A 4th-Order LTCC Bandpass Filter with Both Tunable Center Frequency and Bandwidth
Abstract
1. Introduction
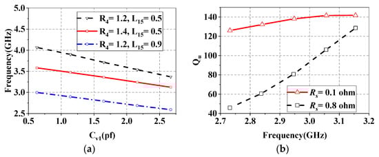
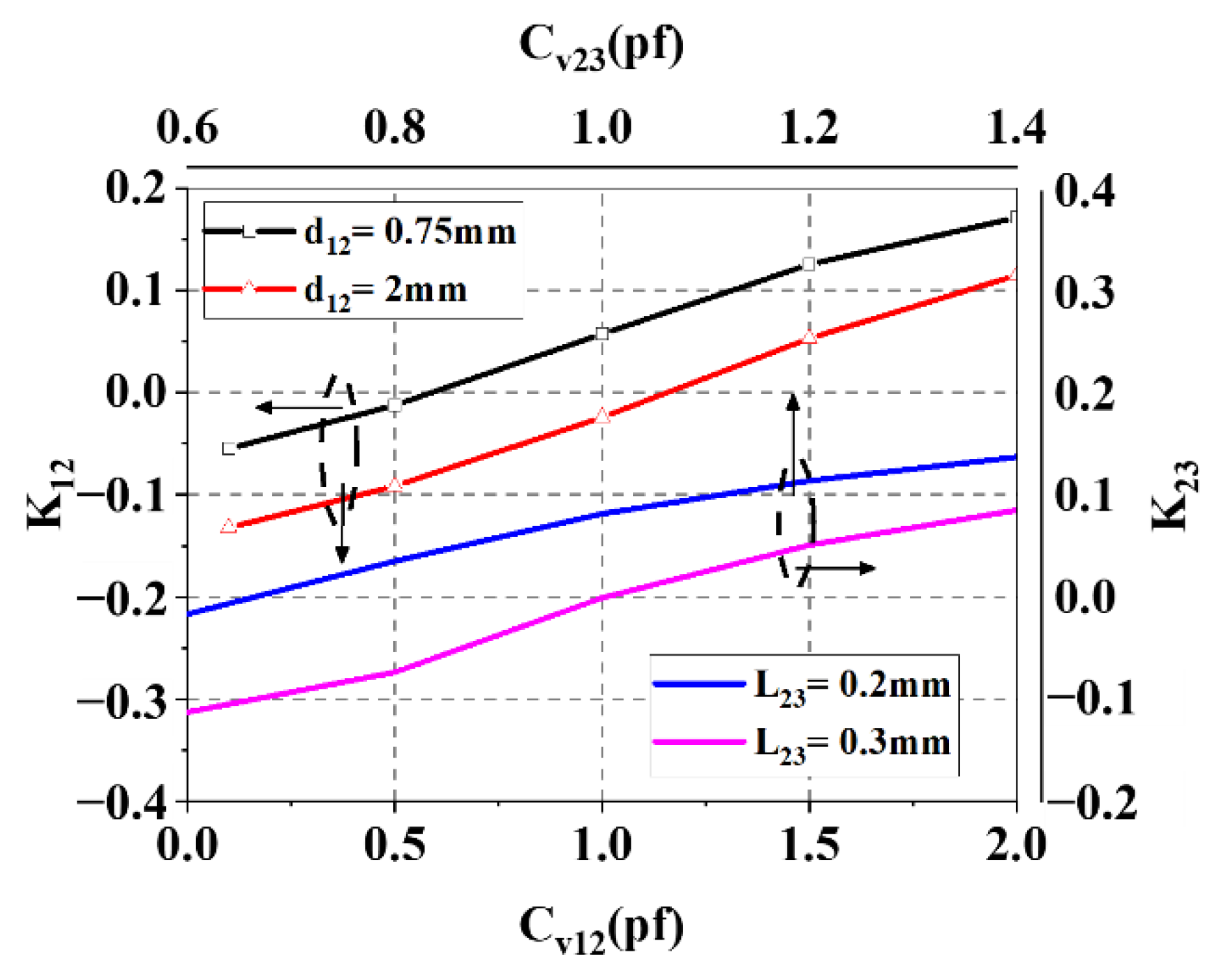
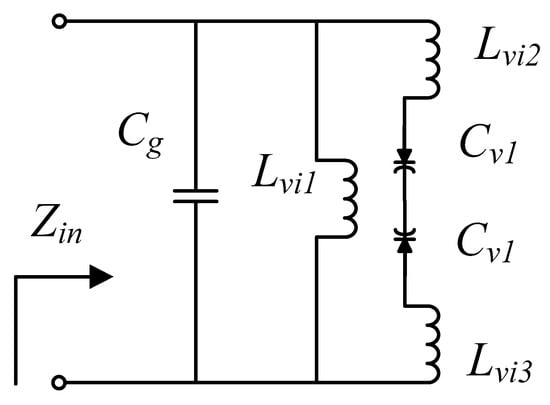
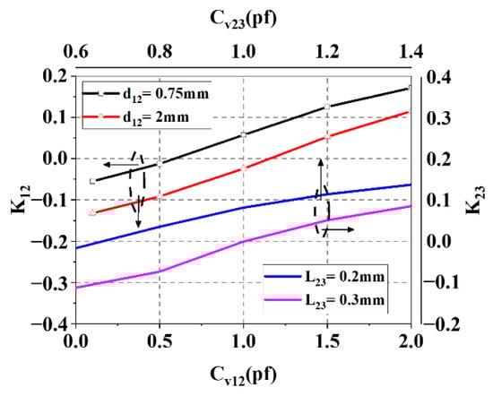
2. Analysis of the Tunable LTCC Bandpass Filter
3. Experimental Results
4. Conclusions
Author Contributions
Funding
Conflicts of Interest
References
- Kageyama, K.; Saito, K.; Murase, H.; Utaki, H.; Yamamoto, T. Tunable active filters having multilayer structure using LTCC. IEEE Trans. Microw. Theory Tech. 2001, 49, 2421–2424. [Google Scholar] [CrossRef]
- Rahman, M.; Shamsaifar, K. Electronically tunable LTCC based multi-layer filter for mobile handset application. In Proceedings of the IEEE MTT-S International Microwave Symposium Diges, Philadelphia, PA, USA, 8–13 June 2003; IEEE: Piscataway, NJ, USA, 2003; Volume 3, pp. 1767–1770. [Google Scholar] [CrossRef]
- Estes, J.C. Tunable rf bandpass pass filter with variable resonator coupling. In Proceedings of the 2008 IEEE MTT-S International Microwave Symposium Digest, Atlanta, GA, USA, 15–20 June 2008; IEEE: Piscataway, NJ, USA, 2008; pp. 1035–1038. [Google Scholar] [CrossRef]
- Zhao, B.L.; He, Z.T.; Wei, X.B.; Shi, Y. Compact tunable bandpass filter with wide tuning range and enhanced stopband characteristics. Electron. Lett. 2013, 49, 1007–1008. [Google Scholar] [CrossRef]
- Joshi, H.; Sigmarsson, H.H.; Moon, S.; Peroulis, D.; Chappell, W.J. High-Q Fully Reconfigurable Tunable Bandpass Filters. IEEE Trans. Microw. Theory Tech. 2009, 57, 3525–3533. [Google Scholar] [CrossRef]
- Anand, A. Reconfigurable Planar Capacitive Coupling in Substrate-Integrated Coaxial-Cavity Filters. IEEE Trans. Microw. Theory Tech. 2016, 64, 13. [Google Scholar] [CrossRef]
- Anand, A.; Liu, X. Air Cavities Integrated with Surface Mount Tuning Components for Tunable Evanescent-Mode Resonators. In Proceedings of the 2016 IEEE MTT-S International Microwave Symposium (IMS), San Francisco, CA, USA, 22–27 May 2016; IEEE: Piscataway, NJ, USA, 2016; pp. 1–4. [Google Scholar] [CrossRef]
- Sirci, S.; Martínez, J.D.; Boria, V.E.; Gil, J.; Marchand, L. Design of frequency tunable LTCC coaxial SIW filters with constant passband shape. In Proceedings of the 2018 IEEE MTT-S International Conference on Numerical Electromagnetic and Multiphysics Modeling and Optimization (NEMO), Reykjavik, Iceland, 8–10 August 2018; IEEE: Piscataway, NJ, USA, 2018; pp. 1–4. [Google Scholar] [CrossRef]
- Turgaliev, V.; Kholodnyak, D.; Vendik, I.; Stöpel, D.; Humbla, S.; Müller, J.; Hein, M.A. LTCC Highly Loaded Cavities for the Design of Single- and Dual-Band Low-Loss Miniature Filters. In Proceedings of the 40th European Microwave Conference, Paris, France, 28–30 September 2010; pp. 180–183. [Google Scholar] [CrossRef]












| L1 | L2 | L3 | L4 | L5 | L6 | L7 | L8 | L9 | L10 | L11 |
| 11 | 6 | 2.1 | 2 | 1.5 | 1 | 1 | 3 | 0.75 | 0.75 | 0.5 |
| L12 | L13 | L14 | R1 | R2 | R3 | R4 | R5 | W1 | W2 | |
| 0.3 | 1.6 | 0.4 | 0.7 | 0.125 | 0.25 | 1.3 | 1.2 | 0.5 | 0.6 |
| f0 (GHz) | 2.86 | 3.2 |
| DC (V) Varactor (pf) | V1/V2/V3/V4/V5 Cv1/Cv2/Cv12/Cv23/Cvqe | V1/V2/V3/V4/V5 Cv1/Cv2/Cv12/Cv23/Cvqe |
| BWmax | 1.1/2.9/2.3/7.1/0.1 2.13/1.66/1.58/0.99/5.37 | 5.6/31/4.5/8.2/9.8 1.05/0.46/1.25/0.79/2.57 |
| BWmin | 1.1/2.9/3.2/6.1/1.8 2.13/1.66/1.46/1.15/4.17 | 4.1/31/7.1/6.8/21.3 1.24/0.5/1.06/0.97/1.87 |
| f0 (GHz) | BW (MHz) | Filter Order | Num. of Varactors | Qu | IL (dB) | Size (λg) | |
|---|---|---|---|---|---|---|---|
| [1] | 0.8–0.87 | No tuning | 2 | 2 | 9.8 | 1.4–1.8 | 0.041/0.041/0.018 |
| [2] | 1.71–1.98 | No tuning | 3 | 3 | 75.2 | <4.3 | 0.126/0.109/0.034 |
| [4] | 0.4–0.8 | No tuning | 2 | 4 | 11.1 | <2.65 | 0.107/0.080/0.043 |
| [5] | 3.9–4.57 | No tuning | 4 | Switch tuning | 180–190 | 1.3–1.65 | 0.649/0.973/0.084 |
| This work | 2.86–3.2 | 170–320 (max) | 4 | 16 | 16.8 | 3.5–6.85 | 0.302/0.165/0.044 |
Publisher’s Note: MDPI stays neutral with regard to jurisdictional claims in published maps and institutional affiliations. |
© 2022 by the authors. Licensee MDPI, Basel, Switzerland. This article is an open access article distributed under the terms and conditions of the Creative Commons Attribution (CC BY) license (https://creativecommons.org/licenses/by/4.0/).
Share and Cite
Wu, H.; You, B.; Gao, K.-K.; Li, X.-G. A 4th-Order LTCC Bandpass Filter with Both Tunable Center Frequency and Bandwidth. Electronics 2022, 11, 4119. https://doi.org/10.3390/electronics11244119
Wu H, You B, Gao K-K, Li X-G. A 4th-Order LTCC Bandpass Filter with Both Tunable Center Frequency and Bandwidth. Electronics. 2022; 11(24):4119. https://doi.org/10.3390/electronics11244119
Chicago/Turabian StyleWu, Hao, Bin You, Kun-Kun Gao, and Xun-Gen Li. 2022. "A 4th-Order LTCC Bandpass Filter with Both Tunable Center Frequency and Bandwidth" Electronics 11, no. 24: 4119. https://doi.org/10.3390/electronics11244119
APA StyleWu, H., You, B., Gao, K.-K., & Li, X.-G. (2022). A 4th-Order LTCC Bandpass Filter with Both Tunable Center Frequency and Bandwidth. Electronics, 11(24), 4119. https://doi.org/10.3390/electronics11244119
