Next Article in Journal
Neural Network Based Robust Lateral Control for an Autonomous Vehicle
Next Article in Special Issue
Analytical Study of Periodic Restricted Access Window Mechanism for Short Slots
Previous Article in Journal
On Increasing the Accuracy of Modeling Multi-Service Overflow Systems with Erlang-Engset-Pascal Streams
Previous Article in Special Issue
An Efficient Clustering Protocol for Cognitive Radio Sensor Networks
 
 
Font Type:
Arial Georgia Verdana
Font Size:
Aa Aa Aa
Line Spacing:
Column Width:
Background:
Article

Optimal Energy Beamforming to Minimize Transmit Power in a Multi-Antenna Wireless Powered Communication Network

1
Department of Electrical, Electronic and Computer Engineering, University of Ulsan, Ulsan 44610, Korea
2
Faculty of Physics, University of Education, Hue University, 34 Le Loi, Hue City 530000, Vietnam
*
Author to whom correspondence should be addressed.
Electronics 2021, 10(4), 509; https://doi.org/10.3390/electronics10040509
Submission received: 28 January 2021 / Revised: 10 February 2021 / Accepted: 11 February 2021 / Published: 22 February 2021
(This article belongs to the Special Issue Wireless Network Protocols and Performance Evaluation)

Abstract

In this paper, we study the transmit power minimization problem with optimal energy beamforming in a multi-antenna wireless powered communication network (WPCN). The considered network consists of one hybrid access point (H-AP) with multiple antennae and multiple users with a single antenna each. The H-AP broadcasts an energy signal on the downlink, using energy beamforming to enhance the efficiency of the transmit energy. In this paper, we jointly optimize the downlink time allocation for wireless energy transfer (WET), the uplink time allocation for each user to send a wireless information signal to the H-AP, the power allocation to each user on the uplink, and the downlink energy beamforming vectors while controlling the transmit power at the H-AP. It is challenging to solve this non-convex complex optimization problem because it is numerically intractable and involves high computational complexity. We exploit a sequential parametric convex approximation (SPCA)-based iterative method, and propose optimal and sub-optimal solutions for the transmit power minimization problem. All the proposed schemes are verified by numerical simulations. Through the simulation results, we present the performance of the proposed schemes based on the effect of the number of transmit antennae and the number of users in the proposed WPCN. Through the performance evaluation, we show that the SPCA-based joint optimization solution performance is superior to other solutions.

1. Introduction

Energy limitation has always been a critical issue in wireless communication networks for decades. Energy harvesting (EH) and wireless power transfer (WPT) have become promising technologies addressing battery lifetime and power issues for energy-constrained devices in wireless networks [1]. Specifically, radio frequency-enabled energy harvesting (RF-EH) has attracted significant attention when it comes to charging wireless mobile devices in cellular networks. The wireless powered communication network (WPCN) is a system architecture, combining wireless energy transfer (WET) on downlink with wireless information transfer (WIT) on uplink, presenting a promising solution for energy-efficient communication networks. Recently, WPCNs have been proposed as a useful technology for many future industrial internet of things (IIoT) systems consisting of a large-scale sensors and radio-frequency identification (RFID) devices for wireless sensor networks (WSNs) [1,2].

1.1. Wireless Powered Communication Networks

In the WPCN shown in Figure 1, a hybrid energy and information access provider (H-AP) transmits an energy-carrying signal to wireless devices on downlink. On, uplink, each user sends an information signal using the energy harvested in the downlink phase. We assume that the H-AP has a fixed power supply, whereas users have no fixed power supply, and thus, need to recharge batteries by harvesting energy from the wireless signal sent by the H-AP. We consider the time division duplex (TDD) mode in the WPCN, in which the total coherence interval is further split into two phases (the downlink wireless energy transfer phase and the uplink wireless information transfer phase) while assuming perfect channel state information (CSI) at the transmitter. To achieve the required quality of service (QoS) in the WPCN, it is necessary to find the optimal allocation of time for the downlink and uplink phases, because energy and throughput efficiencies are a function of time allocation parameters [3].
In multi-antenna WPCNs, where the H-AP consists of multiple antennae, we can enhance the efficiency of energy transmission by concentrating RF signals into a narrow beam, referred as energy beamforming [4]. Energy beamforming at the H-AP is beneficial to WPCNs because the multi-antenna H-AP can enhance the efficiency of energy transmission by controlling the transmit beamforming vectors. Moreover, by properly designing the energy beams, we can increase the achievable uplink throughput for each user, because more energy can be harvested during the WET phase while allowing an increase in transmit power during the uplink phase [5].
In addition, it is important to optimize the transmission power of the H-AP for efficient use of the resources available at the H-AP, and to meet the QoS requirements of the WPCN. In [6], Liu et al. provided a study for simultaneous transmission of power and information, in which they proposed joint optimization for information and energy transfer scheduling as well as transmit power control with receiver mode switching. In [7], Cheng et al. proposed a solution to achieve proportional fairness while jointly optimizing the power and time allocation for each user. However, due to the large number of transmit antennae at the H-AP, designing the energy beamforming vectors while minimizing transmit power involves high computational complexity [8].

1.2. Related Work

WPCNs have been extensively studied in the literature under various scenarios that provide promising solutions for power and information transfer in wireless networks [3,6,7,9,10,11]. In [3], achievable throughput maximization for users by jointly optimizing the time allocation for both WIT and WET was proposed. In [5], Hunwoo et al. studied a MISO WPCN to enhance user energy efficiency. They jointly optimized the downlink beamforming vectors and the uplink power and time allocation for end users in order to maximize the sum user energy–efficiency for WPCNs by considering two multiple access schemes: time division multiple access (TDMA) and spatial division multiple access (SDMA). In [12], Ko et al. studied the sum rate–maximization problem for WPCNs with power-level modulation of the downlink WET signal, and they proved the convexity of the problem. They also provided uplink time scheduling for users while considering users who are not equipped with information receivers. In [9], a multiple-antenna WPCN with energy beamforming was studied, specifically considering channel estimation error in the uplink phase.
In [13], Huang et al. derived the exact closed-form expression for the average throughput performance of a multi-antenna WPCN with energy beamforming for both delay-limited and delay-transmission modes. They also optimized the downlink time allocation that maximizes system throughput. In [14], Liu et al. applied SDMA in a multiple-antenna WPCN and optimized the transmit beamforming vectors as well as the receiver beamforming vectors of the H-AP to maximize the minimum throughput among the users. They also provided the joint design of downlink and uplink time allocation, and uplink power allocation with transmit and receive energy beamforming. In our prior work [15], we considered resource allocation for WPCNs with a single antenna for the H-AP and for each of multiple users. We jointly optimized the uplink and downlink time allocation while minimizing the transmit power at the H-AP with a sum power constraint.
In the literature, many researchers studied the energy beamforming problem with the maximization of sum throughput or the minimum throughput of the end user, while jointly optimizing resource allocation in the WPCN. In this paper, we consider the transmit power control problem at the H-AP in multi-antenna WPCNs by jointly optimizing the downlink time allocation for WET, the uplink time allocation for each user to send information to the H-AP, the power allocation for each user on uplink, and the downlink energy beamforming vectors.

1.3. Problem Statement and Contributions

In this paper, we extend the study in [15] with multiple antennae at the H-AP. When we install multiple antennae at the H-AP in a WPCN, we can increase the efficiency of wireless energy transfer on downlink by designing the transmit beamforming vectors at the H-AP. Previously, the authors in [13,14] studied the energy beamforming problem in multiple antennae for one user and for multiple users. In their studies, they considered maximization of sum throughput or the minimum throughput of the end user, while jointly optimizing resource allocation in the WPCN. In this paper, our goal is to minimize the transmit power at the H-AP in multi-antenna WPCNs by jointly optimizing the downlink time allocation for WET, the uplink time allocation for each user to send information to the H-AP, the power allocation for each user on uplink, and the downlink energy beamforming vectors. Due to the large number of antennae at the H-AP, it is challenging to jointly design optimal variables because it involves high computational complexity.
However, the optimization problem is non-convex, and generally speaking, it is numerically intractable to find a solution for such a complex problem. To that end, in this paper, we propose a sequential parametric convex approximation (SPCA)-based method to obtain a near-optimal solution for designing variables. The general idea of the iterative SPCA method to solve non-convex optimization problems is to approximate or convert them into convex sub-problems, such as conic quadratic programming. For this, the non-convex feasible set is approximated in each iteration by inner convex approximation [16]. Many researchers have already studied and implemented SPCA methods in their work in order to solve non-convex optimization problems [17,18,19,20,21,22,23,24].
Mainly, we propose three SPCA-based methods with optimal or sub-optimal solutions. First, we fixed the time allocations for uplink and downlink transmissions by equally dividing the coherence interval among the uplink transmission users and the downlink phase. This simplifies the transmit power minimization problem with optimal power allocation and optimal design of energy beamforming. In the second approach, we solve the optimization problem in two steps. First, we solve the problem for any given time allocation, and then, we find an optimal solution for time allocation by using a simple one-dimension bisection search method. This method also simplifies the complex optimization problem, but at the cost of increased computations due to the two levels of iterations. Finally, by exploiting an SPCA-based iterative algorithm, we jointly optimize the downlink and uplink time allocations, the power allocation for each user to send information on uplink, and the downlink energy beamforming vectors. Based on the simulation results, we show that the third approach presents the near-optimal solution and performs better, as compared to two other sub-optimal solutions.
The main contributions of this paper are summarized as follows.
  • We formulate a transmit-power minimization problem in a multi-antenna WPCN, where an H-AP comprises multiple antennae subject to constraints on the minimum achievable uplink rate for the users and the minimum downlink energy harvested by the users. We jointly optimize downlink time allocation for WET, uplink time allocation for each user to send information to the H-AP, power allocation to each user to send information on uplink, and the downlink energy beamforming vectors while controlling transmit power at the H-AP.
  • We exploit the SPCA-based iterative algorithm to achieve the near-optimal solution for the transmission power control problem. The optimization problem is non-convex and complex. To simplify the problem, we propose two sub-optimal solutions based on fixed allocation of uplink/downlink time and time allocation using a bisection search method. Finally, we propose an optimal solution by jointly optimizing all the resource allocations using the SPCA method.
The subsequent sections of this paper are organized as follows. Section 2 describes the WPCN system model and the optimization problem formulation for resource allocation in a multi-antenna WPCN. Section 3 demonstrates the SPCA-based proposed schemes, and Section 4 explains the results produced by the proposed schemes, providing verification results from simulations. In Section 5, we conclude our study and provide few future directions for further study.

2. System Model and Problem Formulation

In this paper, we consider a multi-antenna WPCN system with WET on downlink and WIT on uplink, as discussed in [14]. The considered network consists of an H-AP with M > 1 antennae, and N single-antenna users, denoted by U n , n = 1 , 2 , , N as shown in Figure 1. It is assumed that the end users have no embedded energy sources, and thus, need to harvest energy from the signals sent by the H-AP on downlink. In addition, it is assumed that there is an embedded energy storage device in the form of a rechargeable battery or a super-capacitor in the end-user terminals to store the energy harvested from the received energy signals for future use. The communication channels between the H-AP and the n t h user for downlink and uplink transmission are denoted as h n C M × 1 and g n C M × 1 , respectively. It is assumed that channel state information (CSI) is perfectly known at transmitter which is commonly used in several papers [3,14]. We assume that transmission in the WPCN follows the TDD protocol, and that the uplink and downlink channel properties are the same. The system has frame-based transmission where the properties of the channel remain the same in one coherence interval, denoted by T.
As shown in Figure 2, each frame is divided into two phases; the downlink wireless energy transfer phase and the uplink wireless information transfer phase. In the downlink WET phase, the H-AP broadcasts an arbitrary wireless energy signal to all users in τ o T seconds. We normalize τ o , ( 0 < τ o < 1 ) to the frame length for generalization; the n t h user harvests energy from signals sent by the transmitter, and then, in the uplink phase, U n transmits information signal by utilizing the harvested energy. In Figure 2, τ 1 , τ 2 , τ n are the allocated time slots for each user to transmit information in the uplink phase. In the rest of this paper, we normalize T = 1 for convenience, without loss of generality.

2.1. Downlink Wireless Energy Transfer

In the downlink phase, the H-AP transmits an arbitrary energy signal, x 0 , to broadcast energy to the end users, where x 0 is expressed as
x 0 = w s d
in which s d is an independent and identically distributed (i.i.d.) energy-carrying random signal with zero mean and unit variance, and  w C M × 1 denotes the energy beamformers for the transmitter. The transmit power of the H-AP on downlink can be expressed as E [ | | x 0 | | 2 ] = | | w | | 2 . The H-AP has a transmit sum-power constraint P T , and  thus, we have | | w | | 2 P T . The received signal on downlink at the n t h user is then expressed as
y n = h n H w s d + z n , n
where h n C M × 1 is the communication channel between the H-AP and the n t h user. In a TDD coherence interval, the channel properties remain the same. Here, z n is the noise at the n t h user. In practice, receiver noise is negligible for energy receivers, so we ignore z n , in further problem formulations.
The amount of energy harvested by the n t h user on downlink can be expressed with E n as follows:
E n = ς n τ 0 h n H w 2 , n
where 0 < ς n < 1 , n = 1 , 2 , 3 , , N is the energy harvesting efficiency at each receiver.

2.2. Uplink Wireless Information Transfer

After harvesting energy from the H-AP, the  n t h user sends information by utilizing the energy harvested in the downlink phase. The average transmit power available for the n t h user to transmit information in the uplink phase is given by
P n ( w , τ 0 , τ n ) = E n τ n = ς n τ 0 h n H w 2 τ n , n
Every n t h user transmits an independent signal, x n = p n s n , in allocated slot τ n with power p n , where s n denotes the information-bearing signal of the n t h user, which is assumed to be an i.i.d. circularly symmetric complex Gaussian (CSCG) random variable, with zero mean and unit variance.
The signal received at the H-AP and sent by the n t h user in the n t h uplink slot is given by
y n = h n x n + α , n
where α denotes the noise at the H-AP, which is a complex Gaussian distributed random variable with zero mean and σ 2 variance. The achievable uplink throughput (in bits per second per Hertz) for the n t h user in the n t h slot can be defined as
R n τ n , v n , p n = τ n log 2 1 + p n v n H h n 2 v n 2 σ 2 , n
where v n C M × 1 denotes the received beamforming vector for decoding the information signal at the H-AP. We considered maximum-ratio combining (MRC) beamforming at the receiver such that v n = h n h n . So, we can rewrite Equation (6) as
R n τ n , p n = τ n log 2 1 + p n h n 2 σ 2
We observe from Equation (7) that achievable throughput R n τ n , p n would increase if we increase the power allocation for each user in the given allocated time slots on uplink and downlink. However, because the H-AP has limited transmit power and cannot broadcast much wireless power to users, it is necessary to control transmit power while confirming the required minimum throughput rate of the users on uplink and the sum-power constraint on the H-AP on downlink. There is a need to optimize power while maintaining uplink throughput and downlink harvested energy above a specified threshold.

2.3. The Optimization Problem

In this paper, we are interested in minimizing the transmit power of the H-AP by jointly optimizing the time allocation, τ = τ 1 , τ 2 , , τ N , the downlink beamforming, w , and the uplink transmit power allocation, p n . We can formulate the optimization problem as follows:
min { p n } , w , τ 0 , τ w 2
s . t . τ n log 2 1 + p n h n 2 σ 2 Γ n , n
ς n τ 0 h n H w 2 e n , n
p n P n ( w , τ 0 , τ n ) , n
j = 0 N τ j 1
w 2 P T
where Γ n is the minimum required rate for the n t h user, and  e n is the minimum threshold for the harvested energy. In Problem (8), we minimize the transmit power while designing the optimal value for the transmit beamforming vector, and the power allocation to send information and time allocations for the downlink and uplink phases. Constraints (8b) and (8c) guarantee the quality of service for users in order to meet the minimum requirements for throughput and energy harvested in the uplink and downlink phases, respectively. Constraint (8d) is needed because users have no other source of energy, and, will utilize only the power harvested in the downlink phase. Constraint (8e) satisfies the normalization of allocation time on the frame length, and  P T is the maximum power resources available at the H-AP.
However, Problem (8) is non-convex, and it is analytically difficult to find an optimal solution for minimum transmit power. In this paper, we propose SPCA-based optimal and sub-optimal solutions to obtain a near-optimal solution for beams on downlink, and  for time and power allocation on uplink.

3. SPCA-Based Solutions

In this paper, we exploit an SPCA method to obtain the optimal and sub-optimal solutions for the non-convex transmit power optimization problem in a multi-antenna WPCN. SPCA is a general scheme for solving non-convex optimization problems, where a non-convex problem is divided into convex sub-problems and solved in iterations. In each iteration, the non-convex feasible set is approximated by an inner convex approximation [16]. In this section, we propose three solutions for the transmit power minimization problem.

3.1. Sub-Optimal Solutions

3.1.1. Fixed Allocation for Downlink and Uplink Time Slots

In the previous section, from Problem (8), we know the transmit power minimization problem is jointly optimizing the beamformer on downlink, and power and time allocation on uplink. This problem is complex and difficult to solve. So, to make our problem simple, we first fix the time allocation for information transmission on uplink and energy transfer on downlink. For this, we equally divide the whole coherence interval into N + 1 intervals. Thus, we fix τ n = 1 / ( N + 1 ) , τ 0 = 1 j = 1 N τ j . By doing this, we can rewrite Problem (8) as follows:
min { p n } , w w 2
s . t . τ n log 2 1 + p n h n 2 σ 2 Γ n , n
ς n τ 0 h n H w 2 e n , n
p n P n ( w ) , n
w 2 P T
We reformulate this non-convex problem into approximated convex problems using the sequential parametric convex approximation method. We can reformulate the above problem as follow:
min { p n } , w , { a 1 , n } , { a 2 , n } , { a 3 , n } , a 4 w 2 + n a 1 , n + n a 2 , n + n a 3 , n + a 4
s . t . 0 2 Γ n τ n 1 p n h n 2 σ 2 a 1 , n , n
0 p n τ n τ 0 ς n h n H w 2 a 2 , n , n
0 e n τ 0 ς n h n H w 2 a 3 , n , n
0 w 2 P T a 4
In Problem (10), { a 1 , n , a 2 , n , a 3 , n , a 4 } are slack variables used to guarantee the feasibility of the modified problem. Because they act like a relaxation of the constraints, the idea is to force the slack variables to take a value as close as possible to zero. We observe that constraints (10c) and (10d) have a non-convex function that makes Problem (10) non-convex. Because, h n H w 2 is convex with respect to w , we perform first-order Taylor approximation [23,25] as follows:
h n H w 2 2 R e w ( i ) H h n h n H w h n H w ( i ) 2
Hence, Problem (10) can be rewritten as follows:
min { p n } , w , { a 1 , n } , { a 2 , n } , { a 3 , n } , a 4 w 2 + n a 1 , n + n a 2 , n + n a 3 , n + a 4
s . t . 0 2 Γ n τ n 1 p n h n 2 σ 2 a 1 , n , n
0 p n τ n τ 0 ς n 2 R e w ( i ) H h n h n H w h n H w ( i ) 2 a 2 , n , n
0 e n τ 0 ς n 2 R e w ( i ) H h n h n H w h n H w ( i ) 2 a 3 , n , n
0 w 2 P T a 4
Now, the transformed convex Problem (12) is solved by the interior point method in a solver such as MATLAB CVX [26]. Hence, we convert a non-convex problem into convex sub-problems and solve it using the iterative SPCA method explained in Algorithm 1.
Algorithm 1: Fixed allocation for downlink and uplink time slots
  • initialize: Find a feasible point for Problem (12) as an initial point w 0 and find
  • k ( 0 ) = w ( 0 ) 2 + n a 1 , n ( 0 ) + n a 2 , n ( 0 ) + n a 3 , n ( 0 ) + a 4 ( 0 )
  • // initial loop:
  • i = 0
  • repeat
  • solve Problem (12) using MATLAB CVX solver and compute p n i * , w i * , k ( i )
  • i = i + 1
  • assign k i k ( i 1 ) * , p n i p n i 1 * , w i w i 1 *
  • until
  • k i k i 1 k i 1 t o l e r a n c e and n a 1 , n + n a 2 , n + n a 3 , n + a 4 ε
  • // main loop:
  • output  p n * p n i , w * w i

3.1.2. Two-Step Procedure

In this section. we propose a two-step procedure based on a bisection search (BS) method for solving the optimization problem formulated in Problem (8). In the first step, we solve Problem (8) for given values of τ ˜ 0 and τ ˜ , and we find the optimal solution for downlink beamformer w and power allocation on uplink, p n . Then, in the second step, we search for the optimal value downlink time allocation, τ ˜ 0 * , using the bisection search method such that 0 τ ˜ 0 1 . For this, we define τ ˜ 0 ( i ) = τ 0 , m i n ( i ) + τ 0 , m a x ( i ) 2 and τ ˜ n = 1 τ ˜ 0 * N at the i t h iteration in the BS method. So, we reformulate Problem (8) as
min { p n } , w w 2
s . t . τ ˜ n log 2 1 + p n h n 2 σ 2 Γ n , n
ς n τ ˜ 0 h n H w 2 e n , n
p n P n ( w ) , n
w 2 P T
We reformulate this non-convex problem into approximated convex problems using the sequential parametric convex approximation method and follow the same procedures previously discussed. We can rewrite Problem (13) as
min { p n } , w , { a 1 , n } , { a 2 , n } , { a 3 , n } , a 4 w 2 + n a 1 , n + n a 2 , n + n a 3 , n + a 4
s . t . 0 2 Γ n τ ˜ n 1 p n h n 2 σ 2 a 1 , n , n
0 p n τ ˜ n τ ˜ 0 ς n 2 R e w ( i ) H h n h n H w h n H w ( i ) 2 a 2 , n , n
0 e n τ ˜ 0 ς n 2 R e w ( i ) H h n h n H w h n H w ( i ) 2 a 3 , n , n
0 w 2 P T a 4
We explain this two-step procedure in Algorithm 2.   
Algorithm 2: Proposed algorithm based on Problem (14) and the bisection search method
  • set initial values for τ 0 , m i n and τ 0 , m a x , where τ ˜ 0 * is within τ 0 , m i n , τ 0 , m a x
  • i = 0
  • repeat
  • τ ˜ 0 τ 0 , m i n + τ 0 , m a x 2
  •  solve Problem (14) using the Algorithm 1 and find optimal solution for p n i * , w i *
  • i = i + 1
     assign p n i p n i 1 * , w i w i 1 *
  •   if w i 2 P T then τ 0 , m i n τ ˜ 0
  •   else  τ 0 , m a x τ ˜ 0
  • until  τ 0 , m a x τ 0 , m i n ϵ
  • After terminating repeat loop, assign the obtained values to the optimal solutions: p n * p n i , w * w i , τ 0 * τ ˜ 0

3.2. Joint Optimization-Based Near-Optimal Solution

In the previous proposed solutions, we either fix the time allocation or propose a sub-optimal solution for time allocation by considering a bisection search method. However, in this section, we propose a near-optimal solution by jointly optimizing the time allocation, the uplink power allocation, and the beamforming vectors. This proposed solution jointly optimizes all the variables at the cost of time and complexity. We exploited the SPCA method to solve Problem (8) by iteratively approximating the non-convex problem into convex ones. We can rewrite Problem (8) as
min { p n } , w , τ , τ 0 w 2
s . t . 0 2 Γ n τ n 1 p n h n 2 σ 2 , n
0 p n τ 0 ς n h n H w 2 τ n , n
0 e n τ 0 ς n h n H w 2 , n
0 w 2 P T
0 τ 0 + n = 1 N τ n 1
Here, Problem (15) is a non-convex problem because constraints (15c) and (15d) have non-convex functions. We can approximate non-convex constraint (15c) and (15d) by assigning a new auxiliary variable, p n p ˜ n 2 and performing first-order Taylor approximation as follows [23,25]:
h n H w 2 τ n 2 R e ( w ( i ) H h n h n H w ) τ n ( i ) h n H w ( i ) 2 τ n ( i ) 2 τ n
p ˜ n 2 2 p ˜ n ( i ) p ˜ n p ˜ n ( i ) 2
Hence, the problem that needs to be solved in the i t h iteration is given by:
min { p n } , { p ˜ n } , w , τ , τ 0 , { a 1 , n } , { a 2 , n } , { a 3 , n } , { a 4 , n } , a 5 , a 6 w 2 + n a 1 , n + n a 2 , n + n a 3 , n + n a 4 , n + a 5 + a 6
s . t . 0 2 Γ n τ n 1 p n h n 2 σ 2 a 1 , n , n
0 p ˜ n 2 τ 0 ς n 2 R e ( w ( i ) H h n h n H w ) τ n ( i ) h n H w ( i ) 2 τ n ( i ) 2 τ n a 2 , n , n
0 e n τ 0 ς n 2 R e w ( i ) H h n h n H w h n H w ( i ) 2 a 3 , n , n
0 p n 2 p ˜ n ( i ) p ˜ n p ˜ n ( i ) 2 a 4 , n , n
0 w 2 P T a 5
0 τ 0 + n = 1 N τ n 1 a 6
which is a convex problem that can be solved by the interior point method in a solver such as MATLAB CVX [26]. The proposed method to solve Problem (18) is discussed in Algorithm 3.   
Algorithm 3: Joint optimization-based algorithm to solve Problem (18)
  • initialize: Find a feasible point for Problem (18) as an initial point p ˜ n 0 , w 0 , τ 0
  • and find k ( 0 ) = w ( 0 ) 2 + n a 1 , n ( 0 ) + n a 2 , n ( 0 ) + n a 3 , n ( 0 ) + n a 4 , n ( 0 ) + a 5 ( 0 ) + a 6 ( 0 )
    // initial loop:
  • i = 0
  • repeat
  • solve Problem (18) using MATLAB CVX and compute p n i * , p ˜ n i * , w i * , τ i * , k ( i )
  • i = i + 1
  • Assign k i k ( i 1 ) * , p n i p n i 1 * , p ˜ n i p ˜ n i 1 * , w i w i 1 * , τ i τ i 1 *
  • until
  • k i k i 1 k i 1 t o l e r a n c e and n a 1 , n + n a 2 , n + n a 3 , n + n a 4 , n + a 5 + a 6 ε
  • // main loop:
  • output  p n * p n i , w * w i , τ * τ i

4. Performance Evaluation

In this section, we present the results of simulations to evaluate the performance of our proposed solutions in a multi-antenna WPCN system. We set total transmit power P T = 30 dBm, noise power σ 2 = 50 dBm, and the receiver efficiency to harvest energy for each user was ς n = ς = 0.5 . The distance-dependent path loss is modeled as l n = 10 3 d α , in which d denotes the distance between H-AP and the users, and α is the path loss exponent. For our simulation setup, we set d 1 = 1 m, d 2 = 1.4 m, d 3 = 1.8 m, d 4 = 2 m and α = 3 . The results presented in this section are averaged over 100 channel realizations. We consider that the users are placed between the distance of 1m to 2 m and the line of sight (LOS) signal is dominant in short distances. So, the channels from the base station to the end users are modeled with Rician fading:
h n = K R 1 + K R h n L O S + 1 1 + K R h n N L O S ,
where K R is the Rician factor set to 3, h n L O S denotes the LOS deterministic component, and h n N L O S denotes the standard Rayleigh fading components with zero mean and unit variance. For LOS components, we consider the far-field uniform linear antenna array model [27], given as
h n L O S = 1 e j π sin ω n e 2 j π sin ω n e 3 j π sin ω n e ( M 1 ) j π sin ω n T
where { ω 1 , ω 2 , ω 3 , ω 4 } = { 45 o , 15 o , 15 o , 45 o } are the angles of the directions from users to the H-AP, and the carrier wavelength is double the spacing between successive antenna elements at the H-AP.
Figure 3 depicts the transmit power of the H-AP versus the number of transmit antennae at the H-AP. Here, we observe that transmit power decreases as we increase the number of antennae at the H-AP; this is because as the number of antennae increases, a more efficient beamforming design can be achieved while reducing the required transmit power at the H-AP. Moreover, one can observe that the joint optimization-based near-optimal solution has better performance than the other two solutions, i.e., fixed time-allocation and bisection-search methods. As in the case of fixed time allocation, the coherence interval is divided into equal time slots irrespective of users’ locations, and that is why the performance is worst in this case. In the bisection search (BS) method, however, we try to find the optimal solution for time allocation in the WET phase (because the uplink phase is equally divided), so it performs very closely to the joint optimization-based near-optimal solution.
Figure 4 depicts the performance for transmit power versus the number of users. The results are based on different numbers of users placed at different distances. This figure shows that the proposed joint optimization-based near-optimal solution performs better, compared to the other two solutions. Moreover, we observe that the transmit power at the H-AP increases as the number of users increases. This is because, as the number of users increases, the duration of the time-slot assigned to each user, τ n , becomes less, as shown in Figure 5, which requires more transmit power to satisfy the minimum rate constraint, as seen in Equation (7). Then, a higher amount of harvested energy will be required, which increases the transmit power at the H-AP in the downlink phase.
Figure 6 presents the performance of the proposed solutions in terms of computational time when transmit antennae M = 10 and for the number of iterations set at 5. Obviously, more iterations take more computation time, but the proposed solutions have fast convergence, so it is good to choose five as the number of iterations. The simulations were carried out on a computer with 8 GB of RAM and an Intel Core i5-6500 CPU at 3.2 GHz [28]. Here, we observe that the fixed time-allocation method is the fastest solution, but its performance is not good at minimizing transmit power at the H-AP. Here, the proposed joint optimization based method is slower than the fixed time-allocation algorithm, this is because the fixed time-allocation problem is less complex as compared to joint optimization based method. In the fixed time-allocation method, we fixed time so the only variable to optimize is the uplink power allocation and the downlink beamforming vectors that reduces the complexity of the problem and hence, requires the less computational time. While the proposed method is jointly optimizing the all variables, that is why it needs more computational time. In Figure 3 and Figure 4, the bisection search method performs very close to the joint optimization-based near-optimal solution, but it requires a lot of time. However, the proposed joint optimization-based near-optimal solution’s computation time makes it much close to that of the fastest solution. So, we can conclude here that the performance of the near-optimal solution is better than the other solutions, considering Figure 3 and Figure 4. In addition, with the increase in the number of users, the time complexity also increases, since more variables and constraints are included in the optimization problem.
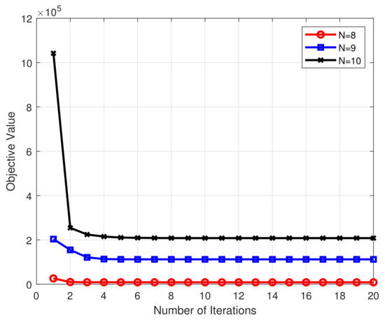
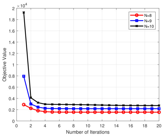
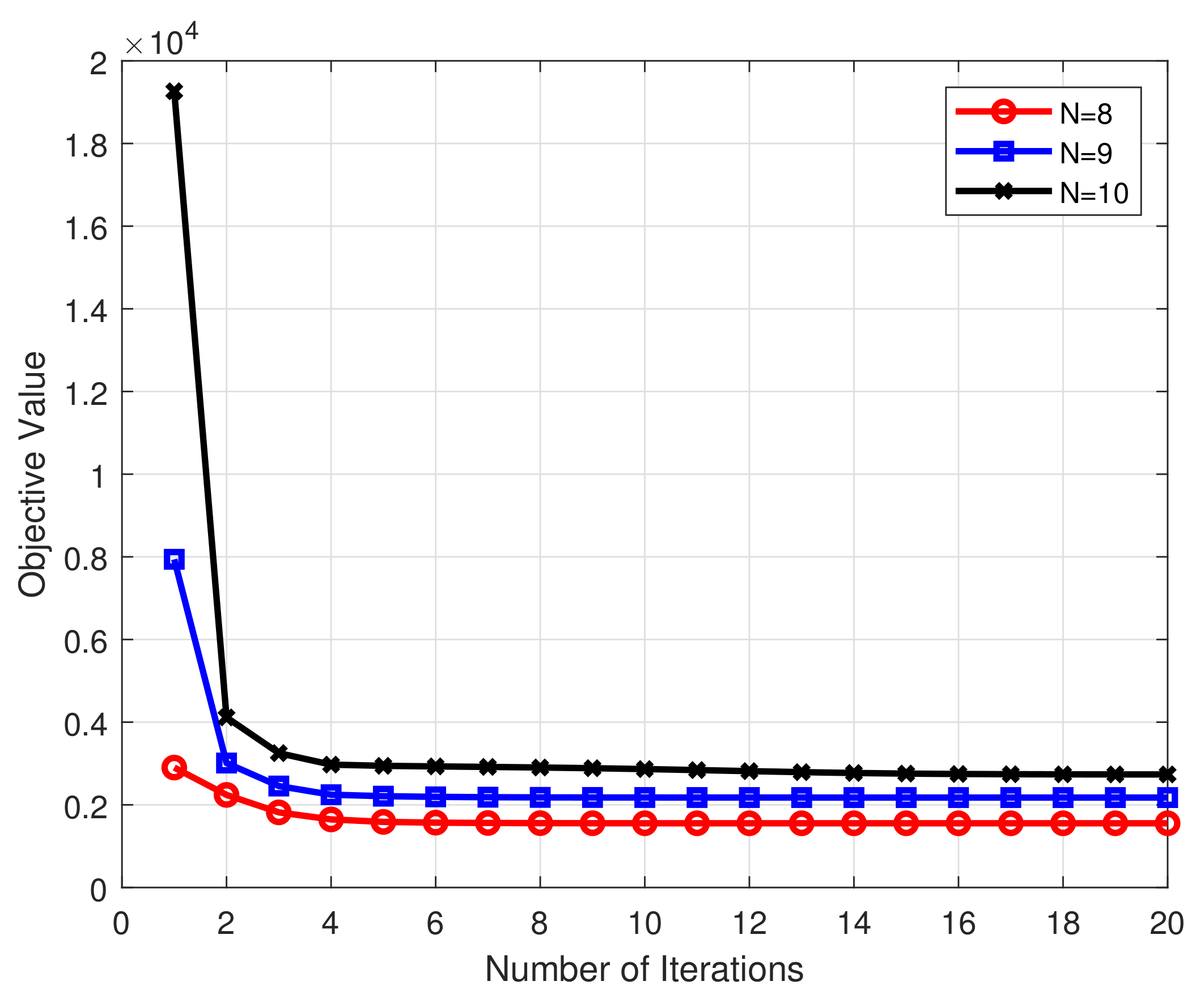
Figure 7, Figure 8 and Figure 9 show the convergence rates for the proposed solutions. These results show that the proposed solutions quickly converge with the iteration indices.

5. Conclusions

In this paper, we studied the transmit power minimization problem in a multi-antenna WPCN where the H-AP has multiple antennae to broadcast energy on downlink using energy beamforming. We jointly optimized the uplink/downlink time allocations, the uplink power allocations, and the transmit energy beamforming vectors while controlling the transmit power at the H-AP. We proposed a near-optimal solution for the optimization problem by exploiting an SPCA-based iterative method. By properly designing the resource allocations and energy beamforming vectors, we can control the transmit power at a minimum level for the H-AP. Through numerical simulations, we verified that the transmit power decreases when we increase the number of transmit antennae because of the optimal energy beams. Moreover, when we increase the number of users, energy harvested on downlink increases which requires more transmit power at the H-AP. It was shown that the proposed joint optimization-based near-optimal solution performs better, with respect to computation time needed, while achieving the highest performance among the compared methods. For future work, modern emerging solutions of machine learning and deep learning to solve complex optimization problems can be studied to find faster solutions.

Author Contributions

Conceptualization, I.H. and P.-V.T.; Formal analysis, I.H., M.R.C. and I.K.; Methodology, I.H.; Supervision, I.K.; Validation, I.H. and M.R.C.; Writing—original draft, I.H.; Writing—review & editing, I.H., P.-V.T., M.R.C. and I.K. All authors have read and agreed to the published version of the manuscript.

Funding

This work was supported by the National Research Foundation of Korea (NRF) grant through the Korean Government (MSIT) under Grant NRF-2018R1A2B6001714.

Conflicts of Interest

The authors declare that they have no conflicts of interest regarding the publication of this paper.

References

  1. Bi, S.; Ho, C.K.; Zhang, R. Wireless Powered Communication: Opportunities and Challenges. IEEE Commun. Mag. 2015, 53, 117–125. [Google Scholar] [CrossRef]
  2. Ramezani, P.; Jamalipour, A. Toward the Evolution of Wireless Powered Communication Networks for the Future Internet of Things. IEEE Netw. 2017, 31, 62–69. [Google Scholar] [CrossRef]
  3. Ju, H.; Zhang, R. Throughput Maximization in Wireless Powered Communication Networks. IEEE Trans. Wirel. Commun. 2014, 13, 418–428. [Google Scholar] [CrossRef]
  4. Yang, G.; Ho, C.K.; Zhang, R.; Guan, Y.L. Throughput Optimization for Massive MIMO Systems Powered by Wireless Energy Transfer. IEEE J. Sel. Areas Commun. 2015, 33, 1640–1650. [Google Scholar] [CrossRef]
  5. Lim, H.; Hwang, T. Energy-Efficient MISO Wireless Powered Communications. In Proceedings of the 2019 16th IEEE Annual Consumer Communications and Networking Conference, CCNC, Las Vegas, NV, USA, 11–14 January 2019; Institute of Electrical and Electronics Engineers Inc.: New York, NY, USA, 2019. [Google Scholar]
  6. Liu, L.; Zhang, R.; Chua, K. Wireless information transfer with opportunistic energy harvesting. In Proceedings of the 2012 IEEE International Symposium on Information Theory Proceedings, Cambridge, MA, USA, 1–6 July 2012; pp. 950–954. [Google Scholar] [CrossRef]
  7. Cheng, Y.; Fu, P.; Chang, Y.; Li, B.; Yuan, X. Joint Power and Time Allocation in Full-Duplex Wireless Powered Communication Networks. Mob. Inf. Syst. 2016, 2016. [Google Scholar] [CrossRef]
  8. Kang, J.; Kang, J.; Lee, N.; Lee, B.M.; Bang, J. Minimizing Transmit Power for Cooperative Multicell System with Massive MIMO. In Proceedings of the 2013 IEEE 10th Consumer Communications and Networking Conference (CCNC), Las Vegas, NV, USA, 11–14 January 2013; pp. 438–442. [Google Scholar] [CrossRef]
  9. Wang, D.; Tellambura, C. Performance Analysis of Energy Beamforming WPCN Links With Channel Estimation Errors. IEEE Open J. Commun. Soc. 2020, 1, 1153–1170. [Google Scholar] [CrossRef]
  10. Li, Q.; Wang, L.; Xu, D. Resource Allocation in Cognitive Wireless Powered Communication Networks under Outage Constraint. In Proceedings of the 2018 IEEE 4th International Conference on Computer and Communications (ICCC), Chengdu, China, 7–10 December 2018; pp. 683–687. [Google Scholar] [CrossRef]
  11. Hameed, I.; Waqar, O. Downlink Energy Transfer and Pilot Contamination Analysis in Multi-Cell Massive MIMO Systems. In Proceedings of the 2018 IEEE 21st International Multi-Topic Conference (INMIC), Karachi, Pakistan, 1–2 November 2018; pp. 1–6. [Google Scholar] [CrossRef]
  12. Ko, Y.; Kim, S.; No, J. Uplink Time Scheduling With Power Level Modulation Scheme in Wireless Powered Communication Networks. IEEE Access 2019, 7, 11187–11194. [Google Scholar] [CrossRef]
  13. Huang, W.; Chen, H.; Li, Y.; Vucetic, B. On the Performance of Multi-antenna Wireless-Powered Communications With Energy Beamforming. IEEE Trans. Veh. Technol. 2016, 65, 1801–1808. [Google Scholar] [CrossRef]
  14. Liu, L.; Zhang, R.; Chua, K. Multi-Antenna Wireless Powered Communication With Energy Beamforming. IEEE Trans. Commun. 2014, 62, 4349–4361. [Google Scholar] [CrossRef]
  15. Hameed, I.; Tuan, P.V.; Koo, I. Exploiting a Deep Neural Network for Efficient Transmit Power Minimization in a Wireless Powered Communication Network. Appl. Sci. 2020, 10, 4622. [Google Scholar] [CrossRef]
  16. Beck, A.; Ben-Tal, A.; Tetruashvili, L. A Sequential Parametric Convex Approximation Method with Applications to Non-Convex Truss Topology Design Problems. J. Glob. Optim. 2010, 47, 29–51. [Google Scholar] [CrossRef]
  17. Gershman, A.B.; Sidiropoulos, N.D.; Shahbazpanahi, S.; Bengtsson, M.; Ottersten, B. Convex Optimization-Based Beamforming. IEEE Signal Process. Mag. 2010, 27, 62–75. [Google Scholar] [CrossRef]
  18. Wang, C.; Wang, H.; Ng, D.W.K.; Xia, X.; Liu, C. Joint Beamforming and Power Allocation for Secrecy in Peer-to-Peer Relay Networks. IEEE Trans. Wirel. Commun. 2015, 14, 3280–3293. [Google Scholar] [CrossRef]
  19. Xia, X.; Zhu, P.; Li, J.; Wang, D.; Xin, Y.; You, X. Joint Sparse Beamforming and Power Control for a Large-Scale DAS With Network-Assisted Full Duplex. IEEE Trans. Veh. Technol. 2020, 69, 7569–7582. [Google Scholar] [CrossRef]
  20. Denis, J.; Smirani, S.; Diomande, B.; Ghariani, T.; Jouaber, B. Outage Probability-Based Beamforming Design for Multi-Cell Multicast Networks. In Proceedings of the 2017 IEEE 28th Annual International Symposium on Personal, Indoor, and Mobile Radio Communications (PIMRC), Montreal, QC, Canada, 8–13 October 2017; pp. 1–5. [Google Scholar] [CrossRef]
  21. Wang, Y.; Sun, R.; Wang, X. Transceiver Design to Maximize the Weighted Sum Secrecy Rate in Full-Duplex SWIPT Systems. IEEE Signal Process. Lett. 2016, 23, 883–887. [Google Scholar] [CrossRef]
  22. Nguyen, D.; Tran, L.; Pirinen, P.; Latva-aho, M. Precoding for Full Duplex Multiuser MIMO Systems: Spectral and Energy Efficiency Maximization. IEEE Trans. Signal Process. 2013, 61, 4038–4050. [Google Scholar] [CrossRef]
  23. TUAN, P.V.; KOO, I. Simultaneous Wireless Information and Power Transfer Solutions for Energy-Harvesting Fairness in Cognitive Multicast Systems. IEICE Trans. Fundam. Electron. Commun. Comput. Sci. 2018, 101, 1988–1992. [Google Scholar] [CrossRef]
  24. Tuan, P.V.; Koo, I. Optimizing Efficient Energy Transmission on a SWIPT Interference Channel Under Linear/Nonlinear EH Models. IEEE Syst. J. 2019, 14, 457–468. [Google Scholar] [CrossRef]
  25. Boyd, S.; Boyd, S.P.; Vandenberghe, L. Convex Optimization; Berichte über Verteilte Messysteme, Cambridge University Press: Cambridge, UK, 2004. [Google Scholar]
  26. Grant, M.; Boyd, S. CVX: Matlab Software for Disciplined Convex Programming, Version 2.1. Available online: http://cvxr.com/cvx (accessed on 19 February 2021).
  27. Karipidis, E.; Sidiropoulos, N.D.; Luo, Z. Far-Field Multicast Beamforming for Uniform Linear Antenna Arrays. IEEE Trans. Signal Process. 2007, 55, 4916–4927. [Google Scholar] [CrossRef]
  28. Intel® Core™ i5-6500 Processor. Available online: https://ark.intel.com/content/www/us/en/ark/products/88184/intel-core-i5-6500-processor-6m-cache-up-to-3-60-ghz.html (accessed on 19 February 2021).
Figure 1. A wireless powered communication network (WPCN): the base station with a hybrid access point (H-AP), equipped with multiple antennae, and the N receivers each have a single antenna. Wireless energy is transferred from the H-AP to the N users on downlink, and mobile users transmit information to the H-AP on uplink.
Figure 1. A wireless powered communication network (WPCN): the base station with a hybrid access point (H-AP), equipped with multiple antennae, and the N receivers each have a single antenna. Wireless energy is transferred from the H-AP to the N users on downlink, and mobile users transmit information to the H-AP on uplink.
Electronics 10 00509 g001
Figure 2. The time division duplex (TDD) frame-based wireless powered communication network (WPCN) scheme: The total TDD frame is divided into two phases. In the downlink phase, the H-AP transmits an arbitrary wireless energy signal to all receivers. The uplink phase shows the allocation of time for each receiver to transmit information to the H-AP.
Figure 2. The time division duplex (TDD) frame-based wireless powered communication network (WPCN) scheme: The total TDD frame is divided into two phases. In the downlink phase, the H-AP transmits an arbitrary wireless energy signal to all receivers. The uplink phase shows the allocation of time for each receiver to transmit information to the H-AP.
Electronics 10 00509 g002
Figure 3. Transmit power versus the number of transmit antennae at the hybrid access point (H-AP) when N = 4 .
Figure 3. Transmit power versus the number of transmit antennae at the hybrid access point (H-AP) when N = 4 .
Electronics 10 00509 g003
Figure 4. Transmit power versus the number of users when M = 10 .
Figure 4. Transmit power versus the number of users when M = 10 .
Electronics 10 00509 g004
Figure 5. Average uplink time allocation versus the number of users.
Figure 5. Average uplink time allocation versus the number of users.
Electronics 10 00509 g005
Figure 6. Computation time comparisons versus the number of users.
Figure 6. Computation time comparisons versus the number of users.
Electronics 10 00509 g006
Figure 7. Convergence of the joint optimization-based near-optimal algorithm.
Figure 7. Convergence of the joint optimization-based near-optimal algorithm.
Electronics 10 00509 g007
Figure 8. Convergence of the bisection search-based algorithm.
Figure 8. Convergence of the bisection search-based algorithm.
Electronics 10 00509 g008
Figure 9. Convergence of the fixed-time allocation-based algorithm.
Figure 9. Convergence of the fixed-time allocation-based algorithm.
Electronics 10 00509 g009
Publisher’s Note: MDPI stays neutral with regard to jurisdictional claims in published maps and institutional affiliations.

Share and Cite

MDPI and ACS Style

Hameed, I.; Tuan, P.-V.; Camana, M.R.; Koo, I. Optimal Energy Beamforming to Minimize Transmit Power in a Multi-Antenna Wireless Powered Communication Network. Electronics 2021, 10, 509. https://doi.org/10.3390/electronics10040509

AMA Style

Hameed I, Tuan P-V, Camana MR, Koo I. Optimal Energy Beamforming to Minimize Transmit Power in a Multi-Antenna Wireless Powered Communication Network. Electronics. 2021; 10(4):509. https://doi.org/10.3390/electronics10040509

Chicago/Turabian Style

Hameed, Iqra, Pham-Viet Tuan, Mario R. Camana, and Insoo Koo. 2021. "Optimal Energy Beamforming to Minimize Transmit Power in a Multi-Antenna Wireless Powered Communication Network" Electronics 10, no. 4: 509. https://doi.org/10.3390/electronics10040509

APA Style

Hameed, I., Tuan, P.-V., Camana, M. R., & Koo, I. (2021). Optimal Energy Beamforming to Minimize Transmit Power in a Multi-Antenna Wireless Powered Communication Network. Electronics, 10(4), 509. https://doi.org/10.3390/electronics10040509

Note that from the first issue of 2016, this journal uses article numbers instead of page numbers. See further details here.

Article Metrics

Back to TopTop