simon, T.; Wei, S.E.; Sheikh, Y. Realtime Multi-person 2D Pose Estimation Using Part Affinity Fields. In Proceedings of the 2017 IEEE Conference on Computer Vision and Pattern Recognition, Honolulu, HI, USA, 21–26 July 2017; pp. 1302–1310. [Google Scholar]
- Sun, Y.; Wang, X.G.; Tang, X.O. Deep Convolutional Network Cascade for Facial Point Detection. In Proceedings of the 2013 IEEE Conference on Computer Vision and Pattern Recognition, Portland, OR, USA, 23–28 June 2013; pp. 3476–3483. [Google Scholar]
- Ranjan, R.; Patel, V.M.; Chellappa, R. HyperFace: A Deep Multi-task Learning Framework for Face Detection, Landmark Localization, Pose Estimation, and Gender Recognition. IEEE Trans. Pattern Anal. Mach. Intell. 2019, 41, 121–135. [Google Scholar] [CrossRef] [PubMed] [Green Version]
- Huang, G.; Liu, Z.; Laurens, V.; Weinberger, K.Q. Densely Connected Convolutional Networks. In Proceedings of the 2017 IEEE Conference on Computer Vision and Pattern Recognition, Honolulu, HI, USA, 21–26 July 2017; pp. 2261–2269. [Google Scholar]
- Hua, G.; Li, L.; Liu, S. Multipath affinage stacked-hourglass networks for human pose estimation. Front. Comput. Sci. 2020, 14, 155–165. [Google Scholar] [CrossRef]
- Bao, W.; Yang, Y.; Liang, D.; Zhu, M. Multi-Residual Module Stacked Hourglass Networks for Human Pose Estimation. J. Beijing Inst. Technol. 2020, 29, 110–119. [Google Scholar]
- Donner, A.; Koval, J.J. The estimation of intraclass correlation in the analysis of family data. Biometrics 1980, 36, 19–25. [Google Scholar] [CrossRef]
- Johannes, K.; Michael, F.C.; Dani, L.; Matt, U. Joint bilateral upsampling. ACM Trans. Graph. 2007, 26, 96.1–96.4. [Google Scholar]
- Camplani, M.; Mantecón, T.; Salgado, L. Depth-Color Fusion Strategy for 3-D Scene Modeling With Kinect. IEEE Trans. Cybern. 2013, 43, 1560–1571. [Google Scholar] [CrossRef]
- Yang, J.; Ye, X.; Li, K.; Hou, C.; Wang, Y. Color-guided depth recovery from RGB-D data using an adaptive autoregressive model. IEEE Trans. Image Process. 2014, 23, 3443–3458. [Google Scholar] [CrossRef]
- Enwei, S.; Ramakrishna, V.; Kanade, T.; Sheikh, Y. Convolutional pose machines. In Proceedings of the IEEE Computer Society, Las Vegas, NV, USA, 27–30 June 2016; pp. 4724–4732. [Google Scholar]
- Cozler, Y.L.; Allain, C.; Caillot, A.; Delouard, J.M.; Delattre, L.; Luginbuhl, T.; Faverdin, P. High-precision scanning system for complete 3D cow body shape imaging and analysis of morphological traits. Comput. Electron. Agric. 2019, 157, 447–453. [Google Scholar] [CrossRef]
- Fischer, A.; Luginbühl, T.; Delattre, L.; Delouard, J.M.; Faverdin, P. Rear shape in 3 dimensions summarized by principal component analysis is a good predictor of body condition score in Holstein dairy cows. J. Dairy Sci. 2015, 98, 4465–4476. [Google Scholar] [CrossRef] [PubMed]




















| Goat | Cattle | |||
|---|---|---|---|---|
| MG | LO | MG | LO | |
| JBU | 0.0027 | 22.646 | 0.0028 | 21.404 | 
| WLS | 0.0029 | 21.967 | 0.0029 | 22.142 | 
| AR | 0.0032 | 74.482 | 0.0032 | 86.814 | 
| Ours | 0.0048 | 142.170 | 0.0050 | 154.748 | 
| Index | Background | Front Trunk | Central Body | Hip Torso | p-Value | 
|---|---|---|---|---|---|
| Accuracy | 97.09 ± 1.56 a | 94.30 ± 1.53 b | 95.33 ± 1.70 ab | 89.55 ± 1.29 c | <0.001 | 
| Sensitivity | 89.29 ± 1.11 a | 54.55 ± 1.63 d | 80.00 ± 1.26 b | 71.43 ± 1.02 c | <0.001 | 
| Specificity | 99.57 ± 0.60 a | 99.75 ± 0.60 a | 97.83 ± 0.57 b | 94.34 ± 0.64 c | <0.001 | 
| Dice | 93.67 ± 0.71 a | 69.76 ± 0.66 b | 82.75 ± 0.54 c | 74.07 ± 0.79 d | <0.001 | 
| Index | Background | Front Trunk | Central Body | Hip Torso | p-Value | 
|---|---|---|---|---|---|
| Accuracy | 96.73 ± 0.95 a | 95.27 ± 0.85 b | 95.52 ± 1.09 b | 87.59 ± 1.16 c | <0.001 | 
| Sensitivity | 90.00 ± 1.39 a | 60.98 ± 1.29 c | 76.92 ± 1.15 b | 60.81 ± 1.24 d | <0.001 | 
| Specificity | 99.40 ± 0.62 a | 99.26 ± 0.61 a | 98.23 ± 0.63 b | 95.13 ± 0.69 c | <0.001 | 
| Dice | 92.99 ± 0.89 a | 72.88 ± 0.83 b | 81.38 ± 0.49 c | 68.28 ± 0.91 d | <0.001 | 
| Index | Cattle | Goat | 
|---|---|---|
| Background | 5.93 ± 1.38 | 6.16 ± 1.41 | 
| front trunk | 6.74 ± 1.56 | 6.94 ± 1.49 | 
| central body | 6.23 ± 1.12 | 6.78 ± 1.23 | 
| Hip torso | 7.37 ± 1.74 | 8.40 ± 1.77 | 
| ICC | CV | |||||
|---|---|---|---|---|---|---|
| Cattle | Goat | Cattle | Goat | |||
| Manual | Automatic | Manual | Automatic | |||
| withers height | 0.990 | 0.985 | 0.064% | 0.065% | 0.052% | 0.054% | 
| hip height | 0.985 | 0.943 | 0.052% | 0.049% | 0.041% | 0.043% | 
| body length | 0.973 | 0.890 | 0.068% | 0.069% | 0.056% | 0.064% | 
| chest depth | 0.972 | 0.942 | 0.091% | 0.090% | 0.123% | 0.141% | 
| Publisher’s Note: MDPI stays neutral with regard to jurisdictional claims in published maps and institutional affiliations. | 
© 2022 by the authors. Licensee MDPI, Basel, Switzerland. This article is an open access article distributed under the terms and conditions of the Creative Commons Attribution (CC BY) license (https://creativecommons.org/licenses/by/4.0/).
Share and Cite
Li, K.; Teng, G. Study on Body Size Measurement Method of Goat and Cattle under Different Background Based on Deep Learning. Electronics 2022, 11, 993. https://doi.org/10.3390/electronics11070993
Li K, Teng G. Study on Body Size Measurement Method of Goat and Cattle under Different Background Based on Deep Learning. Electronics. 2022; 11(7):993. https://doi.org/10.3390/electronics11070993
Chicago/Turabian StyleLi, Keqiang, and Guifa Teng. 2022. "Study on Body Size Measurement Method of Goat and Cattle under Different Background Based on Deep Learning" Electronics 11, no. 7: 993. https://doi.org/10.3390/electronics11070993
APA StyleLi, K., & Teng, G. (2022). Study on Body Size Measurement Method of Goat and Cattle under Different Background Based on Deep Learning. Electronics, 11(7), 993. https://doi.org/10.3390/electronics11070993
 
         
                                                
 
       