Robust Control Design of a Human Heart Rate System for Cardiac Rehabilitation Exercise
Abstract
1. Introduction
2. Experimental Setup and Human Heart Rate Modeling
2.1. Experimental Setup
2.2. Human Heart Rate Modeling
3. Controller Design
3.1. Sliding Mode Control
3.1.1. Sensitive to Perturbation
3.1.2. Identification of Linear Parameters to Apply SMC
3.2. Integral Sliding Mode Control (ISMC)
3.2.1. Insensitive to Perturbation
3.2.2. ISMC of Model-Free
4. Simulations and Experimental Results
4.1. Simulation and Discussion
4.1.1. Better Trajectory Tracking
4.1.2. Fluctuating Sliding Surface
4.1.3. Auxiliary and Actual Sliding Surface
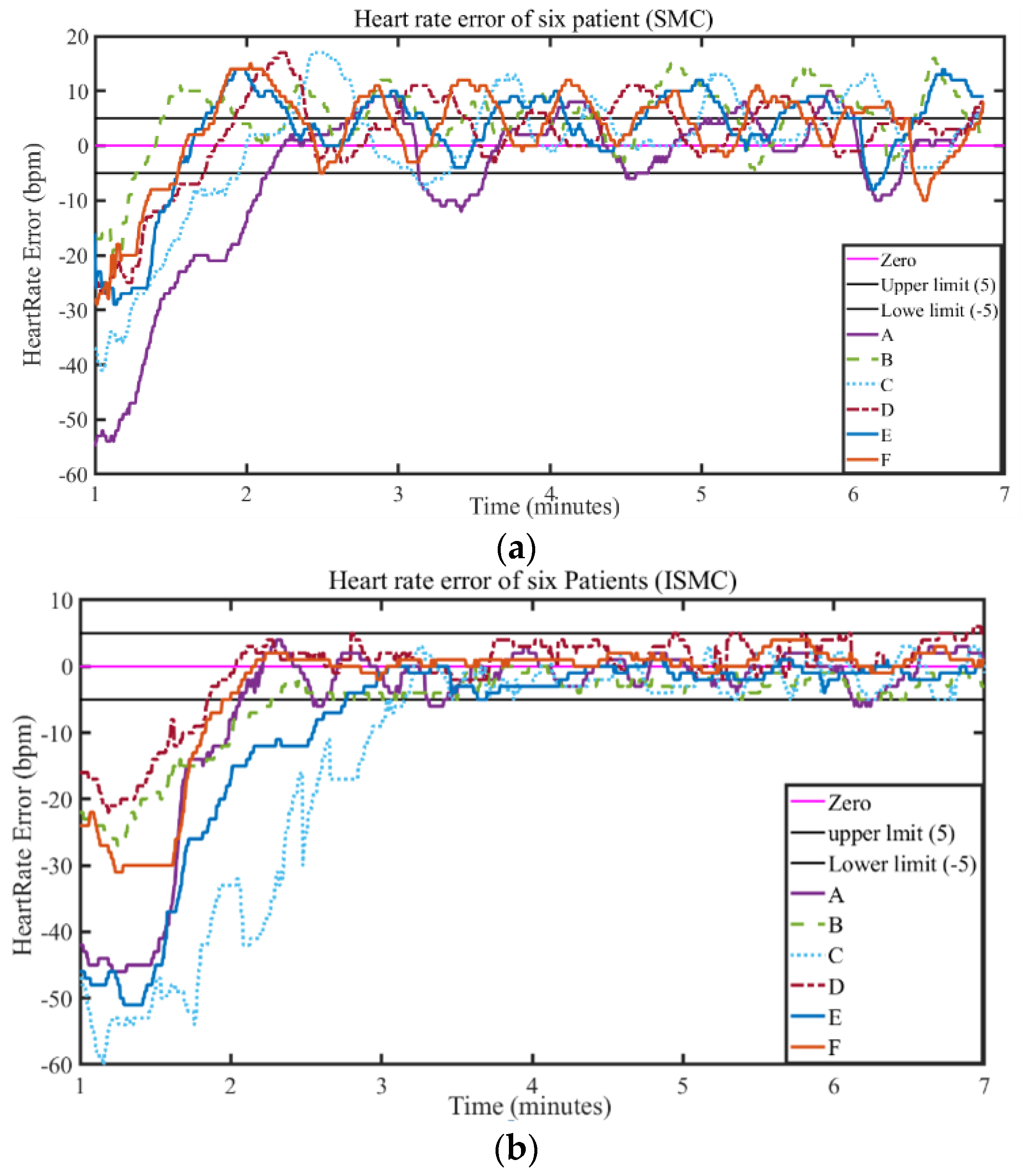
4.2. Experimental Results
5. Conclusions
Author Contributions
Funding
Data Availability Statement
Acknowledgments
Conflicts of Interest
References
- Shin, H.Y.; Lww, J.Y.; Song, J.; Lee, S.; Lee, J.; Lim, B. Cause-of-death statistics in the Republic of Korea, 2014. J. Korean Med. Assoc. 2016, 59, 221–232. [Google Scholar] [CrossRef]
- Scalzi, S.; Tomei, P.; Verrelli, C.M. Nonlinear control techniques for the heart rate regulation in treadmill exercises. IEEE Trans. Biomed. Eng. 2011, 59, 599–603. [Google Scholar] [CrossRef] [PubMed]
- Quiroz-Juarez, M.A.; Jiménez-Ramírez, O.; Vázquez-Medina, R.; Ryzhii, E.; Ryzhii, M.; Aragon, J.L. Cardiac conduction model for generating 12 lead ECG signals with realistic heart rate dynamics. IEEE Trans. Nanobiosci. 2018, 17, 525–532. [Google Scholar] [CrossRef] [PubMed]
- Elshrif, M.M.; Shi, P.; Cherry, E.M. Representing variability and transmural differences in a model of human heart failure. IEEE J. Biomed. Health Inform. 2015, 19, 1308–1320. [Google Scholar] [CrossRef] [PubMed]
- Javeed, A.; Zhou, S.; Yongjian, L.; Qasim, I.; Noor, A.; Nour, R. An intelligent learning system based on random search algorithm and optimized random forest model for improved heart disease detection. IEEE Access 2019, 7, 180235–180243. [Google Scholar] [CrossRef]
- Tafreshi, S.; Klamroth-Marganska, V.; Nussbaumer, S.; Riener, R. Real-time closed-loop control of human heart rate and blood pressure. IEEE Trans. Biomed. Eng. 2015, 62, 1434–1442. [Google Scholar] [CrossRef]
- Kodama, T.; Kamata, K.; Fujiwara, K.; Kano, M.; Yamakawa, T.; Yuki, I.; Murayama, Y. Ischemic stroke detection by analyzing heart rate variability in rat middle cerebral artery occlusion model. IEEE Trans. Neural Syst. Rehabil. Eng. 2018, 26, 1152–1160. [Google Scholar] [CrossRef]
- Meyer, D.; Körber, M.; Senner, V.; Tomizuka, M. Regulating the heart rate of human–electric hybrid vehicle riders under energy consumption constraints using an optimal control approach. IEEE Trans. Control Syst. Technol. 2018, 27, 2125–2138. [Google Scholar] [CrossRef]
- Chowdhury, S.S.; Hyder, R.; Hafiz, M.S.B.; Haque, M.A. Real-time robust heart rate estimation from wrist-type PPG signals using multiple reference adaptive noise cancellation. IEEE J. Biomed. Health Inform. 2016, 22, 450–459. [Google Scholar] [CrossRef]
- Zhang, X.; Wu, D.; Miao, F.; Liu, H.; Li, Y. Personalized hemodynamic modeling of the human cardiovascular system: A reduced-order computing model. IEEE Trans. Biomed. Eng. 2020, 67, 2754–2764. [Google Scholar] [CrossRef]
- Chang, H.; Liu, Q.; Zimmerman, J.F.; Lee, K.Y.; Jin, Q.; Peters, M.M.; Rosnach, M.; Choi, S.; Kim, S.L.; Ardoña, H.A.M.; et al. Recreating the heart’s helical structure-function relationship with focused rotary jet spinning. Science 2022, 377, 180–185. [Google Scholar] [CrossRef]
- Liu, M.; Lin, Z.; Wang, X.; Yan, W. Focused rotary jet spinning: A novel fiber technology for heart biofabrication. Matter 2022, 5, 3576–3579. [Google Scholar] [CrossRef]
- Yalcinkaya, F.; Kizilkaplan, E.; Erbas, A. Mathematical modelling of human heart as a hydroelectromechanical system. In Proceedings of the 2013 8th International Conference on Electrical and Electronics Engineering (ELECO), Bursa, Turkey, 28–30 November 2013; pp. 362–366. [Google Scholar]
- Cheng, T.M.; Savkin, A.V.; Celler, B.G.; Su, S.W.; Wang, L. Nonlinear modeling and control of human heart rate response during exercise with various work load intensities. IEEE Trans. Biomed. Eng. 2008, 55, 2499–2508. [Google Scholar] [CrossRef] [PubMed]
- Li, H.Y.; Young, K.H.; Lee, M.C. Signal compression method based heart rate model estimation and PI control for cardiac rehabilitation with treadmill. In Proceedings of the 2018 IEEE/ASME International Conference on Advanced Intelligent Mechatronics (AIM), Auckland, New Zealand, 9–12 July 2018; pp. 1294–1298. [Google Scholar]
- Lee, M.C.; Aoshima, N. Identification and its evaluation of the system with a nonlinear element by signal compression method. Trans. Soc. Instrum. Control Eng. 1989, 25, 729–736. [Google Scholar] [CrossRef]
- Kim, H.Y.; Lee, M.C. Heart rate modeling and smc simulation during tredmill exercise. In Proceedings of the 2018 International Conference on Information and Communication Technology Robotics (ICT-ROBOT), Busan, Korea, 6–8 September 2018; pp. 1–4. [Google Scholar]
- Hunt, K.J.; Fankhauser, S.E. Heart rate control during treadmill exercise using input-sensitivity shaping for disturbance rejection of very-low-frequency heart rate variability. Biomed. Signal Process. Control 2016, 30, 31–42. [Google Scholar] [CrossRef]
- Su, S.W.; Wang, L.; Celler, B.G.; Savkin, A.V. Heart rate control during treadmill exercise. In Proceedings of the 2005 IEEE Engineering in Medicine and Biology 27th Annual Conference, Shanghai, China, 17–18 January 2006; pp. 2471–2474. [Google Scholar]
- Su, S.W.; Wang, L.; Celler, B.G.; Savkin, A.V.; Guo, Y. Identification and control for heart rate regulation during treadmill exercise. IEEE Trans. Biomed. Eng. 2007, 54, 1238–1246. [Google Scholar] [CrossRef]
- Drakunov, S.; Utkin, V. Sliding mode observers. Tutorial. In Proceedings of the 1995 34th IEEE Conference on Decision and Control, New Orleans, LA, USA, 13–15 December 1995; pp. 3376–3378. [Google Scholar]
- Han, S.-I. Fractional-order Sliding mode constraint control for manipulator systems using grey wolf and whale optimization algorithms. Int. J. Control Autom. Syst. 2021, 19, 676–686. [Google Scholar] [CrossRef]
- Cai, G.; Li, X.; Hou, M.; Duan, G.; Han, F. Improved function augmented sliding mode control of uncertain nonlinear systems with preassigned settling time. Int. J. Control Autom. Syst. 2021, 19, 712–721. [Google Scholar] [CrossRef]
- Liu, Z.; Sun, N.; Wu, Y.; Xin, X.; Fang, Y. Nonlinear sliding mode tracking control of underactuated tower cranes. Int. J. Control Autom. Syst. 2021, 19, 1065–1077. [Google Scholar] [CrossRef]
- Han, F.; Jia, Y. Sliding mode boundary control for a planar two-link rigid-flexible manipulator with input disturbances. Int. J. Control Autom. Syst. 2020, 18, 351–362. [Google Scholar] [CrossRef]
- Gao, H.; Zhang, G.; Wang, W.; Liu, X. Research on an improved sliding mode sensorless six-phase PMSM control strategy based on ESO. Electronics 2021, 10, 1292. [Google Scholar] [CrossRef]
- Qiu, H.; Zhang, H.; Min, L.; Ma, T.; Zhang, Z. Adaptive Control Method of Sensorless Permanent Magnet Synchronous Motor Based on Super-Twisting Sliding Mode Algorithm. Electronics 2022, 11, 3046. [Google Scholar] [CrossRef]
- Karami-Mollaee, A.; Barambones, O. Dynamic Sliding Mode Control of DC-DC Converter to Extract the Maximum Power of Photovoltaic System Using Dual Sliding Observer. Electronics 2022, 11, 2506. [Google Scholar] [CrossRef]
- Zhang, D.; Wu, T.; Shi, S.; Dong, Z. A Modified Active-Disturbance-Rejection Control with Sliding Modes for an Uncertain System by Using a Novel Reaching Law. Electronics 2022, 11, 2392. [Google Scholar] [CrossRef]
- Oliver, K.; Mukhamejanova, A.; Mercorelli, P. Super-Twisting Sliding Mode Control for Differential Steering Systems in Vehicular Yaw Tracking Motion. Electronics 2022, 11, 1330. [Google Scholar]
- Wei, H.; Shang, Y. Finite-Time Parameter Observer-Based Sliding Mode Control for a DC/DC Boost Converter with Constant Power Loads. Electronics 2022, 11, 819. [Google Scholar]
- Jiang, C.; Wang, Q.; Li, Z.; Zhang, N.; Ding, H. Nonsingular terminal sliding mode control of PMSM based on improved exponential reaching law. Electronics 2021, 10, 1776. [Google Scholar] [CrossRef]
- Martínez, C.; Ávila-Vilchis, J.C.; Jacinto-Villegas, J.M.; Saldivar, B.; Vilchis-González, A.H. Sliding mode control for the regulation problem of an aerodynamic angular system: Experimental platform and validation. Int. J. Control Autom. Syst. 2021, 19, 2395–2405. [Google Scholar] [CrossRef]
- Abbasi, S.J.; Khan, H.; Lee, M.C. Trajectory tracking control of multi-dof robot without considering system dynamics. Int. J. Control Autom. Syst. 2021, 19, 2959–2970. [Google Scholar] [CrossRef]
- Huang, T.; Huang, D.; Wang, Z.; Dai, X.; Shah, A. Generic adaptive sliding mode control for a quadrotor uav system subject to severe parametric uncertainties and fully unknown external disturbance. Int. J. Control Autom. Syst. 2021, 19, 698–711. [Google Scholar] [CrossRef]
- Du, H.; Wang, L.; Chen, J.; Huang, H.; Feng, X. Integral sliding mode tracking control for heavy vehicle electro-hydraulic power steering system. IEEE/ASME Trans. Mechatron. 2020, 26, 1455–1466. [Google Scholar] [CrossRef]
- Shtessel, Y.; Edwards, C.; Fridman, L.; Levant, A. Introduction: Intuitive theory of sliding mode control. In Sliding Mode Control and Observation; Springer: Berlin/Heidelberg, Germany, 2014; Volume 10. [Google Scholar]
- Pan, Y.; Yang, C.; Pan, L.; Yu, H. Integral sliding mode control: Performance, modification, and improvement. IEEE Trans. Ind. Inform. 2017, 14, 3087–3096. [Google Scholar] [CrossRef]













| Clinical Subject | Data | ||||
|---|---|---|---|---|---|
| Age | Gender | Rest Heart Rate | Maximum Heart Rate | Decay Heart Rate | |
| A | 54 | F | 88 | 190 | 23 |
| B | 61 | M | 59 | 151 | 24 |
| C | 28 | F | 74 | 172 | 36 |
| D | 41 | F | 73 | 152 | 8 |
| E | 54 | F | 70 | 152 | 20 |
| F | 62 | F | 73 | 149 | 17 |
| Clinical Subject | Subject Information | ||
|---|---|---|---|
| Correlation (%) | |||
| A | 4.3 | 0.5 | 82 |
| B | 4.5 | 0.5 | 86 |
| C | 5.7 | 0.6 | 83 |
| D | 4.3 | 0.5 | 85 |
| E | 7 | 0.6 | 84 |
| F | 5.6 | 0.6 | 79 |
| Clinical Subject | Subject Information | |||
|---|---|---|---|---|
| Age | Correlation (%) | |||
| X | 26 | 5.5 | 0.6 | 82 |
| Number | Controller Parameter | |
|---|---|---|
| SMC | ISMC | |
| 1 | Constant input | Constant input |
| 2 | c = 5 | c = 5 |
| 3 | K = 250 | |
| 4 | ||
| Clinical Subject | Subject Information | |
|---|---|---|
| Target Heart Rate (bpm) | Initial Heart Rate (bpm) | |
| A | 149 | 107 |
| B | 114 | 92 |
| C | 133 | 86 |
| D | 120 | 104 |
| E | 119 | 73 |
| F | 119 | 95 |
Publisher’s Note: MDPI stays neutral with regard to jurisdictional claims in published maps and institutional affiliations. |
© 2022 by the authors. Licensee MDPI, Basel, Switzerland. This article is an open access article distributed under the terms and conditions of the Creative Commons Attribution (CC BY) license (https://creativecommons.org/licenses/by/4.0/).
Share and Cite
Abbasi, S.J.; Kim, W.J.; Kim, J.; Lee, M.C.; Lee, B.J.; Shin, M.J. Robust Control Design of a Human Heart Rate System for Cardiac Rehabilitation Exercise. Electronics 2022, 11, 4081. https://doi.org/10.3390/electronics11244081
Abbasi SJ, Kim WJ, Kim J, Lee MC, Lee BJ, Shin MJ. Robust Control Design of a Human Heart Rate System for Cardiac Rehabilitation Exercise. Electronics. 2022; 11(24):4081. https://doi.org/10.3390/electronics11244081
Chicago/Turabian StyleAbbasi, Saad Jamshed, Won Jae Kim, Jaehyung Kim, Min Cheol Lee, Byeong Ju Lee, and Myung Jun Shin. 2022. "Robust Control Design of a Human Heart Rate System for Cardiac Rehabilitation Exercise" Electronics 11, no. 24: 4081. https://doi.org/10.3390/electronics11244081
APA StyleAbbasi, S. J., Kim, W. J., Kim, J., Lee, M. C., Lee, B. J., & Shin, M. J. (2022). Robust Control Design of a Human Heart Rate System for Cardiac Rehabilitation Exercise. Electronics, 11(24), 4081. https://doi.org/10.3390/electronics11244081

